Effect of Traditional Spices on the Quality and Antioxidant Potential of Paneer Prepared from Buffalo Milk
Abstract
1. Introduction
2. Materials and Methods
2.1. Procurement of Raw Material
2.2. Production of Spicy Paneer
2.3. Sampling of Paneer
2.4. Preparation of Water Soluble Extract (WSE) of Spicy Paneer and Spices
2.5. Physicochemical Characteristics of Spicy Paneer
2.6. Microbiological Analysis of Spicy Paneer
2.7. Sensory Evaluation of Spicy Paneer
2.8. Determination of Total Phenolic Contents (TP)
2.9. Determination of Total Flavonoid Contents (TF)
2.10. Determination of Reducing Power (RP) or Ferricyanide/Prussian Blue Assay
2.11. Determination of DPPH Radical Scavenging Activity Assay
2.12. Determination of Total Antioxidant Capacity (TAC) Assay
2.13. Statistical Analysis
3. Results
3.1. Physicochemical Characteristics of Spicy Paneer
3.2. Microbiological Quality of Spicy Paneer
3.3. Sensorial Quality of Prepared Paneer
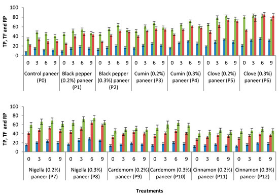
3.4. Antioxidant Potential of Spices and Spicy Paneer
4. Discussion
5. Conclusions
Author Contributions
Funding
Institutional Review Board Statement
Informed Consent Statement
Data Availability Statement
Acknowledgments
Conflicts of Interest
References
- Qureshi, T.M.; Amjad, A.; Nadeem, M.; Murtaza, M.A.; Munir, M. Antioxidant potential of a soft cheese (paneer) supplemented with the extracts of date (Phoenix dactylifera L.) cultivars and its whey. Asian-Australas. J. Anim. Sci. 2019, 32, 1591–1602. [Google Scholar] [CrossRef] [PubMed]
- Jiang, T.A. Health Benefits of Culinary Herbs and Spices. J. AOAC Int. 2019, 102, 395–411. [Google Scholar] [CrossRef]
- Vázquez-Fresno, R.; Rosana, A.R.R.; Sajed, T.; Onookome-Okome, T.; Wishart, N.A.; Wishart, D.S. Herbs and Spices- Biomarkers of Intake Based on Human Intervention Studies—A Systematic Review. Genes Nutr. 2019, 14, 18. [Google Scholar] [CrossRef] [PubMed]
- Li, Y.-X.; Erhunmwunsee, F.; Liu, M.; Yang, K.; Zheng, W.; Tian, J. Antimicrobial mechanisms of spice essential oils and application in food industry. Food Chem. 2022, 382, 132312. [Google Scholar] [CrossRef] [PubMed]
- Meghwal, M.; Goswami, T.K. Chemical Composition, Nutritional, Medicinal and Functional Properties of Black Pepper: A Review. Open Access Sci. Rep. 2012, 1, 1–5. [Google Scholar] [CrossRef]
- Gülçin, I. The antioxidant and radical scavenging activities of black pepper (Piper nigrum) seeds. Int. J. Food Sci. Nutr. 2005, 56, 491–499. [Google Scholar] [CrossRef] [PubMed]
- Vijayakumar, R.S.; Surya, D.; Nalini, N. Antioxidant efficacy of black pepper (Piper nigrum L.) and piperine in rats with high fat diet induced oxidative stress. Redox Rep. 2004, 9, 105–110. [Google Scholar] [CrossRef] [PubMed]
- Alfikri, F.N.; Pujiarti, R.; Wibisono, M.G.; Hardiyanto, E.B. Yield, Quality, and Antioxidant Activity of Clove (Syzygium aromaticum L.) Bud Oil at the Different Phenological Stages in Young and Mature Trees. Scientifica 2020, 2020, 9701701. [Google Scholar] [CrossRef]
- Dua, A.; Singh, A.; Mahajan, R. Antioxidants of Clove (Syzygium aromaticum) Prevent Metal Induced Oxidative Damage of Biomolecules. Int. Res. J. Pharm. 2015, 6, 273–278. [Google Scholar] [CrossRef]
- Selles, S.M.A.; Kouidri, M.; Belhamiti, B.T.; Amrane, A.A. Chemical composition, in-vitro antibacterial and antioxidant activities of Syzygium aromaticum essential oil. J. Food Meas. Charact. 2020, 14, 2352–2358. [Google Scholar] [CrossRef]
- Cortés-Rojas, D.F.; de Souza, C.R.F.; Oliveira, W.P. Clove (Syzygium aromaticum): A precious spice. Asian Pac. J. Trop. Biomed. 2014, 4, 90–96. [Google Scholar] [CrossRef]
- Sulistyoningrum, A.S.; Saepudin, E.; Cahyana, A.H.; Rahayu, D.U.C.; Amelia, B.; Haib, J. Chemical Profiling of Clove Bud Oil (Syzygium aromaticum) from Toli-Toli and Bali by GC-MS Analysis. AIP Conf. Proc. 2017, 1862, 030089-1–030089-6. [Google Scholar]
- Ghadermazi, R.; Keramat, J.; Goli, S.A.H. Antioxidant Activity of Clove (Eugenia caryophyllata Thunb), Oregano (Oringanum vulgare L.) and Sage (Salvia officinalis L.) Essential Oils in Various Model Systems. Int. Food Res. J. 2017, 24, 1628. [Google Scholar]
- Fatima, T.; Beenish, N.B.; Gani, G.; Qadri, T.; Bhat, T.A. Antioxidant Potential and Health Benefits of Cumin. J. Med. Plants Stud. 2018, 6, 232–236. [Google Scholar]
- Abdel-Latif, E.F.; Abbas, K.A.; Abdelmontaleb, H.S.; Hamdy, S.M. Nigella sativa oil: A promising prospective antifungal agent in the manufacture of low-salt soft cheese. Ital. J. Food Saf. 2021, 10, 9862. [Google Scholar] [CrossRef] [PubMed]
- Bordoni, L.; Fedeli, D.; Nasuti, C.; Maggi, F.; Papa, F.; Wabitsch, M.; De Caterina, R.; Gabbianelli, R. Antioxidant and Anti-Inflammatory Properties of Nigella sativa Oil in Human Pre-Adipocytes. Antioxidants 2019, 8, 51. [Google Scholar] [CrossRef] [PubMed]
- Alam, A.; Jawaid, T.; Alam, P. In vitro antioxidant and anti-inflammatory activities of green cardamom essential oil and in silico molecular docking of its major bioactives. J. Taibah Univ. Sci. 2021, 15, 757–768. [Google Scholar] [CrossRef]
- Ashokkumar, K.; Vellaikumar, S.; Murugan, M.; Dhanya, M.K.; Ariharasutharsan, G.; Aiswarya, S.; Akilan, M.; Warkentin, T.D.; Karthikeyan, A. Essential Oil Profile Diversity in Cardamom Accessions from Southern India. Front. Sustain. Food Syst. 2021, 5, 639619. [Google Scholar] [CrossRef]
- Amma, K.P.P.; Sasidharan, I.; Sreekumar, M.M.; Sumathykutty, M.A.; Arumughan, C. Total Antioxidant Capacity and Change in Phytochemicals of Four Major Varieties of Cardamom Oils During Decortication. Int. J. Food Prop. 2015, 18, 1317–1325. [Google Scholar] [CrossRef]
- Ben Nouri, A.; Dhifi, W.; Bellili, S.; Ghazghazi, H.; Aouadhi, C.; Chérif, A.; Hammami, M.; Mnif, W. Chemical Composition, Antioxidant Potential, and Antibacterial Activity of Essential Oil Cones of Tunisian Cupressus sempervirens. J. Chem. 2015, 2015, 538929. [Google Scholar] [CrossRef]
- Rao, P.V.; Gan, S.H. Cinnamon: A Multifaceted Medicinal Plant. Evid.-Based Complement. Altern. Med. 2014, 2014, 642942. [Google Scholar] [CrossRef]
- Lee, J.-G.; Chae, Y.; Shin, Y.; Kim, Y.-J. Chemical composition and antioxidant capacity of black pepper pericarp. Appl. Biol. Chem. 2020, 63, 1–9. [Google Scholar] [CrossRef]
- Rebey, I.B.; Zakhama, N.; Karoui, I.J.; Marzouk, B. Polyphenol Composition and Antioxidant Activity of Cumin (Cuminum cyminum L.) Seed Extract Under Drought. J. Food Sci. 2012, 77, C734–C739. [Google Scholar] [CrossRef] [PubMed]
- Ribeiro, P.R.E.; Montero, I.F.; Saravia, S.A.M.; Ferraz, V.P.; Santos, R.A.; Marcía, J.A.F.; Linhares, B.M. Chemical composition and antioxidant activity in the essential oil of Cinnamomum zeylanicum Nees with medicinal interest. J. Med. Plants Res. 2020, 14, 326–330. [Google Scholar] [CrossRef]
- Akan, E.; Yerlikaya, O.; Akpinar, A.; Karagozlu, C.; Kinik, O.; Uysal, H.R. The effect of various herbs and packaging material on antioxidant activity and colour parameters of whey (Lor) cheese. Int. J. Dairy Technol. 2021, 74, 554–563. [Google Scholar] [CrossRef]
- Badola, R.; Danish, M.; Kumar, S.; Fahad, M.; Kanade, P.P.; Upadhayay, S.; Kohli, D.; Rautela, I. Effect of Incorporation of Black Pepper and Cardamom on Quality Characteristics of Paneer. Int. J. Appl. Sci. Eng. 2018, 6, 121–127. [Google Scholar] [CrossRef]
- Ray, A.B.K.A.; Kaur, A. Studies on Shelf Life Extension of Paneer with the Addition of Plant Essential Oil and Different Packaging Materials. Int. J. Curr. Microbiol. Appl. Sci. 2017, 6, 376–389. [Google Scholar] [CrossRef]
- El-Sayed, S.M.; Youssef, A.M. Potential application of herbs and spices and their effects in functional dairy products. Heliyon 2019, 5, e01989. [Google Scholar] [CrossRef]
- Khan, S.U.; Pal, M.A.; Malik, A.H.; Sofi, A.H. Process Optimization for Paneer Production from Milk Powder. Int. J. Food Nutr. Saf. 2012, 2, 62–71. [Google Scholar]
- Ardö, Y.; Polychroniadou, A. Laboratory Manual for Chemical Analysis of Cheese: Improvement of the Quality of the Production of Raw Milk Cheeses; Office for Official Publications of the European Communities: Luxembourg, 1999. [Google Scholar]
- Gupta, A.; Mann, B.; Kumar, R.; Sangwan, R.B. ACE-Inhibitory Activity of Cheddar Cheeses Made with Adjunct Cultures at Different Stages of Ripening. Adv. Dairy Res. 2013, 1, 1000102. [Google Scholar] [CrossRef]
- AOAC. Official Methods of Analysis, 17th ed.; The Association of Official Analytical Chemists: Gaithersburg, MD, USA, 2000. [Google Scholar]
- ISO 5534:2004; Cheese and Processed Cheese. Determination of the Total Solids Content (Reference Method). International Organization for Standardization: Geneva, Switzerland, 2004.
- IDF. Milk: Determination of Nitrogen Content; IDF Standard 20B; International Dairy Federation: Brussels, Belgium, 1993. [Google Scholar]
- Broadbent, J.; Brighton, C.; McMahon, D.; Farkye, N.; Johnson, M.; Steele, J. Microbiology of Cheddar cheese made with different fat contents using a Lactococcus lactis single-strain starter. J. Dairy Sci. 2013, 96, 4212–4222. [Google Scholar] [CrossRef]
- Dongare, S.A.; Syed, H.M. Physicochemical and Sensory Properties of Paneer Prepared from Buffalo Milk. J. Pharmacogn. Phytochem. 2018, 7, 3852–3854. [Google Scholar]
- Reis, F.S.; Stojković, D.; Soković, M.; Glamočlija, J.; Ćirić, A.; Barros, L.; Ferreira, I.C. Chemical characterization of Agaricus bohusii, antioxidant potential and antifungal preserving properties when incorporated in cream cheese. Food Res. Int. 2012, 48, 620–626. [Google Scholar] [CrossRef]
- Zhishen, J.; Mengcheng, T.; Jianming, W. The determination of flavonoid contents in mulberry and their scavenging effects on superoxide radicals. Food Chem. 1999, 64, 555–559. [Google Scholar] [CrossRef]
- Yi, Z.; Yu, Y.; Liang, Y.; Zeng, B. In vitro antioxidant and antimicrobial activities of the extract of Pericarpium Citri Reticulatae of a new Citrus cultivar and its main flavonoids. Lwt 2008, 41, 597–603. [Google Scholar] [CrossRef]
- Prieto, P.; Pineda, M.; Aguilar, M. Spectrophotometric Quantitation of Antioxidant Capacity through the Formation of a Phosphomolybdenum Complex: Specific Application to the Determination of Vitamin E. Anal. Biochem. 1999, 269, 337–341. [Google Scholar] [CrossRef]
- Shanaziya, A.S.F.; Mangalika, U.L.P.; Nayananjalie, W.A.D. Effect of Different Coagulants on the Quality of Paneer Made from Cow Milk. Int. J. Sci. Res. Publ. IJSRP 2018, 8, 189–194. [Google Scholar] [CrossRef]
- Singh, R.R.; Singh, R.; Shakya, B.R. Impact of Turmeric Addition on the Properties of Paneer, Prepared from Different Types of Milk. Int. J. Curr. Eng. Technol. 2014, 4, 1874–1883. [Google Scholar]
- BIS IS: 10484; Specification for Paneer. Bureau of Indian Standards: New Delhi, India, 1983.
- Mishra, D.; Rao, K.J.; Bhardwaj, R.; Sutariya, H.; Kavitkar, R.S.; Subhash, W.S. Effect of PH on Sensory, Textural, Microbial Quality and Shelf-Life of Paneer. Int. J. Food Ferment. Technol. 2016, 6, 405. [Google Scholar] [CrossRef]
- Singh, B.K.; Sen, D.C.; Kumar, R.; Rani, B.; Barman, A.K. Storage Study of Danadar Prepared from Cow Milk. Chem. Sci. Rev. Lett. 2017, 6, 1958–1969. [Google Scholar]
- Rani, M.; Dabur, R.S.; Garg, S.R.; Jadhav, V. Preparation, storage and microbiological quality of ready-to-serve low cholesterol masala paneer. Vet. World 2014, 7, 443–447. [Google Scholar] [CrossRef]
- Das, A.; Chauhan, G.; Agrawal, R.K.; Tomar, S.; Sirajuddin, S.K. Comparative Study on Evaluation of Refrigerated (4±1 C) Storage Stability of Paneer Incorporated with Crude Extract from Indian Curd, Nisin and Lactic Acid. Int. J. Curr. Microbiol. Appl. Sci. 2018, 7, 167–180. [Google Scholar] [CrossRef]
- Zha, X.-Q.; Wang, J.-H.; Yang, X.-F.; Liang, H.; Zhao, L.-L.; Bao, S.-H.; Luo, J.-P.; Xu, Y.-Y.; Zhou, B.-B. Antioxidant properties of polysaccharide fractions with different molecular mass extracted with hot-water from rice bran. Carbohydr. Polym. 2009, 78, 570–575. [Google Scholar] [CrossRef]
- Prabha, M.R.; Vasantha, K. Antioxidant, cytotoxicity and polyphenolic content of Calotropis procera (Ait.) R. Br. Flowers. J. Appl. Pharm. Sci. 2011, 1, 136–140. [Google Scholar]
- Chaudhry, H.; Fatima, N.; Ahmad, I.Z. Evaluation of Antioxidant and Antibacterial Potentials of Nigella sativa L. Suspension Cultures under Elicitation. BioMed Res. Int. 2015, 2015, 708691. [Google Scholar] [CrossRef] [PubMed]
- Behbahani, B.A.; Falah, F.; Arab, F.L.; Vasiee, M.; Yazdi, F.T. Chemical Composition and Antioxidant, Antimicrobial, and Antiproliferative Activities of Cinnamomum zeylanicum Bark Essential Oil. Evid.-Based Complement. Altern. Med. 2020, 2020, 5190603. [Google Scholar] [CrossRef]
- Ghosh, T.; Basu, A.; Adhikari, D.; Roy, D.; Pal, A.K. Antioxidant activity and structural features of Cinnamomum zeylanicum. 3 Biotech 2015, 5, 939–947. [Google Scholar] [CrossRef]
- Shahid, M.Z.; Saima, H.; Yasmin, A.; Nadeem, M.T.; Imran, M.; Afzaal, M. Antioxidant capacity of cinnamon extract for palm oil stability. Lipids Health Dis. 2018, 17, 116. [Google Scholar] [CrossRef]
- Pan, C.; Yang, K.; Erhunmwunsee, F.; Li, Y.-X.; Liu, M.; Pan, S.; Yang, D.; Lu, G.; Ma, D.; Tian, J. Inhibitory effect of cinnamaldehyde on Fusarium solani and its application in postharvest preservation of sweet potato. Food Chem. 2023, 408, 135213. [Google Scholar] [CrossRef]





| Treatments | Spices (% by Weight of Expected Yield) Addition into Paneer Matrix |
|---|---|
| P0 | Control, without spices |
| P1 | Black pepper powder (0.2%) |
| P2 | Black pepper powder (0.3%) |
| P3 | Cumin powder (0.2%) |
| P4 | Cumin powder (0.3%) |
| P5 | Clove powder (0.2%) |
| P6 | Clove powder (0.3%) |
| P7 | Nigella powder (0.2%) |
| P8 | Nigella powder (0.3%) |
| P9 | Cardamom powder (0.2%) |
| P10 | Cardamom powder (0.3%) |
| P11 | Cinnamon powder (0.2%) |
| P12 | Cinnamon powder (0.3%) |
| Treatments | Time (days) | pH | Moisture (%) | Fat (%) | Protein (%) | Ash (%) | Fat/DM |
|---|---|---|---|---|---|---|---|
| Control paneer (P0) | 0 | 5.67 ± 0.06 a | 58.33 ± 1.65 a | 3.68 ± 0.56 a | 31.03 ± 0.98 f | 2.53 ± 0.03 h–j | 8.83 ± 0.23 a |
| 3 | 5.48 ± 0.05 a–i | 56.93 ± 1.33 a–e | 3.88 ± 0.43 a | 32.34 ± 1.13 a–f | 2.70 ± 0.04 c–j | 9.02 ± 0.41 a–d | |
| 6 | 5.37 ± 0.04 g–i | 56.96 ± 1.84 a–e | 3.88 ± 0.63 a | 32.56 ± 1.19 a–f | 2.66 ± 0.06 b–j | 9.04 ± 0.54 a–c | |
| 9 | 5.32 ± 0.06 i | 55.26 ± 1.36 d–k | 3.91 ± 0.71 a | 32.93 ± 0.92 a–e | 2.84 ± 0.04 b–g | 8.75 ± 0.14 b–j | |
| Black pepper (0.2%) paneer (P1) | 0 | 5.68 ± 0.06 a | 56.80 ± 1.52 a–f | 3.71 ± 0.59 a | 32.43 ± 0.87 a–f | 2.83 ± 0.07 b–h | 8.58 ± 0.29 a–f |
| 3 | 5.56 ± 0.07 a–g | 55.80 ± 1.47 b–k | 3.80 ± 0.60 a | 32.63 ± 0.95 a–f | 2.98 ± 0.03 a–c | 8.59 ± 0.26 a–i | |
| 6 | 5.48 ± 0.09 b–i | 55.06 ± 1.32 d–k | 3.86 ± 0.75 a | 33.40 ± 0.84 a–d | 2.99 ± 0.04 a–c | 8.61 ± 0.49 b–m | |
| 9 | 5.45 ± 0.07 b–i | 54.33 ± 1.21 h–k | 3.90 ± 0.64 a | 33.76 ± 0.90 ab | 3.16 ± 0.05 a | 8.54 ± 0.39 e–n | |
| Black pepper (0.3%) paneer (P2) | 0 | 5.67 ± 0.05 a | 56.73 ± 1.89 a–g | 3.68 ± 0.69 a | 31.96 ± 1.21 b–f | 2.78 ± 0.06 b–i | 8.51 ± 0.26 a–g |
| 3 | 5.47 ± 0.04 b–i | 55.63 ± 1.56 c–k | 3.76 ± 0.59 a | 32.76 ± 0.86 a–f | 2.90 ± 0.04 a–f | 8.49 ± 0.24 b–k | |
| 6 | 5.47 ± 0.09 b–i | 54.56 ± 1.69 f–k | 3.86 ± 0.62 a | 33.46 ± 0.81 a–c | 2.92 ± 0.05 a–f | 8.50 ± 0.19 d–n | |
| 9 | 5.40 ± 0.04 f–i | 54.50 ± 1.59 f–k | 3.92 ± 0.81 a | 33.90 ± 0.69 a | 2.91 ± 0.03 a–c | 8.62 ± 0.14 c–n | |
| Cumin (0.2%) paneer (P3) | 0 | 5.69 ± 0.03 a | 56.30 ± 1.48 a–j | 2.80 ± 0.66 fg | 32.33 ± 0.78 a–f | 2.42 ± 0.03 j | 6.41 ± 0.10 i–p |
| 3 | 5.58 ± 0.07 a–f | 55.93 ± 1.55 b–j | 2.89 ± 0.79 e–g | 32.76 ± 0.95 a–f | 2.51 ± 0.05 i | 6.56 ± 0.28 i–p | |
| 6 | 5.51 ± 0.09 a–i | 55.23 ± 1.84 d–k | 2.92 ± 0.55 d–g | 32.33 ± 1.17 a–f | 2.55 ± 0.07 ij | 6.53 ± 0.23 l–p | |
| 9 | 5.47 ± 0.06 b–i | 54.03 ± 1.57 j–k | 2.98 ± 0.68 c–g | 32.83 ± 0.85 a–f | 2.65 ± 0.08 e–j | 6.49 ± 0.41 o–p | |
| Cumin (0.3%) paneer (P4) | 0 | 5.67 ± 0.05 a | 57.06 ± 1.69 a–d | 2.78 ± 0.73 fg | 31.56 ± 0.88 d–f | 2.52 ± 0.09 h–j | 6.47 ± 0.47 f–o |
| 3 | 5.55 ± 0.09 a–h | 55.46 ± 1.39 c–k | 2.84 ± 0.83 fg | 32.16 ± 0.96 a–f | 2.53 ± 0.05 g–j | 6.39 ± 0.56 l–p | |
| 6 | 5.45 ± 0.04 b–i | 54.16 ± 1.49 i–k | 2.93 ± 0.81 d–g | 33.16 ± 0.91 a–e | 2.61 ± 0.04 e–j | 6.40 ± 0.26 o–p | |
| 9 | 5.41 ± 0.05 e–i | 53.46 ± 1.44 k | 2.98 ± 0.79 c–g | 32.83 ± 1.16 a–f | 2.81 ± 0.03 b–i | 6.41 ± 0.37 p | |
| Clove (0.2%) paneer (P5) | 0 | 5.67 ± 0.04 a | 56.60 ± 1.77 a–h | 2.77 ± 0.52 g | 31.70 ± 1.17 c–f | 2.77 ± 0.06 b–i | 6.38 ± 0.36 h–p |
| 3 | 5.52 ± 0.08 a–h | 55.63 ± 1.79 c–k | 2.82 ± 0.67 f–g | 32.73 ± 1.11 a–f | 2.84 ± 0.05 b–g | 6.38 ± 0.27 k–p | |
| 6 | 5.51 ± 0.06 a–i | 55.23 ± 1.68 d–k | 2.89 ± 0.56 e–g | 32.73 ± 0.97 a–f | 2.95 ± 0.06 a–e | 6.46 ± 0.38 m–p | |
| 9 | 5.46 ± 0.03 b–i | 54.63 ± 1.59 e–k | 2.97 ± 0.62 c–g | 33.46 ± 0.85 a–c | 2.97 ± 0.04 a–d | 6.54 ± 0.36 n–p | |
| Clove (0.3%) paneer (P6) | 0 | 5.68 ± 0.09 a | 56.66 ± 1.66 a–h | 2.85 ± 0.69 fg | 32.40 ± 0.98 a–f | 2.80 ± 0.06 b–i | 6.58 ± 0.22 f–o |
| 3 | 5.47 ± 0.06 b–i | 56.10 ± 1.97 a–j | 3.03 ± 0.76 b–f | 32.46 ± 0.91 a–f | 2.94 ± 0.03 a–f | 6.90 ± 0.38 g–o | |
| 6 | 5.52 ± 0.07 a–h | 55.53 ± 1.69 c–k | 3.15 ± 0.83 b–d | 33.40 ± 0.93 a–d | 2.96 ± 0.04 a–e | 7.09 ± 0.27 h–p | |
| 9 | 5.36 ± 0.05 h–i | 54.53 ± 1.74 f–k | 3.19 ± 0.91 bc | 33.33 ± 1.19 a–e | 3.12 ± 0.07 ab | 7.02 ± 0.42 l–p | |
| Nigella (0.2%) paneer (P7) | 0 | 5.67 ± 0.04 a | 56.43 ± 1.59 a–i | 2.86 ± 0.63 e–g | 32.06 ± 1.15 a–f | 2.94 ± 0.07 a–f | 6.57 ± 0.51 h–p |
| 3 | 5.56 ± 0.09 a–g | 55.60 ± 1.56 c–k | 3.03 ± 0.74 b–f | 32.36 ± 0.89 a–f | 3.03 ± 0.08 a–c | 6.83 ± 0.15 i–p | |
| 6 | 5.51 ± 0.04 a–i | 55.06 ± 1.48 d–k | 3.10 ± 0.85 b–e | 32.90 ± 0.87 a–e | 3.07 ± 0.04 ab | 6.90 ± 0.32 j–p | |
| 9 | 5.47 ± 0.07 b–i | 54.23 ± 1.46 i–k | 3.22 ± 0.96 bc | 33.46 ± 0.90 a–c | 3.08 ± 0.06 ab | 7.04 ± 0.55 m–p | |
| Nigella (0.3%) paneer (P8) | 0 | 5.66 ± 0.08 a | 56.00 ± 1.38 a–j | 2.97 ± 0.91 c–g | 32.96 ± 1.15 a–e | 2.94 ± 0.08 a–f | 6.75 ± 0.23 h–p |
| 3 | 5.59 ± 0.05 a–f | 55.06 ± 1.11 d–k | 3.00 ± 0.59 c–g | 33.06 ± 0.96 a–e | 3.05 ± 0.09 ab | 6.69 ± 0.27 l–p | |
| 6 | 5.55 ± 0.03 a–h | 54.43 ± 1.72 g–k | 3.15 ± 0.66 b–d | 33.43 ± 0.99 a–c | 3.07 ± 0.05 ab | 6.92 ± 0.16 m–p | |
| 9 | 5.48 ± 0.08 b–i | 54.13 ± 1.38 i–k | 3.26 ± 0.78 b | 33.66 ± 0.93 ab | 3.17 ± 0.03 a | 7.11 ± 0.37 m–p | |
| Cardamom (0.2%) paneer (P9) | 0 | 5.68 ± 0.04 a | 57.80 ± 1.92 a–c | 3.71 ± 0.98 a | 31.96 ± 1.18 b–f | 2.83 ± 0.07 b–h | 8.79 ± 0.27 ab |
| 3 | 5.52 ± 0.08 a–h | 56.80 ± 1.68 a–f | 3.80 ± 0.91 a | 32.63 ± 1.18 a–f | 2.98 ± 0.04 a–c | 8.80 ± 0.48 a–e | |
| 6 | 5.44 ± 0.03 c–i | 56.06 ± 1.62 a–j | 3.86 ± 0.87 a | 33.40 ± 1.17 a–d | 3.02 ± 0.06 a–c | 8.76 ± 0.15 a–h | |
| 9 | 5.41 ± 0.06 e–i | 55.33 ± 1.83 d–k | 3.90 ± 0.68 a | 33.76 ± 1.16 ab | 3.16 ± 0.08 a | 8.72 ± 0.12 b–j | |
| Cardamom (0.3%) paneer (P10) | 0 | 5.67 ± 0.05 a | 57.73 ± 1.59 a–c | 3.68 ± 0.69 a | 31.96 ± 0.98 b–f | 2.78 ± 0.05 b–i | 8.71 ± 0.25 ab |
| 3 | 5.43 ± 0.08 c–i | 56.63 ± 1.69 a–h | 3.76 ± 0.88 a | 32.76 ± 0.89 a–f | 2.90 ± 0.03 a–f | 8.65 ± 0.28 a–f | |
| 6 | 5.43 ± 0.05 c–i | 55.56 ± 1.60 c–k | 3.86 ± 0.69 a | 33.46 ± 0.86 a–c | 2.92 ± 0.06 a–f | 8.68 ± 0.16 a–j | |
| 9 | 5.36 ± 0.09 hi | 55.50 ± 1.89 c–k | 3.92 ± 0.74 a | 33.90 ± 0.97 a | 3.04 ± 0.08 a–c | 8.82 ± 0.14 a–i | |
| Cinnamon (0.2%) paneer (P11) | 0 | 5.68 ± 0.05 a | 57.30 ± 1.58 a–d | 2.80 ± 0.82 fg | 32.33 ± 1.17 a–f | 2.42 ± 0.06 j | 6.55 ± 0.29 e–n |
| 3 | 5.54 ± 0.06 a–h | 56.93 ± 1.47 a–e | 2.89 ± 0.85 e–g | 32.76 ± 1.12 a–f | 2.51 ± 0.09 ij | 6.72 ± 0.51 e–n | |
| 6 | 5.47 ± 0.09 b–i | 56.23 ± 1.84 a–j | 2.92 ± 0.77 d–g | 32.33 ± 1.15 a–f | 2.55 ± 0.04 ij | 6.69 ± 0.31 h–p | |
| 9 | 5.43 ± 0.05 d–i | 55.03 ± 1.42 d–k | 2.98 ± 0.71 c–g | 32.83 ± 0.93 a–f | 2.65 ± 0.07 e–j | 6.65 ± 0.13 l–p | |
| Cinnamon (0.3%) paneer (P12) | 0 | 5.68 ± 0.08 a | 58.06 ± 1.27 ab | 2.78 ± 0.73 fg | 31.50 ± 0.85 e–f | 2.52 ± 0.05 h–j | 6.64 ± 0.32 b–l |
| 3 | 5.51 ± 0.04 a–i | 56.46 ± 1.28 a–i | 2.84 ± 0.96 fg | 32.16 ± 0.99 a–f | 2.53 ± 0.07 g–j | 6.53 ± 0.44 h–p | |
| 6 | 5.41 ± 0.08 f–i | 55.16 ± 1.85 d–k | 2.93 ± 0.85 d–g | 33.16 ± 0.94 a–e | 2.63 ± 0.08 f–j | 6.54 ± 0.41 l–p | |
| 9 | 5.37 ± 0.09 g–i | 54.46 ± 1.89 f–k | 2.98 ± 0.74 c–g | 32.83 ± 1.14 a–f | 2.81 ± 0.04 b–i | 6.55 ± 0.11 n–p |
Disclaimer/Publisher’s Note: The statements, opinions and data contained in all publications are solely those of the individual author(s) and contributor(s) and not of MDPI and/or the editor(s). MDPI and/or the editor(s) disclaim responsibility for any injury to people or property resulting from any ideas, methods, instructions or products referred to in the content. |
© 2023 by the authors. Licensee MDPI, Basel, Switzerland. This article is an open access article distributed under the terms and conditions of the Creative Commons Attribution (CC BY) license (https://creativecommons.org/licenses/by/4.0/).
Share and Cite
Qureshi, T.M.; Nadeem, M.; Iftikhar, J.; Salim-ur-Rehman; Ibrahim, S.M.; Majeed, F.; Sultan, M. Effect of Traditional Spices on the Quality and Antioxidant Potential of Paneer Prepared from Buffalo Milk. Agriculture 2023, 13, 491. https://doi.org/10.3390/agriculture13020491
Qureshi TM, Nadeem M, Iftikhar J, Salim-ur-Rehman, Ibrahim SM, Majeed F, Sultan M. Effect of Traditional Spices on the Quality and Antioxidant Potential of Paneer Prepared from Buffalo Milk. Agriculture. 2023; 13(2):491. https://doi.org/10.3390/agriculture13020491
Chicago/Turabian StyleQureshi, Tahir Mahmood, Muhammad Nadeem, Javeria Iftikhar, Salim-ur-Rehman, Sobhy M. Ibrahim, Faizan Majeed, and Muhammad Sultan. 2023. "Effect of Traditional Spices on the Quality and Antioxidant Potential of Paneer Prepared from Buffalo Milk" Agriculture 13, no. 2: 491. https://doi.org/10.3390/agriculture13020491
APA StyleQureshi, T. M., Nadeem, M., Iftikhar, J., Salim-ur-Rehman, Ibrahim, S. M., Majeed, F., & Sultan, M. (2023). Effect of Traditional Spices on the Quality and Antioxidant Potential of Paneer Prepared from Buffalo Milk. Agriculture, 13(2), 491. https://doi.org/10.3390/agriculture13020491

