Short-Term Prediction Method for Gas Concentration in Poultry Houses Under Different Feeding Patterns
Abstract
1. Introduction
2. Materials and Methods
2.1. Data Source
2.1.1. Dataset 1 Source: Automated Environmental Control Broiler Breeder House
2.1.2. Dataset 2 Source: Artificial Environment Control Broiler Breeder House
2.2. Gas Concentration Prediction Model Development
2.2.1. Main Framework
2.2.2. Data Preprocessing
2.3. Structure of the Proposed Hybrid STL-GC-LSTM-XGBoost Model
2.3.1. Target Decomposition
2.3.2. Auxiliary Variable Selection
2.3.3. Component Prediction
2.3.4. Correction of Results
2.3.5. Evaluation Indicators
3. Results and Discussion
3.1. Dataset and Setting
3.2. Short-Term Prediction of CO2 Concentration
3.2.1. Verification of the Predicted CO2 Results of the STL-GC-LSTM-XGBoost Model
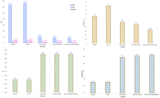
3.2.2. Comparison of the Predicted CO2 Results of Different Models
3.3. Short-Term Forecast of Ammonia Gas
3.3.1. Verification of the Predicted NH3 Results of the STL-GC-LSTM-XGBoost Model
3.3.2. Comparison of the Predicted NH3 Results of Different Models
4. Conclusions
Author Contributions
Funding
Institutional Review Board Statement
Data Availability Statement
Acknowledgments
Conflicts of Interest
References
- Monedero Gomez, F. Savings and energy efficiency in livestock installations Ahorro y eficiencia energetica en instalaciones ganaderas. Agric. Rev. Agropecu. 2005, 74, 534–539. [Google Scholar]
- Bist, R.B.; Subedi, S.; Chai, L.; Yang, X. Ammonia emissions, impacts, and mitigation strategies for poultry production: A critical review. J. Environ. Manag. 2023, 328, 116919. [Google Scholar] [CrossRef] [PubMed]
- Li, J.; Wang, T.; Yao, W.; Hu, L.; Gao, Y.; Huang, F. Ammonia emission characteristic from livestock and poultry house and its harm to livestock and poultry health. Chin. J. Anim. Nutr. 2017, 29, 3472–3481. [Google Scholar]
- Fangmeier, A.; Hadwiger-Fangmeier, A.; Van der Eerden, L.; Jäger, H.-J. Effects of atmospheric ammonia on vegetation—A review. Environ. Pollut. 1994, 86, 43–82. [Google Scholar] [CrossRef] [PubMed]
- Sun, Y.; Wang, Y.; Sa, R.; Zhang, H. Effects of carbon dioxide on poultry and control measures. Chin. J. Anim. Nutr. 2018, 30, 2918–2924. [Google Scholar]
- Gao, L.A.; Er, M.; Li, L.; Wen, P.; Jia, Y.; Huo, L. Microclimate environment model construction and control strategy of enclosed laying brooder house. Poult. Sci. 2022, 101, 101843. [Google Scholar] [CrossRef] [PubMed]
- Costantino, A.; Fabrizio, E.; Villagrá, A.; Estellés, F.; Calvet, S. The reduction of gas concentrations in broiler houses through ventilation: Assessment of the thermal and electrical energy consumption. Biosyst. Eng. 2020, 199, 135–148. [Google Scholar] [CrossRef]
- Yeo, U.H.; Jo, S.K.; Kim, S.H.; Park, D.H.; Jeong, D.Y.; Park, S.J.; Shin, H.; Kim, R.W. Applicability of Machine-Learned Regression Models to Estimate Internal Air Temperature and CO2 Concentration of a Pig House. Agronomy 2023, 13, 328. [Google Scholar] [CrossRef]
- Sun, G.; Hoff, S.J.; Zelle, B.C.; Smith, M.A. Development and comparison of backpropagation and generalized regression neural network models to predict diurnal and seasonal gas and PM10 concentrations and emissions from swine buildings. Trans. Asabe 2008, 51, 685–694. [Google Scholar] [CrossRef]
- Peng, S.Y.; Zhu, J.; Liu, Z.; Hu, B.; Wang, M.; Pu, S. Prediction of Ammonia Concentration in a Pig House Based on Machine Learning Models and Environmental Parameters. Animals 2023, 13, 165. [Google Scholar] [CrossRef] [PubMed]
- Chen, X.Y.; Yang, L.; Xue, H.; Li, L.; Yu, Y. A Machine Learning Model Based on GRU and LSTM to Predict the Environmental Parameters in a Layer House, Taking CO2 Concentration as an Example. Sensors 2024, 24, 244. [Google Scholar] [CrossRef] [PubMed]
- Besteiro, R.; Arango, T.; Ortega, J.A.; Rodríguez, M.R.; Fernández, M.D.; Velo, R. Prediction of carbon dioxide concentration in weaned piglet buildings by wavelet neural network models. Comput. Electron. Agric. 2017, 143, 201–207. [Google Scholar] [CrossRef]
- Xie, Q.J.; Ni, J.-Q.; Li, E.; Bao, J.; Zheng, P. Sequential air pollution emission estimation using a hybrid deep learning model and health-related ventilation control in a pig building. J. Clean. Prod. 2022, 371, 133714. [Google Scholar] [CrossRef]
- Tabase, R.K.; Van Linden, V.; Bagci, O.; De Paepe, M.; Aarnink, A.J.; Demeyer, P. CFD simulation of airflows and ammonia emissions in a pig compartment with underfloor air distribution system: Model validation at different ventilation rates. Comput. Electron. Agric. 2020, 171, 105297. [Google Scholar] [CrossRef]
- Tong, X.J.; Zhao, L.; Heber, A.J.; Ni, J.-Q. Development of a farm-scale, quasi-mechanistic model to estimate ammonia emissions from commercial manure-belt layer houses. Biosyst. Eng. 2020, 196, 67–87. [Google Scholar] [CrossRef]
- Trull, O.; Garcia-Diaz, J.C.; Peiro-Signes, A. Multiple seasonal STL decomposition with discrete-interval moving seasonalities. Appl. Math. Comput. 2022, 433, 127398. [Google Scholar] [CrossRef]
- Mahjoub, C.; Bellanger, J.-J.; Kachouri, A.; Jeannès, R.L.B. On the performance of temporal Granger causality measurements on time series: A comparative study. Signal Image Video Process. 2020, 14, 955–963. [Google Scholar] [CrossRef]
- Granger, C.W.J. Investigating causal relations by econometric models and cross-spectral methods. Econometrica 1969, 37, 424–438. [Google Scholar] [CrossRef]
- Hochreiter, S.; Schmidhuber, J. Long short-term memory. Neural Comput. 1997, 9, 1735–1780. [Google Scholar] [CrossRef] [PubMed]
- Chen, T.Q.; Guestrin, C. XGBoost: A Scalable Tree Boosting System. In Proceedings of the 22nd ACM SIGKDD International Conference on Knowledge Discovery and Data Mining (KDD), San Francisco, CA, USA, 13–17 August 2016. [Google Scholar]




















| Detection Index | Range | Precision | Model Number |
|---|---|---|---|
| Temperature | −40–80 °C | ±0.2 °C | KCNTC-1M |
| Humidity | 0–100% | ±1.5% | KCTHT-102 |
| Wind speed | 0~60 m/s | ±(0.2 m/s ± 0.02 × v) | RS-CFSFX-I20-2 |
| Static pressure | −100~100 pa | 3% | KCPT-106 |
| Carbon dioxide | 0–5000 ppm | ±(50 ppm +3% F·S) | KCCOT-103 |
| Ammonia | 0~50 ppm | ±8% | RS-NH3-I20-2-50p |
| Detection Index | Range | Precision | Model Number |
|---|---|---|---|
| Temperature | −40–80 °C | ±0.5 °C | RS-WS-SMG-4 |
| Humidity | 0–100% | ±3% | |
| PM2.5 and PM10 | 0~1000 μg/m3 | ±3%FS | RS-PM-I20-2 |
| Wind speed | 0~60 m/s | ±(0.2 m/s ± 0.02 × v) | RS-CFSFX-I20-2 |
| Carbon dioxide | 0–5000 ppm | ± (50 ppm +3% F·S) | RS-CO2-I20-2-5000p |
| Ammonia | 0~50 ppm | ±8% | RS-NH3-I20-2-50p |
| Air pressure | −120~120 Pa | ±3% | RS-YC-I20-2 |
| Symbol | Description |
|---|---|
| Seasonal component of time t | |
| Trend component at time t | |
| Residual component at time t | |
| Seasonal component at the end of k − 1 of the inner cycle | |
| Trend component at the end of k − 1 of the inner cycle, | |
| Period of time series | |
| LOESS smoothing parameter | |
| A dynamic threshold based on the median of the residual, which is used to identify the anomaly. |
| Parameter Abbreviation | Explanation |
|---|---|
| out_tem (°C) | Temperature outside the house |
| out_hum (%) | Humidity outside the house |
| in_hum (%) | Humidity inside the house |
| in_tem (°C) | Temperature inside the house |
| in_wind (m/s) | Wind speed inside the house |
| in_ven (m3/h) | Ventilation inside the house |
| in_NP, in_kpa (pa) | Static pressure |
| in_pm2.5 (mg/m3) | PM2.5 inside the house |
| in_pm10 (mg/m3) | PM10 inside the house |
| in_co2 (ppm) | Carbon dioxide concentration inside the house |
| in_ammonia (ppm) | Ammonia concentration inside the house |
| Predictive Variable | Auxiliary Variable |
|---|---|
| of Dataset 1 | out_tem, in_hum, in_tem, in_wind, in_ven, in_NP. |
| of Dataset 2 | out_tem, out_hum, in_tem, in_wind, in_pm2.5, in_pm10, in_kpa, in_ammonia. |
| of Dataset 2 | out_tem, in_co2, in_hum, in_tem, in_kpa. |
| Object of Prediction | The Decomposed Components | MSE (ppm) | MAE (ppm) | RMSE (ppm) | MAPE (%) | R2 |
|---|---|---|---|---|---|---|
| C02 sequence of Dataset 1 | ) | 27.89 | 4.48 | 5.28 | 0.69 | 0.95 |
| ) | 0.08 | 0.22 | 0.28 | 30.72 | 0.99 | |
| ) | 51.81 | 5.69 | 7.2 | 228.6 | 0.44 | |
| C02 sequence of Dataset 2 | ) | 13.64 | 2.7 | 3.69 | 0.48 | 0.99 |
| ) | 0.06 | 0.17 | 0.24 | 48.01 | 0.99 | |
| ) | 53.93 | 3.97 | 7.34 | 254.71 | 0.20 | |
| NH3 sequence of Dataset 1 | ) | 0.00 | 0.01 | 0.01 | 0.6 | 0.99 |
| ) | 0.00 | 0.00 | 0.00 | 56.79 | 0.99 | |
| ) | 0.00 | 0.16 | 0.02 | 290.73 | 0.32 |
Disclaimer/Publisher’s Note: The statements, opinions and data contained in all publications are solely those of the individual author(s) and contributor(s) and not of MDPI and/or the editor(s). MDPI and/or the editor(s) disclaim responsibility for any injury to people or property resulting from any ideas, methods, instructions or products referred to in the content. |
© 2024 by the authors. Licensee MDPI, Basel, Switzerland. This article is an open access article distributed under the terms and conditions of the Creative Commons Attribution (CC BY) license (https://creativecommons.org/licenses/by/4.0/).
Share and Cite
Xu, Y.; Teng, G.; Zhou, Z. Short-Term Prediction Method for Gas Concentration in Poultry Houses Under Different Feeding Patterns. Agriculture 2024, 14, 1891. https://doi.org/10.3390/agriculture14111891
Xu Y, Teng G, Zhou Z. Short-Term Prediction Method for Gas Concentration in Poultry Houses Under Different Feeding Patterns. Agriculture. 2024; 14(11):1891. https://doi.org/10.3390/agriculture14111891
Chicago/Turabian StyleXu, Yidan, Guanghui Teng, and Zhenyu Zhou. 2024. "Short-Term Prediction Method for Gas Concentration in Poultry Houses Under Different Feeding Patterns" Agriculture 14, no. 11: 1891. https://doi.org/10.3390/agriculture14111891
APA StyleXu, Y., Teng, G., & Zhou, Z. (2024). Short-Term Prediction Method for Gas Concentration in Poultry Houses Under Different Feeding Patterns. Agriculture, 14(11), 1891. https://doi.org/10.3390/agriculture14111891

