Unravelling the Biochemical and Molecular Priming Effect of a New Yeast-Derived Product: New Perspectives towards Disease Management
Abstract
1. Introduction
2. Materials and Methods
2.1. Plant Material and Experimental Design
2.2. Biochemical Analyses
2.3. Gene Expression Analyses
2.4. Statistical Analysis
3. Results
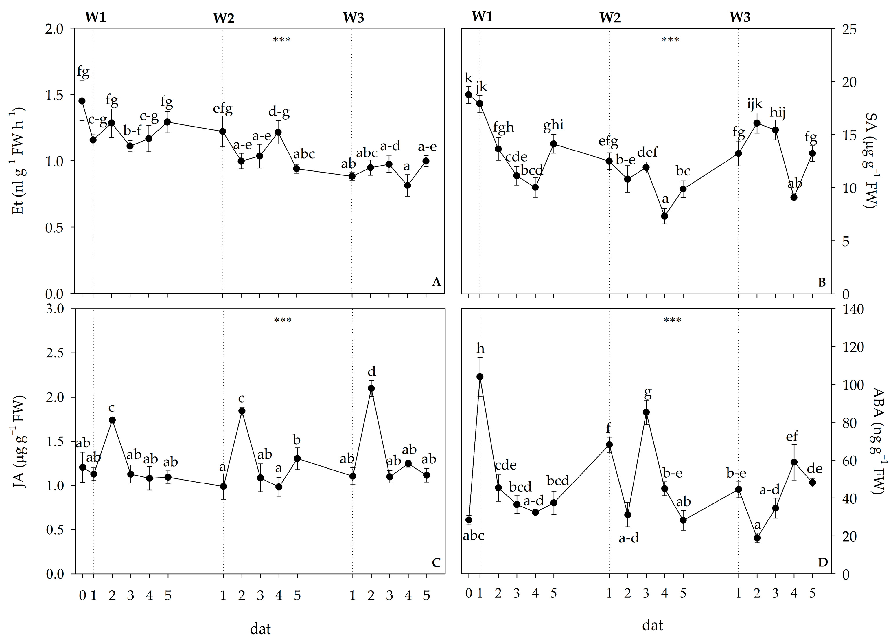
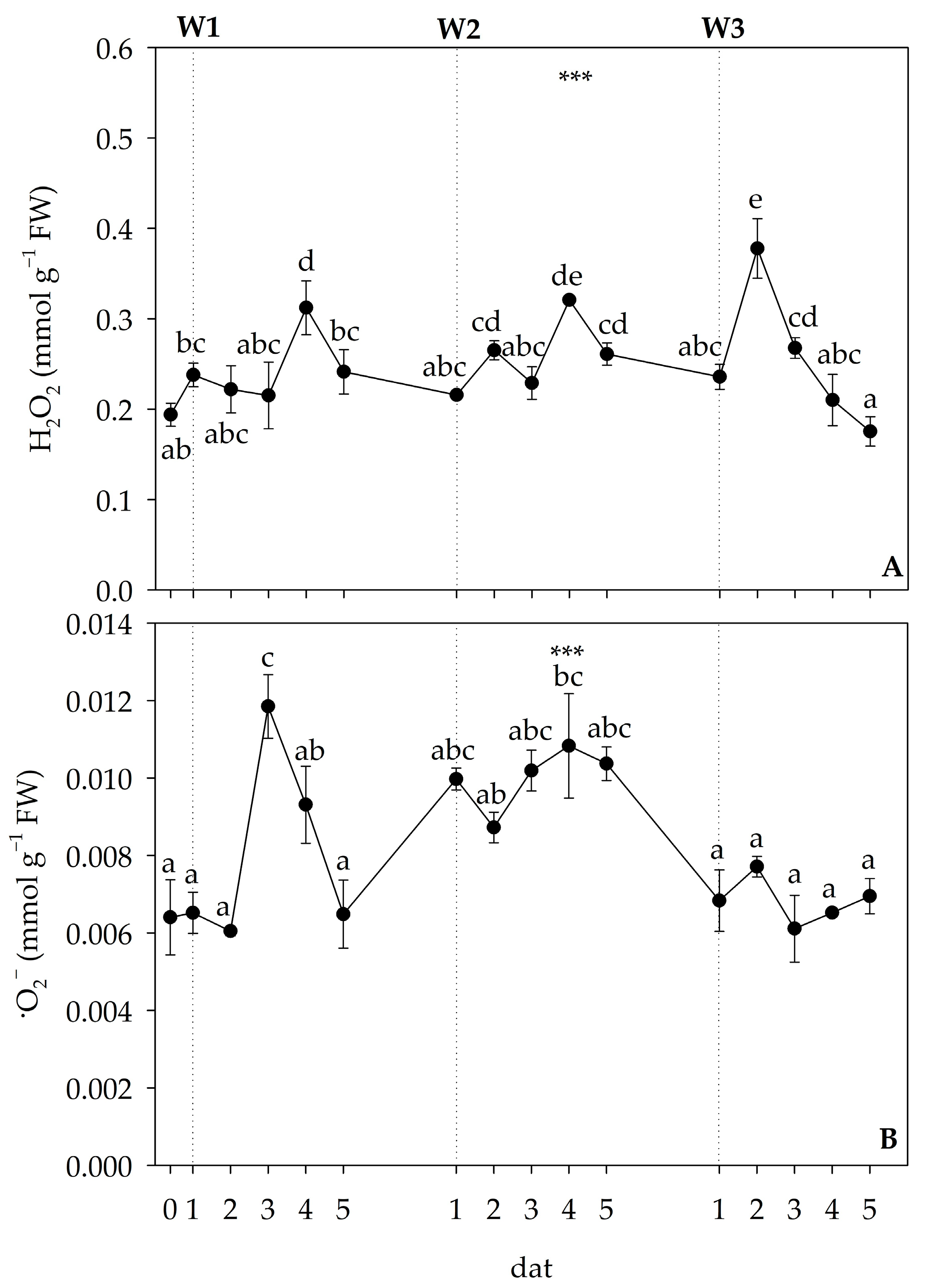
3.1. Biochemical Response
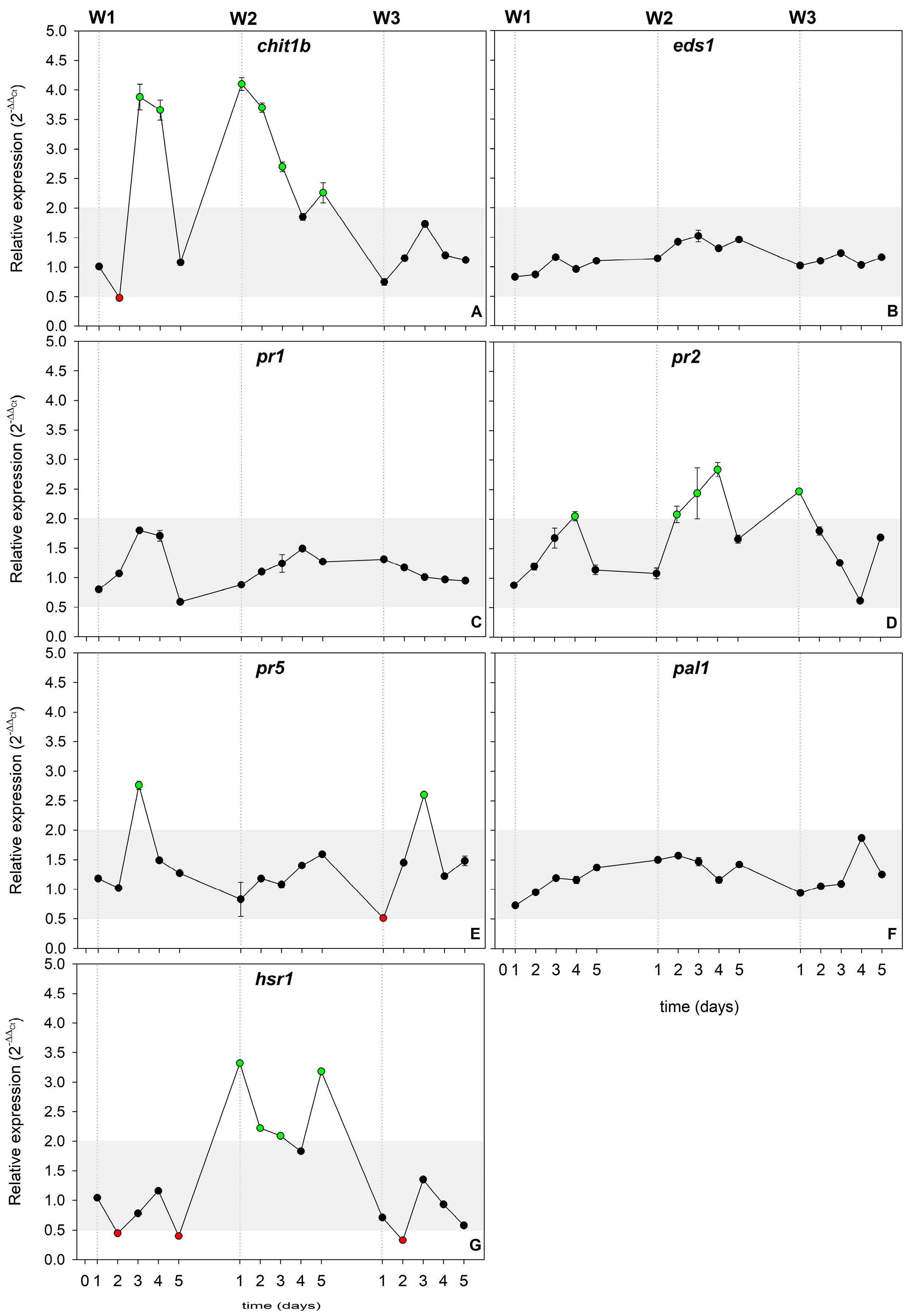
3.2. Transcriptional Responses
4. Discussion
5. Conclusions
Supplementary Materials
Author Contributions
Funding
Institutional Review Board Statement
Data Availability Statement
Conflicts of Interest
References
- Rienth, M.; Crovadore, J.; Ghaffari, S.; Lefort, F. Oregano essential oil vapour prevents Plasmopara viticola infection in grapevine (Vitis Vinifera) and primes plant immunity mechanisms. PLoS ONE 2019, 14, e0222854. [Google Scholar] [CrossRef]
- van der Sluijs, J.P.; Amaral-Rogers, V.; Belzunces, L.P.; Bijleveld van Lexmond, M.F.; Bonmatin, J.M.; Chagnon, M.; Downs, C.A.; Furlan, L.; Gibbons, D.W.; Giorio, C.; et al. Conclusions of the Worldwide Integrated Assessment on the risks of neonicotinoids and fipronil to biodiversity and ecosystem functioning. Environ. Sci. Pollut. Res. 2015, 22, 148–154. [Google Scholar] [CrossRef] [PubMed]
- Sarrocco, S. Biological disease control by beneficial (micro) organisms: Selected breakthroughs in the past 50 years. Phytopathology 2023, 113, 732–740. [Google Scholar] [CrossRef] [PubMed]
- Pieterse, C.M.J.; Weller, D.M.; Van Wee, S.C.M.; Bakker, P.A.H.M. Induced systemic resistance by beneficial microbes. Annu. Rev. Phytopathol. 2014, 52, 347–375. [Google Scholar] [CrossRef] [PubMed]
- Conrath, U. Molecular aspects of defence priming. Trends Plant Sci. 2011, 16, 524–531. [Google Scholar] [CrossRef] [PubMed]
- He, Y.; Li, Z. Epigenetic environmental memories in plants: Establishment, maintenance, and reprogramming. Trends Genet. 2018, 34, 856–866. [Google Scholar] [CrossRef] [PubMed]
- Nair, A.U.; Bhukya, D.P.N.; Sunkar, R.; Chavali, S.; Allu, A.D. Molecular basis of priming-induced acquired tolerance to multiple abiotic stresses in plants. J. Exp. Bot. 2022, 73, 3355–3371. [Google Scholar] [CrossRef] [PubMed]
- Abbasi, S.; Safaie, N.; Sadeghi, A.; Shamsbakhsh, M. Tissue-specific synergistic biopriming of pepper by two Streptomyces species against Phytophthora capsici. PLoS ONE 2020, 15, e0230531. [Google Scholar] [CrossRef]
- Kamle, M.; Borah, R.; Bora, H.; Jaiswal, A.K.; Singh, R.K.; Kumar, P. Systemic Acquired Resistance (SAR) and Induced Systemic Resistance (ISR): Role and mechanisms of action against phytopathogens. In Fungal Biotechnology and Bioengineering; Hesham, A.E.-L., Upadhyay, R.S., Sharma, G.D., Manoharachary, C., Gupta, V.K., Eds.; Springer International Publishing: Cham, Switzerland, 2020; pp. 457–470. [Google Scholar]
- Wang, X.; Fu-Lai, L.; Dong, J. Priming: A promising strategy for crop production in response to future climate. J. Integr. Agric. 2017, 217, 2709–2716. [Google Scholar] [CrossRef]
- Lukić, N.; Kukavica, B.; Davidović-Plavšić, B.; Hasanagić, D.; Walter, J. Plant stress memory is linked to high levels of anti-oxidative enzymes over several weeks. Environ. Exp. Bot. 2020, 178, 104166. [Google Scholar] [CrossRef]
- Bari, R.; Jones, J.D.G. Role of plant hormones in plant defence response. Plant Mol. Biol. 2009, 69, 473–488. [Google Scholar] [CrossRef] [PubMed]
- Broekgaarden, C.; Caarls, L.; Vos, I.A.; Pieterse, C.M.J.; Van Wees, S.C.M. Ethylene: Traffic controller on hormonal crossroads to defense. Plant Physiol. 2015, 169, 2371–2379. [Google Scholar] [CrossRef] [PubMed]
- Belt, K.; Huang, S.; Thatcher, L.F.; Casarotto, H.; Singh, K.B.; Aken, O.V.; Millar, A.H. Salicylic acid-dependent plant stress signalling via mitochondrial succinate dehydrogenase. Plant Physiol. 2017, 173, 2029–2040. [Google Scholar] [CrossRef] [PubMed]
- Liu, H.; Able, A.J.; Able, J.A. Priming crops for the future: Rewiring stress memory. Trends Plant Sci. 2021, 27, 699–716. [Google Scholar] [CrossRef] [PubMed]
- Vlot, A.C.; Sales, J.H.; Lenk, M.; Bauer, K.; Brambilla, A.; Sommer, A.; Chen, Y.; Wenig, M.; Nayem, S. Systemic propagation of immunity in plants. New Phytol. 2021, 229, 1234–1250. [Google Scholar] [CrossRef] [PubMed]
- Bi, K.; Liang, Y.; Mengiste, T.; Sharon, A. A killing softly: A roadmap of Botrytis cinerea pathogenicity. Trends Plant Sci. 2022, 28, 211–222. [Google Scholar] [CrossRef] [PubMed]
- Castro, C.; Massonnet, M.; Her, N.; DiSalvo, B.; Jablonska, B.; Jeske, D.R.; Cantu, D.; Roper, M.C. Priming grapevine with lipopolysaccharide confers systemic resistance to Pierce’s disease and identifies a peroxidase linked to defense priming. New Phytol. 2023, 239, 687–704. [Google Scholar] [CrossRef]
- Ton, J.; van der Ent, S.; van Hulten, M.; Pozo, M.; van Oosten, V.; van Loon, L.C.; Mauch-Mani, B.; Turlings, T.C.J.; Pieterse, C.M.J. Priming as a mechanisms behind induced resistance against pathogens, insects and abiotic stress. IOBC/wprs Bull. 2009, 44, 3–13. [Google Scholar]
- Walters, D.R.; Ratsep, J.; Havis, N.D. Controlling crop diseases using induced resistance: Challenges for the future. J. Exp. Bot. 2013, 64, 1263–1280. [Google Scholar] [CrossRef]
- Modesti, M.; Marchica, A.; Pisuttu, C.; Risoli, S.; Pellegrini, E.; Bellincontro, A.; Mencarelli, F.; Tonutti, P.; Nali, C. Ozone-induced biochemical and molecular changes in Vitis vinifera leaves and responses to Botrytis cinerea infections. Antioxidants 2023, 12, 343. [Google Scholar] [CrossRef]
- Mutawila, C.; Stander, C.; Halleen, F.; Vivier, M.A.; Mostert, L. Response of Vitis vinifera cell cultures to Eutypa lata and Trichoderma atroviride culture filtrates: Expression of defence-related genes and phenotypes. Protoplasma 2017, 254, 863–879. [Google Scholar] [CrossRef] [PubMed]
- Chong, J.; Le Henanff, G.; Bertsch, C.; Walter, B. Identification, expression analysis and characterization of defense and signaling genes in Vitis vinifera. Plant Physiol. Biochem. 2008, 46, 469–481. [Google Scholar] [CrossRef]
- Aziz, A.; Poinssot, B.; Daire, X.; Adrian, M.; Bézier, A.; Lambert, B.; Joubert, J.M.; Pugin, A. Laminarin elicits defense responses in grapevine and induces protection against Botrytis cinerea and Plasmopara viticola. Mol. Plant-Microbe Interact. 2003, 16, 1118–1128. [Google Scholar] [CrossRef] [PubMed]
- Monteiro, E.; Gonçalves, B.; Cortez, I.; Castro, I. The role of biostimulants as alleviators of biotic and abiotic stresses in grapevine: A review. Plants 2022, 11, 396. [Google Scholar] [CrossRef] [PubMed]
- Rantsiou, K.; Giacosa, S.; Pugliese, M.; Englezos, V.; Ferrocino, I.; Segade, S.R.; Monchiero, M.; Gribaudo, I.; Gambino, G.; Gullino, M.L.; et al. Impact of chemical and alternative fungicides applied to grapevine cv. Nebbiolo on microbial ecology and chemical-physical characteristics at harvest. Front. Plant Sci. 2020, 11, 700. [Google Scholar] [CrossRef] [PubMed]
- Marchica, A.; Cotrozzi, L.; Lorenzini, G.; Nali, C.; Pellegrini, E. Antioxidants and phytohormones act in coordination to regulate sage response to long-term ozone exposure. Plants 2022, 11, 904. [Google Scholar] [CrossRef]
- Pisuttu, C.; Pellegrini, E.; Cotrozzi, L.; Nali, C.; Lorenzini, G. Ecophysiological and biochemical events associated with the challenge of Verticillium dahliae to eggplant. Eur. J. Plant Pathol. 2020, 158, 879–894. [Google Scholar] [CrossRef]
- Tonelli, M.; Pellegrini, E.; D’Angiolillo, F.; Petersen, M.; Nali, C.; Pistelli, L.; Lorenzini, G. Ozone-elicited secondary metabolites in shoot cultures of Melissa officinalis L. Plant Cell Tissue Organ Cult. 2015, 120, 617–629. [Google Scholar] [CrossRef]
- Marchica, A.; Lorenzini, G.; Papini, R.; Bernardi, R.; Nali, C.; Pellegrini, E. Signalling molecules responsive to ozone-induced oxidative stress in Salvia officinalis. Sci. Total Environ. 2019, 657, 568–576. [Google Scholar] [CrossRef]
- Fontana, F.; Santini, A.; Salvini, M.; Pazzagli, L.; Cappugi, G.; Scala, A.; Durante, M.; Bernardi, R. Cerato-platanin treated plane leaves restrict Ceratocystis platani growth and overexpress defence-related genes. J. Plant Pathol. 2008, 90, 295–306. [Google Scholar]
- Bustin, S.A.; Benes, V.; Garson, J.A.; Hellemans, J.; Huggett, J.; Kubista, M.; Mueller, R.; Nolan, T.; Pfaffl, M.W.; Shipley, G.L.; et al. The MIQE Guidelines: Minimum Information for Publication of Quantitative Real-Time PCR Experiments. Clin. Chem. 2009, 55, 611–622. [Google Scholar] [CrossRef] [PubMed]
- Livak, K.J.; Schmittgen, T.D. Analysis of relative gene expression data using real-time quantitative PCR and the 2−ΔΔCT method. Methods 2001, 25, 402–408. [Google Scholar] [CrossRef] [PubMed]
- Lukan, T.; Coll, A. Intertwined roles of reactive oxygen species and salicylic acid signalling are crucial for the plant response to biotic stress. Int. J. Mol. Sci. 2022, 23, 5568. [Google Scholar] [CrossRef] [PubMed]
- Shigenaga, A.M.; Argueso, C.T. No hormone to rule them all: Interactions of plant hormones during the responses of plants to pathogens. Semin. Cell Dev. Biol. 2016, 56, 174–189. [Google Scholar] [CrossRef]
- Dumanović, J.; Nepovimova, E.; Natić, M.; Kuča, K.; Jaćević, V. The significance of reactive oxygen species and antioxidant defense system in plants: A concise overview. Front. Plant Sci. 2021, 11, 2020. [Google Scholar] [CrossRef]
- Yu, S.I.; Kim, H.; Yun, D.J.; Suh, M.C.; Lee, B.H. Post-translational and transcriptional regulation of phenylpropanoid biosynthesis pathway by Kelch repeat F-box protein SAGL1. Plant Mol. Biol. 2019, 99, 135–148. [Google Scholar] [CrossRef]
- Quan, L.J.; Zhang, B.; Shi, W.W.; Li, H.Y. Hydrogen peroxide in plants: A versatile molecule of the reactive oxygen species network. J. Integr. Plant Biol. 2008, 50, 2–18. [Google Scholar] [CrossRef]
- Zheng, T.; Zhang, K.; Sadeghnezhad, E.; Jiu, S.; Zhu, X.; Dong, T.; Liu, Z.; Guan, L.; Jia, H.; Fang, J. Chitinase family genes in grape differentially expressed in a manner specific to fruit species in response to Botrytis cinerea. Mol. Biol. Rep. 2020, 47, 7349–7363. [Google Scholar] [CrossRef]
- Balint-Kurti, P. The plant hypersensitive response: Concepts, control and consequences. Mol. Plant Pathol. 2019, 20, 1163–1178. [Google Scholar] [CrossRef]
- Busam, G.; Kassemeyer, H.H.; Matern, U. Differential expression of chitinases in Vitis vinifera L. responding to systemic acquired resistance activators or fungal challenge. Plant Physiol. 1997, 115, 1029–1038. [Google Scholar] [CrossRef]
- Bézier, A.; Lambert, B.; Baillieul, F. Cloning of a grapevine Botrytis-responsive gene that has homology to the tobacco hypersensitivity-related hsr203J. J. Exp. Bot. 2002, 53, 2279–2280. [Google Scholar] [CrossRef] [PubMed][Green Version]
- Pierpoint, W.S.; Jackson, P.J.; Evans, R.M. The presence of thaumatin-like protein, a chitinase and a glucanase among the pathogenesis-related proteins of potato (Solanum tuberosum). Physiol. Mol. Plant Pathol. 1990, 36, 325–338. [Google Scholar] [CrossRef]




| Et (nl g−1 FW h−1) | SA (µg g−1 FW) | JA (µg g−1 FW) | ABA (ng g−1 FW) | ||||||||||
|---|---|---|---|---|---|---|---|---|---|---|---|---|---|
| dat | C | YE | p | C | YE | p | C | YE | p | C | YE | p | |
| W1 | 0 | 1.44 ± 0.14 | 1.44 ± 0.14 | ns | 16.11 ± 1.12 | 17.75 ± 0.80 | ns | 1.25 ± 0.09 | 1.21 ± 0.17 | ns | 30.65 ± 2.20 | 28.43 ± 2.24 | ns |
| 1 | 1.25 ± 0.13 | 1.16 ± 0.04 | ns | 16.82 ± 0.82 | 17.92 ± 0.79 | ns | 1.01 ± 0.25 | 1.13 ± 0.07 | ns | 47.96 ± 0.42 | 103.89 ± 10.27 | *** | |
| 2 | 1.23 ± 0.10 | 1.28 ± 0.11 | ns | 16.54 ± 1.01 | 13.65 ± 1.08 | ** | 1.10 ± 0.16 | 1.74 ± 0.04 | *** | 43.31 ± 10.77 | 45.33 ± 7.01 | ns | |
| 3 | 1.56 ± 0.11 | 1.11 ± 0.04 | ** | 17.51 ± 0.98 | 11.12 ± 0.86 | *** | 1.30 ± 0.05 | 1.13 ± 0.10 | ns | 35.16 ± 0.80 | 36.63 ± 4.63 | ns | |
| 4 | 1.06 ± 0.10 | 1.17 ± 0.14 | ns | 16.22 ± 0.83 | 10.01 ± 0.92 | *** | 0.99 ± 0.09 | 1.08 ± 0.13 | ns | 37.13 ± 2.11 | 32.53 ± 0.64 | ns | |
| 5 | 1.14 ± 0.14 | 1.29 ± 0.08 | ns | 19.29 ± 0.52 | 14.13 ± 0.89 | *** | 1.05 ± 0.16 | 1.09 ± 0.07 | ns | 35.82 ± 4.82 | 37.47 ± 6.16 | ns | |
| W2 | 1 | 1.21 ± 0.13 | 1.22 ± 0.12 | ns | 14.35 ± 1.37 | 12.48 ± 0.79 | * | 1.03 ± 0.05 | 0.99 ± 0.14 | ns | 55.89 ± 5.31 | 68.14 ± 4.08 | * |
| 2 | 0.95 ± 0.06 | 1.00 ± 0.06 | ns | 15.66 ± 0.46 | 10.81 ± 1.27 | *** | 1.09 ± 0.18 | 1.84 ± 0.05 | *** | 42.89 ± 4.54 | 31.23 ± 6.41 | ns | |
| 3 | 1.08 ± 0.18 | 1.03 ± 0.09 | ns | 14.33 ± 0.65 | 11.91 ± 0.51 | *** | 1.03 ± 0.05 | 1.09 ± 0.16 | ns | 45.27 ± 5.08 | 85.23 ± 6.50 | *** | |
| 4 | 1.13 ± 0.10 | 1.21 ± 0.09 | ns | 11.06 ± 0.85 | 7.32 ± 0.73 | *** | 1.12 ± 0.12 | 0.98 ± 0.11 | ns | 34.72 ± 1.76 | 44.96 ± 3.68 | * | |
| 5 | 0.96 ± 0.05 | 0.94 ± 0.03 | ns | 12.75 ± 1.19 | 9.86 ± 0.79 | ** | 1.03 ± 0.14 | 1.30 ± 0.12 | ns | 31.64 ± 3.33 | 28.28 ± 5.26 | ns | |
| W3 | 1 | 0.97 ± 0.12 | 0.88 ± 0.03 | ns | 15.36 ± 0.80 | 13.22 ± 1.17 | ns | 1.25 ± 0.20 | 1.11 ± 0.10 | ns | 26.35 ± 4.35 | 44.56 ± 4.06 | *** |
| 2 | 0.99 ± 0.04 | 0.95 ± 0.06 | ns | 16.01 ± 1.00 | 16.08 ± 0.95 | ns | 1.14 ± 0.07 | 2.10 ± 0.09 | *** | 18.20 ± 1.46 | 18.91 ± 2.47 | ns | |
| 3 | 1.01 ± 0.03 | 0.97 ± 0.06 | ns | 13.29 ± 1.12 | 15.44 ± 0.93 | ns | 1.06 ± 0.05 | 1.10 ± 0.07 | ns | 42.84 ± 1.34 | 34.70 ± 5.22 | ns | |
| 4 | 1.14 ± 0.11 | 0.81 ± 0.08 | * | 10.64 ± 1.07 | 9.08 ± 0.34 | ns | 1.20 ± 0.24 | 1.25 ± 0.04 | ns | 28.35 ± 6.22 | 58.93 ± 9.37 | ** | |
| 5 | 1.04 ± 0.05 | 1.00 ± 0.04 | ns | 11.53 ± 1.18 | 13.23 ± 0.74 | ns | 1.11 ± 0.16 | 1.12 ± 0.08 | ns | 51.92 ± 1.97 | 48.14 ± 2.30 | ns | |
| H2O2 (mmol g−1 FW) | ●O2− (mmol g−1 FW) | ||||||
|---|---|---|---|---|---|---|---|
| dat | C | YE | p | C | YE | p | |
| W1 | 0 | 0.20 ± 0.02 | 0.19 ± 0.01 | ns | 0.006 ± 0.000 | 0.006 ± 0.001 | ns |
| 1 | 0.21 ± 0.03 | 0.24 ± 0.01 | ns | 0.006 ± 0.000 | 0.007 ± 0.001 | ns | |
| 2 | 0.23 ± 0.02 | 0.22 ± 0.03 | ns | 0.006 ± 0.001 | 0.006 ± 0.000 | ns | |
| 3 | 0.21 ± 0.03 | 0.22 ± 0.04 | ns | 0.007 ± 0.001 | 0.012 ± 0.001 | *** | |
| 4 | 0.22 ± 0.01 | 0.31 ± 0.03 | ** | 0.007 ± 0.000 | 0.009 ± 0.001 | * | |
| 5 | 0.21 ± 0.02 | 0.24 ± 0.02 | ns | 0.006 ± 0.000 | 0.006 ± 0.001 | ns | |
| W2 | 1 | 0.22 ± 0.01 | 0.22 ± 0.00 | ns | 0.009 ± 0.001 | 0.010 ± 0.000 | ns |
| 2 | 0.24 ± 0.02 | 0.27 ± 0.02 | ns | 0.009 ± 0.001 | 0.009 ± 0.000 | ns | |
| 3 | 0.24 ± 0.00 | 0.23 ± 0.02 | ns | 0.011 ± 0.000 | 0.010 ± 0.001 | ns | |
| 4 | 0.21 ± 0.01 | 0.32 ± 0.00 | *** | 0.011 ± 0.001 | 0.011 ± 0.001 | ns | |
| 5 | 0.20 ± 0.02 | 0.26 ± 0.01 | ** | 0.010 ± 0.000 | 0.011 ± 0.000 | ns | |
| W3 | 1 | 0.22 ± 0.01 | 0.24 ± 0.01 | ns | 0.006 ± 0.000 | 0.007 ± 0.001 | ns |
| 2 | 0.22 ± 0.02 | 0.38 ± 0.03 | *** | 0.006 ± 0.001 | 0.008 ± 0.000 | ns | |
| 3 | 0.23 ± 0.01 | 0.27 ± 0.01 | ** | 0.007 ± 0.000 | 0.006 ± 0.001 | ns | |
| 4 | 0.19 ± 0.01 | 0.21 ± 0.03 | ns | 0.007 ± 0.000 | 0.007 ± 0.000 | ns | |
| 5 | 0.18 ± 0.01 | 0.18 ± 0.02 | ns | 0.006 ± 0.001 | 0.007 ± 0.000 | ns | |
| HORAC (mmol GAE g−1 FW) | ORAC (mmol TE g−1 FW) | ||||||
|---|---|---|---|---|---|---|---|
| dat | C | YE | p | C | YE | p | |
| W1 | 0 | 128.52 ± 4.38 | 130.25 ± 2.66 | ns | 125.24 ± 1.00 | 124.24 ± 2.49 | ns |
| 1 | 128.73 ± 3.33 | 128.71 ± 5.24 | ns | 126.09 ± 4.43 | 124.85 ± 7.95 | ns | |
| 2 | 128.66 ± 2.09 | 128.54 ± 5.17 | ns | 125.00 ± 3.76 | 125.76 ± 5.74 | ns | |
| 3 | 129.91 ± 2.48 | 135.40 ± 3.76 | ns | 131.98 ± 3.04 | 150.46 ± 4.84 | *** | |
| 4 | 131.64 ± 2.01 | 143.59 ± 2.63 | * | 127.56 ± 4.30 | 139.12 ± 2.53 | ** | |
| 5 | 132.34 ± 3.32 | 137.68 ± 1.05 | ns | 125.93 ± 0.12 | 159.51 ± 3.62 | *** | |
| W2 | 1 | 128.28 ± 0.92 | 132.63 ± 2.71 | ns | 126.69 ± 4.91 | 122.58 ± 7.01 | ns |
| 2 | 132.09 ± 4.19 | 136.83 ± 3.26 | ns | 124.98 ± 5.48 | 131.38 ± 1.50 | ns | |
| 3 | 144.68 ± 1.48 | 143.09 ± 4.83 | ns | 127.65 ± 7.32 | 126.86 ± 5.88 | ns | |
| 4 | 137.11 ± 2.57 | 144.66 ± 1.51 | ns | 126.59 ± 7.24 | 119.51 ± 7.13 | ns | |
| 5 | 132.29 ± 2.75 | 131.60 ± 1.97 | ns | 120.83 ± 3.53 | 121.80 ± 6.00 | ns | |
| W3 | 1 | 127.58 ± 2.43 | 127.72 ± 1.42 | ns | 129.61 ± 3.26 | 133.44 ± 3.04 | ns |
| 2 | 127.38 ± 2.49 | 127.74 ± 1.83 | ns | 123.65 ± 3.54 | 130.22 ± 5.40 | ns | |
| 3 | 126.95 ± 3.60 | 143.12 ± 2.84 | *** | 130.81 ± 3.33 | 151.62 ± 6.73 | *** | |
| 4 | 128.45 ± 4.34 | 124.34 ± 4.50 | ns | 133.16 ± 1.78 | 132.18 ± 4.83 | ns | |
| 5 | 126.97 ± 2.89 | 129.32 ± 1.72 | ns | 131.27 ± 7.25 | 134.58 ± 4.64 | ns | |
Disclaimer/Publisher’s Note: The statements, opinions and data contained in all publications are solely those of the individual author(s) and contributor(s) and not of MDPI and/or the editor(s). MDPI and/or the editor(s) disclaim responsibility for any injury to people or property resulting from any ideas, methods, instructions or products referred to in the content. |
© 2024 by the authors. Licensee MDPI, Basel, Switzerland. This article is an open access article distributed under the terms and conditions of the Creative Commons Attribution (CC BY) license (https://creativecommons.org/licenses/by/4.0/).
Share and Cite
Scimone, G.; Vicente, I.; Bartalena, G.; Pisuttu, C.; Mariotti, L.; Risoli, S.; Pellegrini, E.; Sarrocco, S.; Nali, C. Unravelling the Biochemical and Molecular Priming Effect of a New Yeast-Derived Product: New Perspectives towards Disease Management. Agriculture 2024, 14, 1047. https://doi.org/10.3390/agriculture14071047
Scimone G, Vicente I, Bartalena G, Pisuttu C, Mariotti L, Risoli S, Pellegrini E, Sarrocco S, Nali C. Unravelling the Biochemical and Molecular Priming Effect of a New Yeast-Derived Product: New Perspectives towards Disease Management. Agriculture. 2024; 14(7):1047. https://doi.org/10.3390/agriculture14071047
Chicago/Turabian StyleScimone, Giulia, Isabel Vicente, Guido Bartalena, Claudia Pisuttu, Lorenzo Mariotti, Samuele Risoli, Elisa Pellegrini, Sabrina Sarrocco, and Cristina Nali. 2024. "Unravelling the Biochemical and Molecular Priming Effect of a New Yeast-Derived Product: New Perspectives towards Disease Management" Agriculture 14, no. 7: 1047. https://doi.org/10.3390/agriculture14071047
APA StyleScimone, G., Vicente, I., Bartalena, G., Pisuttu, C., Mariotti, L., Risoli, S., Pellegrini, E., Sarrocco, S., & Nali, C. (2024). Unravelling the Biochemical and Molecular Priming Effect of a New Yeast-Derived Product: New Perspectives towards Disease Management. Agriculture, 14(7), 1047. https://doi.org/10.3390/agriculture14071047

