Investigation of Impact Contact Force Testing and Damage Analysis on Potatoes
Abstract
1. Introduction
2. Materials and Methods
2.1. Potato Impact Testing Platform
2.2. Experimental Principle and Methods
2.3. Experimental Design
2.3.1. Test Apparatus
2.3.2. Experimental Plan
3. Results
3.1. Results and Analysis of Response Surface Experiment
3.2. Comparison between Soil-Less Impact Damage and Soil Impact Damage
4. Discussion
4.1. Parameter Optimization
4.2. Experimental Verification
5. Conclusions
- (1)
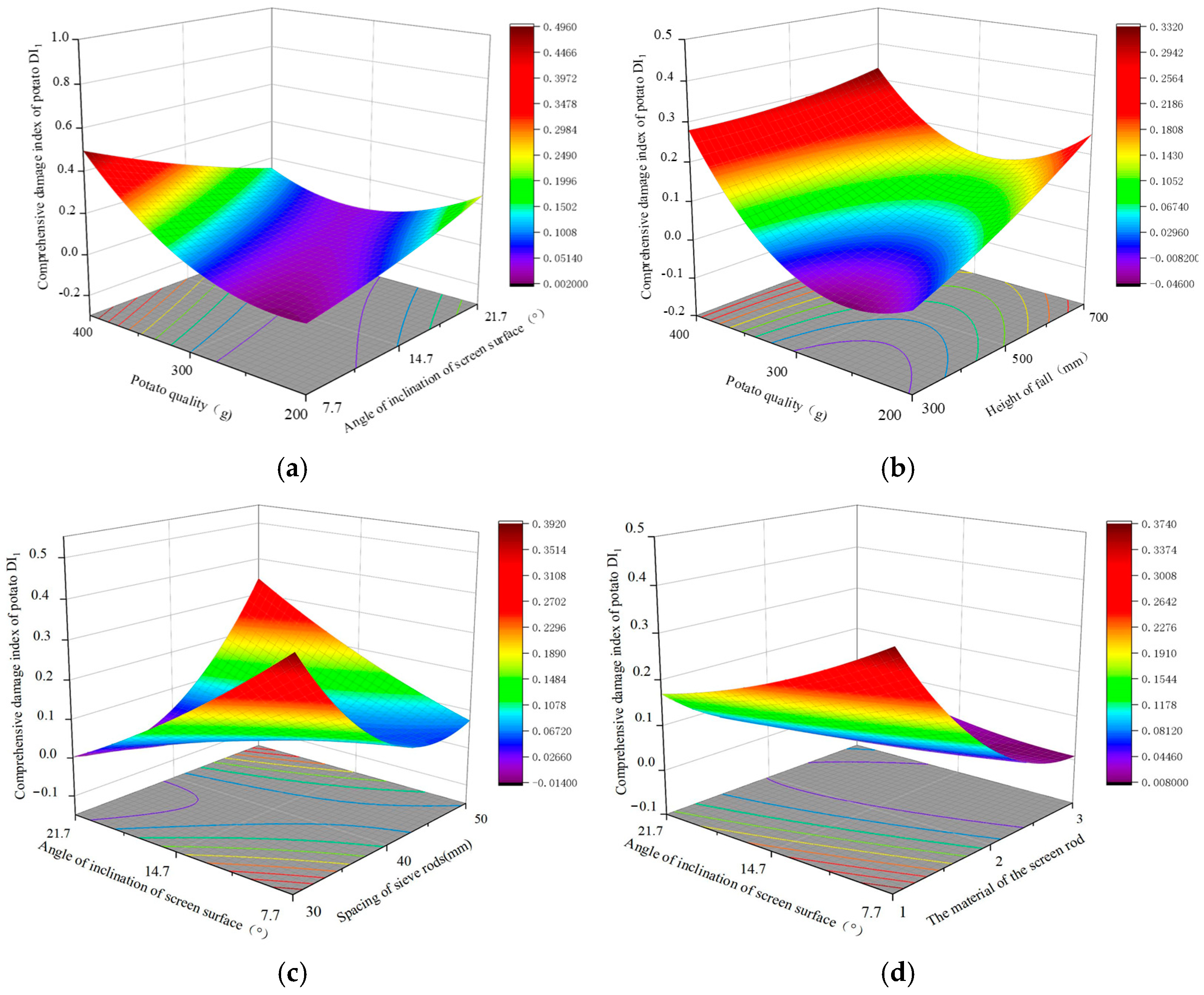
- Through the response surface test analysis, under soil-less conditions, the interactions of potato mass and inclined sieve angle, potato mass and falling height, and inclined sieve angle and falling height have significant effects on the impact force received by potatoes. The interactions of potato mass and inclined sieve angle, potato mass and falling height, sieve surface inclination angle and sieve rod spacing, and inclined sieve angle and sieve rod material have significant effects on the comprehensive damage index of potatoes. Under soil conditions, the interactions of potato mass and falling height and potato mass and sieve rod spacing have significant effects on the impact force received by potatoes. The interactions of potato mass and sieve rod material and sieve rod spacing and sieve rod material have significant effects on the comprehensive damage index of potatoes.
- (2)
- It is clarified that under the same factor conditions, after adding soil, compared with the soil-less condition, the internal damage of potatoes will be reduced, but at the same time, the epidermal damage suffered by potatoes will increase.
- (3)
- Using the Design-Expert software, the optimal level that can most effectively reduce potato damage when subjected to a large impact force during the actual potato harvesting process was obtained. This level combination has been verified to meet the requirements of a lower comprehensive damage index and can be used for later field experiments.
Author Contributions
Funding
Institutional Review Board Statement
Data Availability Statement
Conflicts of Interest
References
- Cui, Y.; Chen, Y.F. Analysis of world and Chinese potato supply and demand. J. Hebei Agric. Univ. (Soc. Sci.) 2024, 26, 59–69. [Google Scholar] [CrossRef]
- Issa, I.I.; Zhang, Z.G.; El-Kolaly, W.; Yang, X.; Wang, H. Wael Mohammed Fahmy Fath El-kolaly. Design, ANSYS analysis and performance evaluation of potato digger harvester. Int. Agric. Eng. J. 2020, 29, 60–73. [Google Scholar]
- Zhang, J.H. Study on Evaluation Technology of Potato Tuber Damage and Genetic Analysis of Damage Discoloration Traits; Chinese Academy of Agricultural Sciences: Beijing, China, 2008. [Google Scholar]
- Wei, Z.C.; Li, H.W.; Mao, Y.J.; Sun, C.Z.; Li, X.Q.; Liu, W.Z. Experiment and analysis of potato-soil separation based on impact recording technology. Int. J. Agric. Biol. Eng. 2019, 12, 71–80. [Google Scholar] [CrossRef]
- Wei, Z.; Li, H.; Sun, C.; Su, G.; Liu, W.; Li, X. Experiments and analysis of a conveying device for soil separation and clod-crushing for a port to harvester. Appl. Eng. Agric. 2019, 35, 987–996. [Google Scholar] [CrossRef]
- Huang, T.C.; Wu, B.; Li, L.C.; Zuo, T.L.; Xie, F.P. Construction of impact mechanics model and experimental study. INMATEH Agric. Eng. 2022, 66, 139. [Google Scholar] [CrossRef]
- Killick, R.J.; Macarthur, A.W. The relationship between bruising and specific gravity in some potato varieties. Potato Res. 1980, 23, 457–461. [Google Scholar] [CrossRef]
- Baritelle, A.L.; Hyde, G.M. Specific gravity and cultivar effects on potato tuber impact sensitivity. Postharvebest Biol. Technol. 2003, 29, 279–286. [Google Scholar] [CrossRef]
- Ito, M.; Sakai, K.; Takai, M. Technical notes: Damage to the surface of potatoes from collision. Trans. ASAE 1994, 37, 1431–1433. [Google Scholar] [CrossRef]
- Bentini, M.; Caprara, C.; Martelli, R. Harvesting damage to potato tubers by analysis of impacts recorded with an instrumented sphere. Biosyst. Eng. 2006, 94, 75–85. [Google Scholar] [CrossRef]
- Yang, J.Z.; Liu, K.; Zhu, Q.F. Damage factors and experimental study on potato mechanized harvesting process. Agric. Mech. Using Maint. 2019, 6, 7–8. [Google Scholar]
- Baritelle, A.; Hyde, G.; Thornton, R.; Bajema, R.A. classification system for impact-related defects in potato tubers. Am. J. Potato Res. 2000, 77, 143–148. [Google Scholar] [CrossRef]
- Arfa, G.K. The effect of harvesting operation on potato crop handling. Misr J. Agric. Eng. 2007, 24, 492–503. [Google Scholar]
- Mayer, V.; Vejchar, D.; Pastorková, L. Measurement of potato tubers resistance against mechanical loading. Res. Agric. Eng. 2017, 1, 22–31. [Google Scholar] [CrossRef]
- Han, D. Mechanical Damage Analysis and Experimental Research on Potato Harvester Elevator. Master’s Thesis, Northeast Agricultural University, Harbin, China, 2023. [Google Scholar]
- Guo, S.L.; Wang, W.B.; Li, M. Finite element analysis and experimental study on potato mechanical collision. Mach. Des. Manuf. Eng. 2016, 45, 56–59. [Google Scholar]
- Lu, Q. Experimental Study on Potato Damage Mechanism and Combine Harvester Design. Master’s Thesis, Northwest A&F University, Xianyang, China, 2016. [Google Scholar]
- Li, J.R. Potato-Soil Aggregate Fragmentation and Separation Characteristics Investigation. Master’s Thesis, Inner Mongolia Agricultural University, Hohhot, China, 2023. [Google Scholar] [CrossRef]
- Shen, Y.; Hu, H.B.; Xu, G.T.; Chen, Q.; Zhou, M.G.; Zhang, C. Elastic-plastic mechanical characteristic test and damage analysis of potato. Agric. Mech. Res. 2024, 46, 174–178. [Google Scholar] [CrossRef]
- Xie, S.S.; Wang, C.G.; Deng, W.G. Experimental study on collision acceleration and damage characteristics of potato. J. Food Process Eng. 2020, 43, e13457. [Google Scholar] [CrossRef]
- Feng, B.; Sun, W.; Sun, B.G. Study on drop impact characteristics and damage law of potato tubers during harvest period. J. Vib. Shock 2019, 38, 267–274. [Google Scholar]
- Liu, C.L. Analysis of the Dynamic Characteristics of Potato and Optimisation Design of Separation Device for Swinging Separation Sieve. Master’s Thesis, Inner Mongolia Agricultural University, Hohhot, China, 2023. [Google Scholar]
- Wu, T.; Hu, L.L.; Wang, G.P. Design and experiment of walking sweet potato crushing and returning machine. J. Agric. Eng. 2017, 33, 8–17. [Google Scholar]
- Song, W.X.; Zhou, Y.P.; Chen, X. Optimization of nitrogen removal process in vertical flow constructed wetland based on response surface methodology. J. Ocean Univ. China 2020, 51, 102–111. [Google Scholar]
- Teng, X. Design and Optimization of Bedding Spreader for dairy Cows. Master’s Thesis, Shandong Agricultural University, Tai’an, China, 2021. [Google Scholar]
- Xie, S.S.; Deng, W.G.; Liu, F. Impact velocity and bruising analysis of potato tubers under pendulum impact test. Braz. J. Agric. Environ. Eng. 2023, 27, 559–566. [Google Scholar]













| Parameters | Numerical Quantity |
|---|---|
| Measuring Range (N) | 0~1000 N |
| Thickness (mm) | 24 |
| Diameter (mm) | 72 |
| Sensing Range Diameter (mm) | 58.5 |
| Reaction Time (ms) | <1 |
| Operating temperature (°C) | −10 °C~70 °C |
| Level | Potato Mass A (g) | Screen Surface Inclination Angle B (°) | Falling Height C (mm) | Screen Rod Spacing D (mm) | Screen Rod Material E |
|---|---|---|---|---|---|
| 1 | 200 | 7.7 | 300 | 30 | 65 MN |
| 2 | 300 | 14.7 | 500 | 40 | Rubber |
| 3 | 400 | 21.7 | 700 | 50 | Plastic |
| Test Number | Potato Mass (g) | Screen Surface Inclination Angle (°) | Falling Height (mm) | Screen Rod Spacing (mm) | Screen Rod Material | Under Soil-Free Conditions | Under Soil Conditions | ||||||
|---|---|---|---|---|---|---|---|---|---|---|---|---|---|
| Impact Force (N) | Depth of Injury (cm) | Area of Epidermal Injury (cm2) | Combined Injury Index | Impact Force (N) | Depth of Injury (cm) | Area of Epidermal Injury (cm2) | Combined Injury Index | ||||||
| 1 | 200 | 7.7 | 500 | 40 | 2 | 102.384 | 0.11 | 0.00 | 0.002 | 139.203 | 0.00 | 0.17 | 0.044 |
| 2 | 400 | 7.7 | 500 | 40 | 2 | 304.529 | 0.74 | 0.13 | 0.508 | 233.442 | 0.56 | 0.12 | 0.368 |
| 3 | 200 | 21.7 | 500 | 40 | 2 | 113.963 | 0.67 | 0.24 | 0.217 | 101.74 | 0.44 | 0.56 | 0.192 |
| 4 | 400 | 21.7 | 500 | 40 | 2 | 216.239 | 0.58 | 0.24 | 0.148 | 233.676 | 0.53 | 0.33 | 0.435 |
| 5 | 300 | 14.7 | 300 | 30 | 2 | 122.537 | 0.09 | 0.01 | 0.022 | 165.178 | 0.00 | 0.08 | 0.025 |
| 6 | 300 | 14.7 | 700 | 30 | 2 | 215.505 | 0.70 | 0.05 | 0.311 | 189.746 | 0.40 | 0.13 | 0.081 |
| 7 | 300 | 14.7 | 300 | 50 | 2 | 155.248 | 0.08 | 0.11 | 0.127 | 107.519 | 0.06 | 0.09 | 0.023 |
| 8 | 300 | 14.7 | 700 | 50 | 2 | 242.025 | 0.65 | 0.06 | 0.241 | 225.996 | 0.59 | 0.10 | 0.076 |
| 9 | 300 | 7.7 | 500 | 40 | 1 | 194.257 | 0.79 | 0.07 | 0.367 | 147.424 | 0.68 | 0.24 | 0.345 |
| 10 | 300 | 21.7 | 500 | 40 | 1 | 217.551 | 0.44 | 0.00 | 0.134 | 150.112 | 0.39 | 0.23 | 0.782 |
| 11 | 300 | 7.7 | 500 | 40 | 3 | 196.465 | 0.13 | 0.00 | 0.003 | 150.263 | 0.09 | 0.15 | 0.364 |
| 12 | 300 | 21.7 | 500 | 40 | 3 | 161.259 | 0.32 | 0.00 | 0.062 | 129.458 | 0.28 | 0.32 | 0.231 |
| 13 | 200 | 14.7 | 300 | 40 | 2 | 86.233 | 0.09 | 0.01 | 0.004 | 126.804 | 0.00 | 0.04 | 0.006 |
| 14 | 400 | 14.7 | 300 | 40 | 2 | 207.856 | 0.58 | 0.24 | 0.233 | 198.213 | 0.21 | 0.43 | 0.109 |
| 15 | 200 | 14.7 | 700 | 40 | 2 | 156.199 | 0.80 | 0.05 | 0.272 | 139.046 | 0.48 | 0.05 | 0.126 |
| 16 | 400 | 14.7 | 700 | 40 | 2 | 344.32 | 0.53 | 0.16 | 0.297 | 288.87 | 0.45 | 0.32 | 0.233 |
| 17 | 300 | 14.7 | 500 | 30 | 1 | 204.568 | 0.83 | 0.17 | 0.422 | 166.535 | 0.67 | 0.25 | 0.382 |
| 18 | 300 | 14.7 | 500 | 50 | 1 | 186.729 | 0.78 | 0.26 | 0.404 | 143.771 | 0.56 | 0.25 | 0.332 |
| 19 | 300 | 14.7 | 500 | 30 | 3 | 199.63 | 0.53 | 0.00 | 0.103 | 168.453 | 0.42 | 0.20 | 0.172 |
| 20 | 300 | 14.7 | 500 | 50 | 3 | 174.719 | 0.45 | 0.00 | 0.149 | 129.325 | 0.41 | 0.15 | 0.105 |
| 21 | 300 | 7.7 | 300 | 40 | 2 | 138.033 | 0.17 | 0.03 | 0.037 | 142.063 | 0.08 | 0.08 | 0.028 |
| 22 | 300 | 21.7 | 300 | 40 | 2 | 138.533 | 0.07 | 0.11 | 0.045 | 116.689 | 0.00 | 0.36 | 0.102 |
| 23 | 300 | 7.7 | 700 | 40 | 2 | 260.736 | 0.75 | 0.12 | 0.166 | 204.659 | 0.46 | 0.30 | 0.145 |
| 24 | 300 | 21.7 | 700 | 40 | 2 | 194.434 | 0.56 | 0.03 | 0.101 | 155.755 | 0.38 | 0.45 | 0.242 |
| 25 | 200 | 14.7 | 500 | 30 | 2 | 135.506 | 0.64 | 0.12 | 0.187 | 144.895 | 0.46 | 0.08 | 0.078 |
| 26 | 400 | 14.7 | 500 | 30 | 2 | 244.385 | 0.70 | 0.08 | 0.458 | 258.346 | 0.48 | 0.59 | 0.222 |
| 27 | 200 | 14.7 | 500 | 50 | 2 | 123.072 | 0.23 | 0.04 | 0.185 | 150.85 | 0.12 | 0.05 | 0.012 |
| 28 | 400 | 14.7 | 500 | 50 | 2 | 258.155 | 1.03 | 0.19 | 0.473 | 247.237 | 0.88 | 0.28 | 0.192 |
| 29 | 300 | 14.7 | 300 | 40 | 1 | 161.441 | 0.51 | 0.09 | 0.142 | 106.663 | 0.33 | 0.23 | 0.282 |
| 30 | 300 | 14.7 | 700 | 40 | 1 | 270.186 | 0.63 | 0.06 | 0.307 | 180.379 | 0.61 | 0.30 | 0.453 |
| 31 | 300 | 14.7 | 300 | 40 | 3 | 117.947 | 0.07 | 0.00 | 0.001 | 94.287 | 0.02 | 0.17 | 0.086 |
| 32 | 300 | 14.7 | 700 | 40 | 3 | 206.056 | 0.62 | 0.62 | 0.180 | 166.08 | 0.61 | 0.21 | 0.318 |
| 33 | 200 | 14.7 | 500 | 40 | 1 | 110.899 | 0.83 | 0.15 | 0.334 | 110.405 | 0.73 | 0.11 | 0.269 |
| 34 | 400 | 14.7 | 500 | 40 | 1 | 286.097 | 0.44 | 0.49 | 0.449 | 244.914 | 0.54 | 0.49 | 0.750 |
| 35 | 200 | 14.7 | 500 | 40 | 3 | 126.639 | 0.50 | 0.06 | 0.073 | 99.288 | 0.46 | 0.20 | 0.231 |
| 36 | 400 | 14.7 | 500 | 40 | 3 | 257.127 | 0.56 | 0.09 | 0.242 | 235.521 | 0.58 | 0.26 | 0.333 |
| 37 | 300 | 7.7 | 500 | 30 | 2 | 214.696 | 0.55 | 0.02 | 0.333 | 208.246 | 0.31 | 0.04 | 0.200 |
| 38 | 300 | 21.7 | 500 | 30 | 2 | 181.41 | 0.12 | 0.09 | 0.038 | 147.786 | 0.14 | 0.35 | 0.398 |
| 39 | 300 | 7.7 | 500 | 50 | 2 | 208.189 | 0.18 | 0.05 | 0.021 | 181.307 | 0.11 | 0.24 | 0.201 |
| 40 | 300 | 21.7 | 500 | 50 | 2 | 168.898 | 0.86 | 0.27 | 0.385 | 140.312 | 0.62 | 0.30 | 0.162 |
| 41 | 300 | 14.7 | 500 | 40 | 2 | 181.801 | 0.22 | 0.08 | 0.033 | 204.396 | 0.16 | 0.11 | 0.086 |
| 42 | 300 | 14.7 | 500 | 40 | 2 | 186.801 | 0.18 | 0.06 | 0.049 | 209.396 | 0.18 | 0.12 | 0.119 |
| 43 | 300 | 14.7 | 500 | 40 | 2 | 190.801 | 0.14 | 0.07 | 0.069 | 199.156 | 0.11 | 0.10 | 0.106 |
| 44 | 300 | 14.7 | 500 | 40 | 2 | 195.801 | 0.14 | 0.06 | 0.065 | 194.588 | 0.13 | 0.11 | 0.068 |
| 45 | 300 | 14.7 | 500 | 40 | 2 | 173.801 | 0.20 | 0.07 | 0.016 | 214.258 | 0.13 | 0.12 | 0.050 |
| 46 | 300 | 14.7 | 500 | 40 | 2 | 176.801 | 0.16 | 0.07 | 0.020 | 207.118 | 0.16 | 0.14 | 0.042 |
| Variance Source | Sum of Squares | Degree of Freedom | Mean Squares | F Value | p Value | Significance |
|---|---|---|---|---|---|---|
| Maximum impact force on potatoes without soil F1 | ||||||
| Model | 133,300 | 20 | 6663.73 | 30.49 | <0.01 | ** |
| A | 84,653.87 | 1 | 84,653.87 | 387.35 | <0.01 | ** |
| B | 3220.63 | 1 | 3220.63 | 14.74 | <0.01 | ** |
| C | 36,255.4 | 1 | 36,255.4 | 165.89 | <0.01 | ** |
| D | 0.0902 | 1 | 0.0902 | 0.0004 | 0.984 | ns |
| E | 2301.26 | 1 | 2301.26 | 10.53 | <0.01 | ** |
| AB | 2493.43 | 1 | 2493.43 | 11.41 | <0.01 | ** |
| AC | 1105.5 | 1 | 1105.5 | 5.06 | 0.033 | * |
| AD | 171.66 | 1 | 171.66 | 0.7855 | 0.383 | ns |
| AE | 499.75 | 1 | 499.75 | 2.29 | 0.143 | ns |
| BC | 1115.63 | 1 | 1115.63 | 5.1 | 0.032 | * |
| BD | 9.02 | 1 | 9.02 | 0.0412 | 0.840 | ns |
| BE | 855.56 | 1 | 855.56 | 3.91 | 0.059 | ns |
| CD | 9.58 | 1 | 9.58 | 0.0438 | 0.835 | ns |
| CE | 106.46 | 1 | 106.46 | 0.4871 | 0.491 | ns |
| DE | 12.5 | 1 | 12.5 | 0.0572 | 0.812 | ns |
| A2 | 269.09 | 1 | 269.09 | 1.23 | 0.277 | ns |
| B2 | 1.29 | 1 | 1.29 | 0.0059 | 0.939 | ns |
| C2 | 6.45 | 1 | 6.45 | 0.0295 | 0.865 | ns |
| D2 | 48.54 | 1 | 48.54 | 0.2221 | 0.641 | ns |
| E2 | 252.92 | 1 | 252.92 | 1.16 | 0.292 | ns |
| Residual error | 5463.72 | 25 | 218.55 | |||
| Summation | 138,700 | 45 | ||||
| Correlation coefficient | R2 = 0.96, adjusted R2 = 0.92 | |||||
| CV(%) | 7.81 | |||||
| Variance Source | Sum of Squares | Degree of Freedom | Mean Squares | F Value | p Value | Significance |
|---|---|---|---|---|---|---|
| Maximum impact force of potato under soil condition F2 | ||||||
| Model | 99,470.74 | 20 | 4973.54 | 39.01 | <0.01 | ** |
| A | 53,822.36 | 1 | 53,822.36 | 422.14 | <0.01 | ** |
| B | 3337.34 | 1 | 3337.34 | 26.18 | <0.01 | ** |
| C | 15,197.71 | 1 | 15,197.71 | 119.2 | <0.01 | ** |
| D | 943.57 | 1 | 943.57 | 7.4 | 0.011 | * |
| E | 375.66 | 1 | 375.66 | 2.95 | 0.098 | ns |
| AB | 355.27 | 1 | 355.27 | 2.79 | 0.107 | ns |
| AC | 1537.26 | 1 | 1537.26 | 12.06 | <0.01 | ** |
| AD | 72.8 | 1 | 72.8 | 0.571 | 0.456 | ns |
| AE | 0.743 | 1 | 0.743 | 0.0058 | 0.939 | ns |
| BC | 138.41 | 1 | 138.41 | 1.09 | 0.307 | ns |
| BD | 94.71 | 1 | 94.71 | 0.7429 | 0.396 | ns |
| BE | 137.99 | 1 | 137.99 | 1.08 | 0.308 | ns |
| CD | 2204.7 | 1 | 2204.7 | 17.29 | <0.01 | ** |
| CE | 0.9249 | 1 | 0.9249 | 0.0073 | 0.932 | ns |
| DE | 66.95 | 1 | 66.95 | 0.5251 | 0.475 | ns |
| A2 | 189.54 | 1 | 189.54 | 1.49 | 0.234 | ns |
| B2 | 5990.41 | 1 | 5990.41 | 46.98 | <0.01 | ** |
| C2 | 5047.12 | 1 | 5047.12 | 39.59 | <0.01 | ** |
| D2 | 887.68 | 1 | 887.68 | 6.96 | 0.014 | * |
| E2 | 13,596.56 | 1 | 13,596.56 | 106.64 | <0.01 | ** |
| Residual error | 3187.44 | 25 | 127.5 | |||
| Summation | 102,700 | 45 | ||||
| Correlation coefficient | R2 = 0.96, adjusted R2 = 0.94 | |||||
| CV(%) | 6.58 | |||||
| Variance Source | Sum of Squares | Degree of Freedom | Mean Squares | F Value | p Value | Significance |
|---|---|---|---|---|---|---|
| Comprehensive damage index DI1 of potato without soil | ||||||
| Model | 0.9935 | 20 | 0.0497 | 25.91 | <0.01 | ** |
| A | 0.1475 | 1 | 0.1475 | 76.93 | <0.01 | ** |
| B | 0.0059 | 1 | 0.0059 | 3.06 | 0.092 | ns |
| C | 0.0999 | 1 | 0.0999 | 52.11 | <0.01 | ** |
| D | 0.0008 | 1 | 0.0008 | 0.4029 | 0.5314 | ns |
| E | 0.1912 | 1 | 0.1912 | 99.73 | <0.01 | ** |
| AB | 0.0824 | 1 | 0.0824 | 43.01 | <0.01 | ** |
| AC | 0.0103 | 1 | 0.0103 | 5.39 | 0.028 | * |
| AD | 0.0001 | 1 | 0.0001 | 0.0394 | 0.844 | ns |
| AE | 0.0007 | 1 | 0.0007 | 0.3708 | 0.548 | ns |
| BC | 0.0014 | 1 | 0.0014 | 0.7096 | 0.407 | ns |
| BD | 0.1085 | 1 | 0.1085 | 56.61 | <0.01 | ** |
| BE | 0.0213 | 1 | 0.0213 | 11.12 | <0.01 | ** |
| CD | 0.0076 | 1 | 0.0076 | 3.96 | 0.057 | ns |
| CE | 0.0001 | 1 | 0.0001 | 0.0202 | 0.8882 | ns |
| DE | 0.001 | 1 | 0.001 | 0.5255 | 0.4752 | ns |
| A2 | 0.193 | 1 | 0.193 | 100.66 | <0.01 | ** |
| B2 | 0.0044 | 1 | 0.0044 | 2.31 | 0.1414 | ns |
| C2 | 0.0022 | 1 | 0.0022 | 1.14 | 0.2966 | ns |
| D2 | 0.1477 | 1 | 0.1477 | 77.03 | <0.01 | ** |
| E2 | 0.0699 | 1 | 0.0699 | 36.47 | <0.01 | ** |
| Residual error | 0.0479 | 25 | 0.0019 | |||
| Summation | 1.04 | 45 | ||||
| Correlation coefficient | R2 = 0.95, adjusted R2 = 0.91 | |||||
| CV(%) | 23.88 | |||||
| Variance Source | Sum of Squares | Degree of Freedom | Mean Squares | F Value | p Value | Significance |
|---|---|---|---|---|---|---|
| Comprehensive damage index DI2 of potato without soil | ||||||
| Model | 1.26 | 20 | 0.0632 | 18.6 | <0.01 | ** |
| A | 0.1771 | 1 | 0.1771 | 52.13 | <0.01 | ** |
| B | 0.0448 | 1 | 0.0448 | 13.17 | <0.01 | ** |
| C | 0.0643 | 1 | 0.0643 | 18.92 | <0.01 | ** |
| D | 0.0129 | 1 | 0.0129 | 3.81 | 0.062 | ns |
| E | 0.1925 | 1 | 0.1925 | 56.67 | <0.01 | ** |
| AB | 0.0016 | 1 | 0.0016 | 0.4747 | 0.4972 | ns |
| AC | 1.82 × 10−6 | 1 | 1.82 × 10−6 | 0.0005 | 0.981 | ns |
| AD | 0.0003 | 1 | 0.0003 | 0.0954 | 0.759 | ns |
| AE | 0.036 | 1 | 0.036 | 10.6 | <0.01 | ** |
| BC | 0.0001 | 1 | 0.0001 | 0.041 | 0.8412 | ns |
| BD | 0.014 | 1 | 0.014 | 4.13 | 0.052 | ns |
| BE | 0.0814 | 1 | 0.0814 | 23.95 | <0.01 | ** |
| CD | 1.22 × 10−6 | 1 | 1.22 × 10−6 | 0.0004 | 0.985 | ns |
| CE | 0.0009 | 1 | 0.0009 | 0.2777 | 0.602 | ns |
| DE | 0.0001 | 1 | 0.0001 | 0.021 | 0.88 | ns |
| A2 | 0.0433 | 1 | 0.0433 | 12.74 | <0.01 | ** |
| B2 | 0.1337 | 1 | 0.1337 | 39.36 | <0.01 | ** |
| C2 | 0.0106 | 1 | 0.0106 | 3.12 | 0.0893 | ns |
| D2 | 0.0006 | 1 | 0.0006 | 0.1642 | 0.6887 | ns |
| E2 | 0.4356 | 1 | 0.4356 | 128.23 | <0.01 | ** |
| Residual error | 0.0849 | 25 | 0.0034 | |||
| Summation | 1.35 | 45 | ||||
| Correlation coefficient | R2 = 0.93, adjusted R2 = 0.88 | |||||
| CV(%) | 27.92 | |||||
| Test Number | A (g) | B (°) | C (mm) | D (mm) | E | DI1 | DI2 | DI3 | DI4 | Error E1 under Soil-Less Conditions(%) | Error E2 under Soil Conditions(%) |
|---|---|---|---|---|---|---|---|---|---|---|---|
| 1 | 386.8 | 14.2 | 460.2 | 39.2 | 2 | 0.258 | 0.192 | 0.241 | 0.208 | 7 | 7.6 |
| 2 | 301.4 | 14.5 | 457.8 | 39.8 | 2 | 0.029 | 0.066 | 0.028 | 0.064 | 3.5 | 3.1 |
| 3 | 308.1 | 14.6 | 460.4 | 37.6 | 2 | 0.038 | 0.083 | 0.041 | 0.078 | 7.3 | 6.4 |
| 4 | 305.1 | 14.4 | 472.4 | 36.5 | 2 | 0.055 | 0.076 | 0.051 | 0.080 | 7.8 | 5 |
| 5 | 349.6 | 14.7 | 468.8 | 36.8 | 2 | 0.119 | 0.141 | 0.126 | 0.143 | 5.5 | 1.4 |
Disclaimer/Publisher’s Note: The statements, opinions and data contained in all publications are solely those of the individual author(s) and contributor(s) and not of MDPI and/or the editor(s). MDPI and/or the editor(s) disclaim responsibility for any injury to people or property resulting from any ideas, methods, instructions or products referred to in the content. |
© 2024 by the authors. Licensee MDPI, Basel, Switzerland. This article is an open access article distributed under the terms and conditions of the Creative Commons Attribution (CC BY) license (https://creativecommons.org/licenses/by/4.0/).
Share and Cite
Zhao, Z.; Deng, W.; Hu, X.; Yu, H.; Li, Q. Investigation of Impact Contact Force Testing and Damage Analysis on Potatoes. Agriculture 2024, 14, 1740. https://doi.org/10.3390/agriculture14101740
Zhao Z, Deng W, Hu X, Yu H, Li Q. Investigation of Impact Contact Force Testing and Damage Analysis on Potatoes. Agriculture. 2024; 14(10):1740. https://doi.org/10.3390/agriculture14101740
Chicago/Turabian StyleZhao, Zexin, Weigang Deng, Xin Hu, Haohe Yu, and Qiying Li. 2024. "Investigation of Impact Contact Force Testing and Damage Analysis on Potatoes" Agriculture 14, no. 10: 1740. https://doi.org/10.3390/agriculture14101740
APA StyleZhao, Z., Deng, W., Hu, X., Yu, H., & Li, Q. (2024). Investigation of Impact Contact Force Testing and Damage Analysis on Potatoes. Agriculture, 14(10), 1740. https://doi.org/10.3390/agriculture14101740

