Planting Density and Sowing Date Strongly Influence Canopy Characteristics and Seed Yield of Soybean in Southern Xinjiang
Abstract
1. Introduction
2. Materials and Methods
2.1. Experimental Site
2.2. Experimental Design
2.3. Measurement Items and Methods
2.3.1. Plant Measurement
2.3.2. LAI, CLT, and MTA
2.3.3. Daytime Variation in CME and Pn
2.3.4. Dry Matter Accumulation and Yield
2.4. Data Processing
3. Results
3.1. Effect of Sowing Date and Planting Density on the Reproductive Process of Spring Soybean
3.2. Effect of Sowing Date and Planting Density on Spring Soybean Yield and Components
3.3. Effects of Sowing Date and Planting Density on Spring Soybean Plant Structure
3.4. Effects of Sowing Date and Planting Density on Main Stem Internode Length
3.5. Effects of Sowing Date and Planting Density on Main Stem Petiole Length
3.6. Effects of Sowing Date and Planting Density on CLT
3.7. Effects of Sowing Date and Planting Density on MTA
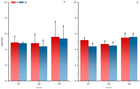
3.8. Effects of Sowing Date and Planting Density on LAI
3.9. Effects of Sowing Date and Planting Density on Canopy Daytime Temperature
3.10. Effects of Sowing Date and Planting Density on Daytime Canopy Relative Humidity
3.11. Effects of Sowing Date and Planting Density on Daytime Canopy CO2 Concentrations
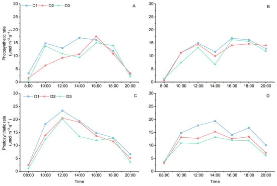
3.12. Effects of Sowing Date and Planting Density on Daytime Canopy Pn Variation
3.13. Effects of Sowing Date and Planting Density on Dry Matter Accumulation
4. Discussion
5. Conclusions
Author Contributions
Funding
Data Availability Statement
Conflicts of Interest
References
- Messina, M. Perspective: Soybeans can help address the caloric and protein needs of a growing global population. Front. Nutr. 2022, 9, 909464. [Google Scholar] [CrossRef] [PubMed]
- Huang, L.; Cai, Y.; Fang, F.; Huang, T.; Zhao, M.; Zhao, Q.; Van Der Meeren, P. Recent Advance in the Valorization of Soy-Based by-Products: Extraction, Modification, Interaction and Applications in the Food Industry. Food Hydrocoll. 2024, 157, 110407. [Google Scholar] [CrossRef]
- Gao, Y.; Wang, Z.; Zhang, X.; Wang, C. Observation and estimation of mercury exchange fluxes from soil under different crop cultivars and planting densities in North China Plain. Environ. Pollut. 2020, 259, 113833. [Google Scholar] [CrossRef] [PubMed]
- Zhao, W.; Ren, T.H.; Huang, X.Y.; Xu, Z.; Zhou, Y.Z.; Yin, C.L.; Zhao, R.; Liu, S.B.; Ning, T.Y.; Li, G. Leaf shape, planting density, and nitrogen application affect soybean yield by changing direct and diffuse light distribution in the canopy. Plant Physiol. Biochem. 2023, 204, 108071. [Google Scholar] [CrossRef]
- Makowski, D.; Marajo-Petitzon, E.; Durand, J.L.; Ben-Ari, T. Quantitative synthesis of temperature, CO2, rainfall, and adaptation effects on global crop yields. Eur. J. Agron. 2020, 115, 126041. [Google Scholar] [CrossRef]
- Liu, C.; Xu, Y.; Zhao, J.; Nie, J.; Jiang, Y.; Shang, M.; Zang, H.; Yang, Y.; Brown, R.W.; Zeng, Z. Optimizing sowing date and plant density improve peanut yield by mitigating heat and chilling stress. Agron. J. 2023, 115, 2521–2532. [Google Scholar] [CrossRef]
- Umburanas, R.C.; Yokoyama, A.H.; Balena, L.; Lenhani, G.C.; Teixeira, Â.M.; Krüger, R.L.; Reichardt, K.; Kawakami, J. Sowing dates and seeding rates affect soybean grain composition. Int. J. Plant Prod. 2018, 12, 181–189. [Google Scholar] [CrossRef]
- Kelly, S.J.; Cano, M.G.; Fanello, D.D.; Tambussi, E.A.; Guiamet, J.J. Extended photoperiods after flowering increase the rate of dry matter production and nitrogen assimilation in mid maturing soybean cultivars. Field Crop Res. 2021, 265, 108104. [Google Scholar] [CrossRef]
- Kannberg, S.; Lindsey, A.J.; Chiavegato, M.B.; Lindsey, L.E. Effect of ultra-early, early, and normal soybean planting dates and rye cover crop on soybean grain yield. Agron. J. 2024, 116, 1321–1330. [Google Scholar] [CrossRef]
- Bunce, J.A. Mutual shading and the photosynthetic capacity of exposed leaves of field grown soybeans. Photosynth. Res. 1988, 15, 75–83. [Google Scholar] [CrossRef]
- Yan, Y.; Duan, F.; Li, X.; Zhao, R.; Hou, P.; Zhao, M.; Li, S.; Wang, Y.; Dai, T.; Zhou, W. Photosynthetic capacity and assimilate transport of the lower canopy influence maize yield under high planting density. J. Plant Physiol. 2024, 4, 2652–2667. [Google Scholar] [CrossRef] [PubMed]
- Zhang, Z.; Zhu, K.; Fan, M.; Wang, Q.; Tan, Y. Diffuse fertilization effect in maize and soybean is driven by improved light use efficiency rather than by light absorption. J. Geophys. Res. Biogeosci. 2024, 129, e2023JG007766. [Google Scholar] [CrossRef]
- Virdi, K.S.; Sreekanta, S.; Dobbels, A.; Haaning, A.; Jarquin, D.; Stupar, R.M.; Lorenz, A.J.; Muehlbauer, G.J. Branch angle and leaflet shape are associated with canopy coverage in soybean. Plant Genome 2023, 16, e20304. [Google Scholar] [CrossRef] [PubMed]
- Agudamu; Yoshihira, T.; Shiraiwa, T. Branch development responses to planting density and yield stability in soybean cultivars. Plant Prod. Sci. 2016, 19, 331–339. [Google Scholar] [CrossRef]
- Fordoński, G.; Okorski, A.; Olszewski, J.; Dąbrowska, J.; Pszczółkowska, A. The effect of sowing date on the growth and yield of soybeans cultivated in north-eastern poland. Agriculture 2023, 13, 2199. [Google Scholar] [CrossRef]
- Hu, M.; Wiatrak, P. Effect of planting date on soybean growth, yield, and grain quality. Agron. J. 2012, 104, 785–790. [Google Scholar] [CrossRef]
- Fehr, W.R.; Caviness, C.E.; Burmood, D.T.; Pennington, J.S. Stage of development descriptions for soybeans, Glycine max (L.) Merrill1. CROP SCI 1971, 11, 929–931. [Google Scholar] [CrossRef]
- Matcham, E.G.; Mourtzinis, S.; Conley, S.P.; Rattalino Edreira, J.I.; Grassini, P.; Roth, A.C.; Casteel, S.N.; Ciampitti, I.A.; Kandel, H.J.; Kyveryga, P.M.; et al. Management strategies for early-and late-planted soybean in the north-central United States. Agron. J. 2020, 112, 2928–2943. [Google Scholar] [CrossRef]
- Bianchi, J.S.; Quijano, A.; Gosparini, C.O.; Morandi, E.N. Changes in leaflet shape and seeds per pod modify crop growth parameters, canopy light environment, and yield components in soybean. Crop J. 2020, 8, 351–364. [Google Scholar] [CrossRef]
- Xu, C.; Li, R.; Song, W.; Wu, T.; Sun, S.; Han, T.; Wu, C. High density and uniform plant distribution improve soybean yield by regulating population uniformity and canopy light interception. Agronomy 2021, 11, 1180. [Google Scholar] [CrossRef]
- Moro Rosso, L.H.; Borja Reis, A.F.D.; Ciampitti, I.A. Vertical canopy profile and the impact of branches on soybean seed composition. Front. Plant Sci. 2021, 12, 725767. [Google Scholar] [CrossRef] [PubMed]
- López-Bellido, F.J.; López-Bellido, L.; López-Bellido, R.J. Competition, growth and yield of faba bean (Vicia faba L.). Eur. J. Agron. 2005, 23, 359–378. [Google Scholar] [CrossRef]
- Allen, L.H.; Zhang, L.; Boote, K.J.; Hauser, B.A. Elevated temperature intensity, timing, and duration of exposure affect soybean internode elongation, mainstem node number, and pod number per plant. Crop J. 2018, 6, 148–161. [Google Scholar] [CrossRef]
- Nico, M.; Mantese, A.I.; Miralles, D.J.; Kantolic, A.G. Soybean fruit development and set at the node level under combined photoperiod and radiation conditions. J. Exp. Bot. 2016, 67, 365–377. [Google Scholar] [CrossRef]
- Zhang, R.; Shan, F.; Wang, C.; Yan, C.; Dong, S.; Xu, Y.; Gong, Z.; Ma, C.J.C. Internode elongation pattern, internode diameter and hormone changes in soybean (Glycine max) under different shading conditions. Crop Pasture Sci. 2020, 71, 679–688. [Google Scholar] [CrossRef]
- Rondanini, D.P.; Menendez, Y.C.; Gomez, N.V.; Miralles, D.J.; Botto, J.F. Vegetative plasticity and floral branching compensate low plant density in modern spring rapeseed. Field Crops Res. 2017, 210, 104–113. [Google Scholar] [CrossRef]
- Saha, M.; Bandyopadhyay, P.K.; Sarkar, A.; Nandi, R.; Singh, K.C.; Sanyal, D. Understanding the impacts of sowing time and tillage in optimizing the micro-environment for rainfed lentil (Lens culinaris Medik) production in the lower Indo-Gangetic plain. J. Soil Sci. Plant Nutr. 2020, 20, 2536–2551. [Google Scholar] [CrossRef]
- Sobko, O.; Hartung, J.; Zikeli, S.; Claupein, W.; Gruber, S. Effect of sowing density on grain yield, protein and oil content and plant morphology of soybean (Glycine max L. Merrill). Plant Soil Environ. 2019, 65, 594–601. [Google Scholar] [CrossRef]
- Hikosaka, K. Leaf canopy as a dynamic system: Ecophysiology and optimality in leaf turnover. Ann. Bot. 2005, 95, 521–533. [Google Scholar] [CrossRef]
- Poorter, H.; Niinemets, Ü.; Poorter, L.; Wright, I.J.; Villar, R. Causes and consequences of variation in leaf mass per area (LMA): A meta-analysis. New Phytol. 2009, 182, 565–588. [Google Scholar] [CrossRef]
- Fan, Y.; Chen, J.; Cheng, Y.; Raza, M.A.; Wu, X.; Wang, Z.; Liu, Q.; Wang, R.; Wang, X.; Yong, T.; et al. Effect of shading and light recovery on the growth, leaf structure, and photosynthetic performance of soybean in a maize-soybean relay-strip intercropping system. PLoS ONE 2018, 13, e0198159. [Google Scholar] [CrossRef] [PubMed]
- Zhang, N.; Tian, L.; Feng, L.; Xu, W.; Li, Y.; Xing, F.; Fan, Z.; Xiong, S.; Tang, J.; Li, C.; et al. Boll characteristics and yield of cotton in relation to the canopy microclimate under varying plant densities in an arid area. PeerJ 2021, 9, e12111. [Google Scholar] [CrossRef] [PubMed]
- Aliche, E.B.; Oortwijn, M.; Theeuwen, T.P.J.M.; Bachem, C.W.B.; Visser, R.G.F.; van der Linden, C.G. Drought response in field grown potatoes and the interactions between canopy growth and yield. Agric. Water Manag. 2018, 206, 20–30. [Google Scholar] [CrossRef]
- Yang, G.Z.; Luo, X.J.; Nie, Y.C.; Zhang, X.L. Effects of plant density on yield and canopy micro environment in hybrid cotton. J. Integr. Agric. 2014, 13, 2154–2163. [Google Scholar] [CrossRef]
- Marois, J.J.; Wright, D.L.; Wiatrak, P.J.; Vargas, M.A.J.C.S. Effect of row width and nitrogen on cotton morphology and canopy microclimate. Crop Sci. 2004, 44, 870–877. [Google Scholar] [CrossRef]
- Lawlor, D.W. Photosynthesis, productivity and environment. J. Exp. Bot. 1995, 46, 1449–1461. [Google Scholar] [CrossRef]
- Ahmed, S.; Raza, M.; Zhou, T.; Hussain, S.; Khalid, M.; Feng, L.; Wasaya, A.; Iqbal, N.; Ahmed, A.; Liu, W.; et al. Responses of soybean dry matter production, phosphorus accumulation, and seed yield to sowing time under relay intercropping with maize. Agronomy 2018, 8, 282. [Google Scholar] [CrossRef]












| Year | Sowing Date | Density | Seedtime | VE | V4 | R2 | R4 | R6 | R8 | Growth Period/d |
|---|---|---|---|---|---|---|---|---|---|---|
| 2021 | S1 | D1 | 04-07 | 04-15 | 05-14 | 05-26 | 06-06 | 07-04 | 07-16 | 92 |
| D2 | 04-07 | 04-15 | 05-14 | 05-26 | 06-06 | 07-04 | 07-16 | 92 | ||
| D3 | 04-07 | 04-15 | 05-14 | 05-25 | 06-06 | 07-04 | 07-15 | 91 | ||
| S2 | D1 | 05-07 | 05-13 | 06-07 | 06-13 | 07-11 | 07-31 | 08-19 | 98 | |
| D2 | 05-07 | 05-13 | 06-07 | 06-13 | 07-11 | 07-31 | 08-19 | 98 | ||
| D3 | 05-07 | 05-13 | 06-07 | 06-13 | 07-09 | 07-31 | 08-19 | 98 | ||
| 2022 | S1 | D1 | 04-07 | 04-15 | 05-07 | 05-14 | 06-03 | 06-24 | 07-14 | 90 |
| D2 | 04-07 | 04-15 | 05-07 | 05-14 | 06-03 | 06-24 | 07-14 | 90 | ||
| D3 | 04-07 | 04-15 | 05-07 | 05-14 | 06-03 | 06-24 | 07-14 | 90 | ||
| S2 | D1 | 05-07 | 05-14 | 06-08 | 06-17 | 07-13 | 07-28 | 08-22 | 100 | |
| D2 | 05-07 | 05-14 | 06-08 | 06-17 | 07-13 | 07-28 | 08-22 | 100 | ||
| D3 | 05-07 | 05-14 | 06-08 | 06-17 | 07-13 | 07-28 | 08-22 | 100 |
| Number of Main Stem Pods (pcs/m2) | Number of Branched Pods (pcs/m2) | Number of Grains in Main Stem (pcs/m2) | Number of Branched Grains (pcs/m2) | Main Stem Grain Weight (g/m2) | Branching Grain Weight (g/m2) | Hundred-Grain Weight (g) | Yield (Kg/ha) | |
|---|---|---|---|---|---|---|---|---|
| Y1 | 1056.0 ± 37.2 a | 321.9 ± 16.4 a | 2525.0 ± 148.2 a | 731.3 ± 8.1 a | 479.3 ± 10.2 a | 185.3 ± 23.5 a | 20.3 ± 0.3 b | 4216.3 ± 140.4 a |
| Y2 | 832.6 ± 37.8 b | 245.6 ± 54.0 a | 2169.0 ± 147.7 a | 626.6 ± 231.3 a | 521.1 ± 25.3 a | 147.6 ± 54.7 a | 22.2 ± 0.4 a | 4476.7 ± 124.5 a |
| S1 | 827.5 ± 44.3 b | 318.6 ± 33.8 a | 2082.5 ± 162.9 b | 764.4 ± 88.8 a | 427.8 ± 13.1 b | 174.9 ± 19.8 a | 22.1 ± 0.3 a | 4531.8 ± 101.5 a |
| S2 | 1061.1 ± 27.4 a | 249.0 ± 41.4 a | 2611.5 ± 24.5 a | 593.5 ± 173.6 a | 572.6 ± 22.1 a | 158.1 ± 28.0 a | 20.4 ± 0.4 b | 4161.2 ± 37.3 b |
| D1 | 671.4 ± 20.9 c | 651.6 ± 75.7 a | 1647.0 ± 113.4 c | 1564.4 ± 230.7 a | 386.9 ± 36.4 c | 368.1 ± 55.0 a | 23.3 ± 0.5 a | 4584.9 ± 156.3 a |
| D2 | 883.9 ± 38.5 b | 156.4 ± 81.2 b | 2269.5 ± 113.0 b | 375.5 ± 205.5 b | 497.5 ± 12.2 b | 114.4 ± 26.1 b | 20.9 ± 0.2 b | 3992.2 ± 135.4 b |
| D3 | 1277.6 ± 83.8 a | 43.4 ± 7.6 b | 3124.5 ± 144.6 a | 96.9 ± 33.2 b | 616.2 ± 22.6 a | 16.8 ± 6.6 c | 19.6 ± 0.5 c | 4462.3 ± 107.1 a |
| Y | * | ** | ||||||
| S | ** | ** | ** | ** | * | |||
| D | ** | ** | ** | ** | ** | ** | ** | ** |
| Y × S | ** | * | ** | ** | ** | * | ** | |
| Y × D | ** | ** | ** | |||||
| S × D | * | ** | * | ** | ||||
| Y × S × D | * | * | ** | * | ** | * |
| Year | Sowing Date | Density | Number of Main Stem Pods (pcs/m2) | Number of Branched Pods (pcs/m2) | Number of Grains in Main Stem (pcs/m2) | Number of Branched Grains (pcs/m2) | Main Stem Grain Weight (g/m2) | Branching Grain Weight (g/m2) | Hundred-Grain Weight (g) | Yield (Kg/ha) |
|---|---|---|---|---|---|---|---|---|---|---|
| YI | S1 | D1 | 692.8 ± 76.5 cd | 924.4 ± 60.0 a | 1844.7 ± 533.5 bc | 2481.6 ± 124.1 a | 385.3 ± 4.1 cd | 600.3 ± 41.9 a | 24.2 ± 0.4 ab | 5437.0 ± 298.0 a |
| D2 | 987.5 ± 24.7 b | 225.3 ± 101.8 bcd | 2397.8 ± 9.3 b | 506.1 ± 240.7 b | 506.8 ± 5.6 bc | 106.7 ± 58.4 b | 21.1 ± 0.6 de | 4163.2 ± 242.8 cde | ||
| D3 | 1464.3 ± 76.5 a | 173.5 ± 30.6 bcd | 3642.8 ± 81.6 a | 387.8 ± 132.7 b | 616.3 ± 31.9 b | 67.2 ± 26.3 b | 18.2 ± 0.2 f | 4630.3 ± 100.2 bcd | ||
| S2 | D1 | 655.6 ± 26.9 cde | 475.6 ± 173.7 b | 1379.4 ± 105.5 cd | 777.6 ± 335.0 b | 314.9 ± 8.1 de | 173.7 ± 61.3 b | 21.9 ± 0.1 cde | 3377.3 ± 291.4 f | |
| D2 | 1015.3 ± 3.1 b | 132.7 ± 3.1 cd | 2370.0 ± 61.7 b | 234.5 ± 37.0 b | 443.8 ± 8.0 c | 163.8 ± 122.5 b | 18.5 ± 0.4 f | 4158.7 ± 385.5 cde | ||
| D3 | 1520.4 ± 224.5 a | 0.0 ± 0.0 d | 3515.3 ± 403.1 a | 0.0 ± 0.0 b | 608.9 ± 27.8 b | 0.0 ± 0.0 b | 18.0 ± 0.7 f | 4242.2 ± 181.7 cd | ||
| Y2 | S1 | D1 | 441.2 ± 59.7 e | 392.9 ± 109.4 bc | 1013.3 ± 115.1 d | 820.3 ± 106.1 b | 226.7 ± 10.3 e | 183.2 ± 22.1 b | 24.9 ± 1.5 a | 4883.5 ± 269.9 abc |
| D2 | 648.1 ± 163.3 de | 195.4 ± 170.0 bcd | 1861.9 ± 393.2 bc | 390.9 ± 340.0 b | 442.0 ± 36.4 c | 91.8 ± 79.9 b | 22.9 ± 0.1 bc | 4199.0 ± 74.1 cde | ||
| D3 | 731.3 ± 106.2 cd | 0.0 ± 0.0 d | 1734.7 ± 417.6 bcd | 0.0 ± 0.0 b | 390.0 ± 35.8 cd | 0.0 ± 0.0 b | 21.5 ± 0.4 | 3877.8 ± 326.8 def | ||
| S2 | D1 | 896.1 ± 140.8 bc | 813.4 ± 434.9 a | 2350.6 ± 401.7 b | 2178.3 ± 1293.5 a | 620.5 ± 158.8 b | 515.3 ± 302.8 a | 22.2 ± 0.5 cd | 4641.9 ± 446.3 bcd | |
| D2 | 884.7 ± 64.2 bcd | 72.0 ± 124.7 cd | 2448.2 ± 89.1 b | 370.3 ± 263.7 b | 597.6 ± 39.2 b | 95.6 ± 71.6 b | 21.3 ± 0.5 de | 3447.9 ± 275.4 ef | ||
| D3 | 1394.5 ± 106.2 a | 0.0 ± 0.0 d | 3605.4 ± 147.3 a | 0.0 ± 0.0 b | 849.8 ± 43.7 a | 0.0 ± 0.0 b | 20.6 ± 1.3 e | 5098.9 ± 262.4 ab |
| Plant Height (cm) | Stem thickness (cm) | Number of Nodes of Main Stem | Branching Number | Bottom Pod Height (cm) | Alpha-Nodal Position (Botany) | |
|---|---|---|---|---|---|---|
| Y1 | 76.6 ± 3.3 a | 0.9 ± 0.1 a | 14.5 ± 0.3 a | 1.3 ± 0.2 a | 10.4 ± 1.5 a | 4.2 ± 0.4 a |
| Y2 | 60.3 ± 2.0 b | 0.7 ± 0.0 b | 12.7 ± 0.5 b | 1.3 ± 0.4 a | 9.1 ± 1.2 a | 3.4 ± 0.4 a |
| S1 | 57.7 ± 2.7 b | 0.8 ± 0.1 a | 12.0 ± 0.4 b | 1.5 ± 0.5 a | 6.5 ± 0.4 b | 3.2 ± 0.2 b |
| S2 | 79.2 ± 2.7 a | 0.8 ± 0.0 a | 15.2 ± 0.3 a | 1.1 ± 0.2 a | 13.0 ± 2.2 a | 4.3 ± 0.4 a |
| D1 | 63.1 ± 2.6 c | 0.9 ± 0.1 a | 14.0 ± 0.5 a | 3.2 ± 0.5 a | 7.8 ± 1.2 b | 3.8 ± 0.5 a |
| D2 | 68.2 ± 1.9 b | 0.8 ± 0.0 b | 13.9 ± 0.4 a | 0.8 ± 0.5 b | 9.2 ± 0.4 b | 3.9 ± 0.3 a |
| D3 | 74.2 ± 3.0 a | 0.7 ± 0.0 b | 12.9 ± 0.3 b | 0.0 ± 0.0 c | 12.3 ± 2.2 a | 3.6 ± 0.3 a |
| Y | ** | ** | ** | |||
| S | ** | ** | ** | ** | ||
| D | ** | ** | ** | ** | ** | |
| Y × S | ** | * | ||||
| Y × D | ||||||
| S × D | ** | ** | ||||
| Y × S × D | ** | * | ** |
| Year | Sowing Date | Density | Plant Height (cm) | Stem Thickness (cm) | Number of Nodes of Main Stem | Branching Number | Bottom Pod Height (cm) | Alpha-Nodal Position (Botany) |
|---|---|---|---|---|---|---|---|---|
| YI | S1 | D1 | 46.8 ± 4.9 e | 1.3 ± 0.4 a | 12.6 ± 1.7 def | 3.8 ± 0.8 a | 6.1 ± 0.9 cd | 3.0 ± 0.4 d |
| D2 | 65.1 ± 7.0 bc | 0.8 ± 0.1 bc | 13.6 ± 0.5 cde | 0.8 ± 0.0 c | 4.9 ± 2.9 d | 3.8 ± 0.4 bcd | ||
| D3 | 68.6 ± 5.0 bc | 0.7 ± 0.1 cde | 11.8 ± 0.8 f | 0.0 ± 0.0 c | 8.5 ± 2.6 bcd | 3.6 ± 0.8 bcd | ||
| S2 | D1 | 96.2 ± 7.0 a | 1.0 ± 0.1 b | 16.6 ± 1.7 a | 2.4 ± 0.5 b | 10.5 ± 1.3 b | 5.6 ± 1.1 a | |
| D2 | 88.6 ± 9.8 a | 0.9 ± 0.1 bc | 16.6 ± 1.3 a | 0.8 ± 0.8 c | 14.7 ± 3.3 a | 4.6 ± 0.5 ab | ||
| D3 | 94.6 ± 12.0 a | 0.6 ± 0.1 cde | 15.8 ± 0.8 ab | 0.0 ± 0.0 c | 18.3 ± 5.7 a | 4.4 ± 0.5 abc | ||
| Y2 | S1 | D1 | 49.7 ± 6.5 e | 0.6 ± 0.0 cde | 12.2 ± 0.8 ef | 3.4 ± 1.5 ab | 5.5 ± 1.5 d | 3.2 ± 0.7 cd |
| D2 | 54.7 ± 4.6 de | 0.6 ± 0.0 de | 11.6 ± 0.9 fg | 0.8 ± 1.1 c | 7.1 ± 1.2 bcd | 2.8 ± 0.8 d | ||
| D3 | 61.5 ± 4.5 cd | 0.6 ± 0.0 e | 10.2 ± 1.3 g | 0.0 ± 0.0 c | 7.1 ± 0.4 bcd | 2.8 ± 0.5 d | ||
| S2 | D1 | 59.8 ± 3.3 cd | 0.8 ± 0.1 bc | 14.6 ± 0.9 bc | 3.0 ± 1.2 ab | 8.9 ± 1.8 bcd | 3.4 ± 1.3 bcd | |
| D2 | 64.2 ± 3.9 bcd | 0.8 ± 0.1 bcd | 14.0 ± 0.7 cd | 0.6 ± 0.5 c | 10.1 ± 1.4 bc | 4.4 ± 1.1 abc | ||
| D3 | 72.0 ± 4.3 b | 0.8 ± 0.1 bcd | 13.8 ± 0.4 cde | 0.0 ± 0.0 c | 15.4 ± 5.0 a | 3.6 ± 0.5 bcd |
Disclaimer/Publisher’s Note: The statements, opinions and data contained in all publications are solely those of the individual author(s) and contributor(s) and not of MDPI and/or the editor(s). MDPI and/or the editor(s) disclaim responsibility for any injury to people or property resulting from any ideas, methods, instructions or products referred to in the content. |
© 2024 by the authors. Licensee MDPI, Basel, Switzerland. This article is an open access article distributed under the terms and conditions of the Creative Commons Attribution (CC BY) license (https://creativecommons.org/licenses/by/4.0/).
Share and Cite
Xu, N.; Mao, T.; Zhang, H.; Huang, X.; Zhan, Y.; Liu, J.; Wang, D.; Zhai, Y. Planting Density and Sowing Date Strongly Influence Canopy Characteristics and Seed Yield of Soybean in Southern Xinjiang. Agriculture 2024, 14, 1892. https://doi.org/10.3390/agriculture14111892
Xu N, Mao T, Zhang H, Huang X, Zhan Y, Liu J, Wang D, Zhai Y. Planting Density and Sowing Date Strongly Influence Canopy Characteristics and Seed Yield of Soybean in Southern Xinjiang. Agriculture. 2024; 14(11):1892. https://doi.org/10.3390/agriculture14111892
Chicago/Turabian StyleXu, Naibo, Tingyong Mao, Hengbin Zhang, Xingjun Huang, Yong Zhan, Jiahao Liu, Desheng Wang, and Yunlong Zhai. 2024. "Planting Density and Sowing Date Strongly Influence Canopy Characteristics and Seed Yield of Soybean in Southern Xinjiang" Agriculture 14, no. 11: 1892. https://doi.org/10.3390/agriculture14111892
APA StyleXu, N., Mao, T., Zhang, H., Huang, X., Zhan, Y., Liu, J., Wang, D., & Zhai, Y. (2024). Planting Density and Sowing Date Strongly Influence Canopy Characteristics and Seed Yield of Soybean in Southern Xinjiang. Agriculture, 14(11), 1892. https://doi.org/10.3390/agriculture14111892

