Sign in to use this feature.

Years

Between: -

Subjects

remove_circle_outline
remove_circle_outline
remove_circle_outline
remove_circle_outline
remove_circle_outline
remove_circle_outline
remove_circle_outline
remove_circle_outline
remove_circle_outline

Journals

Article Types

Countries / Regions

remove_circle_outline
remove_circle_outline
remove_circle_outline

Search Results (395)

Search Parameters:
Keywords = sowing date

Order results
Result details
Results per page
Select all
Export citation of selected articles as:
20 pages, 2977 KB  
Article
Predicting AquaCrop-Simulated Durum Wheat Yield with Machine Learning: Algorithm Comparison and Agronomic Signal Convergence in the Capitanata Plain
by Pasquale Garofalo, Anna Rita Bernadette Cammerino and Maria Riccardi
Agriculture 2026, 16(8), 890; https://doi.org/10.3390/agriculture16080890 - 17 Apr 2026
Abstract
Durum wheat production in the Mediterranean basin faces increasing climate variability and thus the need for computationally efficient tools to support agronomic decision-making at regional scale. Process-based crop models such as AquaCrop provide mechanistically sound yield estimates but require substantial computation time when [...] Read more.
Durum wheat production in the Mediterranean basin faces increasing climate variability and thus the need for computationally efficient tools to support agronomic decision-making at regional scale. Process-based crop models such as AquaCrop provide mechanistically sound yield estimates but require substantial computation time when screening large numbers of soil–climate–management combinations. The present study addresses this constraint by developing and evaluating five machine learning (ML) surrogate models—Linear Regression (LR), Multilayer Perceptron (MLP), Support Vector Machine for regression (SMOreg), RandomTree, and Reduced Error Pruning Tree (REPTree)—trained to emulate the AquaCrop-GIS response surface for durum wheat (Triticum durum Desf.) grain yield across the Capitanata plain (Southern Italy). A dataset of 342 instances was constructed by crossing 25 soil profiles, three sowing dates, and two irrigation regimes across 15 climatic grid cells (2014–2023), evaluated by stratified 10-fold cross-validation. The MLP achieved the highest accuracy (R = 0.983; R2 = 0.966; RMSE = 0.083 t ha−1); the four interpretable models were clustered at R = 0.891–0.907 (RMSE = 0.192–0.203 t ha−1). All models converged on consistent agronomic signals: standard sowing (1 November) yielded +0.53 t ha−1 over late sowing (15 November), supplemental irrigation added +0.17 t ha−1, and fine-textured soils produced superior yields. The convergence of directional signals across linear, kernel-based, and tree-based architectures confirms that ML surrogates trained on process-model outputs can efficiently emulate AquaCrop response surfaces and deliver actionable management guidance for durum wheat producers and agricultural planners in Mediterranean dryland farming systems. Full article
Show Figures

Figure 1

12 pages, 289 KB  
Article
Occurrence of Damage and Diseases in Early Maize (Zea mays L.) Varieties Depending on Sowing Date and Climatic Conditions
by Roman Wąsala, Piotr Szulc, Katarzyna Ambroży-Deręgowska, Przemysław Kardasz and Krzysztof Górecki
Agriculture 2026, 16(7), 802; https://doi.org/10.3390/agriculture16070802 - 3 Apr 2026
Viewed by 315
Abstract
To cope with the increasing pressure from diseases and pests under climate change, the effect of 6 maize sowing dates on the plant health of an ultra-early maize variety (Pyroxenia, FAO 130) was analyzed in studies conducted from 2016 to 2018. The assessment [...] Read more.
To cope with the increasing pressure from diseases and pests under climate change, the effect of 6 maize sowing dates on the plant health of an ultra-early maize variety (Pyroxenia, FAO 130) was analyzed in studies conducted from 2016 to 2018. The assessment of the response of the ultra-early variety to climate change will contribute to the identification of its predisposition to cultivation in terms of health recognition. The extent of plant damage caused by the frit fly (Oscinella frit L.), the European corn borer (Ostrinia nubilalis Hbn.), and the cereal leaf beetle (Oulema melanopus L.), as well as the severity of plant infection by Fusarium ear rot (Fusarium spp.) and maize smut (Ustilago maydis (D.C.) Corda), was assessed. Air temperature, precipitation, and the length of the growing period at individual sowing dates were also analyzed. The lowest level of insect damage and the highest level of disease infection were recorded in the final year of the study (2018), which was dry and had higher mean air temperature. Precipitation and temperature during the sowing dates ranged between 110.5 and 146.1 mm and 17.5 and 19.9 °C, respectively. The optimal sowing date for reducing maize losses caused by insect pests and diseases was found to be the earliest time points, i.e., between April 12 and 26. Full article
(This article belongs to the Section Crop Protection, Diseases, Pests and Weeds)
15 pages, 1606 KB  
Article
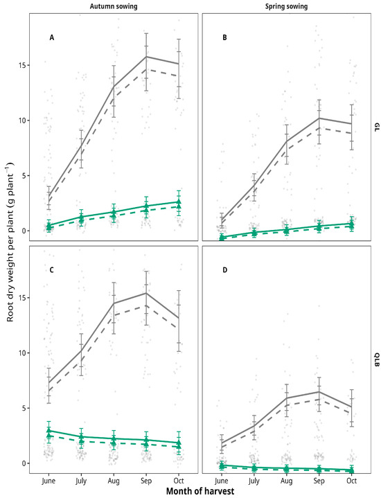
Autumn Sowing and Site-Adapted Harvest Timing Stabilize Rubber Yield in Taraxacum kok-saghyz
by Heike Pannwitt, René Kaiser, Helge Flüß and Katja Thiele
Agronomy 2026, 16(7), 726; https://doi.org/10.3390/agronomy16070726 - 31 Mar 2026
Viewed by 235
Abstract
To mitigate supply risks associated with Hevea brasiliensis, Taraxacum kok-saghyz is being developed as a promising temperate source of natural rubber. For it to be successfully integrated into conventional cropping systems, optimized agronomic practices are required. The present study investigates the effects [...] Read more.
To mitigate supply risks associated with Hevea brasiliensis, Taraxacum kok-saghyz is being developed as a promising temperate source of natural rubber. For it to be successfully integrated into conventional cropping systems, optimized agronomic practices are required. The present study investigates the effects of sowing season (spring vs. autumn) and harvest timing (June–October) on rubber yield, determined by root dry weight and rubber content. Field trials were conducted at two contrasting locations in Germany using wild-type T. kok-saghyz and the interspecific hybrid ‘Hyb207’. Root dry weight accumulation was influenced by genotype, sowing season, harvest date and site conditions. Despite this variability, autumn sowing increased modeled root dry weight by approximately 81% and rubber content by 84% on average compared to spring sowing. In addition, autumn-sown plants reached peak root dry weight earlier in the season than their spring-sown counterparts. These results demonstrate that strategic selection of sowing and harvest windows is critical for optimizing yield formation. Site-specific management strategies can enhance biomass production and facilitate the integration of Tks into temperate cropping systems. Full article
(This article belongs to the Section Farming Sustainability)
Show Figures

Figure 1

21 pages, 2462 KB  
Article
Regulatory Effects of Optimized Sowing Date and Seeding Rate on Yield Formation in Strong-Gluten Winter Wheat
by Guolong Gao, Han Zhang, Yuyang Duan, Shanshan Fan, Zhenye Xue, Xuliang Sun, Hongmei Ge and Changxing Zhao
Agronomy 2026, 16(5), 585; https://doi.org/10.3390/agronomy16050585 - 8 Mar 2026
Viewed by 344
Abstract
To identify adaptive cultivation strategies for strong-gluten winter wheat under conditions of increasing autumn temperatures and changing precipitation patterns in the Huang–Huai–Hai region, a field experiment was conducted with cultivars Jimai 44 and Zhongmai 578. Field experiments were conducted during the 2023–2024 and [...] Read more.
To identify adaptive cultivation strategies for strong-gluten winter wheat under conditions of increasing autumn temperatures and changing precipitation patterns in the Huang–Huai–Hai region, a field experiment was conducted with cultivars Jimai 44 and Zhongmai 578. Field experiments were conducted during the 2023–2024 and 2024–2025 growing seasons, using three sowing dates (T2–T4, 20 October to 3 November) in the first year and four sowing dates (T1–T4, 13 October to 3 November) in the second year, each combined with three seeding rates (M1–M3) that were increased by 52.5 kg ha−1 for every 7-day delay in sowing. This design evaluated how sowing date and seeding rate regulate photosynthesis, dry matter dynamics, and yield. The results showed that post-anthesis dry-matter accumulation, harvest index, grain number per unit area, and grain yield responded quadratically to delayed sowing and increased seeding rate. Delayed sowing increased flag-leaf SPAD but reduced dry matter at anthesis and maturity, pre-anthesis translocation, spike number, and thousand-kernel weight. Higher seeding rate decreased SPAD, net photosynthetic rate, grains per spike, and kernel weight. The T2M2 treatment optimized canopy structure, enhanced photosynthesis, maintained efficient dry matter production and partitioning, and balanced yield components, achieving the highest grain yield. Although severe delays in sowing reduced yield, increasing the seeding rate under late sowing compensated for the reduced spike number and mitigated yield losses. The T2M2 combination and the late-sowing with the incremental-seeding technique offer practical strategies for climate-resilient, high-yield wheat production in the region. Full article
(This article belongs to the Section Innovative Cropping Systems)
Show Figures

Figure 1

28 pages, 4834 KB  
Article
Altitude, Phenology, and Cotton Yield in Arid Oases: Quantifying Their Interactive Relationships
by Jian Huang, Pengfei Wu, Juan Huang, Wenyuan Xing, Hongfei Hao, Maochun Li and Xiaojun Wang
Plants 2026, 15(5), 824; https://doi.org/10.3390/plants15050824 - 7 Mar 2026
Viewed by 361
Abstract
Climate change induces cotton phenological changes, but the impact of these changes on yield and the regulatory role of altitude in the phenology–yield relationship remains unclear. Major Chinese cotton-growing regions (e.g., Xinjiang) are in arid and semi-arid areas with fragile ecosystems, making it [...] Read more.
Climate change induces cotton phenological changes, but the impact of these changes on yield and the regulatory role of altitude in the phenology–yield relationship remains unclear. Major Chinese cotton-growing regions (e.g., Xinjiang) are in arid and semi-arid areas with fragile ecosystems, making it crucial to clarify the phenology–yield correlation for ensuring regional cotton production security. Using long-term data (1981–2023) from 35 cotton monitoring stations in Xinjiang’s arid oases, we analyzed key phenological variations, quantified phenology’s impact on yield, and examined altitude’s effects on phenology. The results showed that the dates of four key cotton phenology—sowing (Sow), emergence (Eme), squaring (Squ), and flowering (Flo)—exhibited an advancing trend at a rate of 0.037–0.050 days year−1. In contrast, the dates of boll opening (Bol) and maturity (Mat) showed a delaying trend, with the delay rate ranging from 0.015 to 0.037 days year−1. Most phenological stage durations changed slightly: Sow–Eme, Squ–Flo, Bol–Mat, and vegetative growth period (VGP) shortened, while Eme–Squ, Flo–Bol, reproductive growth period (RGP), and whole growth period (WGP) lengthened. Lint yield increased by 24.061 kg ha−1 year−1. A one-day delay in the occurrence dates of any of the five cotton phenological stages—Sow, Eme, Squ, Flo, or Bol—was associated with a yield reduction ranging from 0.895 to 9.780 kg ha−1. In contrast, a one-day delay in the Mat led to a yield increase of 0.7876 kg ha−1. Additionally, the extension of three growth periods (Sow–Eme, Squ–Flo, and VGP) resulted in a yield decline, while the prolongation of four other periods (Eme–Squ, Bol–Mat, RGP, and WGP) contributed to a yield increase. The most critical finding is that altitude has a significant association with cotton phenology and its yield response: every 100 m increase in elevation, cotton phenological dates were delayed, the durations of different growth stages were altered, yield was reduced by 0.250 kg ha−1, and low-altitude areas exhibited more pronounced spatial heterogeneity in phenology and yield. However, this regulatory effect did not reach a significant level (p > 0.05), and the correlation between altitude and yield variability tended to be stronger in high-altitude areas than in low-altitude areas. This elevation-induced phenological shift is a key mediator of yield changes—elevational temperature variations are significantly associated with the duration of critical growth stages (e.g., the lengthening of reproductive growth period in low-altitude areas and shortening in high-altitude areas), which may indirectly affect dry matter accumulation and final yield formation. Corresponding policies for different altitudes should be formulated to offset the negative effects of phenological changes, providing scientific support for securing cotton production in arid oases. Full article
(This article belongs to the Section Crop Physiology and Crop Production)
Show Figures

Figure 1

24 pages, 6172 KB  
Article
Optimizing Sowing Calendars for Climate-Resilient Common Bean Production in Central-Southern Brazil: A Functional Data Analysis Approach
by Ludmilla Ferreira Justino, Alexandre Bryan Heinemann, David Henriques da Matta, Luís Fernando Stone, Felipe Waks Andrade and Silvando Carlos da Silva
Resources 2026, 15(3), 40; https://doi.org/10.3390/resources15030040 - 4 Mar 2026
Viewed by 1373
Abstract
Addressing the intertwined challenges of food security and climate vulnerability requires robust and regionally tailored strategies for staple crops such as common beans. Although adjusting sowing dates is a key adaptive practice, spatio-temporal climate variability complicates the identification of optimal planting windows. This [...] Read more.
Addressing the intertwined challenges of food security and climate vulnerability requires robust and regionally tailored strategies for staple crops such as common beans. Although adjusting sowing dates is a key adaptive practice, spatio-temporal climate variability complicates the identification of optimal planting windows. This study integrates crop modeling with Functional Data Analysis (FDA) to quantify sowing-date-dependent yield losses for rainfed common beans across Central-Southern Brazil. The CSM-CROPGRO-Dry Bean model, driven by long-term climate data (1980–2016), soil properties, and management practices, was used to simulate yields for the BRS Estilo cultivar. FDA was subsequently applied to cluster yield-loss curves across municipalities and growing seasons, generating representative regional risk profiles. The results reveal clear spatial patterns. During the wet season, earlier sowing minimizes losses in Goiás, Minas Gerais, and western Paraná, whereas later sowing is beneficial in São Paulo, Santa Catarina, and eastern Paraná. In the dry season, earlier sowing consistently reduces losses across most regions. These patterns are primarily driven by water deficits and suboptimal temperatures during critical phenological phases. The resulting spatio-temporal sowing calendar provides an evidence-based decision-support tool to help farmers mitigate climatic risks. Moreover, it offers a scientific foundation for policymakers to refine sustainable management practices, improve crop insurance design, and enhance agricultural resilience and productivity under increasing climate uncertainty. Full article
Show Figures

Figure 1

18 pages, 1965 KB  
Article
Effects of Different Heading Dates on Agronomic and Yield-Related Traits Under Salt Stress in Rice
by Sadia Afrin, Sayuri Ito, M M Emam Ahmed, Shuto Ogino, Asami Tomita and Yoshihiko Hirai
Crops 2026, 6(2), 28; https://doi.org/10.3390/crops6020028 - 2 Mar 2026
Viewed by 374
Abstract
Salinity is a major abiotic stress limiting rice production worldwide. This study aims to elucidate the effects of heading date on salt tolerance in rice. Five near-isogenic lines (NILs) developed from the SL2038/Koshihikari backcross population were grown with or without salt stress. SL2038 [...] Read more.
Salinity is a major abiotic stress limiting rice production worldwide. This study aims to elucidate the effects of heading date on salt tolerance in rice. Five near-isogenic lines (NILs) developed from the SL2038/Koshihikari backcross population were grown with or without salt stress. SL2038 is a salt-tolerant line with delayed heading (~18 days) compared to the salt-sensitive background Koshihikari. The results showed that late-heading NILs produced significantly higher plant dry weight, panicle weight, percentage of filled grains, and grain weight (p < 0.05) under long-term salt stress. In Koshihikari, which exhibited delayed heading due to long-day treatment, the percentage of white heads was low, and panicle and grain weights were significantly higher under salt stress. Experiments with different sowing times indicated that late heading, such as sowing in June, resulted in higher grain weights. This is the first report to assess the impact of heading date on agronomic and yield-related traits under salt stress. In conclusion, even with a prolonged salt treatment period, heading during periods of low temperature and solar radiation results in higher grain weight under salt stress. This is proposed as one of the strategies for salt escape. These findings can be used to improve rice yield and implement crop management in salt-affected regions. Full article
Show Figures

Figure 1

15 pages, 252 KB  
Article
Influence of Nitrogen Application and Planting Dates on Growth, Forage Yield and Quality of Maize
by Asmaa A. Mohamed, Mohamed Allam, Roberto Mancinelli, Emanuele Radicetti and Bahy R. Bakheit
Nitrogen 2026, 7(1), 24; https://doi.org/10.3390/nitrogen7010024 - 17 Feb 2026
Viewed by 538
Abstract
Optimizing nitrogen fertilization and planting date is essential for improving forage maize productivity under semi-arid conditions. This study evaluated the effects of nitrogen application rates and planting dates on growth, forage yield, and quality of maize (Zea mays L.) in Upper Egypt. [...] Read more.
Optimizing nitrogen fertilization and planting date is essential for improving forage maize productivity under semi-arid conditions. This study evaluated the effects of nitrogen application rates and planting dates on growth, forage yield, and quality of maize (Zea mays L.) in Upper Egypt. A two-year field experiment (2024–2025) was conducted at the Experimental Farm of Assiut University using a strip-plot design arranged in a randomized complete block design with three replications. Four planting dates (15 April, 15 May, 15 June, and 15 July) were assigned horizontally, while three nitrogen rates (167, 238, and 309 kg N ha−1) were applied vertically. Growth traits, fresh and dry forage yield, dry matter percentage, crude protein content, and protein yield were recorded at 60 days after sowing. Results showed that planting date, nitrogen rate, and their interaction significantly affected most measured traits in both seasons. Sowing in mid-May consistently produced the highest plant height, chlorophyll content, fresh and dry forage yield, and protein yield. Increasing nitrogen application enhanced biomass production and forage quality, with the highest values generally recorded at 309 kg N ha−1. The strongest yield response to nitrogen occurred when maize was sown at the optimal planting date, indicating that nitrogen utilization was closely linked to favorable environmental conditions. Phenotypic correlation and multivariate analyses revealed strong associations among vegetative growth traits and forage yield, with a single dominant factor explaining more than 91% of the variation in yield-related traits across seasons. Overall, the results demonstrate that synchronizing planting date with appropriate nitrogen fertilization is critical for maximizing maize forage yield and quality under semi-arid conditions. Mid-May sowing combined with adequate nitrogen supply represents an effective management strategy for forage maize production in Upper Egypt, while further research is needed to optimize nitrogen-use efficiency and long-term sustainability. Full article
31 pages, 6179 KB  
Article
Effects of Climate Change and Crop Management on Wheat Phenology in Arid Oasis Areas
by Jian Huang, Juan Huang, Pengfei Wu, Wenyuan Xing and Xiaojun Wang
Agriculture 2026, 16(3), 314; https://doi.org/10.3390/agriculture16030314 - 27 Jan 2026
Viewed by 589
Abstract
Crops grown in ecologically vulnerable oases are increasingly vulnerable to climate change, a trend that poses a severe threat to the sustainability of agricultural production in arid zones. Clarifying the relative contributions of climate change and crop management to crop phenology is critical [...] Read more.
Crops grown in ecologically vulnerable oases are increasingly vulnerable to climate change, a trend that poses a severe threat to the sustainability of agricultural production in arid zones. Clarifying the relative contributions of climate change and crop management to crop phenology is critical for designing climate-resilient agricultural practices—yet this remains underexplored for wheat in Xinjiang’s oases, a major arid-region agricultural hub. Using 1981–2021 phenological and meteorological data from 26 agrometeorological stations, we integrated a first-difference multiple regression model, Pearson’s correlation, multiple linear regression, and path analysis to quantify spatiotemporal phenological dynamics; disentangle the distinct impacts of climate and management factors; and identify dominant climatic drivers regulating wheat growth. Temperature was confirmed as the dominant climatic factor regulating wheat growth in arid oasis regions. Results showed that the annual change rates of sowing, emergence, booting, flowering, and maturity dates were 0.261 (−0.027), 0.265 (−0.103), −0.272 (−0.161), −0.269 (−0.226), and −0.216 (−0.127) days/year for winter (spring) wheat, respectively. For phenological durations, the annual change rates of sowing-to-emergence, emergence-to-anthesis, anthesis-to-maturity, vegetative growth period, reproductive growth period, and whole growth period were 0.007 (−0.076), −0.537 (−0.068), 0.096 (0.099), −0.502 (−0.134), 0.068 (0.034), and −0.434 (−0.100) days/year for winter (spring) wheat, respectively. Regarding climatic effects, maximum, minimum, and mean temperatures generally exerted positive impacts on wheat phenological durations; increased precipitation prolonged growth periods; and higher sunshine hours shortened winter wheat growth periods while extending those of spring wheat. Multiple regression and path analysis were employed to clarify the relative importance of climatic and management factors, as well as their direct and indirect effects on wheat phenology and yield. Furthermore, climate change had a substantially weaker impact on wheat phenology and yield compared to crop management, with climatic driver intensity following the order of mean temperature > precipitation > sunshine hours—confirming mean temperature as the key climate-induced driver. Correlation analysis revealed a positive relationship between yield and growth period length. This study provides novel insights into region-specific climate adaptation for wheat production in arid oases, highlighting that planting longer-growth-period varieties is an effective, eco-friendly strategy to enhance climate resilience and ensure sustainable agricultural development in fragile ecosystems. Full article
(This article belongs to the Section Ecosystem, Environment and Climate Change in Agriculture)
Show Figures

Figure 1

25 pages, 8087 KB  
Article
Evaluation of Yield Potential and Quality of Daikon (Raphanus sativus L. convar. acanthiformis Sazon.) Cultivars Under Different Sowing Dates
by Ivan Fedosiy, Adolfs Rucins, Aivars Aboltins, Dainis Viesturs, Irina Bobos, Oleksandr Komar, Oksana Zavadska, Mykhailo Retman, Ivanna Havrys and Olena Siedova
Agronomy 2026, 16(3), 282; https://doi.org/10.3390/agronomy16030282 - 23 Jan 2026
Viewed by 728
Abstract
Climate variability necessitates the optimization of sowing dates for vegetable crops to stabilize yields and mitigate abiotic stress risks. This study aimed to evaluate the effect of sowing dates on the productivity of daikon radish (Raphanus sativus L. convar. acanthiformis Sazon.) cultivars [...] Read more.
Climate variability necessitates the optimization of sowing dates for vegetable crops to stabilize yields and mitigate abiotic stress risks. This study aimed to evaluate the effect of sowing dates on the productivity of daikon radish (Raphanus sativus L. convar. acanthiformis Sazon.) cultivars Gulliver and Minowase under medium-podzolic, light loamy soil conditions with a pH (pHKCl) of 6.74 during the period 2022–2024. Field experiments were conducted across four sowing dates (ranging from July to early August), accounting for the hydrothermal conditions of the growing season. Effective air temperatures ranged from 428 to 950 °C, with precipitation levels between 36.9 and 252.3 mm. It was established that the sowing date significantly influenced daikon yield (p < 0.001). A significant positive correlation was identified between yield and precipitation (r = 0.76–0.84; p < 0.05), whereas the correlation between yield and the sum of effective temperatures was weak to moderate and predominantly negative (r = −0.62 to −0.10). The highest yields were achieved with sowing in the third ten-day period of July: 54.6 t ha−1 for the Gulliver cultivar and 58.9 t ha−1 for the Minowase cultivar. The Minowase cultivar consistently outperformed Gulliver in terms of yield and exhibited higher ecological plasticity under fluctuating hydrothermal conditions. These findings confirm the feasibility of optimizing sowing dates as an effective adaptive tool for enhancing the stability of daikon production amidst climate change. Full article
(This article belongs to the Section Farming Sustainability)
Show Figures

Figure 1

17 pages, 3878 KB  
Article
Phenological Development and Growth Responses of Industrial Hemp (Cannabis sativa L.) to Sowing Dates and Climatic Conditions in Elvas, Portugal
by Andreia Saragoça, Catarina Manuelito, Juan Carlos Alías Gallego, Natividad Chaves Lobón, Alfonso Ortega Garrido and Ana Isabel Cordeiro
Agronomy 2026, 16(2), 271; https://doi.org/10.3390/agronomy16020271 - 22 Jan 2026
Viewed by 552
Abstract
Industrial hemp (Cannabis sativa L.) is a multipurpose crop with growing interest due to its environmental adaptability, low input requirements, and potential contribution to sustainable agricultural systems. This study evaluated the agronomic performance of four industrial hemp varieties grown under the edaphoclimatic [...] Read more.
Industrial hemp (Cannabis sativa L.) is a multipurpose crop with growing interest due to its environmental adaptability, low input requirements, and potential contribution to sustainable agricultural systems. This study evaluated the agronomic performance of four industrial hemp varieties grown under the edaphoclimatic conditions of the Alentejo region over two consecutive growing seasons (2024 and 2025) using different sowing dates. Phenological stages, plant height and growth parameters were monitored, complemented by meteorological data obtained from IPMA. The results revealed clear differences between years. The later sowing date in 2024 promoted greater vegetative growth, resulting in taller plants, while the earlier sowing in 2025 extended the vegetative phase and delayed flowering. Varietal differences were also observed, particularly for Fibror 79, which flowered slightly later, suggesting greater photoperiod sensitivity. These patterns confirm that both thermal environment and sowing date play a decisive role in hemp phenological development. The findings also highlight the high plasticity of the crop, which demonstrated strong adaptation to the hot and dry Mediterranean summers. Overall, appropriate selection of variety and sowing date can optimize vegetative and reproductive development, representing an important strategy for sustainable agricultural systems in the Alentejo region. Full article
(This article belongs to the Section Farming Sustainability)
Show Figures

Figure 1

33 pages, 6275 KB  
Article
TABS-Net: A Temporal Spectral Attentive Block with Space–Time Fusion Network for Robust Cross-Year Crop Mapping
by Xin Zhou, Yuancheng Huang, Qian Shen, Yue Yao, Qingke Wen, Fengjiang Xi and Chendong Ma
Remote Sens. 2026, 18(2), 365; https://doi.org/10.3390/rs18020365 - 21 Jan 2026
Viewed by 406
Abstract
Accurate and stable mapping of crop types is fundamental to agricultural monitoring and food security. However, inter-annual phenological shifts driven by variations in air temperature, precipitation, and sowing dates introduce systematic changes in the spectral distributions associated with the same day of year [...] Read more.
Accurate and stable mapping of crop types is fundamental to agricultural monitoring and food security. However, inter-annual phenological shifts driven by variations in air temperature, precipitation, and sowing dates introduce systematic changes in the spectral distributions associated with the same day of year (DOY). As a result, the “date–spectrum–class” mapping learned during training can become misaligned when applied to a new year, leading to increased misclassification and unstable performance. To tackle this problem, we develop TABS-Net (Temporal–Spectral Attentive Block with Space–Time Fusion Network). The core contributions of this study are summarized as follows: (1) we propose an end-to-end 3D CNN framework to jointly model spatial, temporal, and spectral information; (2) we design and embed CBAM3D modules into the backbone to emphasize informative bands and key time windows; and (3) we introduce DOY positional encoding and temporal jitter during training to explicitly align seasonal timing and simulate phenological shifts, thereby enhancing cross-year robustness. We conduct a comprehensive evaluation on a Cropland Data Layer (CDL) subset. Within a single year, TABS-Net delivers higher and more balanced overall accuracy, Macro-F1, and mIoU than strong baselines, including 2D stacking, 1D temporal convolution/LSTM, and transformer models. In cross-year experiments, we quantify temporal stability using inter-annual robustness (IAR); with both DOY encoding and temporal jitter enabled, the model attains IAR values close to one for major crop classes, effectively compensating for phenological misalignment and inter-annual variability. Ablation studies show that DOY encoding and temporal jitter are the primary contributors to improved inter-annual consistency, while CBAM3D reduces crop–crop and crop–background confusion by focusing on discriminative spectral regions such as the red-edge and near-infrared bands and on key growth stages. Overall, TABS-Net combines higher accuracy with stronger robustness across multiple years, offering a scalable and transferable solution for large-area, multi-year remote sensing crop mapping. Full article
Show Figures

Figure 1

20 pages, 2452 KB  
Article
Simulation Study on the Yield Reduction Risk of Late Sowing Winter Wheat and the Compensation Effect of Soil Moisture in the North China Plain
by Chen Cheng, Jintao Yan, Yue Lyu, Shunjie Tang, Shaoqing Chen, Xianguan Chen, Lu Wu and Zhihong Gong
Agriculture 2026, 16(2), 183; https://doi.org/10.3390/agriculture16020183 - 11 Jan 2026
Viewed by 610
Abstract
The North China Plain, a major grain production base in China, is facing the chronic threat of climate-change-induced delays in winter wheat sowing, with late sowing constraining yields by shortening the pre-winter growth period, and soil moisture at sowing potentially serving as a [...] Read more.
The North China Plain, a major grain production base in China, is facing the chronic threat of climate-change-induced delays in winter wheat sowing, with late sowing constraining yields by shortening the pre-winter growth period, and soil moisture at sowing potentially serving as a key factor to alleviate late-sowing losses. However, previous studies have mostly independently analyzed the effects of sowing time or water stress, and there is still a lack of systematic quantitative evaluation on how the interaction effects between the two determine long-term yield potential and risk. To fill this gap, this study aims to quantify, in the context of long-term climate change, the independent and interactive effects of different sowing dates and baseline soil moisture on the growth, yield, and production risk of winter wheat in the North China Plain, and to propose regionally adaptive management strategies. We selected three representative stations—Beijing (BJ), Wuqiao (WQ), and Zhengzhou (ZZ)—and, using long-term meteorological data (1981–2025) and field trial data, undertook local calibration and validation of the APSIM-Wheat model. Based on the validated model, we simulated 20 management scenarios comprising four sowing dates and five baseline soil moisture levels to examine the responses of phenology, aboveground dry matter, and yield, and further defined yield-reduction risk probability and expected yield loss indicators to assess long-term production risk. The results show that the APSIM-Wheat model can reliably simulate the winter wheat growing period (RMSE 4.6 days), yield (RMSE 727.1 kg ha−1), and soil moisture dynamics for the North China Plain. Long-term trend analysis indicates that cumulative rainfall and the number of rainy days within the conventional sowing window have risen at all three sites. Delayed sowing leads to substantial yield reductions; specifically, compared with S1, the S4 treatment yields about 6.9%, 16.2%, and 16.0% less at BJ, WQ, and ZZ, respectively. Moreover, increasing the baseline soil moisture can effectively compensate for the losses caused by late sowing, although the effect is regionally heterogeneous. In BJ and WQ, raising the baseline moisture to a high level (P85) continues to promote biomass accumulation, whereas in ZZ this promotion diminishes as growth progresses. The risk assessment indicates that increasing baseline moisture can notably reduce the probability of yield loss; for example, in BJ under S4, elevating the baseline moisture from P45 to P85 can reduce risk from 93.2% to 0%. However, in ZZ, even the optimal management (S1P85) still carries a 22.7% risk of yield reduction, and under late sowing (S4P85) the risk reaches 68.2%, suggesting that moisture management alone cannot fully overcome late-sowing constraints in this region. Optimizing baseline soil moisture management is an effective adaptive strategy to mitigate late-sowing losses in winter wheat across the North China Plain, but the optimal approach must be region-specific: for BJ and WQ, irrigation should raise baseline moisture to high levels (P75-P85); for ZZ, the key lies in ensuring baseline moisture crosses a critical threshold (P65) and should be coupled with cultivar selection and fertilizer management to stabilize yields. The study thus provides a scientific basis for regionally differentiated adaptation of winter wheat in the North China Plain to address climate change and achieve stable production gains. Full article
(This article belongs to the Section Agricultural Systems and Management)
Show Figures

Figure 1

28 pages, 2478 KB  
Article
A High-Efficiency Cultivation Pattern of Strong-Gluten Wheat in Huang-Huai-Hai Plain of China
by Weiwei Guo, Nan Niu, Junwei Xin, Jiafei Yu, Zihan He, Junrong Li, Yuxin Xie, Shengjing Chen, Luhua Wang, Xueqing Shi, Zubaidai Abudukerimu, Huifang Wang, Ximei Li, Nataliia Golub and Yumei Zhang
Agronomy 2026, 16(1), 28; https://doi.org/10.3390/agronomy16010028 - 22 Dec 2025
Viewed by 621
Abstract
Different cultivation methods significantly affect wheat quality. However, the optimal cultivation pattern for strong-gluten wheat in Shandong province remains unclear. Through field experiments conducted over three consecutive wheat-growing seasons, wheat-quality-related traits under traditional cultivation practices (TC) and different cultivation patterns for Jimai44 (a [...] Read more.
Different cultivation methods significantly affect wheat quality. However, the optimal cultivation pattern for strong-gluten wheat in Shandong province remains unclear. Through field experiments conducted over three consecutive wheat-growing seasons, wheat-quality-related traits under traditional cultivation practices (TC) and different cultivation patterns for Jimai44 (a strong-gluten wheat variety) were investigated. Plowing, delayed sowing date and increasing seeding rate could enhance grain protein content, SDS sedimentation value, wet and dry gluten content, and also had a clear positive effect on thousand-kernel weight and test weight. Employing a protocol of increased basal nitrogen (300 kg/ha) and topdressing water and fertilizer twice significantly increased wheat grain protein and nitrogen content, flour yield, gluten index, SDS sedimentation value, dough stability time, and extensibility. On the basis of the two wheat seasons experiments, we developed an optimized cultivation practice (Opt, that is, combined with plowing, delayed sowing date, seeding rate of 3.15 million or 3.60 million, basal nitrogen fertilizer application of 300 kg/ha, topdressing fertilizer twice, topdressing water twice or three times). Compared with TC treatment, the optimized cultivation demonstrated superior performance in grain protein content, flour yield, SDS sedimentation value, wet and dry gluten content, stability time, formation time, extension area, extension, and maximum retensibility with high grain yield. Meanwhile, we found that the expression of TaGlu1 was significantly increased under the optimized cultivation practice. In summary, the optimized cultivation practice might be a promising approach for improving strong-gluten wheat quality in the Huang-Huai-Hai Plain. Full article
(This article belongs to the Section Farming Sustainability)
Show Figures

Figure 1

20 pages, 1294 KB  
Article
Exploitation of Chickpea Landraces for Drought and Heat Stress Adapted Varieties
by Avraam Koskosidis and Dimitrios N. Vlachostergios
Agronomy 2025, 15(12), 2909; https://doi.org/10.3390/agronomy15122909 - 17 Dec 2025
Viewed by 739
Abstract
Unpredictable climate fluctuations are a major constraint for chickpea production in the Mediterranean region, increasing the frequency of drought and temperature extremes. Landraces consist of locally adapted genotypes, offering valuable genetic variability. In this context, 12 chickpea landraces and 2 commercial varieties were [...] Read more.
Unpredictable climate fluctuations are a major constraint for chickpea production in the Mediterranean region, increasing the frequency of drought and temperature extremes. Landraces consist of locally adapted genotypes, offering valuable genetic variability. In this context, 12 chickpea landraces and 2 commercial varieties were tested. The breeding scheme consisted of two cycles of single-plant selection for high yield at nil-competition, followed by a 2-year evaluation under farming density in replicated trials. Selection cycles and evaluation were conducted under two different sowing dates, one normal and one nearly 30 days later (off-season), to implement the breeding method under extreme drought and heat stress conditions during yield’s critical stages. Among Improved Lines (ILs) developed under normal conditions, those from landraces 7 and 14 yielded 34% and 31% higher than the controls’ mean, while ILs from landraces 7, 9, and 12 developed under stress showed 11%, 8%, and 11% higher yield than the controls. Furthermore, ILs 7, 9, and 12 expressed the highest tolerance based on drought and heat stress indices and are considered as promising genetic material. Overall, the breeding scheme is suggested as effective for exploiting the natural genetic diversity of chickpea landraces towards the development of high-yielding and tolerant lines. Full article
Show Figures

Figure 1

Back to TopTop