Fermentation Characteristics, Chemical Composition, and Aerobic Stability in Whole Crop Corn Silage Treated with Lactic Acid Bacteria or Artemisia argyi
Abstract
1. Introduction
2. Materials and Methods
2.1. Materials Collection and Silage Preparation
2.2. Fermentation Quality, Chemical Composition, and Microbial Counts
2.3. Aerobic Stability
2.4. Toxin Contents Determination
2.5. Bacterial and Fungi Community Analyses
2.6. Metagenomic Sequencing
2.7. Statistical Analysis
3. Results
3.1. Characteristics of Whole Crop Corn and Artemisia Argyi before Ensiling
3.2. Fermentation Quality, Chemical Composition, and Microbial Population of Silage
3.2.1. Fermentation Quality
3.2.2. Chemical Composition
3.2.3. Microbial Population
3.3. Aerobic Stability
3.4. Toxin Contents
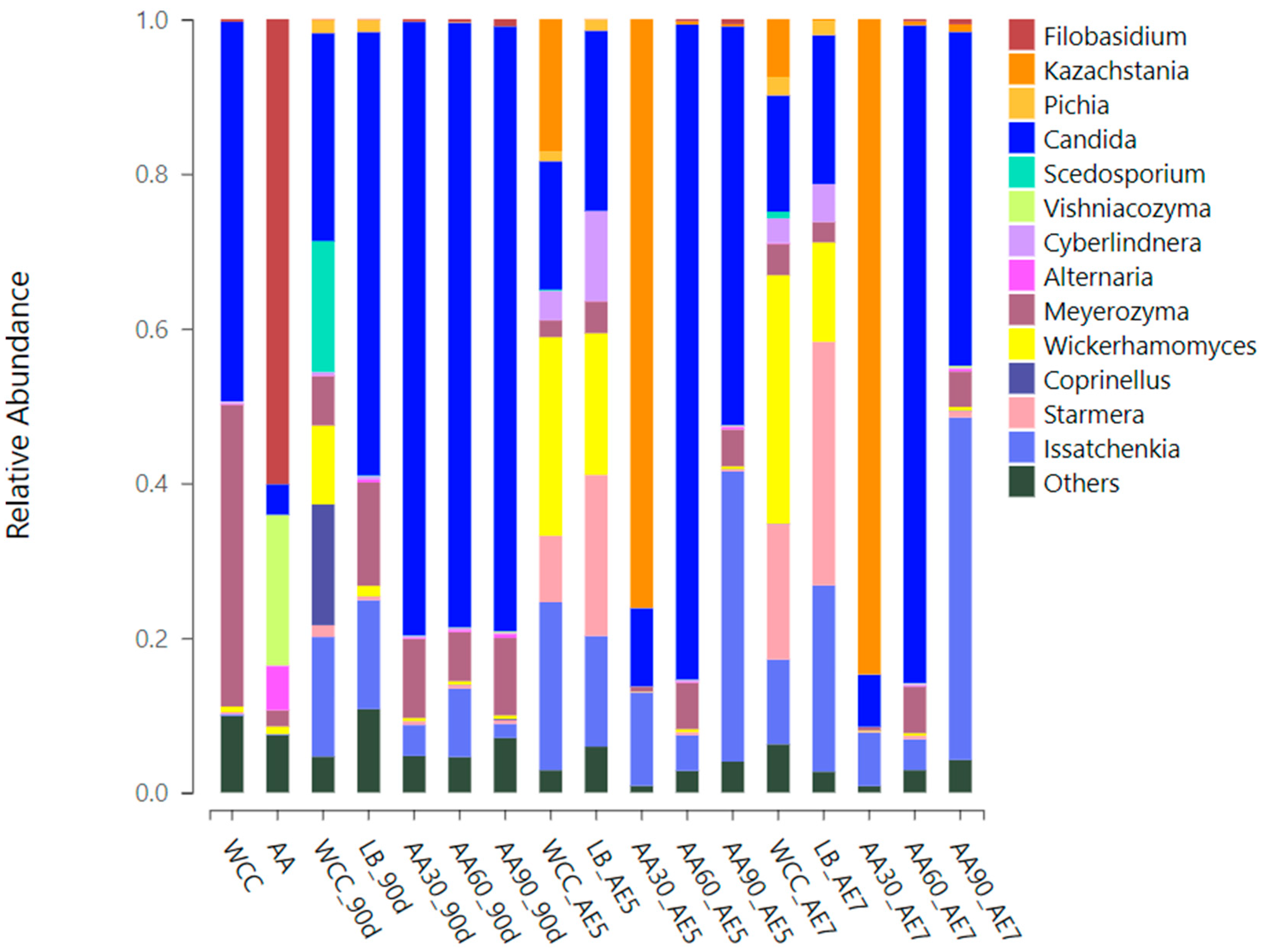
3.5. Dynamics Changes in Microbial Communities in Fresh Materials and Silage
3.5.1. Microbial Community Abundance
3.5.2. Correlation Analyses of Microbial Communities and Fermentation Products
3.6. Metagenomic Analyses of Microorganisms
4. Discussion
4.1. Analysis of Fermentation Quality Changes during the Fermentation and Aerobic Exposure Phases
4.2. Analysis of Microbial Community Changes during Fermentation and Aerobic Exposure Stages
4.3. Metagenomic Analysis at the End of Aerobic Exposure
5. Conclusions
Author Contributions
Funding
Institutional Review Board Statement
Informed Consent Statement
Data Availability Statement
Conflicts of Interest
References
- Nazar, M.; Wang, S.; Zhao, J.; Dong, Z.; Li, J.; Kaka, N.A.; Shao, T. The feasibility and effects of exogenous epiphytic microbiota on the fermentation quality and microbial community dynamics of whole crop corn. Bioresour. Technol. 2020, 306, 123106. [Google Scholar] [CrossRef] [PubMed]
- Wang, W.; Tan, Z.; Gu, L.; Ma, H.; Wang, Z.; Wang, L.; Wu, G.; Qin, G.; Wang, Y.; Pang, H. Variation of microbial community and fermentation quality in corn silage treated with lactic acid bacteria and Artemisia argyi during aerobic exposure. Toxins 2022, 14, 349. [Google Scholar] [CrossRef]
- Wang, Z.; Tan, Z.; Wu, G.; Wang, L.; Qin, G.; Wang, Y.; Pang, H. Microbial community and fermentation characteristic of whole-crop wheat silage treated by lactic acid bacteria and Artemisia argyi during ensiling and aerobic exposure. Front. Microbiol. 2022, 13, 1004495. [Google Scholar] [CrossRef] [PubMed]
- Borreani, G.; Tabacco, E.; Schmidt, R.J.; Holmes, B.J.; Muck, R.E. Silage review: Factors affecting dry matter and quality losses in silages. J. Dairy Sci. 2018, 101, 3952–3979. [Google Scholar] [CrossRef] [PubMed]
- Ferrero, F.; Prencipe, S.; Spadaro, D.; Gullino, M.L.; Cavallarin, L.; Piano, S.; Tabacco, E.; Borreani, G. Increase in aflatoxins due to Aspergillus section Flavi multiplication during the aerobic deterioration of corn silage treated with different bacteria inocula. J. Dairy Sci. 2019, 102, 1176–1193. [Google Scholar] [CrossRef] [PubMed]
- Bernardes, T.F.; Nussio, L.G.; do Amaral, R.C. Top spoilage losses in maize silage sealed with plastic films with different permeabilities to oxygen. Grass Forage Sci. 2012, 67, 34–42. [Google Scholar] [CrossRef]
- Borreani, G.; Tabacco, E.; Cavallarin, L. A new oxygen barrier film reduces aerobic deterioration in farm-scale corn silage. J. Dairy Sci. 2007, 90, 4701–4706. [Google Scholar] [CrossRef] [PubMed]
- Chen, L.; Wang, Y.; Li, X.; MacAdam, J.W.; Zhang, Y. Interaction between plants and epiphytic lactic acid bacteria that affect plant silage fermentation. Front. Microbiol. 2023, 14, 1164904. [Google Scholar] [CrossRef]
- Squara, S.; Ferrero, F.; Tabacco, E.; Cordero, C.; Borreani, G. Effect of inoculation with Lentilactobacillus buchneri and Lacticaseibacillus paracasei on the maize silage volatilome: The advantages of advanced 2D-chromatographic fingerprinting approaches. J. Agric. Food Chem. 2022, 70, 12232–12248. [Google Scholar] [CrossRef]
- Kleinschmit, D.H.; Kung, L., Jr. The effects of Lactobacillus buchneri 40788 and Pediococcus pentosaceus R1094 on the fermentation of corn silage. J. Dairy Sci. 2006, 89, 3999–4004. [Google Scholar] [CrossRef]
- Wu, B.; Hu, Z.; Wei, M.; Yong, M.; Niu, H. Effects of inoculation of Lactiplantibacillus plantarum and Lentilactobacillus buchneri on fermentation quality, aerobic stability, and microbial community dynamics of wilted Leymus chinensis silage. Front. Microbiol. 2022, 13, 928731. [Google Scholar] [CrossRef] [PubMed]
- Hu, W.; Schmidt, R.J.; McDonell, E.E.; Klingerman, C.M.; Kung, L., Jr. The effect of Lactobacillus buchneri 40788 or Lactobacillus plantarum MTD-1 on the fermentation and aerobic stability of corn silages ensiled at two dry matter contents. J. Dairy Sci. 2009, 92, 3907–3914. [Google Scholar] [CrossRef] [PubMed]
- Miao, Y.; Luo, D.; Zhao, T.; Du, H.; Liu, Z.; Xu, Z.; Guo, L.; Chen, C.; Peng, S.; Li, J.X.; et al. Genome sequencing reveals chromosome fusion and extensive expansion of genes related to secondary metabolism in Artemisia argyi. Plant Biotechnol. J. 2022, 20, 1902–1915. [Google Scholar] [CrossRef] [PubMed]
- Song, X.; Wen, X.; He, J.; Zhao, H.; Li, S.; Wang, M. Phytochemical components and biological activities of Artemisia argyi. J. Funct. Foods 2019, 52, 648–662. [Google Scholar] [CrossRef]
- Pagning, A.L.N.; Tamokouc, J.D.; Lateef, M.; Tapondjou, L.A.; Kuiate, J.R.; Ngnokam, D.; Ali, M.S. New triterpene and new flavone glucoside from Rhynchospora corymbosa (Cyperaceae) with their antimicrobial, tyrosinase and butyrylcholinesterase inhibitory activities. Phytochem. Lett. 2016, 16, 121–128. [Google Scholar] [CrossRef]
- Yun, C.; Jung, Y.; Chun, W.; Yang, B.; Ryu, J.; Lim, C.; Kim, J.H.; Kim, H.; Cho, S.I. Anti-inflammatory effects of Artemisia leaf extract in mice with contact dermatitis in vitro and in vivo. Mediat. Inflamm. 2016, 8027537. [Google Scholar]
- Kim, J.K.; Shin, E.C.; Lim, H.J.; Choi, S.J.; Kim, C.R.; Suh, S.H.; Kim, C.J.; Park, G.G.; Park, C.S.; Kim, H.K.; et al. Characterization of nutritional composition, antioxidative capacity, and sensory attributes of seomae mugwort, a native korean variety of Artemisia argyi H. Lév. & Vaniot. J. Anal. Methods Chem. 2015, 2015, 916346. [Google Scholar]
- Wang, Z.; Tan, Z.; Wu, G.; Wang, L.; Qin, G.; Wang, Y.; Pang, H. Investigation on fermentation characteristics and microbial communities of wheat straw silage with different proportion Artemisia argyi. Toxins 2023, 15, 330. [Google Scholar] [CrossRef]
- Wang, W.; Tan, Z.; Gu, L.; Ma, H.; Wang, Z.; Wang, L.; Wu, G.; Qin, G.; Wang, Y.; Pang, H. Dynamics changes of microorganisms community and fermentation quality in soybean meal prepared with lactic acid bacteria and Artemisia argyi through fermentation and aerobic exposure processes. Foods 2022, 11, 795. [Google Scholar] [CrossRef]
- Gueimonde, M.; Collado, M.C. Metagenomics and probiotics. Clin. Microbiol. Infect. 2012, 18 (Suppl. S4), 32–34. [Google Scholar] [CrossRef]
- Okoye, C.O.; Wei, Z.; Jiang, H.; Wu, Y.; Wang, Y.; Gao, L.; Li, X.; Jiang, J. Metagenomics analysis reveals the performance of homo- and heterofermentative lactic acid bacteria in alfalfa silage fermentation, bacterial community, and functional profiles. J. Anim. Sci. 2023, 101, skad163. [Google Scholar] [CrossRef] [PubMed]
- Li, R.; Hu, M.; Jiang, X.; Xu, C. Metagenomic insights into the microbiota involved in lactate and butyrate production and manipulating their synthesis in alfalfa silage. J. Appl. Microbiol. 2023, 134, lxad197. [Google Scholar] [CrossRef] [PubMed]
- You, L.; Bao, W.; Yao, C.; Zhao, F.; Jin, H.; Huang, W.; Li, B.; Kwok, L.Y.; Liu, W. Changes in chemical composition, structural and functional microbiome during alfalfa (Medicago sativa) ensilage with Lactobacillus plantarum PS-8. Anim. Nutr. 2022, 9, 100–109. [Google Scholar] [CrossRef] [PubMed]
- Broderick, G.A.; Kang, J.H. Automated simultaneous determination of ammonia and total amino acids in ruminal fluid and in vitro media. J. Dairy Sci. 1980, 63, 64–75. [Google Scholar] [CrossRef] [PubMed]
- Wang, W.; Ma, H.; Yu, H.; Qin, G.; Tan, Z.; Wang, Y.; Pang, H. Screening of Lactobacillus plantarum subsp. plantarum with potential probiotic activities for inhibiting ETEC K88 in weaned piglets. Molecules 2020, 25, 4481. [Google Scholar] [CrossRef] [PubMed]
- Pang, H.; Qin, G.; Tan, Z.; Li, Z.; Wang, Y.; Cai, Y. Natural populations of lactic acid bacteria associated with silage fermentation as determined by phenotype, 16S ribosomal RNA and recA gene analysis. Syst. Appl. Microbiol. 2011, 34, 235–241. [Google Scholar] [CrossRef] [PubMed]
- Van Soest, P.J.; Robertson, J.B.; Lewis, B.A. Methods for dietary fiber, neutral detergent fiber, and nonstarch polysaccharides in relation to animal nutrition. J. Dairy Sci. 1991, 74, 3583–3597. [Google Scholar] [CrossRef]
- AOAC. Official Methods of Analysis, Association of Official Analytical Chemists, 22nd ed.; AOAC: Artington, VA, USA, 2023. [Google Scholar]
- He, L.; Zhou, W.; Xing, Y.; Pian, R.; Chen, X.; Zhang, Q. Improving the quality of rice straw silage with Moringa oleifera leaves and propionic acid: Fermentation, nutrition, aerobic stability and microbial communities. Bioresour. Technol. 2020, 299, 122579. [Google Scholar] [CrossRef]
- Guyader, J.; Baron, V.; Beauchemin, K. Corn forage yield and quality for silage in short growing season areas of the Canadian prairies. Agronomy 2018, 8, 164. [Google Scholar] [CrossRef]
- Li, P.; Zhang, Y.; Gou, W.; Cheng, Q.; Bai, S.; Cai, Y. Silage fermentation and bacterial community of bur clover, annual ryegrass and their mixtures prepared with microbial inoculant and chemical additive. Anim. Feed Sci. Technol. 2019, 247, 285–293. [Google Scholar] [CrossRef]
- Huang, Y.; Liang, L.; Dai, S.; Wu, C.; Chen, C.; Hao, J. Effect of different regions and ensiling periods on fermentation quality and the bacterial community of whole-plant maize silage. Front. Microbiol. 2021, 12, 743695. [Google Scholar] [CrossRef] [PubMed]
- Lin, C.; Bolsen, K.K.; Brent, B.E.; Hart, R.A.; Dickerson, J.T.; Feyerherm, A.M.; Aimutis, W.R. Epiphytic microflora on alfalfa and whole-plant corn. J. Dairy Sci. 1992, 75, 2484–2493. [Google Scholar] [CrossRef] [PubMed]
- Ni, K.; Wang, F.; Zhu, B.; Yang, J.; Zhou, G.; Pan, Y.; Tao, Y.; Zhong, J. Effects of lactic acid bacteria and molasses additives on the microbial community and fermentation quality of soybean silage. Bioresour. Technol. 2017, 238, 706–715. [Google Scholar] [CrossRef]
- Kung, L.; Shaver, R.D.; Grant, R.J.; Schmidt, R.J. Silage review: Interpretation of chemical, microbial, and organoleptic components of silages. J. Dairy Sci. 2018, 101, 4020–4033. [Google Scholar] [CrossRef] [PubMed]
- Kordali, S.; Kotan, R.; Mavi, A.; Cakir, A.; Ala, A.; Yildirim, A. Determination of the chemical composition and antioxidant activity of the essential oil of Artemisia dracunculus and of the antifungal and antibacterial activities of Turkish Artemisia absinthium, A. dracunculus, Artemisia santonicum, and Artemisia spicigera essential oils. J. Agric. Food Chem. 2005, 53, 9452–9458. [Google Scholar]
- Bordean, M.E.; Ungur, R.A.; Toc, D.A.; Borda, I.M.; Marțiș, G.S.; Pop, C.R.; Filip, M.; Vlassa, M.; Nasui, B.A.; Pop, A.; et al. Antibacterial and phytochemical screening of Artemisia species. Antioxidants 2023, 12, 596. [Google Scholar] [CrossRef] [PubMed]
- Wang, Y.; Wang, C.; Zhou, W.; Yang, F.Y.; Chen, X.Y.; Zhang, Q. Effects of wilting and Lactobacillus plantarum addition on the fermentation quality and microbial community of Moringa oleifera leaf silage. Front. Microbiol. 2018, 9, 1817. [Google Scholar] [CrossRef] [PubMed]
- Wang, E.; Wang, J.; Lv, J.; Sun, X.; Kong, F.; Wang, S.; Wang, Y.; Yang, H.; Cao, Z.; Li, S.; et al. Comparison of ruminal degradability, indigestible neutral detergent fiber, and total-tract digestibility of three main crop straws with alfalfa hay and corn silage. Animals 2021, 11, 3218. [Google Scholar] [CrossRef] [PubMed]
- Drouin, P.; Tremblay, J.; Renaud, J.; Apper, E. Microbiota succession during aerobic stability of maize silage inoculated with Lentilactobacillus buchneri NCIMB 40788 and Lentilactobacillus hilgardii CNCM-I-4785. Microbiologyopen 2021, 10, e1153. [Google Scholar] [CrossRef]
- Batiha, G.E.; Olatunde, A.; El-Mleeh, A.; Hetta, H.F.; Al-Rejaie, S.; Alghamdi, S.; Zahoor, M.; Magdy Beshbishy, A.; Murata, T.; Zaragoza-Bastida, A.; et al. Bioactive compounds, pharmacological actions, and pharmacokinetics of wormwood (Artemisia absinthium). Antibiotics 2020, 9, 353. [Google Scholar] [CrossRef]
- Reisinger, N.; Schürer-Waldheim, S.; Mayer, E.; Debevere, S.; Antonissen, G.; Sulyok, M.; Nagl, V. Mycotoxin occurrence in maize silage-A neglected risk for bovine gut health? Toxins 2019, 11, 577. [Google Scholar] [CrossRef] [PubMed]
- Bennett, J.W.; Klich, M. Mycotoxins. Clin. Microbiol. Rev. 2003, 16, 497–516. [Google Scholar] [CrossRef] [PubMed]
- Li, J.; Wang, W.; Chen, S.; Shao, T.; Tao, X.; Yuan, X. Effect of lactic acid bacteria on the fermentation quality and mycotoxins concentrations of corn silage infested with mycotoxigenic fungi. Toxins 2021, 13, 699. [Google Scholar] [CrossRef] [PubMed]
- Liu, B.; Huan, H.; Gu, H.; Xu, N.; Shen, Q.; Ding, C. Dynamics of a microbial community during ensiling and upon aerobic exposure in lactic acid bacteria inoculation-treated and untreated barley silages. Bioresour. Technol. 2019, 273, 212–219. [Google Scholar] [CrossRef] [PubMed]
- Büttner, D.; Bonas, U. Regulation and secretion of Xanthomonas virulence factors. FEMS Microbiol. Rev. 2010, 34, 107–133. [Google Scholar] [CrossRef]
- Keshri, J.; Chen, Y.; Pinto, R.; Kroupitski, Y.; Weinberg, Z.G.; Sela Saldinger, S. Microbiome dynamics during ensiling of corn with and without Lactobacillus plantarum inoculant. Appl. Microbiol. Biotechnol. 2018, 102, 4025–4037. [Google Scholar] [CrossRef]
- Wang, T.; Zhang, J.; Shi, W.; Sun, J.; Xia, T.; Huang, F.; Liu, Y.; Li, H.; Teng, K.; Zhong, J. Dynamic changes in fermentation quality and structure and function of the microbiome during mixed silage of Sesbania cannabina and sweet sorghum grown on saline-alkaline land. Microbiol. Spectr. 2022, 10, e0248322. [Google Scholar] [CrossRef]
- Ogunade, I.M.; Jiang, Y.; Kim, D.H.; Cervantes, A.A.P.; Arriola, K.G.; Vyas, D.; Weinberg, Z.G.; Jeong, K.C.; Adesogan, A.T. Fate of Escherichia coli O157:H7 and bacterial diversity in corn silage contaminated with the pathogen and treated with chemical or microbial additives. J. Dairy Sci. 2017, 100, 1780–1794. [Google Scholar] [CrossRef]
- Pahlow, G.; Muc, R.E.; Driehuis, F.; Oude Elferink, S.J.W.H.; Spoelstra, S.F. Microbiology of ensiling. Silage Sci. Technol. 2003, 42, 31–93. [Google Scholar]
- Xu, S.; Yang, J.; Qi, M.; Smiley, B.; Rutherford, W.; Wang, Y.; McAllister, T.A. Impact of Saccharomyces cerevisiae and Lactobacillus buchneri on microbial communities during ensiling and aerobic spoilage of corn silage. J. Anim. Sci. 2019, 97, 1273–1285. [Google Scholar] [CrossRef]
- Buerth, C.; Tielker, D.; Ernst, J.F. Candida utilis and Cyberlindnera (Pichia) jadinii: Yeast relatives with expanding applications. Appl. Microbiol. Biotechnol. 2016, 100, 6981–6990. [Google Scholar] [CrossRef] [PubMed]
- Olsen, M.A.; Vhile, S.G.; Porcellato, D.; Kidane, A.; Skeie, S.B. Feeding concentrates with different protein sources to high-yielding, mid-lactation Norwegian Red cows: Effect on cheese ripening. J. Dairy Sci. 2021, 104, 4062–4073. [Google Scholar] [CrossRef] [PubMed]
- Doron, I.; Leonardi, I.; Li, X.V.; Fiers, W.D.; Semon, A.; Bialt-DeCelie, M.; Migaud, M.; Gao, I.H.; Lin, W.Y.; Kusakabe, T.; et al. Human gut mycobiota tune immunity via CARD9-dependent induction of anti-fungal IgG antibodies. Cell 2021, 184, 1017–1031.e14. [Google Scholar] [CrossRef] [PubMed]
- Chen, D.; Zheng, M.; Zhou, Y.; Gao, L.; Zhou, W.; Wang, M.; Zhu, Y.; Xu, W. Improving the quality of Napier grass silage with pyroligneous acid: Fermentation, aerobic stability, and microbial communities. Front. Microbiol. 2022, 13, 1034198. [Google Scholar] [CrossRef] [PubMed]
- Dong, T.; Liang, Y.; Shao, T.; Wang, W.; Ma, P.; Wang, W.; Li, J.; Yuan, X. Detoxifying mycotoxins and antifungal properties of two rumen-derived Enterococcus species in artificially contaminated corn silages. J. Sci. Food Agric. 2023, 103, 5981–5991. [Google Scholar] [CrossRef] [PubMed]
- Adewara, O.A.; Ogunbanwo, S.T. Acid stress responses of Lactobacillus amylovorus and Candida kefyr isolated from fermented sorghum gruel and their application in food fermentation. Can. J. Microbiol. 2022, 68, 269–280. [Google Scholar] [CrossRef] [PubMed]
- Li, N.; Zhang, B.; Zhao, S.; Niu, M.; Jia, C.; Huang, Q.; Liu, Y.; Lin, Q. Influence of Lactobacillus/Candida fermentation on the starch structure of rice and the related noodle features. Int. J. Biol. Macromol. 2019, 121, 882–888. [Google Scholar] [CrossRef]
- Agyirifo, D.S.; Wamalwa, M.; Otwe, E.P.; Galyuon, I.; Runo, S.; Takrama, J.; Ngeranwa, J. Metagenomics analysis of cocoa bean fermentation microbiome identifying species diversity and putative functional capabilities. Heliyon 2019, 5, e02170. [Google Scholar] [CrossRef] [PubMed]
- Zhu, Z.; Zhang, J.; Wang, Q.; Cui, Z.; Qi, Q. Recent advances in the production of high-value products of porphyrin metabolism pathways and their microbial synthesis. Sci. Sin. Vitae 2020, 50, 1405–1417. (In Chinese) [Google Scholar]
- Maeda, H.; Dudareva, N. The shikimate pathway and aromatic amino acid biosynthesis in plants. Annu. Rev. Plant Biol. 2012, 63, 73–105. [Google Scholar] [CrossRef]
- Song, L.; Yang, D.; Liu, R.; Liu, S.; Dai, X. The dissolution of polysaccharides and amino acids enhanced lactic acid production from household food waste during pretreatment process. Sci. Total Environ. 2023, 864, 161068. [Google Scholar] [CrossRef] [PubMed]
- Boerman, J.P.; Lock, A.L. Effect of unsaturated fatty acids and triglycerides from soybeans on milk fat synthesis and biohydrogenation intermediates in dairy cattle. J. Dairy Sci. 2014, 97, 7031–7042. [Google Scholar] [CrossRef]
- Sato, Y.; Tominaga, K.; Aoki, H.; Murayama, M.; Oishi, K.; Hirooka, H.; Yoshida, T.; Kumagai, H. Calcium salts of long-chain fatty acids from linseed oil decrease methane production by altering the rumen microbiome in vitro. PLoS ONE 2020, 15, e0242158. [Google Scholar] [CrossRef]
- Coulthurst, S.J.; Barnard, A.M.; Salmond, G.P. Regulation and biosynthesis of carbapenem antibiotics in bacteria. Nat. Rev. Microbiol. 2005, 3, 295–306. [Google Scholar] [CrossRef]
- de OBuanafina, M.M. Feruloylation in grasses: Current and future perspectives. Mol. Plant 2009, 2, 861–872. [Google Scholar] [CrossRef] [PubMed]
- Sørlie, M.; Keller, M.B.; Westh, P. The interplay between lytic polysaccharide monooxygenases and glycoside hydrolases. Essays Biochem. 2023, 67, 551–559. [Google Scholar]
- Nagae, M.; Yamaguchi, Y.; Taniguchi, N.; Kizuka, Y. 3D structure and function of glycosyltransferases involved in N-glycan maturation. Int. J. Mol. Sci. 2020, 21, 437. [Google Scholar] [CrossRef]
- Karav, S.; Le Parc, A.; Leite Nobrega de Moura Bell, J.M.; Frese, S.A.; Kirmiz, N.; Block, D.E.; Barile, D.; Mills, D.A. Oligosaccharides released from milk glycoproteins are selective growth substrates for infant-associated bifidobacteria. Appl. Environ. Microbiol. 2016, 82, 3622–3630. [Google Scholar] [CrossRef] [PubMed]
- Bai, Y.; Tao, J.; Zhou, J.; Fan, Q.; Liu, M.; Hu, Y.; Xu, Y.; Zhang, L.; Yuan, J.; Li, W.; et al. Fucosylated human milk oligosaccharides and N-glycans in the milk of chinese mothers regulate the gut microbiome of their breast-fed infants during different lactation stages. mSystems 2018, 3, e00206-18. [Google Scholar] [CrossRef]
- Zhang, S.; Xu, Z.; Wang, T.; Kong, J. Endoglucanase improve the growth of homofermentative Lactobacillus spp. in ensilages. J. Biotechnol. 2019, 295, 55–62. [Google Scholar] [CrossRef]
- Wright, G.D. Antibiotic resistance in the environment: A link to the clinic? Curr. Opin. Microbiol. 2010, 13, 589–594. [Google Scholar] [CrossRef] [PubMed]
- Juricova, H.; Matiasovicova, J.; Kubasova, T.; Cejkova, D.; Rychlik, I. The distribution of antibiotic resistance genes in chicken gut microbiota commensals. Sci. Rep. 2021, 11, 3290. [Google Scholar] [CrossRef]
- Blair, J.M.; Webber, M.A.; Baylay, A.J.; Ogbolu, D.O.; Piddock, L.J. Molecular mechanisms of antibiotic resistance. Nat. Rev. Microbiol. 2015, 13, 42–51. [Google Scholar] [CrossRef]
- Nagy, S.Á.; Tóth, A.G.; Papp, M.; Kaplan, S.; Solymosi, N. Antimicrobial resistance determinants in silage. Sci. Rep. 2022, 12, 5243. [Google Scholar] [CrossRef] [PubMed]
- Tierney, A.R.; Rather, P.N. Roles of two-component regulatory systems in antibiotic resistance. Future Microbiol. 2019, 14, 533–552. [Google Scholar] [CrossRef] [PubMed]
- Zhang, X.; Ding, Z.; Usman, S.; Zhang, J.; Chen, M.; Guo, X. Metagenomics insights into the effects of lactic acid bacteria inoculation on the biological reduction of antibiotic resistance genes in alfalfa silage. J. Hazard. Mater. 2023, 443 Pt B, 130329. [Google Scholar] [CrossRef]
- Zhang, Q.; Zou, X.; Wu, S.; Wu, N.; Chen, X.; Zhou, W. Effects of Pyroligneous acid on diversity and dynamics of antibiotic resistance genes in alfalfa silage. Microbiol. Spectr. 2022, 10, e0155422. [Google Scholar] [CrossRef]
- Jian, Z.; Zeng, L.; Xu, T.; Sun, S.; Yan, S.; Yang, L.; Huang, Y.; Jia, J.; Dou, T. Antibiotic resistance genes in bacteria: Occurrence, spread, and control. J. Basic Microbiol. 2021, 61, 1049–1070. [Google Scholar] [CrossRef]









| Item | WCC | AA | |
|---|---|---|---|
| Microbial population (lg cfu/g FM) | Coliform bacteria | 9.75 ± 0.13 | 9.47 ± 0.16 |
| Aerobic bacteria | 9.77 ± 0.18 | 9.47 ± 0.14 | |
| Bacilli | 6.08 ± 0.16 | 5.89 ± 0.05 | |
| Clostridia | 6.16 ± 0.18 | 6.19 ± 0.11 | |
| Yeast | 8.49 ± 0.05 | 5.43 ± 0.23 | |
| Lactic acid bacteria | 5.82 ± 0.02 | 5.73 ± 0.34 | |
| Fermentation quality | pH | 5.24 ± 0.02 | 5.62 ± 0.09 |
| WSC, g/kg DM | 140.73 ± 0.87 | 127.58 ± 1.61 | |
| NH3-N, g/kg DM | ND | 0.32 ± 0.03 | |
| Lactic acid, g/kg DM | 13.36 ± 0.36 | 18.29 ± 0.55 | |
| Acetic acid, g/kg DM | ND | 5.75 ± 0.08 | |
| Propionic acid, g/kg DM | ND | ND | |
| Butyric acid, g/kg DM | ND | ND | |
| Chemical composition | DM, g/kg | 36.21 ± 0.48 | 47.87 ± 0.41 |
| NDF, g/kg DM | 543.88 ± 3.58 | 565.84 ± 1.02 | |
| ADF, g/kg DM | 430.23 ± 2.07 | 418.48 ± 1.76 | |
| CP, g/kg DM | 86.89 ± 0.32 | 109.62 ± 0.17 | |
| Mycotoxins | AFB1, μg/kg | 1.15 ± 0.11 | 0.77 ± 0.03 |
| ZEN, mg/kg | 4.84 ± 0.54 | 4.03 ± 0.08 | |
| FB, mg/kg | 5.63 ± 1.28 | 4.77 ± 0.05 | |
| Item | Treatment | Days of Ensiling (Day, d) | SEM | p Value | |||||||
|---|---|---|---|---|---|---|---|---|---|---|---|
| 90 | AE1 | AE3 | AE5 | AE7 | T | E | T × E | ||||
| pH | WCC | 4.20 Ad | 3.76 Ad | 5.71 Ac | 6.43 Ab | 7.00 Aa | 0.165 | <0.01 | <0.01 | <0.01 | |
| LB | 3.63 Bc | 3.71 Ac | 5.57 Ab | 6.48 Aa | 6.48 Ba | ||||||
| 30% AA | 3.75 ABc | 3.75 Ac | 3.79 Bc | 5.51 Bb | 6.53 ABa | ||||||
| 60% AA | 3.83 ABa | 3.88 Aa | 3.88 Ba | 3.89 Ca | 3.90 Ca | ||||||
| 90% AA | 4.02 ABa | 4.04 Aa | 4.05 Ba | 4.05 Ca | 4.07 Ca | ||||||
| NH3-N (g/kg DM) | WCC | 0.14 B | 0.17 B | ND | 0.15 B | 0.33 B | 0.164 | <0.01 | 0.62 | <0.01 | |
| LB | 0.13 B | ND | ND | ND | 0.23 B | ||||||
| 30% AA | 0.43 AB | 0.40 AB | 0.59 A | ND | ND | ||||||
| 60% AA | 0.71 A | 0.73 AB | 0.74 A | 0.82 A | 0.86 A | ||||||
| 90% AA | 0.68 A | 0.72 A | 0.63 A | 0.91 A | 1.00 A | ||||||
| WSC (g/kg DM) | WCC | 48.79 Aa | 47.29 ABab | 46.08 Bb | 45.14 Bb | 44.57 Bb | 2.29 | <0.01 | <0.01 | <0.01 | |
| LB | 49.43 Bb | 53.76 ABa | 51.58 Bab | 45.93 Bb | 45.60 Bb | ||||||
| 30% AA | 49.43 Ba | 50.85 Ba | 49.86 Ba | 46.06 Ba | 45.83 Ba | ||||||
| 60% AA | 55.71 ABa | 55.01 ABa | 59.04 Aa | 55.71 Aa | 55.70 Aa | ||||||
| 90% AA | 57.89 Aa | 59.47 Aa | 56.80 ABa | 55.44 Aa | 53.26 Aa | ||||||
| Organic acid (g/kg DM) | Lactic acid | WCC | 54.83 Aab | 77.03 Aa | 34.51 Bb | 11.78 Bb | 4.33 Bb | 14.34 | <0.01 | <0.01 | <0.01 |
| LB | 71.70 Aa | 70.21 Aa | 36.82 Bab | 12.14 Bb | ND | ||||||
| 30% AA | 81.81 Aa | 80.96 Aa | 118.68 Aa | 35.02 Bb | ND | ||||||
| 60% AA | 84.78 Aab | 63.98 Ab | 95.39 ABab | 122.30 Aa | 98.21 Aab | ||||||
| 90% AA | 56.74 Ab | 61.97 Ab | 68.82 Bab | 106.12 Aa | 89.77 Aab | ||||||
| Acetic acid | WCC | 16.16 ABa | 17.72 Aa | 7.63 Ba | 11.99 Aa | 10.65 Aa | 3.60 | <0.01 | <0.01 | <0.01 | |
| LB | 18.56 Aa | 14.91 ABab | 7.23 Bb | 7.11 Ab | 4.21 Ab | ||||||
| 30% AA | 17.19 ABa | 14.62 ABab | 18.46 Aa | ND | 6.15Ab | ||||||
| 60% AA | 14.37 ABa | 10.14 ABa | 15.95 ABa | 12.35 Aa | 11.58 Aa | ||||||
| 90% AA | 7.79 Ba | 6.44 Ba | 6.14 Ba | 7.12 Aa | 6.45 Aa | ||||||
| Item | Treatment | Days of Ensiling (Day, d) | SEM | p Value | ||||||
|---|---|---|---|---|---|---|---|---|---|---|
| 90 | AE1 | AE3 | AE5 | AE7 | T | E | T × E | |||
| DM (g/kg) | WCC | 235.43 Ca | 241.97 Da | 239.13 Da | 243.47 Da | 245.72 Da | 1.53 | <0.01 | <0.01 | <0.01 |
| LB | 221.76 Da | 235.61 Da | 250.24 Da | 251.12 Da | 254.23 Da | |||||
| 30% AA | 279.98 BCa | 296.53 Ca | 310.24 Ca | 319.39 Ca | 324.81 Ca | |||||
| 60% AA | 314.08 Bb | 398.63 Ba | 405.95 Ba | 414.36 Ba | 416.84 Ba | |||||
| 90% AA | 485.58 Ab | 534.33 Aa | 578.81 Aa | 580.94 Aa | 582.03 Aa | |||||
| NDF (g/kg DM) | WCC | 536.25 | 535.29 | 532.68 | 533.63 | 533.04 | 2.25 | <0.01 | 0.67 | 1.00 |
| LB | 528.15 | 525.30 | 517.51 | 515.74 | 514.34 | |||||
| 30% AA | 498.83 | 496.88 | 490.18 | 489.33 | 487.28 | |||||
| 60% AA | 488.19 | 485.49 | 489.09 | 486.36 | 477.89 | |||||
| 90% AA | 484.98 | 482.06 | 480.30 | 479.97 | 470.56 | |||||
| ADF (g/kg DM) | WCC | 418.65 | 415.04 | 409.88 | 406.99 | 400.35 | 3.72 | 0.28 | 0.49 | 1.00 |
| LB | 415.41 | 396.25 | 392.84 | 374.82 | 370.04 | |||||
| 30% AA | 396.33 | 395.21 | 383.05 | 371.43 | 363.98 | |||||
| 60% AA | 388.05 | 382.01 | 374.59 | 365.51 | 361.53 | |||||
| 90% AA | 384.35 | 381.23 | 371.58 | 364.16 | 354.39 | |||||
| CP (g/kg DM) | WCC | 84.64 Ca | 82.54 Ca | 80.09 Ba | 78.52 Ba | 73.27 Ba | 3.95 | <0.01 | <0.01 | 0.97 |
| LB | 87.63 Ca | 87.29 Ca | 85.77 Ba | 85.92 Ba | 85.33 Ba | |||||
| 30% AA | 103.92 Ba | 99.06 Ba | 95.50 Ba | 94.67 Ba | 94.43 Ba | |||||
| 60% AA | 110.02 Aa | 109.31 ABa | 108.37 Aa | 107.89 Aa | 107.12 Aa | |||||
| 90% AA | 118.40 Aa | 114.88 Aa | 112.33 Aa | 112.16 Aa | 108.08 Aa | |||||
| Item | Treatment | Days of Ensiling (Day) | SEM | p Value | ||||||
|---|---|---|---|---|---|---|---|---|---|---|
| 90 | AE1 | AE3 | AE5 | AE7 | T | E | T × E | |||
| Coliform bacteria | WCC | 7.43 Ad | 7.35 Ad | 8.23 Ac | 9.65 Ab | 10.17 Aa | 0.17 | <0.01 | <0.01 | <0.01 |
| LB | 7.22 Ab | 7.61 Ab | 7.38 Bb | 9.69 Aa | 9.58 Ba | |||||
| 30% AA | 5.06 Bc | 5.15 BCc | 6.12 Cb | 9.44 Aa | 9.39 Ba | |||||
| 60% AA | 4.43 Cb | 4.68 Cb | 5.59 Da | 5.18 Ca | 5.32 Da | |||||
| 90% AA | 4.36 Cc | 5.64 Bb | 7.54 Ba | 7.24 Ba | 7.40 Ca | |||||
| Aerobic bacteria | WCC | 9.54 Ab | 7.54 Ac | 9.71 Aab | 9.59 Ab | 10.08 Aa | 0.15 | <0.01 | <0.01 | <0.01 |
| LB | 7.39 Bb | 7.64 Ab | 9.70 Aa | 9.34 Aa | 9.63 Ba | |||||
| 30% AA | 5.50 Cc | 5.58 Bc | 7.42 Bb | 9.32 Aa | 9.46 Ba | |||||
| 60% AA | 5.49 Ca | 5.54 Ba | 5.67 Ca | 5.60 Ca | 5.38 Da | |||||
| 90% AA | 5.32 Cb | 5.48 Bb | 7.61 Ba | 7.35 Ba | 7.24 Ca | |||||
| Bacilli | WCC | 6.35 Ab | 6.54 Ab | 6.70 Aab | 6.69 Aab | 6.95 Aa | 0.12 | <0.01 | <0.01 | <0.01 |
| LB | 5.18 Bc | 5.17 Cc | 5.66 Bb | 5.55 Bb | 6.75 Aa | |||||
| 30% AA | 5.33 Bb | 5.43 BCb | 5.38 BCb | 5.40 Bb | 5.81 Ba | |||||
| 60% AA | 5.38 Bab | 5.59 Ba | 5.23 Cb | 5.48 Bab | 5.32 Cab | |||||
| 90% AA | 5.32 Bb | 5.78 Ba | 5.25 Cb | 5.58 Bab | 5.23 Cb | |||||
| Clostridium | WCC | 4.67 Ab | 5.56 Ab | 5.37 Aab | 5.36 Aab | 7.16 Aa | 0.16 | <0.01 | <0.01 | <0.01 |
| LB | 4.48 Ac | 5.14 ABc | 5.20 ABb | 5.09 Ab | 6.77 ABa | |||||
| 30% AA | 4.52 Ab | 5.25 ABb | 4.85 Bb | 5.34 Ab | 6.61 Ba | |||||
| 60% AA | 4.60 Aab | 4.96 Ba | 5.02 ABb | 5.14 Aab | 5.31 Cab | |||||
| 90% AA | 4.57 Ab | 4.98 Ba | 4.93 ABb | 5.16 Aab | 5.41 Cb | |||||
| Yeast | WCC | 7.75 Ab | 7.89 Ab | 9.75 Aa | 9.90 Aa | 9.45 Aa | 0.27 | <0.01 | <0.01 | <0.01 |
| LB | 7.43 Ac | 8.05 Ab | 9.41 Aa | 9.64 Aa | 9.74 Aa | |||||
| 30% AA | 4.82 Bc | 5.06 Bc | 6.21 Cb | 9.90 Aa | 9.69 Aa | |||||
| 60% AA | 3.90 Cb | 4.14 Cb | 4.58 Db | 5.16 Cab | 5.49 Ca | |||||
| 90% AA | 3.80 Cc | 5.82 Bb | 7.42 Ba | 7.30 Ba | 7.34 Ba | |||||
| Lactic acid bacteria | WCC | 9.04 Da | 8.13 Dc | 8.51 Bb | 6.75 Dd | 5.45 Ce | 0.14 | <0.01 | <0.01 | <0.01 |
| LB | 9.24 Ba | 9.38 Aa | 8.54 Ba | 7.67 Ab | 6.65 Cb | |||||
| 30% AA | 9.32 Aa | 8.62 Cba | 8.38 Cb | 7.46 Ac | 6.83 Cc | |||||
| 60% AA | 9.57 Aa | 9.14 Ba | 8.84 Ab | 7.38 Bb | 7.37 Ab | |||||
| 90% AA | 9.19 Ca | 8.76 Bb | 8.50 Cc | 7.31 Cc | 6.93 Bc | |||||
Disclaimer/Publisher’s Note: The statements, opinions and data contained in all publications are solely those of the individual author(s) and contributor(s) and not of MDPI and/or the editor(s). MDPI and/or the editor(s) disclaim responsibility for any injury to people or property resulting from any ideas, methods, instructions or products referred to in the content. |
© 2024 by the authors. Licensee MDPI, Basel, Switzerland. This article is an open access article distributed under the terms and conditions of the Creative Commons Attribution (CC BY) license (https://creativecommons.org/licenses/by/4.0/).
Share and Cite
Pang, H.; Zhou, P.; Yue, Z.; Wang, Z.; Qin, G.; Wang, Y.; Tan, Z.; Cai, Y. Fermentation Characteristics, Chemical Composition, and Aerobic Stability in Whole Crop Corn Silage Treated with Lactic Acid Bacteria or Artemisia argyi. Agriculture 2024, 14, 1015. https://doi.org/10.3390/agriculture14071015
Pang H, Zhou P, Yue Z, Wang Z, Qin G, Wang Y, Tan Z, Cai Y. Fermentation Characteristics, Chemical Composition, and Aerobic Stability in Whole Crop Corn Silage Treated with Lactic Acid Bacteria or Artemisia argyi. Agriculture. 2024; 14(7):1015. https://doi.org/10.3390/agriculture14071015
Chicago/Turabian StylePang, Huili, Pilong Zhou, Zishan Yue, Zhenyu Wang, Guangyong Qin, Yanping Wang, Zhongfang Tan, and Yimin Cai. 2024. "Fermentation Characteristics, Chemical Composition, and Aerobic Stability in Whole Crop Corn Silage Treated with Lactic Acid Bacteria or Artemisia argyi" Agriculture 14, no. 7: 1015. https://doi.org/10.3390/agriculture14071015
APA StylePang, H., Zhou, P., Yue, Z., Wang, Z., Qin, G., Wang, Y., Tan, Z., & Cai, Y. (2024). Fermentation Characteristics, Chemical Composition, and Aerobic Stability in Whole Crop Corn Silage Treated with Lactic Acid Bacteria or Artemisia argyi. Agriculture, 14(7), 1015. https://doi.org/10.3390/agriculture14071015

