Sign in to use this feature.

Years

Between: -

Subjects

remove_circle_outline
remove_circle_outline
remove_circle_outline
remove_circle_outline
remove_circle_outline
remove_circle_outline
remove_circle_outline
remove_circle_outline
remove_circle_outline

Journals

remove_circle_outline
remove_circle_outline
remove_circle_outline
remove_circle_outline
remove_circle_outline
remove_circle_outline
remove_circle_outline
remove_circle_outline
remove_circle_outline
remove_circle_outline
remove_circle_outline
remove_circle_outline
remove_circle_outline
remove_circle_outline
remove_circle_outline
remove_circle_outline
remove_circle_outline
remove_circle_outline
remove_circle_outline

Article Types

Countries / Regions

remove_circle_outline
remove_circle_outline
remove_circle_outline
remove_circle_outline
remove_circle_outline
remove_circle_outline
remove_circle_outline
remove_circle_outline

Search Results (6,907)

Search Parameters:
Keywords = soybean

Order results
Result details
Results per page
Select all
Export citation of selected articles as:
20 pages, 1793 KB  
Article
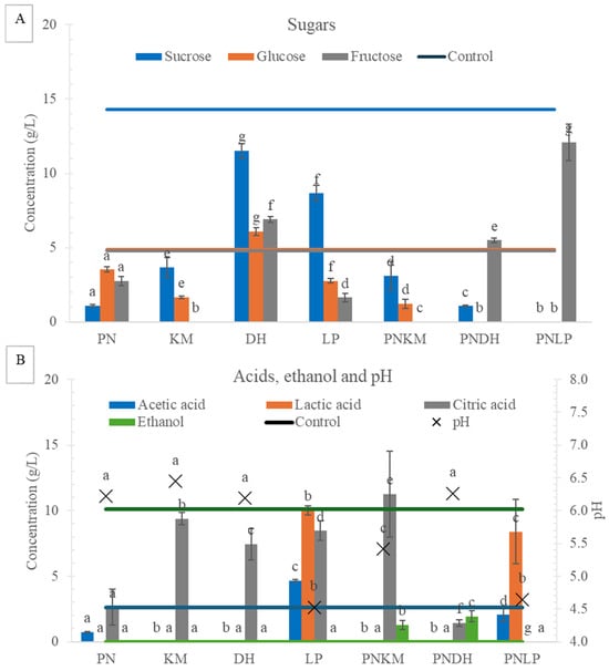
From Charcuterie to Plant-Based: Harnessing Penicillium nalgiovense for Innovative Soybean Co-Culture Fermentation
by Xin Hui Chin, Ryan Soh, Geraldine Chan, Pnelope Ng, Aaron Thong, Hosam Elhalis, Yoganathan Kanagasundaram, Yvonne Chow and Shao Quan Liu
Foods 2026, 15(6), 1053; https://doi.org/10.3390/foods15061053 - 17 Mar 2026
Abstract
Improving the flavour of soybean-based ingredients remains challenging as soybeans naturally contain compounds that generate green and beany notes. This study evaluated how the surface-growing food-grade fungus Penicillium nalgiovense (PN), alone and together with selected yeasts and lactic acid bacteria, alters the chemistry [...] Read more.
Improving the flavour of soybean-based ingredients remains challenging as soybeans naturally contain compounds that generate green and beany notes. This study evaluated how the surface-growing food-grade fungus Penicillium nalgiovense (PN), alone and together with selected yeasts and lactic acid bacteria, alters the chemistry and sensory attributes of soybeans during solid-state fermentation. PN showed strong proteolytic activity in the monoculture fermentation, producing the highest accumulation of free amino acids (1324 mg/100 g), while its combination with Lactiplantibacillus plantarum (LP) further increased this to 1487 mg/100 g due to acid-assisted protease action. Sugar and organic acid profiles reflected distinct metabolic roles among the strains; for example, PNLP and PN-Debaryomyces hansenii (DH) depleted sucrose and glucose completely by 72 h, whereas DH retained substantial sucrose. Fermentation also altered the lipid profiles, where PN-Kluyveromyces marxianus (KM) showed the highest increase in polyunsaturated fatty acids, with linoleic and α-linolenic acid increasing more than twofold and threefold, respectively. Volatile analysis showed a significant decrease in hexanal (from 18.3 µg/g in control to <2.0 µg/g post fermentation) and an increase in esters, floral alcohols, and savoury compounds depending on the microbial pairing. Electronic tongue profiling showed that PN-fermented samples produced the strongest savoury taste signals. Overall, the work highlights how specific PN-yeast or PN-LAB combinations can be used to modulate flavour development in fermented soy-based substrates. Full article
(This article belongs to the Special Issue Soybean and Human Nutrition)
Show Figures

Graphical abstract

12 pages, 252 KB  
Review
Fish Oil-Containing Injectable Lipid Emulsions in Parenteral Nutrition: Immunomodulation and Clinical Outcomes in Critically Ill Patients—Narrative Review
by Mariusz Kęska, Milena Kęska, Mirosław Perliński, Piotr Pabich and Dariusz Onichimowski
Nutrients 2026, 18(6), 939; https://doi.org/10.3390/nu18060939 - 17 Mar 2026
Abstract
Background and Aims: Injectable lipid emulsions are an integral component of parenteral nutrition, providing energy as well as essential fatty acids. However, conventional soybean oil–based emulsions, which are rich in omega-6 fatty acids, are associated with a risk of exacerbating pro-inflammatory responses and [...] Read more.
Background and Aims: Injectable lipid emulsions are an integral component of parenteral nutrition, providing energy as well as essential fatty acids. However, conventional soybean oil–based emulsions, which are rich in omega-6 fatty acids, are associated with a risk of exacerbating pro-inflammatory responses and immunosuppression, which is of particular importance in critically ill patients. The aim of this review is to present the significance of the composition of modern injectable lipid emulsions, with particular emphasis on emulsions containing fish oil as a source of omega-3 fatty acids (EPA and DHA), and to discuss their potential clinical benefits in selected critical conditions. Methods: This narrative review discusses the rationale for modern mixed-oil ILE, with a focus on fish oil as a source of EPA and DHA, and summarizes potential clinical benefits in selected critical care settings. Results: Modern injectable lipid emulsions combine long-chain triglycerides derived from soybean oil (omega-6), MCTs, olive oil (omega-9), and fish oil (omega-3). Adjusting the supply of individual fractions affects cell membrane structure, signaling pathways, gene expression, and the profile of lipid mediators produced, including specialized pro-resolving mediators (SPMs). ESPEN guidelines and international recommendations emphasize the need to use lipids in parenteral nutrition, preferring mixed-oil ILE supplemented with fish oil. The cited meta-analyses and clinical studies indicate that omega-3-containing emulsions may reduce the risk of infections and sepsis; shorten hospital stay, ICU length of stay, and duration of mechanical ventilation in patients with sepsis; as well as improve outcomes in acute pancreatitis; lower the risk of delirium; and reduce the incidence of delayed gastric emptying. Conclusions: Available data support the use of mixed-oil ILE supplemented with fish oil in the parenteral nutrition of critically ill patients as a strategy with immunomodulatory and pro-resolving potential that may translate into improved clinical outcomes. However, further well-designed randomized trials are needed to optimize dosing and administration regimens. Full article
16 pages, 3937 KB  
Article
Genome-Wide Identification and Characterization of the DOF Gene Family and Gene Expression Pattern Analysis in Five Legume Species
by Chunyu Nie, Han Zhang, Jiaxin Song, Guohui Xu and Rixin Wang
Genes 2026, 17(3), 324; https://doi.org/10.3390/genes17030324 - 17 Mar 2026
Abstract
Background: The DOF transcription factor family is involved in plant growth, development, and stress responses, but systematic comparative genomics studies across legume species are lacking. Methods: We identified the whole genome of the DOF gene family of five legume plants: Medicago truncatual ( [...] Read more.
Background: The DOF transcription factor family is involved in plant growth, development, and stress responses, but systematic comparative genomics studies across legume species are lacking. Methods: We identified the whole genome of the DOF gene family of five legume plants: Medicago truncatual (43), Cicer arietinum (43), Phaseolus vulgaris (44), Glycine max (79), and Lotus japonicus (32). Genome-wide identification of DOF genes was performed in five legume species, followed by phylogenetic analysis, gene structure characterization, duplication event identification, promoter element prediction, synteny analysis, and expression pattern profiling. Results: Phylogenetic comparison with Arabidopsis thaliana (47) and Oryza sativa (37) classified them into four subfamilies (Groups I–IV). The five legumes all had no more than 30% members of the subgroup. The same subfamily has similar protein structures and gene structures, and most of its members have motif1, with most plants having more than 30% of genes intronic. Gene duplication events were evenly distributed among the members of the DOF gene in all five legumes, and played an important role in its evolution. Moreover, the majority of the DOF genes showed tissue specificity in the five legumes, with most of these members being upregulated in flowers. Additionally, expression pattern analysis under abiotic stress in soybean revealed that members of different subfamilies exhibit divergent expression dynamics under salt, alkali, and cold stresses. The DOF gene family in legumes expanded primarily through segmental duplication and evolved under purifying selection. Conclusion: The subfamily-specific responses to abiotic stress and tissue-specific expression patterns provide candidate gene resources for functional studies aimed at improving stress tolerance and agronomic traits in legume crops. Full article
(This article belongs to the Section Plant Genetics and Genomics)
Show Figures

Figure 1

19 pages, 3829 KB  
Article
Genome-Wide Identification of Candidate Loci Associated with the Regulation of the Protein, Oil, and Carbohydrate Content in Soybean
by Sreeparna Chowdhury, Byeong Hee Kang, Won-Ho Lee, Seo-Young Shin, Da-Yeon Kim, Woon Ji Kim, Jeong-Ho Baek, Seong-Hoon Kim and Bo-Keun Ha
Plants 2026, 15(6), 924; https://doi.org/10.3390/plants15060924 - 17 Mar 2026
Abstract
Soybean (Glycine max (L.) Merr.) is a globally important legume valued for the high protein, oil, and carbohydrate content of its seeds. However, it is difficult to simultaneously optimize the content of these three macronutrients due to their negatively correlated metabolic pathways [...] Read more.
Soybean (Glycine max (L.) Merr.) is a globally important legume valued for the high protein, oil, and carbohydrate content of its seeds. However, it is difficult to simultaneously optimize the content of these three macronutrients due to their negatively correlated metabolic pathways and complex quantitative inheritance patterns. In this study, a genome-wide association study (GWAS) was conducted to elucidate the genetic architecture underlying the seed protein, oil, and carbohydrate content in 328 soybean accessions evaluated over two years using near-infrared spectroscopy. Significant negative correlations (r = −0.323 to −0.656, p < 0.001) were observed between the three traits, confirming the trade-off in carbon partitioning during seed development. The GWAS identified nine significant loci distributed across chromosomes 4, 6, 8, 9, 10, 16, and 18 as stable quantitative trait loci (QTLs) regulating the three traits. Of these, three pleiotropic loci (qProOil.4, qProOil.16, and qOilCarb.6) were found to be associated with multiple seed compositional traits. Haplotype analysis revealed seven haplotype blocks with distinct phenotypic variation, indicating that they have the potential for use as trait-specific markers in marker-assisted selection. Functional annotation of the stable QTL regions identified 22 putative genes, among which five candidate genes, Glyma.06g201700, Glyma.08g281900, Glyma.09g164900, Glyma.13g155600, and Glyma.16g209800 were likely to be involved in carbon allocation, protein biosynthesis, lipid metabolism, and carbohydrate modification pathways based on their relative expression levels. Overall, this study enhances the understanding of the genetic and molecular mechanism controlling the composition of soybean seed and identifies promising genomic targets for precision breeding programs aimed at improving nutritional quality. Full article
Show Figures

Figure 1

17 pages, 3877 KB  
Article
Fruit Yield and Quality of Zanthoxylum planispinum var. dingtanensis and Their Response to Different Fertilization Regimes
by Yurong Fu, Yanghua Yu, Yun Yang, Hui Huang and Mingfeng Du
Horticulturae 2026, 12(3), 367; https://doi.org/10.3390/horticulturae12030367 - 16 Mar 2026
Abstract
Zanthoxylum planispinum var. dingtanensis (hereafter Z. planispinum) is a pioneer plant for the ecological restoration of karst rocky desertification, offering both ecological rehabilitation and economic benefits. Due to the combined pressure from soil degradation and fruit harvesting, nutrient depletion and quality decline [...] Read more.
Zanthoxylum planispinum var. dingtanensis (hereafter Z. planispinum) is a pioneer plant for the ecological restoration of karst rocky desertification, offering both ecological rehabilitation and economic benefits. Due to the combined pressure from soil degradation and fruit harvesting, nutrient depletion and quality decline have intensified. Therefore, investigating the effects of fertilization on pericarp yield and quality provides the scientific basis for its precise fertilization. This study examined a Z. planispinum plantation subjected to five treatments in 2021: no fertilization (CK); organic fertilizer + chemical fertilizer + sprinkler irrigation (T1); chemical fertilizer + sprinkler irrigation (T2); chemical fertilizer alone (T3); and legume (soybean) intercropping + chemical fertilizer + sprinkler irrigation (T4). It explored the intrinsic relationships between fruit quality and soil physicochemical properties, identified key soil factors, and conducted a comprehensive quality evaluation, providing a scientific basis for precise fertilization in karst regions. The results indicated that (1) whole-fruit water content ranged from 61.30% to 64.37%, showing no significant differences, while variations were observed in the other phenotypic traits. T1 exhibited the highest values for Hydroxy-β-sanshool (2.42 mg·g−1), Hydroxy-ε-sanshool (0.80 mg·g−1), essential oil content (8.57%), and fresh weight per plant (9.9 kg). After long-term soybean intercropping, pericarp thickness reached its maximum (0.45 mm), but the content of aroma compounds decreased significantly. Compared to the other four treatments, the unfertilized control (CK) showed significantly higher values for the pericarp dry weight ratio, proportion of closed-eye peppercorns, and relative content of d-limonene, with increases of 5.5–13.94%, 130.91–568.42%, and 8.74–14.46%, respectively. (2) An inhibitory effect was observed between pericarp numbing compounds and soil calcium/phosphorus levels, while the synthesis of aroma compounds was constrained by the soil C/N ratio. Soil P/K ratio was identified as the dominant factor affecting overall quality. (3) The comprehensive fruit quality index ranked as follows: T1 (1.2933) > T3 (0.666) > T2 (0.5285) > CK (−1.1555) > T4 (−1.2098). Therefore, the T1 treatment is recommended for promotion as the fertilization management practice for Z. planispinum plantations in karst regions. Full article
Show Figures

Figure 1

16 pages, 1970 KB  
Article
Effects of Raffinose on Growth Performance, Intestinal Function-Related Genes, and Cecal Microbiota in Broilers Fed Low Soybean Meal Diets
by Xiang Lan, Shiping Bai, Gang Tian, Gang Lv, Keying Zhang, Jiang Yuan, Xuemei Ding, Jianping Wang, Yan Liu, Yue Xuan, Shanshan Li and Qiufeng Zeng
Animals 2026, 16(6), 928; https://doi.org/10.3390/ani16060928 - 16 Mar 2026
Abstract
This study investigated the effects of a low soybean meal (SBM) diet and its supplementation with graded levels of raffinose on the growth performance, expression of genes related to nutrient transport and intestinal function, and cecal microbiota of white-feathered broilers. A total of [...] Read more.
This study investigated the effects of a low soybean meal (SBM) diet and its supplementation with graded levels of raffinose on the growth performance, expression of genes related to nutrient transport and intestinal function, and cecal microbiota of white-feathered broilers. A total of 480 one-day-old Cobb broilers were randomly allotted to six isoenergetic and isonitrogenous dietary treatments, each with eight replicates of 10 birds. The diets consisted of a positive diet, a low SBM diet (10% reduction in SBM), and the low SBM diet supplemented with 0.10%, 0.15%, 0.20%, or 0.25% raffinose. Results indicated that, compared with the positive diet, the low SBM diet significantly increased (p < 0.05) the overall mortality and average daily feed intake (ADFI) during days 22–42, while significantly decreasing (p < 0.05) dietary ether extract (EE) availability. Raffinose supplementation to the low SBM diet linearly reduced (p < 0.05) dietary gross energy and dry matter utilization and downregulated duodenal SLC5A1 gene expression at 42 days, while linearly increasing (p < 0.05) the cecal isobutyric acid content. A decreasing tendency in mortality during days 22–42 was also observed with raffinose inclusion (p = 0.088). Notably, the low SBM diet elevated the relative abundance of Campylobacterota and Helicobacter, which was effectively reversed by raffinose supplementation. In conclusion, a 10% reduction in dietary SBM negatively affected the survival, nutrient utilization, and cecal microbial structure in broilers, whereas raffinose supplementation partially modulated these alterations. Full article
Show Figures

Figure 1

15 pages, 719 KB  
Article
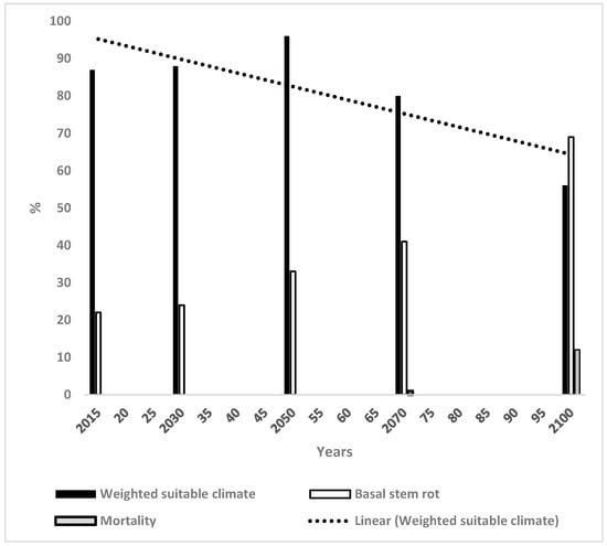
Future Basal Stem Rot, Oil Palm Mortality and Climate Scenarios for Oil Palm Compared to Climate Scenarios for Alternative Crops
by Robert Russell Monteith Paterson
Microorganisms 2026, 14(3), 670; https://doi.org/10.3390/microorganisms14030670 - 16 Mar 2026
Abstract
Modifying food systems is required when they are threatened by a changing climate. Oil palm (OP) is a very important crop and climate change (CC) may decrease the areas in which OP can grow, as indicated by CLIMEX modelling. OP is affected by [...] Read more.
Modifying food systems is required when they are threatened by a changing climate. Oil palm (OP) is a very important crop and climate change (CC) may decrease the areas in which OP can grow, as indicated by CLIMEX modelling. OP is affected by basal stem rot (BSR) and increasing incidences are indicated. Palm oil is used in many foods and biodiesel; Indonesia and Malaysia produce the largest volumes of the commodity. CLIMEX modelling of future suitable climates have also been applied to soybean, maize and the common bean (CB). The data for these crops were compared to those for OP in Indonesia, Malaysia and Thailand in the current paper to determine if growing the crops in the same regions in which OP is grown is possible in the future. Soybean had higher areas of suitable climate compared to OP. BSR and OP mortality further disadvantaged OP. The suitable climate for OP decreased significantly in Thailand by 2050 and in areas of Indonesia and Malaysia by 2070; the equivalent areas for soybean remained at high suitability. OP climate suitability further declined by 2100 in these and some other regions. Soybean could usefully be grown to diversify from the OP monoculture in many cases. Maize could be a possible alternative infrequently and the CB does not appear to be a viable alternative. These comparisons are unique and the methods could be employed in other systems. Full article
(This article belongs to the Special Issue Fungal and Oomycete Diseases of Oil Palm)
Show Figures

Figure 1

21 pages, 6566 KB  
Article
GmRWP-RK1 Enhances Salt Tolerance by Modulating Antioxidant Defense, Ion Homeostasis and Stress-Responsive Pathways in Soybean
by Lu Liu, Qianyue Bai, Min Xu, Qi Zhang, Yuhong Gai, Naveed Ahmad, Piwu Wang, Zhuo Zhang, Nooral Amin and Wei Jian
Plants 2026, 15(6), 912; https://doi.org/10.3390/plants15060912 - 16 Mar 2026
Abstract
Soil salinity is rapidly spreading across agricultural regions and has become one of the most critical constraints on soybean growth, yield, and sustainable production. Despite the central role of transcription factors (TFs) in coordinating plant responses to abiotic stresses, the molecular mechanisms by [...] Read more.
Soil salinity is rapidly spreading across agricultural regions and has become one of the most critical constraints on soybean growth, yield, and sustainable production. Despite the central role of transcription factors (TFs) in coordinating plant responses to abiotic stresses, the molecular mechanisms by which RWP-RK domain-containing TFs regulate salt-tolerant responses in soybean remain poorly understood. Our previous genome-wide characterization identified 28 RWP-RK TFs in soybean exhibiting abiotic stress-responsive expression, yet their biological functions under salt stress have not been experimentally validated. Here, we investigated a 981-bp GmRWP-RK1 encoding region and demonstrated its regulatory role in enhancing salt tolerance by activating antioxidant defence, Na+/K+ homeostasis, and transcriptional control of salt-responsive genes using a cross-species overexpression approach. The two Arabidopsis lines (OE1 & OE4) overexpressing GmRWP-RK1 demonstrated significantly improved salt tolerance, as evidenced by ~18% greater survival and enhanced germination compared to non-transgenic plants under salinity stress. This phenotype was supported by stronger antioxidant protection, as indicated by elevated proline levels, reduced MDA accumulation, and increased SOD and POD activities. At the molecular level, the transgenic lines also showed up-regulated expression of key stress-responsive genes (AtACS10, AtSUMO1, AtGBF1), confirming the regulatory influence of GmRWP-RK1 on salt-adaptation pathways. Consistent with the Arabidopsis results, GmRWP-RK1 overexpression in soybean hairy roots also led to improved salt-stress tolerance by accumulating significantly reduced ROS contents (27.38% lower H2O2 and 33.98% lower O2), and maintained a balanced Na+/K+ ratio compared to that of non-transgenic hairy roots under salinity. Furthermore, GmRWP-RK1-overexpressing transgenic soybean hairy roots showed increased expression of stress-responsive genes, especially GmATG-5, GmOLP-1, and GmOLP-2. Overall, our results support a possible role of GmRWP-RK1 in soybean salt tolerance and provide a foundation for future functional and breeding-oriented studies. Full article
(This article belongs to the Special Issue Abiotic Stress Responses in Plants—Second Edition)
Show Figures

Graphical abstract

27 pages, 942 KB  
Article
Effects of Protein Supplementation and Microbial Inoculation on Fermentation Quality, Aerobic Stability, and In Vitro Digestibility of Maize Silage
by Michael Vuma, Moses M. Ratsaka, Julius T. Tjelele, Thomas Langa, Bhutikini D. Nkosi and Ingrid M. M. Malebana
Fermentation 2026, 12(3), 155; https://doi.org/10.3390/fermentation12030155 - 16 Mar 2026
Abstract
The study evaluated the effects of replacing soybean meal (SBM) with marula oilcake (MOC) at equal inclusion (10% fresh weight) levels in whole-crop maize silage treated with or without lactic acid bacteria inoculants on fermentation characteristics, nutritive value, aerobic stability, and in vitro [...] Read more.
The study evaluated the effects of replacing soybean meal (SBM) with marula oilcake (MOC) at equal inclusion (10% fresh weight) levels in whole-crop maize silage treated with or without lactic acid bacteria inoculants on fermentation characteristics, nutritive value, aerobic stability, and in vitro nutrient degradability. Maize was ensiled with SBM or MOC in a non-iso-nitrogenous 2 × 3 factorial design and either inoculated or uninoculated with Lalsil Fresh or Sil-All 4×4 for 90 days. Protein sources differed significantly (p < 0.05). The MOC showed high DM, EE, GE, and ADL, whereas SBM had high CP, ash, and IVOMD. Fibre fractions (aNDF and ADF) were similar (p > 0.05). The SBM control showed significantly high (p < 0.05) LA, NH3-N, CP, IVOMD, propionic acid, and early gas production, indicating efficient fermentation. The SBM + Lalsil maintained low pH, and early OM, CP, and GE degradability. The SBM + Sil-All achieved the highest (p < 0.05) OM, NDF, and ADF degradability and acetic acid production than other treatments. The MOC control showed low (p < 0.05) pH, high fibre and GE, reduced butyric acid, and low 48 h gas production, indicating slower fermentation but improved stability. The MOC + Lalsil had high (p < 0.05) DM, low CO2 and yeasts and moulds, and the highest (p < 0.05) CP degradability, propionic acid, and peak gas production at 12 h. The MOC + Sil-All showed high (p < 0.05) GE and WSC with peak GE degradation at 12 h, but low NDF degradability and reduced gas production. Overall, SBM improved degradability and fermentation efficiency, particularly with Sil-All, whereas MOC enhanced energy density and aerobic stability, with Lalsil optimising protein utilisation. Matching inoculant type to protein source is essential to optimise silage quality and rumen fermentation. Further research should assess different inoculant inclusion rates and include a maize-only control, and evaluate protein source inclusion under iso-nitrogenous conditions to allow more accurate comparisons. Full article
Show Figures

Figure 1

24 pages, 2277 KB  
Article
Optimized Solid-State Fermentation of Sugar Beet Pulp with Mixed Microbes Improves Its Nutritional Value and Promotes Growth, Health, and Intestinal Function in Yellow Catfish (Pelteobagrus fulvidraco)
by Ning Qiu, Tanqing Chi, Xuan Luo, Hao Yang, Chi Zhang, Hongsen Xu and Xin Liu
Animals 2026, 16(6), 915; https://doi.org/10.3390/ani16060915 - 14 Mar 2026
Abstract
The rising cost of conventional protein sources such as soybean meal has prompted the search for sustainable and economical alternatives in aquafeeds. Sugar beet pulp (SBP), an abundant by-product of the sugar industry, possesses nutritional potential but is limited by its high fiber [...] Read more.
The rising cost of conventional protein sources such as soybean meal has prompted the search for sustainable and economical alternatives in aquafeeds. Sugar beet pulp (SBP), an abundant by-product of the sugar industry, possesses nutritional potential but is limited by its high fiber and anti-nutritional factors. Solid-state fermentation (SSF) offers a promising approach to enhance its nutritive value and functional properties. This study evaluated the effects of dietary inclusion of mixed microbial solid-state fermented beet pulp (FBP) on the growth, systemic health and intestinal function of juvenile yellow catfish (Pelteobagrus fulvidraco). First, orthogonal optimization determined Lactiplantibacillus plantarum:Saccharomycopsis fibuligera:Bacillus subtilis = 1:3:3 as the optimal ratio, significantly improving the nutritional profile of FBP. Based on this optimized FBP, an 8-week feeding trial, five isonitrogenous and isolipidic diets were formulated by replacing 0–12% soybean meal with FBP. The results demonstrated that 9% FBP inclusion yielded optimal growth performance and significantly improved muscle texture. At the systemic level, FBP supplementation reduced serum lipid markers and liver enzyme activities while enhancing antioxidant capacity. At the intestinal level, FBP promoted intestinal health by increasing key digestive enzyme (lipase, trypsin, amylase) activities, stimulating villus development, and improving intestinal antioxidant status. Furthermore, gut microbiota analysis revealed that dietary FBP supplementation significantly modulated intestinal microbial composition, with notable enrichment of genera such as Leucobacter. In conclusion, FBP is a multi-functional ingredient that enhances growth, product quality, systemic physiology, and intestinal health in yellow catfish aquaculture. These findings provide a viable strategy for the sustainable utilization of agricultural by-products in aquafeeds. Full article
(This article belongs to the Special Issue Fish Nutrition, Physiology and Management: Second Edition)
Show Figures

Figure 1

19 pages, 1551 KB  
Article
Minimal Association Between Immunoglobulin A Coating and Gut Microbiota Alterations Induced by High-Fat Diets with Distinct Fatty Acid Compositions
by Mao Teraoka, Naoki Nishino, Tianyang Wang, Kuiyi Chen and Takeshi Tsuruta
Int. J. Mol. Sci. 2026, 27(6), 2645; https://doi.org/10.3390/ijms27062645 - 13 Mar 2026
Viewed by 69
Abstract
High-fat diets (HFDs) containing dietary fats with different fatty acid (FA) compositions alter gut microbiota composition in a fat-source-dependent manner. Immunoglobulin A (IgA) and unabsorbed lipids in the distal gut are potential regulators of the gut microbiota. However, their roles in mediating gut [...] Read more.
High-fat diets (HFDs) containing dietary fats with different fatty acid (FA) compositions alter gut microbiota composition in a fat-source-dependent manner. Immunoglobulin A (IgA) and unabsorbed lipids in the distal gut are potential regulators of the gut microbiota. However, their roles in mediating gut microbiota alterations induced by dietary fats with different FA compositions remain unclear. This study aims to examine the associations of these two factors with fat-source-dependent gut microbiota alterations. BALB/c mice were fed a normal diet, a high-lard diet, a high-olive oil diet, or a high-soybean oil diet for 27 weeks. Fecal samples were collected to assess microbiota composition, the IgA coating index (ICI)—which quantifies the extent of IgA coating on gut microbiota—and fecal fatty acid concentrations. At the phylum level, the concentration of fecal total long-chain fatty acids (LCFAs) was positively correlated with the relative abundance (RA) of Bacillota and negatively correlated with that of Bacteroidota. In addition, a trend toward a positive association between the RA and the ICI was observed for Bacillota but not for Bacteroidota. At the genus level, the RAs of 12 taxa were positively correlated with fecal LCFA concentrations, whereas those of 6 taxa were negatively correlated. Although the RAs of most taxa appeared to be influenced by unabsorbed lipids and additional factors, only four Bacillota genera exhibited a positive correlation between the RA and the ICI. Our observations suggest that IgA coating of the gut microbiota may have a minimal association with fat-source-specific alterations in gut microbiota composition during HFD intake. Full article
(This article belongs to the Special Issue Microbiomes in Human Health and Disease)
Show Figures

Figure 1

23 pages, 20259 KB  
Article
Genome-Wide Analysis of FAR-RELATED SEQUENCES (FRS) Genes Related to Light Response in Soybean (Glycine max)
by Sujun Ye, Lixin Ma, Yinhua Lv, Wenmin Lin, Yang Tang and Xiaoya Lin
Int. J. Mol. Sci. 2026, 27(6), 2638; https://doi.org/10.3390/ijms27062638 - 13 Mar 2026
Viewed by 72
Abstract
The FAR1-RELATED SEQUENCES (FRS) gene family plays a crucial role in light signaling, stress adaptation, and developmental regulation processes directly impacting crop growth and yield. This study identified 49 GmFRS genes unevenly distributed across 17 soybean chromosomes, phylogenetically classified into seven subgroups (I–VII), [...] Read more.
The FAR1-RELATED SEQUENCES (FRS) gene family plays a crucial role in light signaling, stress adaptation, and developmental regulation processes directly impacting crop growth and yield. This study identified 49 GmFRS genes unevenly distributed across 17 soybean chromosomes, phylogenetically classified into seven subgroups (I–VII), with subgroup VII forming an exclusive evolutionary subgroup alongside orthologs from Poaceae and Solanaceae. Members within each subfamily share conserved motif compositions and similar exon/intron structures. Gene duplication and selection pressure analyses revealed that the GmFRS family expanded primarily through WGD duplication events and then non-syntenic gene duplication, with all members evolving under purifying selection. Promoter analysis identified abundant cis-acting elements implicated in responses to light, phytohormones and other abiotic stimuli. Organ-/tissue-specific expression profiling demonstrated organ-preferential expression for family members, with the highest transcript levels observed in flowers (32.7%). Quantitative real-time PCR (qRT-PCR) analysis further indicated that the expression of most GmFRS genes is light-inducible and exhibits marked sensitivity to far-red light. This study may elucidate soybean FRS family functions in light signaling, development, and stress adaptation, while also providing foundational insights for molecular breeding in Glycine max. Full article
(This article belongs to the Section Molecular Plant Sciences)
Show Figures

Figure 1

19 pages, 2093 KB  
Article
Comparative Microbiome Profiles of Korean Fermented Foods Based on Production Type and Additive Use
by Huyong Lee, Woori Na and Cheongmin Sohn
Foods 2026, 15(6), 1010; https://doi.org/10.3390/foods15061010 - 12 Mar 2026
Viewed by 98
Abstract
Fermented foods are produced through controlled microbial activity and are valued for their extended shelf life, sensory attributes, and potential health benefits. This study examined the effects of production methods on microbial ecology by comparing microbial community structure, Shannon diversity, and pH changes [...] Read more.
Fermented foods are produced through controlled microbial activity and are valued for their extended shelf life, sensory attributes, and potential health benefits. This study examined the effects of production methods on microbial ecology by comparing microbial community structure, Shannon diversity, and pH changes in traditional and commercially produced Korean fermented foods. Cabbage and radish kimchi were fermented for four weeks to assess microbial succession and physicochemical changes, and additional fermented foods, including soy sauce, soybean paste, pepper paste, fruit vinegar, yogurt, and aged kimchi, were compared according to production method. Microbial communities were analyzed using amplicon sequencing targeting the V3–V4 regions of the bacterial 16S rRNA gene and the fungal internal transcribed spacer (ITS) region. Traditionally produced cabbage kimchi exhibited high microbial diversity at the early fermentation stage, initially dominated by Weissella and Leuconostoc, followed by a gradual shift toward lactic acid bacteria dominance at later stages. In contrast, commercially produced cabbage kimchi maintained a simplified microbial community dominated by a limited number of lactic acid bacteria throughout fermentation. Radish kimchi showed production-method-dependent patterns, with the rapid dominance of lactic acid bacteria during traditional fermentation and partial recovery of microbial diversity during commercial fermentation. Shannon diversity was consistently higher in traditionally produced kimchi during fermentation. In contrast, commercially produced kimchi exhibited more rapid acidification. Across other fermented foods, traditionally produced soy-based products exhibited complex microbial communities dominated by Bacillus spp., whereas commercially produced products were characterized by yeast-dominant profiles. Fruit vinegar and yogurt showed low microbial diversity regardless of the production method. These findings demonstrate the importance of production strategies in shaping microbial ecology, fermentation dynamics, and resulting product characteristics across various Korean fermented foods. Full article
(This article belongs to the Section Food Microbiology)
Show Figures

Graphical abstract

16 pages, 2987 KB  
Article
Straw Compost Products Improve Corn Growth in Association with Rhizosphere Microbial Community in Acidic Soil
by Tongyu Feng, Xin Wang, Chao Wang and Renfang Shen
Plants 2026, 15(6), 879; https://doi.org/10.3390/plants15060879 - 12 Mar 2026
Viewed by 161
Abstract
Straw compost products are considered an excellent organic amendment for acidic soils, yet their effectiveness and microbial associations remain poorly understood. This study employed a pot experiment to evaluate the effects of straw compost products from six crops (corn, soybean, wheat, rice, peanut, [...] Read more.
Straw compost products are considered an excellent organic amendment for acidic soils, yet their effectiveness and microbial associations remain poorly understood. This study employed a pot experiment to evaluate the effects of straw compost products from six crops (corn, soybean, wheat, rice, peanut, and canola) on corn growth and nutrient uptake, soil physicochemical properties, and microbial community in an acidic red soil and examined how microbial community changes relate to plant performance. The results showed that straw compost products significantly enhanced corn growth and contents of nitrogen, phosphorus, and potassium in the aboveground tissues, except for wheat and canola straw. Compost products also improved availability of soil nutrients to varying degrees and affected the bacterial community structures in bulk and rhizosphere soils. There were significant differences in the improvement effects among straw types, with leguminous crops being better than cereal crops. Corn growth was closely correlated with increased soil organic carbon. The influence of the rhizosphere on bacterial communities was stronger than that of straw compost type. The dominant phyla Actinobacteriota and Patescibacteria were key bacterial groups positively associated with corn nutrient uptake in the rhizosphere. Compared to the bulk network, the rhizosphere microbial co-occurrence network exhibited higher modularity and a greater proportion of positive edges, suggesting a more cooperative interaction pattern. The influence of compost products might be associated with distinct nitrogen and phosphorus transformation pathways. Overall, this study clarifies the differential effects of straw compost products on acidic soil improvement and reveals strong associations between rhizosphere microorganisms and crop nutrient uptake. Full article
Show Figures

Graphical abstract

8 pages, 878 KB  
Proceeding Paper
Comparison of Physicochemical Characteristics of Soy Sauces Made from Germinated Soybeans with Different Salt Concentrations
by Lyhour Chhun, Reasmey Tan, Luka Ly and Monychot Tepy Chanto
Biol. Life Sci. Forum 2026, 59(1), 3; https://doi.org/10.3390/blsf2026059003 - 11 Mar 2026
Viewed by 75
Abstract
This research evaluated a soy sauce produced from germinated soybeans with varying salt concentrations. Soybeans were germinated over 48 and 72 h, then homogenized with roasted wheat and 0.1% of Aspergillus oryzae, and kept three days for koji fermentation. They were then [...] Read more.
This research evaluated a soy sauce produced from germinated soybeans with varying salt concentrations. Soybeans were germinated over 48 and 72 h, then homogenized with roasted wheat and 0.1% of Aspergillus oryzae, and kept three days for koji fermentation. They were then homogenized with 18% and 22% salt, and then fermented for 210 days at ambient temperature for moromi fermentation. Moreover, 5 × 107 CFU/mL of Zygosaccharomyces rouxii was used. The quality of soy sauce made from germinated soybeans over 48 h resulted in the best conditions regarding the physicochemical characteristics and sensory evaluation analysis. Full article
(This article belongs to the Proceedings of The 1st International Online Conference on Fermentation)
Show Figures

Figure 1

Back to TopTop