Grazing Horse Effects on Desert Grassland Soil Gross Nitrification and Denitrification Rates in Northern China
Abstract
:1. Introduction
2. Materials and Methods
2.1. Study Sites
2.2. Experimental Design
2.3. Soil Sampling
2.4. Soil Characteristic Measurements
2.5. Statistical Analysis
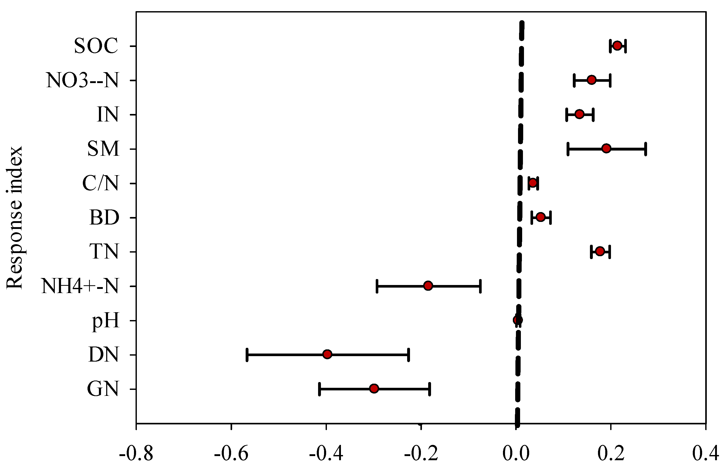
3. Results
3.1. Soil Analysis
3.2. Soil GN and DN
3.3. Correlations between GN, DN, and Soil Physical and Chemical Properties
3.4. Factors Controlling GN and DN Processes
4. Discussion
4.1. Grazing Effects on GN and DN in Desert-Steppe Grassland
4.2. Seasonal Dynamics of GN and DN
5. Conclusions
Supplementary Materials
Author Contributions
Funding
Institutional Review Board Statement
Informed Consent Statement
Data Availability Statement
Conflicts of Interest
References
- Jones, D.L.; Shannon, D.; Murphy, D.V.; Farrar, J. Role of dissolved organic nitrogen (don) in soil N cycling in grassland soils. Soil Biol. Biochem. 2004, 36, 749–756. [Google Scholar] [CrossRef]
- Lu, X.Y.; Yan, Y.; Fan, J.H.; Wang, X.D. Gross nitrification and denitrification in alpine grassland ecosystems on the Tibetan Plateau. Arct. Antarct. Alp. Res. 2012, 44, 188–196. [Google Scholar] [CrossRef]
- Nasholm, T.; Kielland, K.; Ganeteg, U. Uptake of organic nitrogen by plants. New Phytol. 2009, 182, 31–48. [Google Scholar] [CrossRef] [PubMed]
- Roux, X.; Bardy, M.; Loiseau, P.; Louault, F. Stimulation of soil nitrification and denitrification by grazing in grasslands: Do changes in plant species composition matter? Oecologia 2003, 137, 417–425. [Google Scholar] [CrossRef]
- Zumft, W.G. Cell biology and molecular basis of denitrification. Microbiol. Mol. Biol. Rev. 1997, 61, 533–616. [Google Scholar]
- Andresen, L.C.; Yuan, N.; Seibert, R.; Moser, G.; Kammann, C.I.; Luterbacher, J.; Erbs, M.; Muller, C. Biomass responses in a temperate European grassland through 17 years of elevated CO2. Glob. Chang. Biol. 2018, 24, 3875–3885. [Google Scholar] [CrossRef]
- Zhang, Y.W.; Han, J.G.; Li, Z.Q. A study of the effects of different grazing intensities on soil physical properties. Acta Agrestia Sin. 2002, 10, 74–78. [Google Scholar]
- Krzic, M.; Broersma, K.; Thompson, D.J.; Bomke, A.A. Soil properties and species diversity of grazed crested wheatgrass and native rangelands. J. Range Manag. 2000, 53, 353–358. [Google Scholar] [CrossRef] [Green Version]
- Frank, D.A.; Groffman, P.M.; Evans, R.D.; Tracy, B.F. Ungulate stimulation of nitrogen cycling and retention in yellowstone park grasslands. Oecologia 2000, 123, 116–121. [Google Scholar] [CrossRef]
- Liu, T.Z.; Nan, Z.B.; Hou, F.J. Culturable autotrophic ammonia-oxidizing bacteria population and nitrification potential in a sheep grazing intensity gradient in a grassland on the loess plateau of northwest China. Can. J. Soil Sci. 2011, 91, 925–934. [Google Scholar] [CrossRef] [Green Version]
- Sun, G.; Wu, N.; Luo, P. Characteristics of soil nitrogen and carbon of pastures under different management in northwestern Sichuan. Acta Phytoecol. Sin. 2005, 29, 304–310. [Google Scholar]
- Gao, X.F.; Han, G.D. Study on effect of grazing on steppe soil nitrogen cycle. Soils 2011, 43, 161–166. [Google Scholar]
- Pan, H.; Xie, K.X.; Zhang, Q.C.; Jia, Z.J.; Xu, J.M.; Di, H.J.; Li, Y. Archaea and bacteria respectively dominate nitrification in lightly and heavily grazed soil in a grassland system. Biol. Fertil. Soils. 2018, 54, 41–54. [Google Scholar] [CrossRef]
- He, Y.Y. Studies on the Plant Nitrogen Reserves and Soil Nitrogen Cycling in Kubqi Desert. Master’s Thesis, Inner Mongolia Normal University, Hohhot, China, 2012. [Google Scholar]
- Holst, J.; Liu, C.; Brüggemann, N.; Butterbach-Bahl, K.; Zheng, X.; Wang, Y.; Han, S.; Yao, Z.; Yue, J.; Han, X. Microbial N turnover and N-Oxide (N2O/NO/NO2) fluxes in semi-arid grassland of Inner Mongolia. Ecosystems 2007, 10, 623–634. [Google Scholar] [CrossRef]
- Wang, C. Study on the Structure and Activity of Soil Nitrifiers in Desert Steppe, Northwestern China. Master’s Thesis, Lanzhou University, Lanzhou, China, 2019. [Google Scholar]
- Luo, J.; Tillman, R.W.; Ball, P.R. Grazing effects on denitrification in a soil under pasture during two contrasting seasons. Soil Biol. Biochem. 1999, 31, 903–912. [Google Scholar] [CrossRef]
- Chroňáková, A.; Radl, V.; Cuhel, J.; Simek, M.; Elhottová, D.; Engel, M.; Schloter, M. Overwintering management on upland pasture causes shifts in an abundance of denitrifying microbial communities, their activity and N2O-reducing ability. Soil Biol. Biochem. 2009, 41, 1132–1138. [Google Scholar] [CrossRef]
- Wu, H.; Dannenmann, M.; Fanselow, N.; Wolf, B.; Yao, Z.; Xing, W.; Bruggemann, N.; Zheng, X.; Han, X.; Dittert, K. Feedback of grazing on gross rates of N mineralization and inorganic N partitioning in steppe soils of Inner Mongolia. Plant Soil 2011, 340, 127–139. [Google Scholar] [CrossRef]
- Chen, Y.L.; Hu, H.W.; Han, H.Y.; Du, Y.; Wan, S.Q.; Xu, Z.W.; Chen, B.D. Abundance and community structure of ammonia-oxidizing archaea and bacteria in response to fertilization and mowing in a temperate steppe in Inner Mongolia. FEMS Microbiol. Ecol. 2014, 89, 67–79. [Google Scholar] [CrossRef] [Green Version]
- Du, R.; Wang, G.C.; Lv, D.R. Effect of grazing on microbiological processes of N2O production in grassland soils. Environ. Sci. 2001, 22, 11–15. [Google Scholar]
- Gao, Y.H. Study on Carbon and Nitrogen Distribution Pattern and Cycling Process in an Alpine Meadow Ecosystem under Different Grazing Intensity. Ph.D. Thesis, University of Chinese Academy of Sciences, Chengdu, China, 2007. [Google Scholar]
- Wang, X.; Guo, X.L.; Zheng, R.B.; Wang, S.F.; Liu, S.Y.; Tian, W. Effects of grazing on nitrogen transformation in swamp meadow wetland soils in Napahai of northwest Yunnan. Acta Ecol. Sin. 2018, 38, 2308–2314. [Google Scholar]
- Barnard, R.; Leadley, P.W.; Hungate, B.A. Global change, nitrification, and denitrification: A review. Glob. Biogeochem. Cycles 2005, 19, GB1007. [Google Scholar] [CrossRef]
- Zaman, M.; Chang, S.X. Substrate type, temperature, and moisture content affect gross and net N mineralization and nitrification rates in agroforestry systems. Biol. Fertil. Soils 2004, 39, 269–279. [Google Scholar] [CrossRef]
- Kiese, R.; Hewett, B.; Butterbach-Bahl, K. Seasonal dynamic of gross nitrification and N2O emission at two tropical rainforest sites in Queensland, Australia. Plant Soil 2008, 309, 105–117. [Google Scholar] [CrossRef]
- Cabrera, M.L.; Kissel, D.E.; Vigil, M.F. Nitrogen mineralization from organic residues. J. Environ. Qual. 2005, 34, 75–79. [Google Scholar] [CrossRef] [PubMed] [Green Version]
- Li, P.; Lang, M.; Li, Y.S.; Li, Q.W.; Wu, J.C.; Yang, F.; Bai, X.X. Effects of different fertilization on nitrification and mineralization in black soil. J. Agro-Environ. Sci. 2015, 34, 1326–1332. [Google Scholar]
- Luo, Q.P.; Gong, J.R.; Xu, S.; Baoyin, T.G.T.; Wang, Y.H.; Zhai, Z.W.; Pan, Y.; Liu, M.; Yang, L.L. Effects of N and P additions on net nitrogen mineralization in temperate typical grasslands in Inner Mongolia, China. Chin. J. Plant Ecol. 2016, 40, 480–492. [Google Scholar]
- Zhao, W.; Cai, Z.C.; Xu, Z.H. Does ammonium-based N addition influence nitrification and acidification in humid subtropical soils of China? Plant Soil 2007, 297, 213–221. [Google Scholar] [CrossRef]
- Flowers, T.H.; O’Callaghan, J.R. Nitrification in soils incubated with pig slurry or ammonium sulphate. Soil Biol. Biochem. 1983, 15, 337–342. [Google Scholar] [CrossRef]
- Batjes, N.H. Total carbon and nitrogen in the soils of the world. Eur. J. Soil Sci. 1996, 47, 151–163. [Google Scholar] [CrossRef]
- Schimel, J.P.; Firestone, M.K.; Killham, K.S. Identification of heterotrophic nitrification in a sierran forest soil. Appl. Environ. Microbiol. 1984, 48, 802–806. [Google Scholar] [CrossRef] [Green Version]
- Yao, H.Y.; Campbell, C.D.; Qiao, X.R. Soil pH controls nitrification and carbon substrate utilization more than urea or charcoal in some highly acidic soils. Biol. Fertil. Soils 2011, 47, 515–522. [Google Scholar] [CrossRef]
- Cheng, Y.; Wang, J.; Mary, B.; Zhang, J.B.; Cai, Z.C.; Chang, S.X. Soil pH has contrasting effects on gross and net nitrogen mineralizations in adjacent forest and grassland soils in central Alberta, Canada. Soil Biol. Biochem. 2013, 57, 848–857. [Google Scholar] [CrossRef]
- Yang, F.; Wu, J.J.; Zhang, D.D.; Chen, Q.; Zhang, Q.; Cheng, X.L. Soil bacterial community composition and diversity in relation to edaphic properties and plant traits in grasslands of southern China. Appl. Soil Ecol. 2018, 128, 43–53. [Google Scholar] [CrossRef]
- Kyveryga, P.M.; Blackmer, A.M.; Ellsworth, J.W.; Isla, R. Soil pH effects on nitrification of fall-applied anhydrous ammonia. Soil Sci. Soc. Am. J. 2004, 68, 545–551. [Google Scholar] [CrossRef]
- Nugroho, R.A.; Roling, W.F.M.; Laverman, A.M.; Verhoef, H.A. Low nitrification rates in acid scots pine forest soils are due to pH-related factors. Microb. Ecol. 2007, 53, 89–97. [Google Scholar] [CrossRef]
- Gao, W.; Yan, D. Warming suppresses microbial biomass but enhances N recycling. Soil Biol. Biochem. 2019, 131, 111–118. [Google Scholar] [CrossRef]
- Bork, E.W.; Attaeian, B.; Cahill, J.F.; Chang, S.X. Soil nitrogen and greenhouse gas dynamics in a temperate grassland under experimental warming and defoliation. Soil Sci. Soc. Am. J. 2019, 83, 780–790. [Google Scholar] [CrossRef]
- Gu, C.H.; Riley, W.J. Combined effects of short-term rainfall patterns and soil texture on soil nitrogen cycling—A modeling analysis. J. Contam. Hydrol. 2010, 112, 141–154. [Google Scholar] [CrossRef] [Green Version]
- Chen, Y.T.; Borken, W.; Stange, C.F.; Matzner, E. Effects of decreasing water potential on gross ammonification and nitrification in an acid coniferous forest soil. Soil Biol. Biochem. 2011, 43, 333–338. [Google Scholar] [CrossRef]
- Vernimmen, R.R.E.; Verhoef, H.A.; Verstraten, J.M.; Bruijnzeel, L.A.; Klomp, N.S.; Zoomer, H.R.; Wartenbergh, P.E. Nitrogen mineralization, nitrification and denitrification potential in contrasting lowland rain forest types in Central Kalimantan, Indonesia. Soil Biol. Biochem. 2007, 39, 2992–3003. [Google Scholar] [CrossRef]
- Weier, K.L.; Doran, J.W.; Power, J.F.; Walters, D.T. Denitrification and the dinitrogen/nitrous oxide ratio as affected by soil water, available carbon, and nitrate. Soil Sci. Soc. Am. J. 1993, 57, 66–72. [Google Scholar] [CrossRef] [Green Version]
- Van Den Heuvel, R.N.; Van Der Biezen, E.; Jetten, M.S.M.; Hefting, M.M.; Kartal, B. Denitrification at pH 4 by a soil-derived rhodanobacter-dominated community. Environ. Microbiol. 2010, 12, 3264–3271. [Google Scholar] [CrossRef] [PubMed]
- Bakken, L.R.; Bergaust, L.; Liu, B.; Frostegard, A. Regulation of denitrification at the cellular level: A clue to the understanding of N2O emissions from soils. Philos. Trans. R. Soc. Lond. Ser. B Biol. Sci. 2012, 367, 1226–1234. [Google Scholar] [CrossRef] [PubMed] [Green Version]
- Senbayram, M.; Budai, A.; Bol, R.; Chadwick, D.; Marton, L.; Gtindogan, R.; Wu, D. Soil NO3 level and O2 availability are key factors in controlling N2O reduction to N2 following long-term liming of an acidic sandy soil. Soil Biol. Biochem. 2019, 132, 165–173. [Google Scholar] [CrossRef]
- Giles, M.; Morley, N.; Baggs, E.M.; Daniell, T.J. Soil nitrate reducing processes-drivers, mechanisms for spatial variation and significance for nitrous oxide production. Front. Microbiol. 2012, 3, 407. [Google Scholar] [CrossRef] [Green Version]
- Li, X.; McCarty, G.W.; Lang, M.; Ducey, T.; Hunt, P.; Miller, J. Topographic and physicochemical controls on soil denitrification in prior converted croplands located on the Delmarva Peninsula, USA. Geoderma 2018, 309, 41–49. [Google Scholar] [CrossRef]
- Sun, P.P.; Zhuge, Y.P.; Zhang, J.B.; Cai, Z.C. Soil pH was the main controlling factor of the denitrification rates and N2/N2O emission ratios in forest and grassland soils along the Northeast China Transect (NECT). Soil Sci. Plant Nutr. 2012, 58, 517–525. [Google Scholar] [CrossRef]
- Cuhel, J.; Simek, M. Proximal and distal control by pH of denitrification rate in a pasture soil. Agric. Ecosyst. Environ. 2011, 141, 230–233. [Google Scholar] [CrossRef]
- Simek, M.; Cooper, J.E.; Picek, T.; Santrickova, H. Denitrification in arable soils in relation to their physicochemical properties and fertilization practice. Soil Biol. Biochem. 2000, 32, 101–110. [Google Scholar] [CrossRef]
- Shan, J.; Yang, P.P.; Shang, X.X.; Rahman, M.M.; Yan, X.Y. Anaerobic ammonium oxidation and denitrification in a paddy soil as affected by temperature, pH, organic carbon, and substrates. Biol. Fertil. Soils 2018, 54, 341–348. [Google Scholar] [CrossRef]
- Hofstra, N.; Bouwman, A.F. Denitrification in agricultural soils: Summarizing published data and estimating global annual rates. Nutr. Cycl. Agroecosyst. 2005, 72, 267–278. [Google Scholar] [CrossRef]
- Zhang, P.J.; Huang, J.H.; Mu, L.; Shan, Y.M.; Ye, R.H.; Wen, C.; Chang, H.; Ren, T.T.; Chen, S.P.; Bai, Y.F. Influence of nitrogen and water addition on the primary productivity of Stipa breviflora in a desert steppe under different grazing intensities. Acta Ecol. Sin. 2022, 42, 80–92. [Google Scholar]
- Zhang, J.; Liu, J.H.; Wang, Z.W.; Li, Z.G.; Han, G.D.; Qu, Z.Q. The Response of plant community to grazing and precipitation in desert steppe of Inner Mongolia. Chin. J. Grassl. 2020, 42, 67–74. [Google Scholar]
- Yu, Z.H.; Lv, G.Y.; Wang, X.Y.; Xu, X.B.; Jia, D.X.; Wang, C.J. Effects of different grazing intensities on soil carbon and nitrogen and their stable isotopes in Inner Mongolian desert grasslands. Acta Agrestia Sin. 2022, 30, 544–552. [Google Scholar]
- Dai, Y.J.; Guo, J.Y.; Li, Y.Q.; Dong, Z.; Li, H.L. Soil physical and chemical properties affected by long-term grazing on the desert steppe of Inner Mongolia, China. Catena 2022, 211, 105996. [Google Scholar] [CrossRef]
- Conrads, H.; Ingwersen, J.; Streck, T. Sterilization-CO2-Injection (SCI) BaPS: Establishment of a new method to measure rates of soil respiration and gross nitrification in calcareous agricultural soils. EGU Gen. Assem. 2013, 15, 2013–10759. [Google Scholar]
- Gao, L.; Hou, X.Y.; Wang, Z.; Han, W.J.; Yun, X.J. Effects of heavy grazing on soil nitrogen mineralization and temperature sensitivity along the Eastern Eurasia Steppe Transect. Acta Ecol. Sin. 2019, 9, 5095–5105. [Google Scholar]
- Hedges, L.V.; Gurevitch, J.; Curtis, P.S. The meta-analysis of response ratios in experimental ecology. Ecology 1999, 80, 1150–1156. [Google Scholar] [CrossRef]
- Gao, Y.H.; Luo, P.; Wu, N.; Chen, H. Seasonal dynamics of nitrification and denitrification in an alpine meadow soil based on the BaPS technique. Ecol. Environ. 2008, 17, 384–387. [Google Scholar]
- Liu, Q.H. Using BaPS System to Study Upland Soil Nitrification-Denitrification and Respiration. Master’s Thesis, Nanjing Agricultural University, Nanjing, China, 2005. [Google Scholar]
- Yan, Z.Q.; Qi, Y.C.; Dong, Y.S.; Peng, Q.; Sun, L.J.; Jia, J.Q.; Cao, C.C.; Guo, S.F.; He, Y.L. Nitrogen cycling in grassland ecosystems in response to climate change and human activities. Acta Prataculturae Sin. 2014, 23, 279–292. [Google Scholar]
- Mendum, T.A.; Sockett, R.E.; Hirsch, P.R. Use of molecular and isotopic techniques to monitor the response of autotrophic ammonia-oxidizing populations of the β subdivision of the class Proteobacteria in arable soils to nitrogen fertilizer. Appl. Environ. Microbiol. 1999, 65, 4155–4162. [Google Scholar] [CrossRef] [PubMed] [Green Version]
- Feyissa, A.; Yang, F.; Wu, J.J.; Chen, Q.; Zhang, D.D.; Cheng, X.L. Soil nitrogen dynamics at a regional scale along a precipitation gradient in secondary grassland of China. Sci. Total Environ. 2021, 781, 146736. [Google Scholar] [CrossRef] [PubMed]
- Zou, G.H.; Zhao, F.L.; Shan, Y. Vertical distribution of nitrogen and its influencing factors under different land use patterns in a typical red soil region. J. Ecol. Rural Environ. 2019, 35, 644–650. [Google Scholar]
- Verchot, L.V.; Groffman, P.M.; Frank, D.A. Landscape versus ungulate control of gross mineralization and gross nitrification in semi-arid grasslands of Yellowstone National Park. Soil Biol. Biochem. 2002, 34, 1691–1699. [Google Scholar] [CrossRef]
- Monaghan, R.M.; Barraclough, D. Some chemical and physical factors affecting the rate and dynamics of nitrification in urine-affected soil. Plant Soil 1992, 143, 11–18. [Google Scholar] [CrossRef]
- Baldos, A.P.; Corre, M.D.; Veldkamp, E. Response of N cycling to nutrient inputs in forest soils across a 1000–3000 m elevation gradient in the Ecuadorian Andes. Ecology 2015, 96, 749–761. [Google Scholar] [CrossRef]
- Xiao, R.; Ran, W.; Hu, S.; Guo, H. The response of ammonia oxidizing archaea and bacteria in relation to heterotrophs under different carbon and nitrogen amendments in two agricultural soils. Appl. Soil Ecol. 2021, 158, 103812. [Google Scholar] [CrossRef]
- Wang, C.H.; Wang, N.N.; Zhu, J.X.; Liu, Y.; Xu, X.F.; Niu, S.L.; Yu, G.R.; Han, X.G.; He, N.P. Soil gross N ammonification and nitrification from tropical to temperate forests in eastern China. Funct. Ecol. 2017, 32, 83–94. [Google Scholar] [CrossRef] [Green Version]
- Chen, Z.M.; Ding, W.X.; Xu, Y.H.; Miller, C.; Rutting, T.; Yu, H.Y.; Fan, J.L.; Zhang, J.B.; Zhu, T.B. Importance of heterotrophic nitrification and dissimilatory nitrate reduction to ammonium in a cropland soil: Evidences from a 15N tracing study to literature synthesis. Soil Biol. Biochem. 2015, 91, 65–75. [Google Scholar] [CrossRef]
- Stevens, R.J.; Laughlin, R.J. Measurement of nitrous oxide and dinitrogen emissions from agricultural soils. Nutr. Cycl. Agroecosyst. 1998, 52, 131–139. [Google Scholar] [CrossRef]
- Vallis, I.; Harper, L.A.; Catchhpoole, V.R.; Weier, K.L. Volatilization of ammonia from urine patches in a subtropical pasture. Aust. J. Agric. Res. 1982, 33, 97–107. [Google Scholar] [CrossRef]
- Morrill, L.G.; Dawson, J.E. Growth rates of nitrifying chemoautotrophs in soil. J. Bacteriol. 1962, 83, 205–206. [Google Scholar] [CrossRef] [PubMed] [Green Version]
- Morrill, L.G.; Dawson, J.E. Patterns observed for the oxidation of ammonium to nitrate by soil organisms. Soil Sci. Soc. Am. Proc. 1967, 31, 757–760. [Google Scholar] [CrossRef]
- Anthonisen, A.C.; Loehr, R.C.; Prakasam, T.B.S.; Srinath, E.G. Inhibition of nitrification by ammonia and nitrous acid. J.- Water Pollut. Control Fed. 1976, 48, 835–852. [Google Scholar] [PubMed]
- Du, Z.Y.; Cai, Y.J.; Zhang, B.; Hong, J.T.; Wang, X.D. Research progress on livestock excreta returning on soil nitrogen transformation and nitrous oxide emission in grasslands. Acta Ecol. Sin. 2022, 42, 45–57. [Google Scholar]
- Mulvaney, R.L.; Khan, S.A.; Mulvaney, C.S. Nitrogen fertilizers promote denitrification. Biol. Fertil. Soils 1997, 24, 211–220. [Google Scholar] [CrossRef]
- Wang, D.P.; Zheng, L.; Luo, X.H.; Wang, W.B.; Zhang, Y.F.; Xue, X.X.; Wu, X.P. Nitrification and denitrification under different temperature, moisture, carbon and nitrogen sources in Latosols. Chin. J. Soil Sci. 2018, 49, 616–622. [Google Scholar]
- Koops, J.G.; Van Beusichem, M.L.; Oenema, O. Nitrogen loss from grassland on peat soils through nitrous oxide production. Plant Soil 1997, 188, 119–130. [Google Scholar] [CrossRef]
- Xu, Y.Q.; Wan, S.Q.; Cheng, W.X.; Li, L.H. Impacts of grazing intensity on denitrification and N2O production in a semi-arid grassland ecosystem. Biogeochemistry 2008, 88, 103–115. [Google Scholar] [CrossRef]
- Pei, W.; Chen, Q.; Zhang, L.Z.; Jia, L.Y. Effects of grazing, water and nitrogen on soil aggregates in Inner Mongolia grassland. Acta Agrestia Sin. 2021, 29, 1499–1506. [Google Scholar]
- Su, J.S.; Zhao, J.; Jing, G.H.; Wei, L.; Liu, J.; Cheng, J.M.; Zhang, J.E. Root pattern of Stipa plants in semiarid grassland after long-term grazing exclusion. Acta Ecol. Sin. 2017, 37, 6571–6580. [Google Scholar]
- Liu, N.; Zhang, Y.J. Effects of grazing on soil organic carbon and total nitrogen in typical steppe. Pratac. Sci. 2010, 27, 11–14. [Google Scholar]
- Wang, F.F.; Xu, H.; Li, T.; Wu, X. Effects and mechanisms of grazing on key processes of soil nitrogen cycling in grassland: A review. Chin. J. Appl. Ecol. 2019, 30, 3277–3284. [Google Scholar]
- Yan, R.R.; Xin, X.P.; Wang, X.; Yan, Y.C.; Deng, Y.; Yang, G.X. The change of soil carbon and nitrogen under different grazing gradients in Hulunber meadow steppe. Acta Ecol. Sin. 2014, 34, 1587–1595. [Google Scholar]
- Zak, D.R.; Grigal, D.F. Nitrogen mineralization, nitrification and denitrification in upland and wetland ecosystems. Oecologia 1991, 88, 189–196. [Google Scholar] [CrossRef]
- Jiang, Y.Q. Effects of Fertigation on N2O and NO Emissions in Greenhouse Vegetable Fields and the Contribution for Mitigation. Master’s Thesis, Chinese Academy of Agricultural Sciences, Beijing, China, 2017. [Google Scholar]
- Liu, Q.R.; Qi, L.H.; Hu, X.; Zhang, Y. Effects of nitrogen fertilization on nitrification and denitrification in Phyllostachys edulis forests. J. Nanjing For. Univ. (Nat. Sci. Ed.) 2017, 41, 82–88. [Google Scholar]



| Treatment | Month | T * M | ||||
|---|---|---|---|---|---|---|
| F | P | F | P | F | P | |
| GN | 5.67 | 0.14 | 7.198 | *** | 0.736 | 0.66 |
| DN | 2.316 | 0.267 | 3.251 | * | 0.273 | 0.966 |
| pH | 2.888 | 0.231 | 11.156 | *** | 3.558 | * |
| NH4+-N | 12.832 | 0.07 | 2.319 | 0.072 | 4.594 | ** |
| TN | 17.379 | 0.053 | 1.218 | 0.349 | 0.646 | 0.729 |
| BD | 5.589 | 0.142 | 8.839 | *** | 2.644 | * |
| C/N | 17.729 | 0.052 | 18.633 | *** | 0.594 | 0.769 |
| SM | 26.094 | * | 87.895 | *** | 1.947 | 0.122 |
| IN | 18.6 | 0.05 | 10.799 | *** | 1.645 | 0.189 |
| NO3−-N | 21 | * | 11.567 | *** | 2.272 | 0.077 |
| SOC | 16.807 | 0.055 | 1.904 | 0.13 | 0.315 | 0.949 |
| Treatment | Dependent Variables | Standard Coefficient Regression Equation | F Value | R2 | p Value |
|---|---|---|---|---|---|
| CK | GN | Y = −0.455NO3−N + 0.382NH4+-N | 8.51 | 0.415 | 0.002 |
| DN | Y = 0.445NH4+-N | 6.170 | 0.198 | 0.02 | |
| G | GN | Y = 0.535SM−0.480NH4+-N | 13.701 | 0.533 | 0 |
| DN | Y = −0.413C/N | 5.130 | 0.17 | 0.032 |
Publisher’s Note: MDPI stays neutral with regard to jurisdictional claims in published maps and institutional affiliations. |
© 2022 by the authors. Licensee MDPI, Basel, Switzerland. This article is an open access article distributed under the terms and conditions of the Creative Commons Attribution (CC BY) license (https://creativecommons.org/licenses/by/4.0/).
Share and Cite
Wang, X.; Wang, C.; Zhou, C.; Zuo, S.; Ji, Y.; Lamao, Q.; Huang, D. Grazing Horse Effects on Desert Grassland Soil Gross Nitrification and Denitrification Rates in Northern China. Agriculture 2022, 12, 1036. https://doi.org/10.3390/agriculture12071036
Wang X, Wang C, Zhou C, Zuo S, Ji Y, Lamao Q, Huang D. Grazing Horse Effects on Desert Grassland Soil Gross Nitrification and Denitrification Rates in Northern China. Agriculture. 2022; 12(7):1036. https://doi.org/10.3390/agriculture12071036
Chicago/Turabian StyleWang, Xiaonan, Chengjie Wang, Chengyang Zhou, Shining Zuo, Yixin Ji, Qiezhuo Lamao, and Ding Huang. 2022. "Grazing Horse Effects on Desert Grassland Soil Gross Nitrification and Denitrification Rates in Northern China" Agriculture 12, no. 7: 1036. https://doi.org/10.3390/agriculture12071036
APA StyleWang, X., Wang, C., Zhou, C., Zuo, S., Ji, Y., Lamao, Q., & Huang, D. (2022). Grazing Horse Effects on Desert Grassland Soil Gross Nitrification and Denitrification Rates in Northern China. Agriculture, 12(7), 1036. https://doi.org/10.3390/agriculture12071036
