Research on Agricultural Machinery Services for the Purpose of Promoting Conservation Agriculture: An Evolutionary Game Analysis Involving Farmers, Agricultural Machinery Service Organizations and Governments
Abstract
1. Introduction
2. Theoretical Basis and Hypothesis of the Tripartite Evolutionary Game Model
2.1. Analysis of the Relationship between Stakeholders
2.2. Hypotheses
2.3. Model Construction
3. Model and Analysis
3.1. Replication Dynamic Analysis
3.2. Stability Analysis of Evolutionary Game Model
4. Simulation Analysis of Evolutionary Game
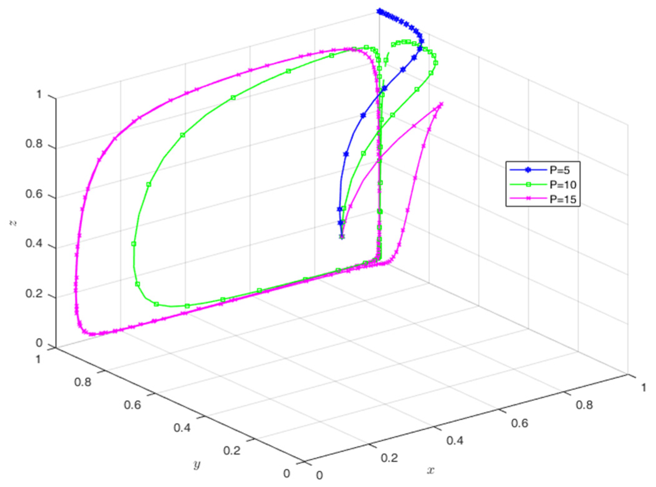
4.1. Effect of Initial Value on Strategy Evolution
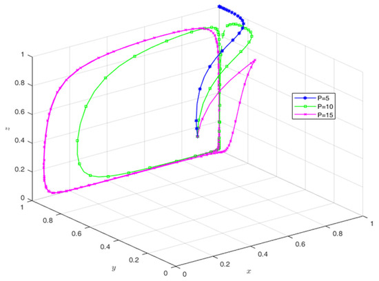
4.2. Sensitivity Analysis under the Change in Government Reward and Punishment Intensity
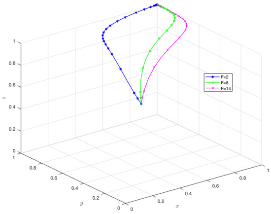
4.2.1. Changes in Penalties
4.2.2. Changes in Subsidies
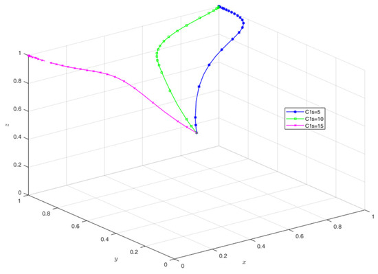
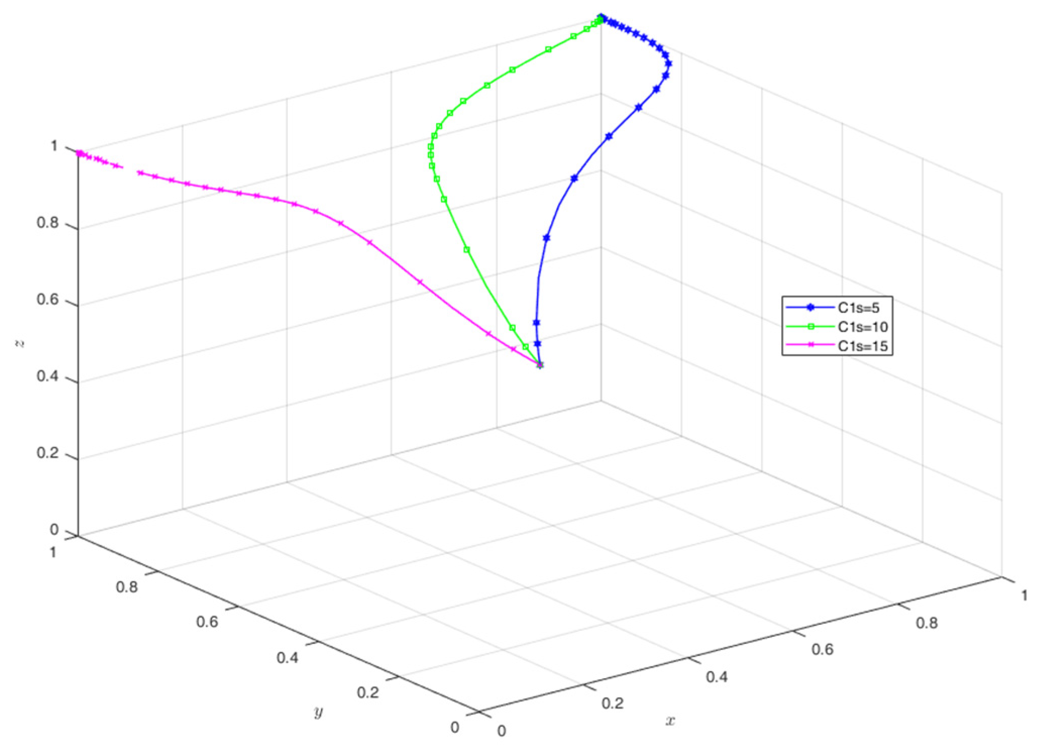
4.2.3. Changes in the Cost of Supervision and Management in the Whole Process of Agricultural Machinery Service Organization
5. Conclusions and Discussion
5.1. Conclusions
5.2. Discussion
6. Policy Recommendations
- (1)
- Establish incentive and punishment policies for agricultural socialized service organizations with the goal of normative technology adoption.
- (2)
- Reducing the cost of supervision and formulating reasonable service prices are the keys to the formation of a positive agricultural machinery service adoption relationship.
Author Contributions
Funding
Institutional Review Board Statement
Data Availability Statement
Conflicts of Interest
References
- Sun, H.; Liu, H. Construction of GIS-based Agricultural Machinery IoT Service Platform. Am. J. Agric. Res. 2021, 109. [Google Scholar]
- Zhong, R.; He, Q.; Qi, Y. Digital Economy, Agricultural Technological Progress, and Agricultural Carbon Intensity: Evidence from China. Int. J. Environ. Res. Public Health 2022, 19, 6488. [Google Scholar] [CrossRef] [PubMed]
- Wang, Y.; Yu, F.; Guo, Y.; Li, M.; Meng, Q. Can farmers’ combined-tillage promote the agricultural production efficiency?—Evidence from land fragmentation. Ciência Rural 2022, 53, e20220003. [Google Scholar] [CrossRef]
- Corsi, S.; Muminjanov, H. Conservation Agriculture: Training Guide for Extension Agents and Farmers in Eastern Europe and Central Asia; FAO: Rome, Italy, 2019. [Google Scholar]
- Jijing, S. Exploration of Ningbo’s Agricultural “Standard Land” Reform. 18 September 2023, p. 008. Available online: http://news.cnnb.com.cn/system/2023/09/18/030524736.shtml (accessed on 18 July 2024).
- Mingfeng, J.I. Agricultural Productive Service Industry:The Third Momentum in Chinese Agricultural Modernization History. Issues Agric. Econ. 2018, 3, 9–15. [Google Scholar]
- Luo, B. Small-scale farmers’ management, function transformation and strategy choice-also on the “third way” of the integration and development of small-scale farmers and modern agriculture. Agric. Econ. Probl. 2020, 29–47. [Google Scholar] [CrossRef]
- FAO. Global Status of Black Soils; FAO: Rome, Italy, 2022. [Google Scholar]
- He, J.; Jiang, S. Conservation Agriculture in China: Innovations, investment opportunities and challenges. FAO Invest. Cent. Ctry. Highlights 2023, 19. [Google Scholar] [CrossRef]
- Chen, Y.; Sun, Z.; Zhou, Y.; Yang, W.; Ma, Y. The future of sustainable farming: An evolutionary game framework for the promotion of agricultural green production technologies. J. Clean. Prod. 2024, 460, 142606. [Google Scholar] [CrossRef]
- Baiyegunhi, L.J.S.; Majokweni, Z.P.; Ferrer, S.R.D. Impact of outsourced agricultural extension program on smallholder farmers’ net farm income in Msinga, KwaZulu-Natal, South Africa. Technol. Soc. 2019, 57, 1–7. [Google Scholar] [CrossRef]
- Wang, X.; Yamauchi, F.; Otsuka, K.; Huang, J. Wage Growth, Landholding, and Mechanization in Chinese Agriculture. World Dev. 2016, 86, 30–45. [Google Scholar] [CrossRef]
- Gao, T.; Ren, Y.; Lu, Q.; Feng, H. Conservation Tillage Technology: A Study on the Duration from Awareness to Adoption and Its Influencing Factors—Based on the Survey of the Yellow River Basin in China. Agriculture 2023, 13, 1207. [Google Scholar] [CrossRef]
- Li, Z.; Zhang, J. The impact of land trusteeship on household economic welfare–Based on the mediating effect of non-agricultural employment and agricultural output. J. Agrotech. Econ. 2021, 20–31. [Google Scholar] [CrossRef]
- Wang, Y.; Li, Q. Comparative study on benefit distribution model of trusteeship in agricultural production. Reformation 2019, 8, 119–127. [Google Scholar]
- Xue, Y.; Xu, Y.; Lyu, J.; Liu, H. The Effect of Uncertainty of Risks on Farmers’ Contractual Choice Behavior for Agricultural Productive Services: An Empirical Analysis from the Black Soil in Northeast China. Agronomy 2022, 12, 2677. [Google Scholar] [CrossRef]
- Qiu, H. “Who will farm the land” has a solution. Agric. Econ. 2024, 011. [Google Scholar] [CrossRef]
- Qian, L.; Lu, H.; Gao, Q.; Lu, H. Household-owned farm machinery vs. outsourced machinery services: The impact of agricultural mechanization on the land leasing behavior of relatively large-scale farmers in China. Land Use Policy 2022, 115, 106008. [Google Scholar] [CrossRef]
- Zheng, S.; Feng, Q. Logic and organization of farmers’ behavior choice in the development of farmers’ professional cooperatives. Reformation 2021, 130–140. [Google Scholar]
- Qu, M.; Zhao, K.; Zhang, R.; Gao, Y.; Wang, J. Divergence between Willingness and Behavior of Farmers to Purchase Socialized Agricultural Services: From a Heterogeneity Perspective of Land Scale. Land 2022, 11, 1121. [Google Scholar] [CrossRef]
- Wang, N.; Zhang, R.; Zhang, S.; He, Y. The impact of land trusteeship and adoption of green technologies on agricultural production efficiency. Agric. Resour. Zoning China 2024, 1–14. [Google Scholar]
- Ma, L. Investigation and Analysis of the Supply and Demand Status of Agricultural Socialized Services in Hubei Province. Coop. Econ. Technol. 2015, 10–11. [Google Scholar] [CrossRef]
- Han, Q.; Liu, Q.; Meng, T. Can subsidies for weak links of agricultural production trusteeship improve farmers’ willingness of full trusteeship. J. Huazhong Agric. Univ. Soc. Sci. Ed. 2021, 71–79. [Google Scholar]
- Lu, Q.; Jiang, C. The course, characteristics and Enlightenment of Japan’s development of agricultural production trusteeship service. Jianghuai Trib. 2019, 59–66+88. [Google Scholar] [CrossRef]
- Xu, C.; Wang, Q.; Fahad, S.; Kagatsume, M.; Yu, J. Impact of Off-Farm Employment on Farmland Transfer: Insight on the Mediating Role of Agricultural Production Service Outsourcing. Agriculture 2022, 12, 1617. [Google Scholar] [CrossRef]
- Jiang, W.; Yan, T.; Chen, B. Impact of media channels and social interactions on the adoption of straw return by Chinese farmers. Sci. Total Environ. 2021, 756, 144078. [Google Scholar] [CrossRef]
- Meng, Q.; Dong, X.; Kong, X. Why do embedded organizations exist? Case study on agricultural production trusteeship of supply and marketing cooperatives. Manag. World 2021, 37, 165–184+112. [Google Scholar]
- Qin, Y.; Zhao, Y.; Liu, X.; Wu, A.; Shen, H.; Yang, H. Transformation of land scale management in major grain-producing areas and countermeasures A case study of Hebei Province. Sci. Technol. Rev. 2020, 38, 65–72. [Google Scholar]
- Liu, H.; Luo, X. Understanding Farmers’ Perceptions and Behaviors towards Farmland Quality Change in Northeast China: A Structural Equation Modeling Approach. Sustainability 2018, 10, 3345. [Google Scholar] [CrossRef]
- Jamshidi, N.; Ahmadi, M.; Mahalli, A. Factors Affecting Productivity Management and its Improvement Strategies in Government Service Organizations. Int. J. Manag. Account. Econ. 2022, 9, 47. [Google Scholar]
- Li, Y.; Cao, Y. Capable supervision, pragmatic engagement, and hands-off steering: Three preferences of Chinese government officials for governing non-profit organizations in public service delivery. Public Policy Adm. 2024, 39, 237–258. [Google Scholar] [CrossRef]
- Huan, M.; Li, Y.; Chi, L.; Zhan, S. The Effects of Agricultural Socialized Services on Sustainable Agricultural Practice Adoption among Smallholder Farmers in China. Agronomy 2022, 12, 2198. [Google Scholar] [CrossRef]
- Chang, W. Study on the farmland trusteeship in the agricultural modernization: A case study of Anhui province. Econ. Rev. 2017, 3, 69–73. [Google Scholar]
- Chen, S.-W.; Huang, S.-W.; Chen, J.; Huang, K.-Y.; He, Y.-X. Effects of Incentives and Penalties on Farmers’ Willingness and Behavior to Separate Domestic Waste-Analysis of Farm Household Heterogeneity Based on Chain Multiple Intermediary Effects. Sustainability 2023, 15, 5958. [Google Scholar] [CrossRef]
- Lu, Y. The change of chemical fertilizer reduction policy and its internal logic in China. Issues Agric. Econ. 2022, 74–85. [Google Scholar] [CrossRef]
- Zheng, Y.; Luo, J. Study on the mechanism of resolving the potential risks of large-scale agricultural operation--Based on the perspective of “Trinity” agricultural co-operation system. Econ. Syst. Reform 2020, 80–86. [Google Scholar]
- Zhao, H.; Huang, Y.; Liu, Z.; Liu, W.; Zheng, Z. Applications of Discrete Element Method in the Research of Agricultural Machinery: A Review. Agriculture 2021, 11, 425. [Google Scholar] [CrossRef]
- Liu, L.; Chen, T.; Gao, S.; Liu, Y.; Yang, S.; Wang, X. Optimization of Agricultural Machinery Allocation in Heilongjiang Reclamation Area Based on Particle Swarm Optimization Algorithm. Teh. Vjesn.-Tech. Gaz. 2021, 28, 1885–1893. [Google Scholar]
- Lv, X.; Zhao, Y.; Zhang, Q.; Zhong, T.; Chen, Z. The response of farmers’ behavior to land policy system and land use change: Research progress and framework. Resour. Dev. Mark. 2015, 31, 96–99. [Google Scholar]
- Mi, Q.; Li, X.; Gao, J. How to improve the welfare of smallholders through agricultural production outsourcing: Evidence from cotton farmers in Xinjiang, Northwest China. J. Clean. Prod. 2020, 256, 120636. [Google Scholar] [CrossRef]
- Tian, M.; Zheng, Y.; Sun, X.; Zheng, H. A research on promoting chemical fertiliser reduction for sustainable agriculture purposes: Evolutionary game analyses involving ‘government, farmers, and consumers’. Ecol. Indic. 2022, 144, 109433. [Google Scholar] [CrossRef]
- Chen, Y.; Hu, S.; Guo, Z.; Cui, T.; Zhang, L.; Lu, C.; Yu, Y.; Luo, Z.; Fu, H.; Jin, Y. Effect of balanced nutrient fertilizer: A case study in Pinggu District, Beijing, China. Sci. Total Environ. 2021, 754, 142069. [Google Scholar] [CrossRef] [PubMed]
- Zhou, F.; Wen, C. Research on the Level of Agricultural Green Development, Regional Disparities, and Dynamic Distribution Evolution in China from the Perspective of Sustainable Development. Agriculture 2023, 13, 1441. [Google Scholar] [CrossRef]
- Huang, X.; Cheng, L.; Chien, H.; Jiang, H.; Yang, X.; Yin, C. Sustainability of returning wheat straw to field in Hebei, Shandong and Jiangsu provinces: A contingent valuation method. J. Clean. Prod. 2019, 213, 1290–1298. [Google Scholar] [CrossRef]
- Li, M.; Gao, X. Implementation of enterprises’ green technology innovation under market-based environmental regulation: An evolutionary game approach. J. Environ. Manag. 2022, 308, 114570. [Google Scholar] [CrossRef]
- Brown, B.; Nuberg, I.; Llewellyn, R. Stepwise frameworks for understanding the utilisation of Conservation Agriculture in Africa. Agric. Syst. 2017, 153, 11–22. [Google Scholar] [CrossRef]
- Kassam, A.; Friedrich, T.; Derpsch, R. Global spread of Conservation Agriculture. Int. J. Environ. Stud. 2019, 76, 29–51. [Google Scholar] [CrossRef]
- Yang, S.; Li, W. The Impact of Socialized Agricultural Machinery Services on Land Productivity: Evidence from China. Agriculture 2022, 12, 2072. [Google Scholar] [CrossRef]
- Fantappiè, M.; Lorenzetti, R.; De Meo, I.; Costantini, E.A.C. How to improve the adoption of soil conservation practices? Suggestions from farmers’ perception in western Sicily. J. Rural Stud. 2020, 73, 186–202. [Google Scholar] [CrossRef]
- The National Academies Press. A Framework for Assessing Effects of the Food System; The National Academies Press: Cambridge, MA, USA, 2015. [Google Scholar]
- Zhang, F.; Shi, Q.; Cheng, G. Multi-agent Collaborative Participation of Agricultural Machinery Service, High Quality Operation and Agricultural Production Efficiency: A Case Study of Conservation Tillage Technology. Res. Sq. 2023. [Google Scholar] [CrossRef]
- Zhao, Y.; Lyu, H.; Li, X. Implementation background and countermeasures of appropriate scale management of agriculture in Japan and its enlightenment to China. J. China Agric. Resour. Reg. Plan. 2019, 40, 202–209. [Google Scholar]
- Wu, Z.; Dang, J.; Pang, Y.; Xu, W. Threshold effect or spatial spillover? The impact of agricultural mechanization on grain production. J. Appl. Econ. 2021, 24, 478–503. [Google Scholar] [CrossRef]
- Ji, M.F.; Li, L. Agricultural Production Trusteeship: The main form of scale management of agricultural services. Issues Agric. Econ. 2020, 1, 68–75. [Google Scholar]
- Zhang, H. Historical opportunities of agricultural productive service industry. Issues Agric. Econ. 2019, 1, 4–9. [Google Scholar]
- Han, C.-H.; Zhang, D.-Y. Service organization models connecting small farmers with modern agriculture: Mechanism and effect analysis. J. Guangdong Univ. Financ. Econ. 2020, 35, 82–92. [Google Scholar]
- Hailong, Y.; Zhen, Z. Formation mechanism, applicable conditions and risk aversion of land trusteeship: Taking shangdong as an example. Reformation 2018, 4, 110–119. [Google Scholar]










| Participant | Selection | Strategy |
|---|---|---|
| Agriculture-related government | 1 | Strict management of the provision of agricultural machinery operation services |
| 2 | Loose management of providing agricultural machinery operation services | |
| Agricultural Machinery Service Organization | 1 | Provide all aspects of agricultural machinery operation services |
| 2 | Provide non-all aspects of agricultural machinery operation services | |
| Farmers | 1 | Select all aspects of agricultural machinery operation services |
| 2 | Choose not all aspects of agricultural machinery operation service |
| Strategy Combination | Income of Agricultural Machinery Service Organization | Income of Farmers | Income of Agricultural-Related Governments |
|---|---|---|---|
| Provide all links, choose all links, strict management | |||
| Provide all links, select all links, loose management | |||
| Provide all links, choose not all links, strict management | |||
| Provide all links, choose not all links, loose management | |||
| Provide not all links, choose all links, strict management | |||
| Provide not all links, choose all links, loose management | |||
| Provide not all links, choose not all links, strict management | |||
| Provide not all links, choose not all links, loose management |
| Agriculture-Related Government | Agricultural Machinery Service Organization | |||
|---|---|---|---|---|
| Provide All Aspects of Agricultural Machinery Operation Services (x) | Provide Non-All Aspects of Agricultural Machinery Operation Services (1 − x) | |||
| Farmers | Select all aspects of agricultural machinery operation services (y) | Strict management (z) | ||
| Loose management (1 − z) | ||||
| Choose not all aspects of agricultural machinery operation service (1 − y) | Strict management (z) | |||
| Loose management (1 − z) | ||||
| Equilibrium Point | Eigenvalue | Stability |
|---|---|---|
| E1 (0,0,0) | (−,s,+) Unstable point | |
| E2 (0,0,1) | is a asymptotically stable point. | |
| E3 (0,1,0) | (−,s,+) Unstable point | |
| E4 (1,0,0) | (+,s,s) Unstable point | |
| E5 (0,1,1) | (+,s,−) Unstable point | |
| E6 (1,0,1) | is a asymptotically stable point. | |
| E7 (1,1,0) | (+,s,s) Unstable point | |
| E8 (1,1,1) | is an asymptotically stable point. |
| Parameter | |||||||||
|---|---|---|---|---|---|---|---|---|---|
| Numerical Value | 5 | 10 | 4 | 2 | 5 | 8 | 6 | 6 | 10 |
Disclaimer/Publisher’s Note: The statements, opinions and data contained in all publications are solely those of the individual author(s) and contributor(s) and not of MDPI and/or the editor(s). MDPI and/or the editor(s) disclaim responsibility for any injury to people or property resulting from any ideas, methods, instructions or products referred to in the content. |
© 2024 by the authors. Licensee MDPI, Basel, Switzerland. This article is an open access article distributed under the terms and conditions of the Creative Commons Attribution (CC BY) license (https://creativecommons.org/licenses/by/4.0/).
Share and Cite
Zhang, F.; Bei, J.; Shi, Q.; Wang, Y.; Wu, L. Research on Agricultural Machinery Services for the Purpose of Promoting Conservation Agriculture: An Evolutionary Game Analysis Involving Farmers, Agricultural Machinery Service Organizations and Governments. Agriculture 2024, 14, 1383. https://doi.org/10.3390/agriculture14081383
Zhang F, Bei J, Shi Q, Wang Y, Wu L. Research on Agricultural Machinery Services for the Purpose of Promoting Conservation Agriculture: An Evolutionary Game Analysis Involving Farmers, Agricultural Machinery Service Organizations and Governments. Agriculture. 2024; 14(8):1383. https://doi.org/10.3390/agriculture14081383
Chicago/Turabian StyleZhang, Fan, Jindi Bei, Qingzhe Shi, Ying Wang, and Ling Wu. 2024. "Research on Agricultural Machinery Services for the Purpose of Promoting Conservation Agriculture: An Evolutionary Game Analysis Involving Farmers, Agricultural Machinery Service Organizations and Governments" Agriculture 14, no. 8: 1383. https://doi.org/10.3390/agriculture14081383
APA StyleZhang, F., Bei, J., Shi, Q., Wang, Y., & Wu, L. (2024). Research on Agricultural Machinery Services for the Purpose of Promoting Conservation Agriculture: An Evolutionary Game Analysis Involving Farmers, Agricultural Machinery Service Organizations and Governments. Agriculture, 14(8), 1383. https://doi.org/10.3390/agriculture14081383

