Abstract
Sugar beet is a critical crop for global sugar production, and optimizing its growth and yield requires a thorough understanding of the effects of agronomic practices such as sowing date and nitrogen fertilization. This study was conducted in the WULS-SGGW Experimental Field in Miedniewice, Poland, during two growing seasons. The aim of the research was to determine the impact of sowing dates and nitrogen fertilization on the morphometric features and photosynthetic performance of the Lubelska sugar beet variety grown in Luvisols soil. The experiments were arranged as split-plot designs (SPDs) with four replications. The factors of the experiment were the sowing date (optimal and delayed by two weeks) and nitrogen fertilization at doses of 0, 60, and 120 kg N·ha−1. The photosynthetic activity of sugar beet plants was measured four times during the growing season using chlorophyll fluorescence (ChlF) parameters. Morphometric features were determined by collecting sugar beet plants after each chlorophyll fluorescence measurement. The obtained results demonstrate the significant effect of nitrogen doses on the morphometric parameters of aboveground biomass. Increasing nitrogen doses also differentiated chlorophyll fluorescence parameters, such as FV/F0, FV/FM, PIABS, ET0/CS0, and ET0/CSM. A two-week delay in sowing affected both the fluorescence parameters and morphometric features of sugar beet, highlighting the interaction between agronomic practices and plant physiology.
Keywords:
sugar beet; sowing date; nitrogen rate; beetroot mass; SLA; LAR; LWR; chlorophyll fluorescence 1. Introduction
Sugar beet contributes to approximately 30% of the global sugar production, making it a critical crop for meeting the world’s sugar demand. Its cultivation is essential in temperate regions, where it provides a viable alternative to sugarcane production and supports rural economies []. Sugar beet is recognized for its potential to improve soil health and structure due to its deep root system. Additionally, the byproducts of sugar beet processing, such as beet pulp and molasses, serve as valuable feedstocks for animal nutrition and bioenergy production, thereby contributing to circular agriculture []. The sugar beet plant’s total biomass consists of beetroot and leaf dry matter. According to Hoffmann and Kenter [], beetroot yields have increased by approximately 1.5% per year over the past few decades, although a reduction in leaf dry matter has accompanied this.
It has been commonly recognized that the sowing date is among the key determinants of sugar beet yield. Sowing date plays a vital role in sugar beet growth and root quality [,,]. Early sowing extends the growing period, determining the sugar beet yield variations [,]. However, while delaying the harvest date can mitigate some losses, it often fails to fully compensate for the yield reductions caused by late sowing [,]. In temperate climates, sugar beet generally exhibits a positive yield response to early spring sowing. During the early growth stages, leaf development is slow due to cooler spring temperatures, and the optimal canopy cover for effective light absorption is typically not achieved until mid-June, when solar radiation begins to decline. Early sowing helps synchronize canopy development with the peak in solar radiation, enhancing the plant’s ability to capture light and drive photosynthesis [,].
Sowing date is not the only parameter which has to be considered when estimating the yield. Milford et al. [] and Jay et al. [] noted that the leaf appearance rate, expansion rate, and the duration of leaf expansion are heavily influenced by temperature. Other factors affecting leaf size include its position on the crown, sowing date, nitrogen levels, plant density, and water stress [,]. Rapid leaf area development during early growth stages is critical for maximizing yield, as it determines the amount of radiation absorbed, which in turn influences the crop’s growth rate [,,]. To enhance leaf development, earlier sowing has been suggested as a strategy. Studies on the effect of different sowing dates on sugar beet have primarily aimed at identifying the optimal time for sowing. For example, Çakmakçi and Oral [] and Hoffmann and Kluge-Severin [] explored how earlier sowing in early March or even February could promote better leaf development and yield formation.
Sugar beet root growth follows a linear pattern throughout the growing season, and weather conditions significantly influence the plant’s overall development [,,,]. Increased vegetative growth leads to a higher total dry weight and final beetroot yield. Factors such as leaf appearance rate, leaf lifespan, and the time required to reach the final leaf area are also affected by environmental conditions and genotype [,].
In addition to the factors summarized above, application of nitrogen fertilizers plays a significant role in sugar beet growth by influencing physiological processes, chemical characteristics, and, ultimately, both yield and quality. Nitrogen is crucial for plant devel-opment because it is a component of proteins which are essential for cell formation, tissue development, and the protoplasm []. Nitrogen is also an integral part of chlorophyll, nucleic acids, and other critical molecules, promoting cell division, expansion, and overall plant development []. Sufficient nitrogen, particularly early in the growing season, supports rapid canopy development, which is essential for maximizing light interception and radiation use efficiency []. However, excessive nitrogen application can have negative effects. High nitrogen levels reduce sugar content in the beetroots by shifting dry matter partitioning away from sugar accumulation in the root parenchyma cells and toward cell wall and leaf growth [,]. This reduces beetroot quality and increases the content of melas-forming elements, such as potassium and sodium, which are undesirable for sugar processing []. Over-fertilization can also lead to lower overall sugar yields due to inefficient dry matter production [].
Nitrogen is a strong determinant of plant growth, and its availability affects the pho-tosynthesis process. This element occurs in chloroplasts, and it is part of the RuBisCO photosynthetic complexes, Calvin–Benson cycle enzymes, chlorophyll, and carotenoids [,]. According to Kalaji et al. [] and Goldsev et al. [], some of the basic parameters of chlorophyll fluorescence can be used to diagnose the nutritional status of plants. In the studies of Zhou et al. (2023) [] on sugar beet, N application at doses of 150 and 225 kg·ha−1 led to increased expression of key genes related to chlorophyll metabolism and antioxidant defense. Moreover, it increased the dry matter accumulation in plant shoots and roots by increasing the electron flow used for ribulose biphosphate (RuBP) carboxylation, the effective quantum yield of CO2 fixation (ΦCO2), and net photosynthetic rate (Pn).The fluorescence kinetics reflect the photochemical efficiency of the photosynthetic apparatus and provide information on the function and structure of various components involved in photosynthetic electron transport. The deficiency of nitrogen reduces the photochemical efficiency of PSII and affects the values of the parameters of chlorophyll fluorescence [,]. However, some researchers reported no damage to PSII due to nitrogen deficiency [].
Sowing date is a critical determinant of sugar beet development, as it directly influences the length of the growing season, canopy development, and synchronization with peak solar radiation. Delayed sowing often shortens the vegetative period, negatively impacting biomass accumulation and beetroot yield. Understanding how nitrogen fertilization might mitigate the adverse effects of delayed sowing is key to optimizing management practices under varying field conditions. Nitrogen is an essential nutrient for sugar beet growth, directly affecting physiological processes, including photosynthesis, leaf area expansion, and biomass allocation. However, excessive nitrogen can reduce root quality by increasing impurities and shifting biomass partitioning toward vegetative growth. The interaction between nitrogen levels and sowing dates remains underexplored, particularly in terms of how nitrogen availability compensates for or amplifies the effects of suboptimal sowing dates.
The study hypothesizes that the interaction between sowing date (optimal and delayed) and nitrogen fertilization (0, 60, and 120 kg N·ha−1) significantly influences the morphometric features and photosynthetic performance of sugar beet. Specifically, it is hypothesized that optimal sowing dates combined with higher nitrogen doses will enhance biomass accumulation, leaf area development, and photosynthetic efficiency, whereas delayed sowing will partially mitigate these benefits.
The aim of this research was to determine the impact of sowing dates and nitrogen fertilization on morphometric features and photosynthetic performance of sugar beet grown in Luvisols soil.
2. Materials and Methods
2.1. Experimental Site
The field experiment with sugar beet was conducted at the Experimental Field in Miedniewice (51°97′ N, 20°19′ E) in central Poland, which is a part of the Experimental Station of the Institute of Agriculture Warsaw University of Life Sciences—SGGW, located in Skierniewice. The experiment was established on Luvisols soil, according to WRB classification (2022) [], specifically rainfall–gley podzolic soils developed from light and heavy loamy sands on light soil. Soil samples were taken from a depth of 0–30 cm immediately after the forecrop harvest. The chemical properties of the soil were analyzed at the District Chemical and Agricultural Stations in Warsaw–Wesoła. The analyses included pH measured potentiometrically in 1 M KCl [], available macronutrients (phosphorus [], potassium [], magnesium []), and micronutrients (copper [], iron [], manganese [], zinc [], and boron []). The soil characteristics are presented in Table 1, showing a slightly acidic reaction, high phosphorus content, and medium potassium and magnesium content.

Table 1.
Soil characteristics during the two growing seasons.
2.2. Weather Condition
Weather conditions during the two growing seasons varied significantly, influencing sugar beet growth. During the first growing season (1st GS), a total of 277.8 mm of rainfall was recorded, distributed relatively evenly in the early stages of crop growth (Table 2). This supported strong vegetative development, but moisture deficits emerged later in the season, potentially hindering subsequent growth phases. In the second growing season (2nd GS), rainfall totalled 388.7 mm, with over half (203.1 mm) occurring in August. This uneven distribution likely led to waterlogging stress during the late stages of root development, presenting challenges for optimal sugar beet performance.

Table 2.
Weather conditions during the two growing seasons.
According to Dziezyc et al. [], sugar beet requires approximately 408 mm of rainfall during the growing season to meet its water demands. While the 2nd GS approached this figure, the high rainfall concentration in August likely caused stress, as reflected in the lower harvest index (HI) for this season. In contrast, the 1st GS, though drier overall, had more favorable rainfall distribution during the earlier months, leading to improved root development and overall growth until the moisture deficit became apparent later in the season.
The temperature profile further emphasized the differences between the two growing seasons. In the first growing season (1st GS), cooler temperatures during critical months—July (19.7 °C) and August (16.9 °C)—created favorable conditions for balanced vegetative and root growth. Conversely, the second growing season (2nd GS) experienced higher temperatures, particularly in July (24.2 °C) and August (18.3 °C). Combined with reduced rainfall in June and July, these conditions likely induced drought stress during the early vegetative stages, hindering crop establishment. These higher temperatures, combined with low precipitation in June and July, likely caused drought stress, further reflected by the hydrothermal coefficient (Hk) values. The hydrothermal coefficient (Hk), calculated according to Selianinov [], is a key indicator of the balance between water supply and demand. A Hk value below 1 indicates insufficient rainfall relative to the evapotranspiration needs of the crop. Hk variability highlighted distinct periods of water stress in both seasons. In the 1st GS, moderate water availability in the early stages (Hk > 1) supported crop growth, but late-stage stress intensified as Hk values fell below 0.5 in August and September. In the 2nd GS, severe water stress was evident during early vegetative growth (Hk = 0.1 in July), followed by excessive moisture in August (Hk = 3.4), suggesting potential waterlogging issues.
2.3. Experimental Design
The factors examined in this experiment were sowing date and nitrogen fertilization rates. The sowing dates included an optimal date (13 April) and delayed sowing by 14 days (27 April). The nitrogen fertilization rates applied were 0 (control), 60, and 120 kg N ha−1. The nitrogen doses 60 and 120 kg N·ha−1 were applied entirely in the form of ammonium nitrate (34%) a few days before sowing sugar beets, in accordance with the experimental design. A total of 24 experimental plots were established. Each plot consisted of six rows, with a length of 20 m, covering a total area of 54.0 m2. The outermost rows (1 and 6) and a 0.5 m edge strip around each plot were designated protective belts, leaving a harvest area of 34.2 m2.
In this experiment, the sugar beet cultivar Lubelska from the Kutno Sugar Beet Breeding Company (KHBC) in Straszków, Poland was used. This cultivar of the normal/sugar (NS) type is known for its high beetroot yield and technological sugar yield (low molasses content). Single-seed sugar beet balls, sized between 3.5 and 4.75 mm, with a laboratory germination capacity (LGC) of 98%, were sown at 15.8 cm intervals within rows spaced 45 cm apart and to a sowing depth of 2.0–2.5 cm.
The previous crop used in all study years was winter wheat. Appropriate pesticides were applied to control weeds, pests, and diseases. If necessary, manual weeding was conducted. Post-harvest, the field was cultivated and stubble breaking was performed using harrowing. Cattle manure, at a rate of 35 t/ha, along with phosphorus (35.2 kg P·ha−1) and potassium (132.8 kg K·ha−1) fertilizers, was incorporated into the soil during fall plowing to a depth of 25–30 cm.
2.4. Plant Sampling and Measurements
Plant samples were collected from each plot at four intervals, spaced 28 days apart, during the growing season. The first sampling took place on July 11, followed by 8 August, 5 September, and finally on 3 October, which corresponded with the typical harvest dates. Five representative plants were taken from each plot at every sampling time, leading to a total of 480 plants being analyzed during each growing season.
For each plant, the number of leaves (NL) was recorded, and the fresh masses of leaf blades (FMLB), petioles (FMP), and beetroots (FMR) were measured separately. To determine the dry matter (DM) content of these parts, the samples were dried in an oven at 75 °C until reaching a constant weight. The harvest index (HI) was calculated as the proportion of root dry weight to total plant dry weight, expressed as a decimal. The specific leaf area (SLA; cm2·g−1), which indicates the ratio of leaf area to leaf dry weight, was calculated as follows: 25 leaf disks, with a total area of 7.9 cm2, were cut from the fresh leaf blades of each plant. By knowing the area and dry mass of these disks and the total fresh mass of the plant’s leaf blades, the SLA index and leaf area (LA; cm2·plant−1) were calculated. Leaf area (LA) represents the photosynthetically active surface area produced by the plant over a specified period [].
Additionally, for each plant, two other indices were calculated: leaf weight ratio (LWR; g·g−1) and leaf area ratio (LAR; cm2·g−1). LWR measures the proportion of leaf dry weight relative to the total dry weight of the plant []. Leaf area ratio indicates the leaf area per unit of total plant biomass, giving an understanding of the plant’s leafiness and its capacity for photosynthesis in relation to biomass production []. These metrics are crucial for evaluating the allocation of resources between vegetative growth (leaves) and economic yield (roots), as well as the plant’s overall efficiency in producing a leaf area for photosynthesis.
Chlorophyll fluorescence measurements were conducted on 20 randomly selected plants per experimental plot. The measurements were taken from the first fully expanded leaf from the top of the plant, ensuring uniformity in the developmental stage and minimizing variability due to leaf position. Each experimental plot was replicated four times within a split-plot design, ensuring a robust statistical analysis. A total of 480 plants were analyzed for chlorophyll fluorescence parameters during each growing season (20 plants × 4 replicates × 6 treatments across two sowing dates). The measurements were taken at four intervals (11 July, 8 August, 5 September, 3 October) during the growing season, corresponding to different developmental stages of the sugar beet plants.
The photosynthetic activity of sugar beet plants was evaluated by measuring chlorophyll fluorescence (ChlF) parameters. Measurements were performed on each plot, on 20 randomly selected plants, and on the surface of the first fully expanded leaf from the top after adapting to darkness for 30 min. The intensity of the light pulse was 3500 µmol/m2/s at wave length 650 nm. Parameters were measured with a portable pocket Plant Efficiency Analyzer (PEA, Hansatech Instruments Ltd., Norfolk, UK) four times (once a month/every 28 days) during each growing season. The measurements were taken at ambient temperature and natural light intensity always from 9.00 to 11.00 a.m. The following chlorophyll-a fluorescence parameters were measured: minimal fluorescence (F0), maximal fluorescence (FM), variable fluorescence (FV), ratio of photochemical to non-photochemical quantum efficiencies (FV/F0), maximum photosynthetic efficiency of PSII (FV/FM), density area above the fluorescence curve between F0 and FM (Area), performance index (PIABS), trapped energy flux per cross-section (TR0/CS), energy used for electron transport per cross-section of PSII (ET0/CS), dissipated energy flux per cross-section (DI0/CS), density of active reaction centers (QA reducing RCs) per cross-section at t = 0 (RC/CS0) and t = max (RC/CSM). Chlorophyll fluorescence parameters are shown as relative units. The meanings of individual parameters and their abbreviations are presented in Table 3.

Table 3.
Abbreviations and their explanations used in the text.
2.5. Statistical Analysis
The experiment was established as a split-plot design (SPD) with 4 replications. A multifactor analysis of variance (ANOVA) was conducted to evaluate the influence of analyzed factors (growing season, sowing date, the level of nitrogen fertilization and term of measurement) and their interactions in terms of morphometric features and selected chlorophyll fluorescence parameters of sugar beet plants. Comparisons of means were performed using the Tukey procedure, and NIR values were calculated at a significance level of 0.05. Based on these analyses, homogeneous means groups were isolated, i.e., groups that did not differ statistically (marked with the same alphabet letter in the table and figures). In all analyses, the significance level was set at 0.05. For all features, p-values were presented to assess the main effects of the studied factors and their interactions (A Principal Component Analysis (PCA) was also performed to evaluate the relationships between all tested parameters and to characterize the multivariate differences between them and the level of nitrogen fertilization and sowing date. The data were analyzed by using the TIBCO Statis-211 tica™13.3.0 software [,].
3. Results
The impact of the growing season on the examined traits in sugar beet plants was significant, as highlighted in Table 4. The two growing seasons showed notable differences in terms of plant growth, biomass allocation, and morphometric parameters. The second growing season (2nd GS) had a markedly positive impact on biomass production compared to the first growing season (1st GS). The values of FMLB, FML, FMR, and TFM were significantly higher in sugar beet plants grown in the second season compared to the first. Additionally, significantly higher values were observed in the second growing season for HI, LA, and SLA, while, in the first growing season, higher values were noted for LWR and LAR. There was no significant difference in NL and FMP between the two growing seasons.

Table 4.
Mean values of the studied features according to growing season (1st, 2nd), sowing date (optimal, delayed), N fertilization (0, 60, 120 kg·ha−1) and term of measurement (1,2,3,4) regardless of the others.
The optimal sowing date had a significant impact on several measured traits in sugar beet plants (Table 4). The FMP, FMR, TFM, HI, and SLA were significantly higher in sugar beet plants sown at the optimal date compared to those sown at the delayed date. The delayed sowing date caused a significant increase in the LAR and LWR. However, no significant effect of the sowing date was found on the NL, FMLB, FML, and LA.
Nitrogen fertilization significantly enhanced several traits in sugar beet (Table 4). The 60 kg N·ha−1 dose led to an increase in NL, FMLB, FMP, FML, and LA. The 120 kg N·ha−1 dose further increased these traits significantly compared to the control. Significantly higher values for NL, TFM, LAR, and LWR were observed in sugar beet plants treated with 120 kg N·ha−1 compared to the control (Table 5). However, applying 120 kg N·ha−1 resulted in a significant decrease in the HI compared to both the control and the 60 N·ha−1 dose. No significant effect of nitrogen fertilization was found on the FMR and SLA.

Table 5.
Results of ANOVA (p-values) present the main effects and interactions for the analyzed features.
The timing of measurements (11 July, 8 August, 5 September, and 3 October) had a significant impact on several traits measured in sugar beet (Table 4). The FMR and HI increased progressively throughout the season, with the highest values generally occurring in October. The NL, FMLB, FMP, FML, TFM, and LA progressively increased throughout the season, reaching their highest values generally in September and remaining at similar levels in October. SLA, LAR, and LWR decreased significantly over time as the plants shifted from vegetative growth to root storage.
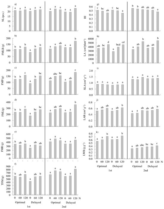
The data in Figure 1 show the interaction between sowing date (optimal and delayed) and nitrogen dose (0, 60, 120 kg N·ha−1) in the investigated traits in sugar beet during the first and second growing seasons. In the first growing season, nitrogen fertilization with a dose of 120 kg N·ha−1 had a statistically significant effect on sugar beet plants in combination with the optimal sowing date (Table 5).The 120 kg N·ha−1 dose resulted in significantly higher values for the FMP, FML, and LA compared to the control, with the FMP increasing by 46.4%, FML by 39.1%, and LA by 45.7%. In combination with the delayed sowing date, nitrogen fertilization significantly impacted the FMLB, FMP, FML, and LA in sugar beet plants. In the case of the HI, regardless of the sowing date, this parameter was significantly reduced in sugar beet plants fertilized with 120 kg N·ha−1 compared to the control. Additionally, in the first growing season, a significant increase in the LWR was observed in sugar beet plants after the application of 120 kg N·ha−1, regardless of the sowing date, with the LWR increasing by 18.0% compared to the control. In the second growing season, for sugar beet plants sown at the optimal sowing date, LA values were significantly higher, increasing by 28.8% with 120 kg N·ha−1 compared to the control. For those sown at the delayed sowing date, FMLB, FMP, and FML were significantly greater, with increases of 27.3%, 46.4%, and 39.1%, respectively, in plants fertilized with 120 kg N·ha−1 compared to the control. A two-week delay in sowing and the application of 120 kg N·ha−1 resulted in a significant increase in the FMLB, FMP, and FML in both of the studied growing seasons, with the FMLB increasing by 27.3%, the FMP by 46.4%, and the FML by 39.1% compared to the control.

Figure 1.
Effect of interaction between the sowing date (optimal, delayed) and the dose N (0, 60, 120) in the first and second growing seasons in sugar beet (a) NL, (b) FMLB, (c) FMP, (d) FML, (e) FMR, (f) TFM, (g) HI, (h) LA, (i) SLA, (j) LAR, and (k) LWR; data marked with the same lowercase (a, b, …) letters do not differ significantly according to Tukey’s test (p ≤ 0.05).
In the first growing season, the plants were characterized by significantly higher values of FM, FV, FV/FM, FV/F0 and Area (by approx. 4, 6, 2.6, 8.7 and 42.5%, respectively), while in the second—F0, DI0/CS, i RC/CS0 (by approx. 3, 15.9 and 7.3%, respectively) (Table 4). Sowing date had no effect on the values of chlorophyll fluorescence parameters, regardless of other factors. The research showed that nitrogen fertilization at a dose of 120 kg· ha−1 significantly increased the values of the parameters FM, FV, FV/FM, FV/F0, ET0/CS, RC/CS0, and RC/CSM (by approx. 5.6, 7, 1.4, 15.6, 10.5, 4.2 and 9.3%, respectively) in relation to the control (lack of nitrogen). The application of 60 kg N·ha−1 only resulted in a significant increase (by 13.2%) in the value the case of PIABS.
The tested parameters also changed with the development of the plants. In the majority of them, an increase in their value was demonstrated in subsequent measurement terms (Table 4). Only DI0/CS, i.e., energy dissipation in the form of heat, decreased with the development (maturation) of plants. Simultaneously, it was shown that, on the third measurement term (5 September), F0, FM, FV, TR0/CS, RC/CS0 and RC/CSM reached the highest values.
In the first season of plant growth (1st GS), with a greater water deficit, a significant effect of nitrogen fertilization on the parameters of chlorophyll fluorescence was demonstrated, especially in the conditions of the optimal date of plant sowing (Figure 2). The FM, FV, FV/F0, FV/FM, RC/CS0 and RC/CSM values increased relative to the control after nitrogen application. In the case of PIABS and ET0/CS, the dose of 120 kg N·ha−1 significantly increased the parameter values both at the optimal and delayed sowing date (by approx. 23.0 and 30.8% in the case of PIABS and 9.5 and 9.8% in the case of ET0/CS, respectively).

Figure 2.
Effect of interaction between the sowing date (optimal, delayed) and the dose N (0, 60, 120) in the 1st and 2nd growing seasons in sugar beet (a) F0, (b) FM, (c) Fv, (d) Fv/F0, (e) Fv/FM, (f) Area, (g) PIABS, (h) TR0/CS, (i) ET0/CS, (j) DI0/CS, (k) RC/CS0, (l) RC/CSM; Data marked with the same lowercase (a, b, …) letters do not differ significantly according to Tukey’s test (p ≤ 0.05).
In the second season (2nd GS), the effect of nitrogen fertilization on the tested parameters was found only in the conditions of delayed sowing date (Figure 2). The dose of 120 kg N·ha−1 increased the values of F0, Area, PIABS and ET0/CS (by approx. 5.5, 17.4, 33.0 and 19.5%, respectively).
The first component of PC1 explains about 47.4% of the studied variability, the second PC2—35.4% (Figure 3). The growth conditions had the highest effect on SLA, DI0/CS, and also on RC/SC0, F0, and FMR. These parameters were significantly positively correlated with each other. Moreover, a strong positive relationship was demonstrated between LWR and FV/FM as well as Area. The analysis also showed that the HI was negatively correlated with FM, FV, and LAR.

Figure 3.
Results of principal component analysis (PCA) (a) presenting relationships between all analyzed parameters and (b) for the condition of growth (growing season: 1st, 2nd; sowing date: optimal, delayed and N fertilization: 0, 60, 120 kg ha−1). Analyzed parameters: NL—number of leaves, FMLB—fresh mass of leaf blades, FMP—fresh mass of petioles, FML—fresh mass of leaves, FMR—fresh mass of beetroot, TFM—total fresh mass, HI—harvest index, LA—leaf area, SLA—specific leaf area, LAR—leaf area ratio, LWR—leaf weight ratio, F0—minimal fluorescence, FM—maximal fluorescence, FV—maximal variable fluorescence, FV/F0—ratio of photochemical to non-photochemical quantum efficiencies, FV/FM—maximum quantum yield of primary PSII photochemistry, Area—area above the fluorescence curve between F0 and FM, PIABS—performance index, TR0/CS—trapped energy flux per cross-section (CS) of PSII, ET0/CS—energy used for electron transport per cross-section (CS) of PSII, DI0/CS—dissipated energy flux per cross-section (CS), RC/CS0—density of active reaction centers per cross-section at t = 0, RC/CSM—density of active reaction centers per cross-section at t = max.
Plant growth conditions differentiated the size of chlorophyll fluorescence parameters and morphometric features. The values of the parameters FV, FM, FV/F0 and LAR were the highest in the first growing season in the conditions of fertilization with N at a dose of 120 kg N·ha−1 both in the optimal and delayed sowing date. In the second season, with a higher dose of nitrogen and a delayed sowing date, fresh weight and leaf area (FML, LA) reached high values. Moreover, nitrogen deficiency in the second year increased the HI value.
4. Discussion
The results of this study highlight the effects that environmental factors, such as growing season and sowing date, and agronomic practices, like nitrogen fertilization, have on the growth of sugar beet. These findings have been observed in new experiments conducted at Miedniewice and are in agreement with historical data, which similarly demonstrate that optimizing these factors is critical to improving sugar beet yield and overall crop performance [,,,,,].
The study demonstrated that the second growing season had a markedly positive effect on several traits, including FMLB, FML, FMR, and TFM. Favorable weather conditions, particularly higher rainfall in August, likely provided optimal conditions for photosynthesis, biomass accumulation, and root storage. These results are in line with previous findings from Kenter et al. [], who showed that sugar beet root growth are highly influenced by environmental conditions such as rainfall and temperature. The higher harvest index (HI) observed in the second season reflects a more efficient partitioning of biomass to beetroots, consistent with findings by Milford et al. [], who noted that seasonal variations significantly impact biomass allocation in sugar beet.
In contrast, the first growing season resulted in higher values for LWR and LAR. These parameters suggest that sugar beet plants in the first season allocated more biomass to leaf growth rather than beetroot development, potentially as a response to less favorable environmental conditions. This likely reflects an adaptive response to less favorable conditions, as observed by Milford et al. [] and Hoffmann and Kluge-Severin [], who reported that suboptimal conditions early in the growing season often lead to increased resource allocation to vegetative structures as a survival strategy.
Sowing date had a considerable effect on sugar beet growth, with the optimal sowing date producing significantly higher values for FMP, FMR, TFM, and SLA. This is supported by research from Tsialtas and Maslaris [] which highlights the importance of sowing date in ensuring a longer growing period, allowing sugar beet plants to accumulate more biomass and allocate sufficient resources to beetroot. Furthermore, Milford et al. [] noted that early sowing is crucial for maximizing the potential of beetroot development, as it allows the plant to take full advantage of favorable growing conditions. However, delayed sowing resulted in increased LWRs and LARs, indicating a greater proportion of biomass allocated to leaves, a pattern also observed by Milford et al. []. Delayed sowing generally shortens the growing season, reducing beetroot biomass but often leading to enhanced vegetative growth as the plant shifts resources towards leaf production [].
Nitrogen fertilization, especially at 120 kg N·ha−1, had a significant effect on sugar beet growth, particularly in increasing the NL, FMLB, FMP, FML, and LA. This is consistent with the findings of Draycott and Christenson [], who emphasized that nitrogen plays a vital role in promoting vegetative growth and enhancing the photosynthetic capacity of sugar beet plants. Similarly, Tsialtas and Maslaris [] demonstrated that nitrogen improves nitrogen uptake efficiency and biomass accumulation, particularly in terms of leaf growth.
However, a significant decrease in the HI was observed at the 120 kg N·ha−1 application level, indicating that, while nitrogen boosts leaf biomass, it can reduce root allocation when applied in excess. This finding is supported by Malnou et al. [], who also found that higher nitrogen rates tend to favor vegetative growth at the expense of root development. Thus, optimizing nitrogen application is critical for maintaining a balance between vegetative growth and beetroot biomass [].
Interestingly, no significant effect of nitrogen fertilization was found on FMR and SLA, suggesting that, while nitrogen enhances leaf growth, beetroot biomass may be more sensitive to environmental factors like soil conditions and water availability [].
The timing of measurements showed that sugar beet plants progressively increased in the FMR and HI throughout the growing season, peaking in October. This trend aligns with the sugar beet’s typical growth pattern, where resource allocation shifts toward beetroot later in the season []. Similarly, Kenter et al. [] reported that sugar beet plants increase beetroot biomass as the season progresses, particularly in the later stages when environmental conditions promote beetroot over vegetative growth.
Conversely, the SLA, LAR, and LWR decreased over time, as the plants transitioned from vegetative growth to beetroot storage. This pattern reflects the plant’s shift in priority from leaf development to beetroot accumulation [,].
Early (optimal) sowing dates allowed for a longer growing period, synchronizing canopy development with peak solar radiation in mid-June, which promoted early leaf expansion, maximizing light interception and photosynthesis []. Delayed sowing, however, shortened the growing period and shifted peak growth stages to periods of declining solar radiation. While nitrogen partially mitigated the reduced biomass allocation to beetroots, delayed sowing still resulted in a lower HI due to a greater proportion of biomass being allocated to leaves under stress conditions. This pattern aligns with findings by Milford et al. [], who observed that delayed sowing generally reduces beetroot biomass but leads to enhanced vegetative growth as the plant shifts resources toward leaf production.
The interaction between nitrogen fertilization and sowing date played a significant role in shaping the growth outcomes of sugar beet. In the first growing season, characterized by balanced rainfall distribution and moderate temperatures, nitrogen fertilization at 120 kg N·ha−1, combined with the optimal sowing date, led to significantly higher values for the FMP, FML, and LA. This is consistent with findings by Hoffmann and Kluge-Severin [], who showed that optimal sowing and nitrogen management maximize beetroot biomass and improve resource allocation toward beetroots. In contrast, in the second season, with high temperatures and uneven rainfall, nitrogen application at 120 kg N·ha−1 had stronger effects under delayed sowing. This is likely due to its role in compensating for abiotic stress, such as high early-season temperatures and waterlogging during late growth stages. Nitrogen-supported leaf area development sustained photosynthesis, enabling partial recovery despite suboptimal sowing conditions. Tsialtas and Maslaris [] highlighted that nitrogen can partially mitigate the adverse effects of delayed sowing by boosting vegetative growth and maintaining leaf productivity.
The effects of abiotic stress on plant photosynthesis processes can be reflected by changes in chlorophyll fluorescence parameters []. Stress-induced damage to the PSII reaction center slows photosynthetic electron transport and the photosynthetic activity of PSII, which decreases the photosynthetic rate []. The decrease in the electron acceptor pool in PSII and the activity of RuBisCO and phosphoenolpyruvate carboxylase (PEPCase) is also caused by a nitrogen deficiency []. According to Dudeja and Chaudhary [], insufficient nitrogen uptake leads to a significant decrease in the density of reaction centers.
In our research, the reduced supply of nitrogen not only slowed down the development of sugar beet plants but also reduced the reaction efficiency in the light-dependent phase of photosynthesis. This was especially evident in the 1st GS under the conditions of the optimal sowing date without N fertilization (control conditions)—the values of FM, FV, FV/F0, FV/FM, RC/CS0 and RC/CSM of plants showed decreasing trend.
The performance index (PI) is the most widely used parameter from the chlorophyll fluorescence OJIP transient, providing quantitative information about plant vitality and overall health. Strasser et al. [] state that PI is the product of three independent characteristics: the concentration of reaction centers per chlorophyll, a parameter associated with primary photochemistry, and a parameter linked to electron transport.
The value of PIABS in our research changed under the influence of nitrogen fertilization. The application of 120 kg N·ha−1 increased the value of the parameter under all growth conditions. The positive effect of higher nitrogen doses on PI values was also documented in earlier studies, e.g., on soybeans [], maize [] and wheat [].
The decrease in PIABS was accompanied by symptoms of electron transport disorders. A decrease in the electron transport per excited cross-section (ET0/CS) and the density of the active reaction centers RC/CSM were demonstrated, especially in the 1st GS. In the study of Lu et al. [], the extent of the decrease in ΦPSII and ET0/CS in N deficient leaves was very similar to that of the decrease in the photosynthetic CO2 assimilation rate. The authors suggested that ΦPSII and ET0/CS are the best fluorescence parameters for assessing the effects of an N deficiency in plants.
The study revealed key trade-offs in nitrogen application. Excessive nitrogen rates, such as 120 kg N·ha−1, promoted vegetative growth (FMLB, FMP) at the expense of beetroot dry matter allocation, reducing the HI. This effect was more pronounced under delayed sowing due to environmental stresses, which diverted resources toward stress adaptation mechanisms in leaves []. Balancing the nitrogen supply is crucial to achieve an optimal balance between vegetative and beetroot growth. While nitrogen enhances leaf growth and photosynthetic capacity, excessive amounts can reduce beetroot biomass, as supported by Malnou et al. []. These results underscore the importance of optimizing nitrogen application rates and sowing dates to balance vegetative growth and beetroot productivity, particularly under varying environmental conditions. By understanding the physiological basis for nitrogen effects and the impact of sowing dates on growth dynamics, agronomic practices can be tailored to enhance sugar beet yields and quality. This study contributes valuable insights into how nitrogen fertilization and sowing timing interact with seasonal factors to influence the growth, photosynthetic performance, and biomass allocation of sugar beet.
5. Conclusions
The growing season had a significant effect on sugar beet growth. The second growing season (2nd GS) exhibited better results for biomass accumulation, beetroot mass, and total fresh mass compared to the first growing season (1st GS).
Sowing at the optimal date significantly increased several key traits such as the fresh mass of petioles, fresh mass of beetroots, and the total fresh mass of the plant. Delayed sowing led to a higher leaf weight ratio (LWR) and leaf area ratio (LAR), indicating a shift in resource allocation toward vegetative growth rather than beetroot development. This suggests that delayed sowing shortens the growing season and negatively affects beetroot biomass while increasing vegetative biomass. Nitrogen application, particularly at a dose of 120 kg N·ha−1, resulted in enhanced leaf growth, leaf area, and photosynthetic efficiency. However, excessive nitrogen reduced the harvest index (HI), indicating that, while nitrogen boosts vegetative growth, it can lead to a decrease in beetroot mass when applied in excess. The study highlights the continued importance of optimizing nitrogen application to balance vegetative and beetroot growth.
Nitrogen fertilization positively affected chlorophyll fluorescence parameters such as FV/FM (maximum photosynthetic efficiency of PSII) and PIABS (performance index), especially with a 120 kg N·ha−1 dose. These results suggest that higher nitrogen availability enhances the photosynthetic machinery and energy use efficiency in sugar beet plants.
Optimal sowing combined with 120 kg N·ha−1 resulted in a higher leaf mass and photosynthetic efficiency, while delayed sowing combined with high nitrogen levels still improved vegetative growth but negatively impacted beetroot mass.
The findings of this study have important practical applications for agricultural management. Early sowing combined with moderate nitrogen doses (e.g., 120 kg N·ha−1) offers the most effective strategy for balancing vegetative growth and beetroot productivity. Delayed sowing, while less favorable in terms of beetroot yield, can be partially mitigated by appropriate nitrogen application to maintain leaf productivity and enable recovery under challenging environmental conditions. These insights provide actionable guidance for farmers and agronomists to tailor sowing dates and fertilization strategies to specific seasonal and environmental conditions, thereby improving crop performance and resource use efficiency.
In summary, this study underscores the critical role of managing sowing dates and nitrogen fertilization in sugar beet production. Early sowing and moderate nitrogen doses provide the best outcomes, improving biomass allocation and photosynthetic performance, while strategic adjustments can mitigate the effects of delayed sowing and environmental stress.
Author Contributions
Conceptualization, B.M.-K. and G.M.; methodology, B.M.-K. and Z.W.; formal analysis, B.M.-K. and G.M.; supervision, B.M.-K.; investigation, B.M.-K. and Z.W., visualization, G.M. writing—original draft preparation, B.M.-K. and G.M.; writing—review and editing, B.M.-K., G.M.; V.P. and M.R. All authors have read and agreed to the published version of the manuscript.
Funding
This research received no external funding.
Institutional Review Board Statement
Not applicable.
Data Availability Statement
The data presented in this study are available upon request from the corresponding author.
Conflicts of Interest
The authors declare no conflicts of interest.
References
- Rajaeifar, M.A.; Hemayati, S.S.; Tabatabaei, M.; Aghbashlo, M.; Mahmoudi, S.B. A review on beet sugar industry with a focus on implementation of waste-to-energy strategy for power supply. Renew. Sustain. Energy Rev. 2019, 103, 423–442. [Google Scholar] [CrossRef]
- Stevanato, P.; Chiodi, C.; Broccanello, C.; Concheri, G.; Biancardi, E.; Pavli, O.; Skaracis, G. Sustainability of the sugar beet crop. Sugar Tech 2019, 21, 703–716. [Google Scholar] [CrossRef]
- Hoffmann, C.M.; Kenter, C. Yield Potential of Sugar Beet—Have We Hit the Ceiling? Front. Plant Sci. 2018, 9, 289. [Google Scholar] [CrossRef] [PubMed]
- Caliskan, M.E.; Isler, N.; Gunel, E.; Guler, M.B. The effects of sowing date and row spacing on yield and quality of some sugarbeet (Beta vulgaris L.) varieties in Hatay ecological conditions. Turk. J. Agric. For. 1999, 23, 1155–1162. [Google Scholar]
- Pavlů, K.; Chochola, J.; Pulkrábek, J.; Urban, J. Influence of sowing and harvest dates on production of two different cultivars of sugar beet. Plant Soil Environ. 2017, 63, 76–81. [Google Scholar] [CrossRef]
- Michalska-Klimczak, B.; Wyszyński, Z.; Pačuta, V.; Rašovský, M.; Pągowski, K. Sowing date as a determinant of spatial structure and yield of sugar beet canopy. Agron. Sci. 2023, 78, 191–207. [Google Scholar] [CrossRef]
- Ozer, H. Sowing date and nitrogen rate effects on growth, yield and yield components of two summer rapeseed cultivars. Eur. J. Agron. 2003, 19, 453–463. [Google Scholar] [CrossRef]
- Esmaeili, R.; Mohammadian, R.; Abad, H.H.S.; Mohammadi, G.N. Improving quantity and quality of sugar beet yield using agronomic methods in summer cultivation. Plant Soil Environ. 2022, 68, 347–357. [Google Scholar] [CrossRef]
- Draycott, A.P.; Christenson, D.R. Nutrients for Sugar Beet Production: Soil-Plant Relationships; CABI: Wallingford, UK, 2003. [Google Scholar]
- Curcic, Z.; Ciric, M.; Nagl, N.; Taski-Ajdukovic, K. Effect of sugar beet genotype, planting and harvesting dates and their interaction on sugar yield. Front. Plant Sci. 2018, 9, 1041. [Google Scholar] [CrossRef]
- Kenter, C.; Hoffmann, C.M.; Märländer, B. Effects of weather variables on sugar beet yield development (Beta vulgaris L.). Eur. J. Agron. 2006, 24, 62–69. [Google Scholar] [CrossRef]
- Schnepel, K.; Hoffmann, C.M. Effect of extending the growing period on yield formation of sugar beet. J. Agron. Crop Sci. 2016, 202, 530–541. [Google Scholar] [CrossRef]
- Milford, G.F.J.; Pocock, T.O.; Riley, J. An analysis of leaf growth in sugar beet. II. Leaf appearance in field crops. Ann. Appl. Biol. 1985, 106, 173–185. [Google Scholar] [CrossRef]
- Jay, S.; Maupas, F.; Bendoula, R.; Gorretta, N. Retrieving LAI, chlorophyll and nitrogen contents in sugar beet crops from multi-angular optical remote sensing: Comparison of vegetation indices and PROSAIL inversion for field phenotyping. Field Crops Res. 2017, 210, 33–46. [Google Scholar] [CrossRef]
- Milford, G.F.J.; Pocock, T.O.; Riley, J.; Messem, A.B. An analysis of leaf growth in sugar beet. III. Leaf expansion in field crops. Ann. Appl. Biol. 1985, 106, 187–203. [Google Scholar] [CrossRef]
- Hoffmann, C.M.; Kluge-Severin, S. Growth analysis of autumn and spring sown sugar beet. Eur. J. Agron. 2011, 34, 1–9. [Google Scholar] [CrossRef]
- Kuroda, Y. Key quantitative trait loci controlling bolting tolerance in sugar beet. Euphytica 2024, 220, 47. [Google Scholar] [CrossRef]
- Garcia-Vila, M.; Morillo-Velarde, R.; Fereres, E. Modeling sugar beet responses to irrigation with AquaCrop for optimizing water allocation. Water 2019, 11, 1918. [Google Scholar] [CrossRef]
- Çakmakçi, R.; Oral, E. Root yield and quality of sugarbeet in relation to sowing date, plant population and harvesting date interactions. Turk. J. Agric. For. 2002, 26, 133–139. [Google Scholar]
- Tsialtas, J.T.; Maslaris, N. The effect of temperature, water input and length of growing season on sugar beet yield in five locations in Greece. J. Agric. Sci. 2014, 152, 177–187. [Google Scholar] [CrossRef]
- Hoffmann, C.M.; Koch, H.J.; Märländer, B. Sugar beet. In Crop Physiology Case Histories for Major Crops; Academic Press: Cambridge, MA, USA, 2021; pp. 634–672. [Google Scholar]
- Leilah, A.A.; Khan, N. Interactive effects of gibberellic acid and nitrogen fertilization on the growth, yield, and quality of sugar beet. Agronomy 2021, 11, 137. [Google Scholar] [CrossRef]
- Varga, I.; Jović, J.; Rastija, M.; Markulj Kulundžić, A.; Zebec, V.; Lončarić, Z.; Antunović, M. Efficiency and management of nitrogen fertilization in sugar beet as spring crop: A review. Nitrogen 2022, 3, 170–185. [Google Scholar] [CrossRef]
- Varga, I.; Lončarić, Z.; Kristek, S.; Kulundžić, A.M.; Rebekić, A.; Antunović, M. Sugar beet root yield and quality with leaf seasonal dynamics in relation to planting densities and nitrogen fertilization. Agriculture 2021, 11, 407. [Google Scholar] [CrossRef]
- Barzegari, M.; Sepaskhah, A.R.; Ahmadi, S.H. Irrigation and nitrogen managements affect nitrogen leaching and root yield of sugar beet. Nutr. Cycl. Agroecosyst. 2017, 108, 211–230. [Google Scholar] [CrossRef]
- Hoffmann, C.M. Changes in N composition of sugar beet varieties in response to increasing N supply. J. Agron. Crop Sci. 2005, 191, 138–145. [Google Scholar] [CrossRef]
- Koch, H.J.; Laufer, D.; Nielsen, O.; Wilting, P. Nitrogen requirement of fodder and sugar beet (Beta vulgaris L.) cultivars under high-yielding conditions of northwestern Europe. Arch. Agron. Soil Sci. 2016, 62, 1222–1235. [Google Scholar] [CrossRef]
- Laufer, D.; Nielsen, O.; Wilting, P.; Koch, H.J.; Märländer, B. Yield and nitrogen use efficiency of fodder and sugar beet (Beta vulgaris L.) in contrasting environments of northwestern Europe. Eur. J. Agron. 2016, 73, 124–132. [Google Scholar] [CrossRef]
- Chen, J.; Wang, X.; Liu, X.; Wang, S.; Zhao, J.; Zhang, H.; Wang, Y.; Li, C. Beneficial Effects of Biochar-Based Organic Fertilizers on Nitrogen Assimilation, Photosynthesis, and Sucrose Synthesis of Sugar Beet (Beta vulgaris L.). Int. J. Plant Prod. 2022, 16, 755–768. [Google Scholar] [CrossRef]
- Hawkesford, M.; Horst, W.; Kichey, T.; Lambers, H.; Schjoerring, J.; Møller, I.S.; White, P. Chapter 6—Functions of macronutrients. In Marschner’s Mineral Nutrition of Higher Plants, 3rd ed.; Marschner, P., Ed.; Academic Press: San Diego, CA, USA, 2012; pp. 135–189. [Google Scholar] [CrossRef]
- Kalaji, M.H.; Oukarroum, A.; Alexandrov, V.; Kouzmanova, M.; Brestic, M.; Zivcak, M.; Goltsev, V. Identification of nutrient deficiency in maize and tomato plants by in vivo chlorophyll a fluorescence measurements. Plant Physiol. Biochem. 2014, 81, 16–25. [Google Scholar] [CrossRef]
- Goltsev, V.N.; Kalaji, H.M.; Paunov, M.; Bąba, W.; Horaczek, T.; Mojski Kociel, H.; Allakhverdiev, S.I. Variable chlorophyll fluorescence and its use for assessing physiological condition of plant photosynthetic apparatus. Russ. J. Plant Physiol. 2016, 63, 869–893. [Google Scholar] [CrossRef]
- Zhou, H.; Xu, P.; Zhang, L. Nitrogen Application Promotes Drought-Stressed Sugar Beet Growth by Improving Photosynthesis, Osmoregulation, and Antioxidant Defense. J. Soil Sci. Plant Nutr. 2023, 23, 1272–1285. [Google Scholar] [CrossRef]
- Kalaji, H.M.; Jajoo, A.; Oukarroum, A.; Brestic, M.; Zivcak, M.; Samborska, I.A.; Cetner, M.D.; Lukasik, I.; Goltsev, V.; Ladle, R.J. Chlorophyll a fluorescence as a tool to monitor physiological status of plants under abiotic stress conditions. Acta Physiol. Plant. 2016, 38, 102. [Google Scholar] [CrossRef]
- Cetner, M.D.; Kalaji, H.M.; Goltsev, V.; Aleksandrov, V.; Kowalczyk, K.; Borucki, W.; Jajoo, A. Effects of nitrogen-deficiency on efficiency of light-harvesting apparatus in radish. Plant Physiol. Biochem. 2017, 119, 81–92. [Google Scholar] [CrossRef] [PubMed]
- Li, J.; Liu, X.; Yao, Q.; Xu, L.; Li, W.; Tan, W.; Liu, D. Tolerance and adaptation characteristics of sugar beet (Beta vulgaris L.) to low nitrogen supply. Plant Signal Behav. 2022, 18, 2159155. [Google Scholar] [CrossRef] [PubMed]
- WRB. IUSS Working Group WRB. World Reference Base for Soil Resources. International Soil Classification System for Naming Soils and Creating Legends for Soil Maps, 4th ed.; International Union of Soil Sciences (IUSS): Vienna, Austria, 2022. [Google Scholar]
- PKN. PN-ISO 10390:1997; Soil Quality—pH Determination. Polish Committee for Standardization: Warsaw, Poland, 1997.
- PKN. Polish Standard PN-R-04023:1996; Agro-Chemical Analysis of Soil—Determination of Available Phosphorus Content in Mineral Soils. Polish Committee for Standardization: Warsaw, Poland, 1996.
- PKN. Polish Standard PN-R-04022:1996/Az1:2002; Agro-Chemical Analysis of Soil—Determination of Available Potassium Content in Mineral Soils. Polish Committee for Standardization: Warsaw, Poland, 1996.
- PKN. Polish Standard PN-R-04020:1994/Az1:2004; Agro-Chemical Analysis of Soil—Determination of Available Magnesium Content in Mineral Soils. Polish Committee for Standardization: Warsaw, Poland, 1994.
- PKN. Polish Standard PN-92/R-04017; Agro-Chemical Analysis of Soil. Determination of Available Copper. Polish Committee for Standardization: Warsaw, Poland, 1992.
- PKN. Polish Standard PN-R-04021:1994; Agro-Chemical Analysis of Soil. Determination of Available Iron. Polish Committee for Standardization: Warsaw, Poland, 1994.
- PKN. Polish Standard PN-93/R-04019; Agro-Chemical Analysis of Soil. Determination of Available Manganese. Polish Committee for Standardization: Warsaw, Poland, 1993.
- PKN. Polish Standard PN-92/R-04016; Agro-Chemical Analysis of Soil. Determination of Available Zinc. Polish Committee for Standardization: Warsaw, Poland, 1992.
- PKN. Polish Standard PN-93/R-04018; Agro-Chemical Analysis of Soil. Determination of Available Boron. Polish Committee for Standardization: Warsaw, Poland, 1993.
- Dziezyc, J.; Nowak, L.; Panek, K. The decade indicators of the rainfall needs of the crops cultivated in Poland. Zesz. Probl. Postępów Nauk. Rol. 1987, 314, 11–33. [Google Scholar]
- Selianinov, G.T. On agricultural climate valuation. Proc. Agric. Methodol. 1928, 20, 165–177. [Google Scholar]
- Poorter, H.; Niinemets, U.; Poorter, L.; Wright, I.J.; Villar, R. Causes and consequences of variation in leaf mass per area (LMA): A meta-analysis. New Phytol. 2009, 182, 565–588. [Google Scholar] [CrossRef]
- Hunt, R. Plant Growth Analysis; Studies in Biology; No. 96; Edward Arnold Publishers: London, UK, 1978. [Google Scholar]
- Garnier, E.; Shipley, B.; Roumet, C.; Laurent, G. A standardized protocol for the determination of specific leaf area and leaf dry matter content. Funct. Ecol. 2001, 15, 688–695. [Google Scholar] [CrossRef]
- Solé, X.; Guinó, E.; Valls, J.; Iniesta, R.; Moreno, V. SNPStats: A web tool for the analysis of association studies. Bioinformatics 2006, 22, 1928–1929. [Google Scholar] [CrossRef] [PubMed]
- TIBCO Software Inc. Statistica (Data Analysis Software System); Version 13; TIBCO Software Inc.: Palo Alto, CA, USA, 2017. [Google Scholar]
- Milford, G.F.J.; Jarvis, P.J.; Jones, J.; Barraclough, P.B. An agronomic and physiological re-evaluation of the potassium and sodium requirements and fertilizer recommendations for sugar beet. J. Agric. Sci. 2008, 146, 429–443. [Google Scholar] [CrossRef]
- Milford, G.F.J.; Pocock, T.O.; Jaggard, K.W.; Biscoe, P.V.; Armstrong, M.J.; Last, P.J.; Goodman, P.J. An analysis of leaf growth in sugar beet. IV. The expansion of the leaf canopy in relation to temperature and nitrogen. Ann. Appl. Biol. 1985, 107, 335–347. [Google Scholar] [CrossRef]
- Tsialtas, J.T.; Maslaris, N. Leaf allometry and prediction of specific leaf area (SLA) in a sugar beet (Beta vulgaris L.) cultivar. Photosynthetica 2008, 46, 351–355. [Google Scholar] [CrossRef]
- Malnou, C.S.; Jaggard, K.W.; Sparkes, D.L. A canopy approach to nitrogen fertilizer recommendations for the sugar beet crop. Eur. J. Agron. 2006, 25, 254–263. [Google Scholar] [CrossRef]
- Hoffmann, C.M.; Huijbregts, T.; van Swaaij, N.; Jansen, R. Impact of different environments in Europe on yield and quality of sugar beet genotypes. Eur. J. Agron. 2009, 30, 17–26. [Google Scholar] [CrossRef]
- Poorter, H.; Garnier, E. Plant growth analysis: An evaluation of experimental design and computational methods. J. Exp. Bot. 1996, 47, 1343–1351. [Google Scholar] [CrossRef]
- Maxwell, K.; Johnson, G.N. Chlorophyll fluorescence-a practical guide. J. Exp. Bot. 2000, 51345, 659–668. [Google Scholar] [CrossRef]
- Dudeja, S.S.; Chaudhary, P. Fast chlorophyll fluorescence transient and nitrogen fixing ability of chickpea nodulation variants. Photosynthetica 2005, 43, 253–259. [Google Scholar] [CrossRef]
- Strasser, R.J.; Tsimilli-Michael, M.; Srivastava, A. Analysis of the chlorophyll a fluorescence transient. In Advances in Photosynthesis and Respiration. Chlorophyll a Fluorescence: A Signature of Photosynthesis; Papageorgiou, G.C., Ed.; Springer: Dordrecht, The Netherlands, 2004; pp. 321–362. [Google Scholar]
- Van Heerden, P.D.; Strasser, R.J.; Krüger, G.H. Reduction of dark chilling stress in N2-fixing soybean by nitrate as indicated by chlorophyll a fluorescence kinetics. Physiol. Plant. 2004, 121, 239–249. [Google Scholar] [CrossRef]
- Li, G.; Zhang, Z.S.; Gao, H.Y.; Liu, P.; Dong, S.T.; Zhang, J.W.; Zhao, B. Effects of nitrogen on photosynthetic characteristics of leaves from two different stay-green corn (Zea mays L.) varieties at the grain-filling stage. Can. J. Plant Sci. 2012, 92, 671–680. [Google Scholar] [CrossRef]
- Zivcak, M.; Olsovska, K.; Slamka, P.; Galambosova, J.; Rataj, V.; Shao, H.B.; Brestic, M. Application of chlorophyll fluorescence performance indices to assess the wheat photosynthetic functions influenced by nitrogen deficiency. Plant Soil Environ. 2014, 60, 210–215. [Google Scholar] [CrossRef]
- Lu, C.; Zhang, J.; Zhang, Q.; Li, L.; Kuang, T. Modification of photosystem II photochemistry in nitrogen deficient maize and wheat plants. J. Plant Physiol. 2001, 158, 1423–1430. [Google Scholar] [CrossRef]
- Malnou, C.S.; Jaggard, K.W.; Sparkes, D.L. Nitrogen fertilizer and the efficiency of the sugar beet crop in late summer. Eur. J. Agron. 2008, 28, 47–56. [Google Scholar] [CrossRef]
Disclaimer/Publisher’s Note: The statements, opinions and data contained in all publications are solely those of the individual author(s) and contributor(s) and not of MDPI and/or the editor(s). MDPI and/or the editor(s) disclaim responsibility for any injury to people or property resulting from any ideas, methods, instructions or products referred to in the content. |
© 2024 by the authors. Licensee MDPI, Basel, Switzerland. This article is an open access article distributed under the terms and conditions of the Creative Commons Attribution (CC BY) license (https://creativecommons.org/licenses/by/4.0/).