In Arid Regions, Forage Mulching between Fruit Trees Rows Enhances Fruit Tree Light and Lowers Soil Salinity
Abstract
1. Introduction
- Which cropping pattern has a beneficial effect on managing soil salinization?
- Which planting pattern can weaken sand and dust hazards and improve the photosynthetic capacity and fruit quality of fruit trees?
2. Materials and Methods
2.1. Experimental Site
2.2. Experimental Design
2.3. Soil Sample Collection
2.3.1. Soil Sample Collection
2.3.2. Measurement of Soil Moisture Content and Soil Salinity
2.4. Measurement of Microclimate on Farmland
2.5. Measurement of Photosynthetic Characteristics
2.6. Measurement of Fruit Tree Growth Indicators, Yield and Fruit Quality
2.7. Statistical Analysis
3. Results
3.1. Effect of Planting Patterns on the Soil Moisture Content
3.2. Effect of Planting Patterns on Soil Salinity
3.3. Effect of Planting Pattern on the Orchard Microclimate
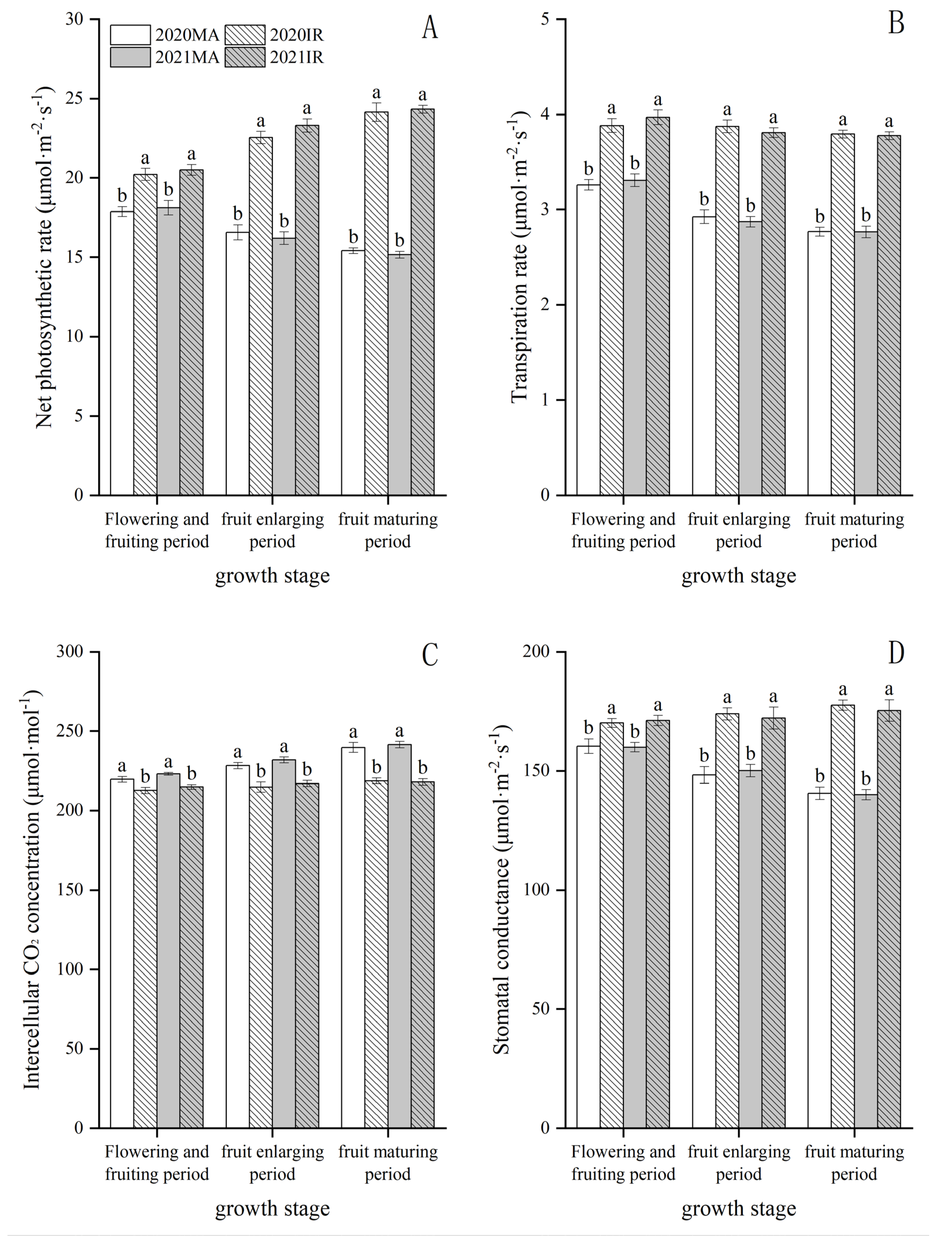
3.4. Effect of Planting Pattern on the Photosynthesis of Fruit Trees
3.5. Effect of the Planting Pattern on Fruit Tree Yield and Fruit Quality
4. Discussion
4.1. Soil Moisture Content
4.2. Soil Salinity
4.3. Photosynthesis
4.4. Microclimate
4.5. Fruit Tree Growth Indicators, Yield and Fruit Quality
5. Conclusions
Author Contributions
Funding
Institutional Review Board Statement
Informed Consent Statement
Data Availability Statement
Conflicts of Interest
References
- Yang, J.S. Development and Prospect of the research on salt-affected soils in China. Acta Pedol. Sin. 2008, 9, 837–845. (In Chinese) [Google Scholar] [CrossRef]
- Zhang, Y.F.; Li, W.Y.; Hu, H.; Chen, W.Z.; Wang, X.L. Current status and outlook of saline land improvement research. Jiangsu Agric. Sci. 2017, 45, 7–10. (In Chinese) [Google Scholar] [CrossRef]
- Qadir, M.; Schubert, S.; Ghafoor, A.; Murtaza, G. Amelioration strategies for sodic soils: A review. Land Degrad. Dev. 2001, 12, 357–386. [Google Scholar] [CrossRef]
- Qadir, M.; Noble, A.D.; Schubert, S.; Thomas, R.J.; Arslan, A. Sodicity-induced land degradation and its sustainable management: Problems and prospects. Land Degrad. Dev. 2006, 17, 661–676. [Google Scholar] [CrossRef]
- Yang, L.; Ding, X.; Liu, X.; Li, P.; Eneji, A.E. Impacts of long-term jujube tree/winter wheat–summer maize intercropping on soil fertility and economic efficiency—A case study in the lower North China Plain. Eur. J. Agron. 2016, 75, 105–117. [Google Scholar] [CrossRef]
- Tsonkova, P.; Böhm, C.; Quinkenstein, A.; Freese, D. Ecological benefits provided by alley cropping systems for production of woody biomass in the temperate region: A review. Agrofor. Syst. 2012, 85, 133–152. [Google Scholar] [CrossRef]
- Wei, Z.P.; Pan, W.L.; Fan, J.G. Effects of soil amelioration of saline-alkali soils on forest-grass ecological patterns. J. Cent. South Univ. For. Technology. 2012, 32, 100–104. (In Chinese) [Google Scholar] [CrossRef]
- Gómez-Plaza, A.; Martı́nez-Mena, M.; Albaladejo, J.; Castillo, V. Factors regulating spatial distribution of soil water content in small semiarid catchments. J. Hydrol. 2001, 253, 211–226. [Google Scholar] [CrossRef]
- Wang, J.; Fu, B.; Qiu, Y.; Chen, L.; Wang, Z. Geostatistical analysis of soil moisture variability on Da Nangou catchment of the loess plateau, China. Environ. Earth Sci. 2001, 41, 113–120. [Google Scholar] [CrossRef]
- Sun, R.J.; Chen, W.F.; Song, X.L.; Luo, Y.F.; Liu, L.J. Distribution characteristics and edge effect of soil water and salt in silvopastoral system of the Yellow River Delta,China. Chin. J. Appl. Ecology. 2019, 30, 2549–2557. (In Chinese) [Google Scholar] [CrossRef]
- Xu, B.C.; Shan, L.; Chen, Y.M. Review and discuss on the effect and influence factors of vegetation construction on soil water in semi-arid area on Loess Plateau. Sci. Soil Water Conserv. 2003, 1, 32–35. (In Chinese) [Google Scholar] [CrossRef]
- Grace, J. Plant response to wind. Agric. Ecosyst. Environ. 1988, 22–23, 71–88. [Google Scholar] [CrossRef]
- Welker, W.V.; Gleen, D.M. The relationship of sod proximity to the growth and nutrient composition of newly planted peach trees. J. Am. Soc. Hortic. Sci. 1985, 20, 417–418. [Google Scholar] [CrossRef]
- Pang, Q.H.; Wang, J.; Sun, Q.; Xu, X.; Wang, R. Effects of grass covering on soil nutrients and berry quality in winegrowers. Southwest China J. Agric. Sciences. 2019, 32, 1833–1838. [Google Scholar] [CrossRef]
- Bai, G.S.; Guo, J.P.; Du, J.H. Effects of natural grass on microclimate of apple orchard, fruit sunburn and leaf early deciduous diesease in Werbei Dry Plateau. Acta Agrestia Sinica 2021, 29, 324–332. (In Chinese) [Google Scholar] [CrossRef]
- Fountoulakis, M.; Sabathianakis, G.; Kritsotakis, I.; Kabourakis, E.; Manios, T. Halophytes as vertical-flow constructed wetland vegetation for domestic wastewater treatment. Sci. Total Environ. 2017, 583, 432–439. [Google Scholar] [CrossRef]
- Hasanuzzaman, M.; Nahar, K.; Alam, M.M.; Bhowmik, P.C.; Hossain, M.A.; Rahman, M.M.; Prasad, M.N.; Ozturk, M.; Fujita, M. Potential Use of Halophytes to Remediate Saline Soils. BioMed Res. Int. 2014, 2014, 1–12. [Google Scholar] [CrossRef]
- Qiu, Q.H.; Deng, S.Y. Influence of Veliveria zizanioides, Alfalfa and Clover on Soil Saliniazation. J. Anhui Agric. 2012, 40, 15204–15206. (In Chinese) [Google Scholar] [CrossRef]
- Zhang, Y.; Luo, S.W.; Wang, B.-L. Effect of alfalfa on saline-alkali soil improvement. Mod. Agric. Sci. Technol. 2009, 20, 121–125. (In Chinese) [Google Scholar]
- Callaway, R.M.; Brooker, R.W.; Choler, P.; Kikvidze, Z.; Lortie, C.J.; Michalet, R.; Paolini, L.; Pugnaire, F.I.; Newingham, B.; Aschehoug, E.T.; et al. Positive interactions among alpine plants increase with stress. Nature 2002, 417, 844–848. [Google Scholar] [CrossRef]
- Zhou, R.L.; Jia, Y.Y.; Hou, Y.L.; Shi, L.L. Relationship between changes in photosynthetic characteristics and plant compensatory growth under different sand burial depths. Acta Ecol. Sin. 2016, 36, 8111–8119. (In Chinese) [Google Scholar] [CrossRef][Green Version]
- Hirano, T.; Kiyota, M.; Aiga, I. Physical effects of dust on leaf physiology of cucumber and kidney bean plants. Environ. Pollut. 1995, 89, 255–261. [Google Scholar] [CrossRef]
- Farmer, A.M. The effects of dust on vegetation—A review. Environ. Pollut. 1993, 79, 63–75. [Google Scholar] [CrossRef]
- Nanos, G.D.; Ilias, I.F. Effects of inert dust on olive (Olea europaea L.) leaf physiological parameters. Environ. Sci. Pollut. Res. 2007, 14, 212–214. [Google Scholar] [CrossRef]
- Li, L.L.; Zhang, P.F.; Song, Y.Q.; Li, J.; Li, J. Research Progress of Water Absorption in Fruit Tree Roots. J. Shanxi Agric. Univ. (Nat. Sci. Ed.) 2015, 35, 331–336. (In Chinese) [Google Scholar] [CrossRef]
- Palese, A.M.; Vignozzi, N.; Celano, G.; Agnelli, A.; Pagliai, M.; Xiloyannis, C. Influence of soil management on soil physical characteristics and water storage in a mature rainfed olive orchard. Soil Tillage Res. 2014, 144, 96–109. [Google Scholar] [CrossRef]
- Ramos, M.E.; Benítez, E.; García, P.A.; Robles, A.B. Cover crops under different managements vs. frequent tillage in almond orchards in semiarid conditions: Effects on soil quality. Appl. Soil Ecol. 2010, 44, 6–14. [Google Scholar] [CrossRef]
- Brooker, R.W.; Bennett, A.E.; Cong, W.-F.; Daniell, T.J.; George, T.S.; Hallett, P.D.; Hawes, C.; Iannetta, P.P.M.; Jones, H.G.; Karley, A.J.; et al. Improving intercropping: A synthesis of research in agronomy, plant physiology and ecology. New Phytol. 2015, 206, 107–117. [Google Scholar] [CrossRef]
- Li, H.F.; Wei, W.; Chen, L.D.; Guo, E.H.; Huang, Y. Progress in the Study of Soil Water Balance under Forest and Grassland Covers on the loess Plateau. Res. Soil Water Conserv. 2013, 20, 287–293. (In Chinese) [Google Scholar]
- Song, X.; Gao, X.; Dyck, M.; Zhang, W.; Wu, P.; Yao, J.; Zhao, X. Soil water and root distribution of apple tree (Malus pumila Mill) stands in relation to stand age and rainwater collection and infiltration system (RWCI) in a hilly region of the Loess Plateau, China. CATENA 2018, 170, 324–334. [Google Scholar] [CrossRef]
- Monteiro, A.; Lopes, C.M. Influence of cover crop on water use and performance of vineyard in Mediterranean Portugal. Agric. Ecosyst. Environ. 2007, 121, 336–342. [Google Scholar] [CrossRef]
- Liu, C.M.; Zhao, K.; Luo, D.H.; Guo, C.; Liu, E.Z. Spatial Distribution Characteristics of Soil Salinization in Xinjiang Tumushuke area. Arid. Environ. Monit. 2020, 34, 9–15. [Google Scholar]
- He, Z.J.; Shi, W.J.; Yang, J.Q. Water and salt transport and desalination effect of halophytes intercropped cotton field with drip irrigation under film. Trans. Chin. Soc. Agric. Eng. 2017, 33, 129–138. (In Chinese) [Google Scholar] [CrossRef]
- Li, H.Y.; Peng, H.C.; Niu, D.L.; Wang, Q.J. Analysis of the Effect of Biomeasures on Discarded Salkaline Land in Chidamu Basin. Acta Agrestia Sin. 2002, 10, 63–68. (In Chinese) [Google Scholar]
- Dong, L.P.; Cao, J.; Li, X.T.; Dai, L.L.; Su, Y.B. Dynamic change of salt contents in rhizosphere soil of salt-tolerant plants. Acta Ecol. Sin. 2011, 31, 2813–2821. (In Chinese) [Google Scholar]
- Dong, X.X.; Guo, H.H.; Kong, L.A. Effect of alfalfa planting on soil salinity characteristics and fertility in coastal saline soils. Shandong Agric. Sci. 2001, 1, 24–25. (In Chinese) [Google Scholar] [CrossRef]
- Xue, J.; Huang, C.; Chang, J.; Sun, H.; Zeng, F.; Lei, J.; Liu, G. Water use efficiencies, economic tradeoffs, and portfolio optimizations of diversification farm systems in a desert oasis of Northwest China. Agrofor. Syst. 2021, 95, 1703–1718. [Google Scholar] [CrossRef]
- Bai, P.-H.; Liu, Q.-Z.; Li, X.-Y.; Liu, Y.-B.; Zhang, L.-L. Response of the wheat rhizosphere soil nematode community in wheat/walnut intercropping system in Xinjiang, Northwest China. Appl. Èntomol. Zoöl. 2018, 53, 297–306. [Google Scholar] [CrossRef]
- Hui, Z.M.; Li, H.; Wang, M.L.; Zhao, G.F.; Wang, N. The effect of green cover on photosynthetic characteristics of grapevine (vitis vinifera L. cv. cabernet sauvignon) leaves. Acta Agric. Boreali-Occident. Sin. 2005, 14, 83–86. [Google Scholar]
- Yang, W.Q.; Kou, J.C.; Han, M.Y. Effects of the orchard-planted grasses on the 1-year-old apple photosynthesis characteristics. Acta Agrestia Sin. 2011, 19, 20–25. (In Chinese) [Google Scholar]
- Yang, W.Q.; Kou, J.C.; Han, M.Y.; Wang, A.Z. Effects of inter-planted trifolium repens on the photosynthetic physiology of peach tree. Acta Agrestia Sin. 2011, 19, 771–775. [Google Scholar]
- Wu, J.J.; Li, Q.S.; Yan, L.J. Soil ecological effects of intercropping forages in young Platycodon grandiflorum and their effects on the growth of Platycodon grandiflorum. Chin. J. Ecol. 1996, 15, 10–14. (In Chinese) [Google Scholar]
- Wang, X.-Y.; Yang, T.; Shen, L.; Zhang, W.-L.; Wan, S.-M.; Li, L.-H. Formation of factors influencing cotton yield in jujube–cotton intercropping systems in Xinjiang, China. Agrofor. Syst. 2021, 95, 177–189. [Google Scholar] [CrossRef]
- Zhang, W.; Xie, H.; Zhang, P.; Zhong, H.-X.; Zhang, F.C.; Zhuang, H.M.; Yang, L.; Xu, Y.T.; Gong, P.; Lu, C.S. Effect of tree canopy structure on light condition in almond-winter wheat intercropping systems. Chin. J. Eco-Agric. 2016, 24, 753–761. (In Chinese) [Google Scholar] [CrossRef]
- Mao, P.C.; Meng, L.; Zhang, G.F.; Hou, F.Q.; Zhang, Z.G.; Cui, T.-H. Effect of planting white clover as a cover crop on the microclimate of a peach orchard and the peach quality. Acta Agrestia Sin. 2006, 14, 360–364. (In Chinese) [Google Scholar]
- Moreira, S.L.S.; Pires, C.V.; Marcatti, G.E.; Santos, R.H.; Imbuzeiro, H.M.; Fernandes, R.B. Intercropping of coffee with the palm tree, macauba, can mitigate climate change effects. Agric. For. Meteorol. 2018, 256–257, 379–390. [Google Scholar] [CrossRef]
- Munns, R. Comparative physiology of salt and water stress. Plant Cell Environ. 2022, 25, 239–250. [Google Scholar] [CrossRef]
- Li, G.H.; Yi, H.L. Influences of sod culture on the soil water content, effect of soil nutrients, fruit yield and quality in citrus orchard. Chin. J. Eco-Agric. 2005, 13, 161–163. (In Chinese) [Google Scholar]
- Zeng, M.; Li, D.G.; Xiong, B.Q.; Lu, Z.M.; Luo, Y. Effects of sod culture management in citrus orchards on am infection in citrus roots and fruit quality. J. Southwest Agric. Univ. (Nat. Sci.) 2004, 26, 105–107. (In Chinese) [Google Scholar]
- Jia, X.H.; Du, Y.M.; Wang, W.H.; Li, Z. Hang, B. Effect of natural grass on quality and storage tolerance of Huahong apple. China Fruits 2015, 6, 30–32. (In Chinese) [Google Scholar] [CrossRef]






| Year | Treatment | Tree Height (m) | Breast Height (cm) | The North-South Crown Amplitude (m) | The East-West Crown Amplitude (m) |
|---|---|---|---|---|---|
| 2020 | MA | 2.67 ± 0.14 a | 2.97 ± 0.16 a | 1.52 ± 0.05 a | 1.57 ± 0.02 a |
| IR | 2.76 ± 0.17 a | 3.05 ± 0.08 a | 1.64 ± 0.06 a | 1.65 ± 0.05 a | |
| 2021 | MA | 3.44 ± 0.11 a | 3.83 ± 0.12 a | 1.77 ± 0.04 a | 1.72 ± 0.05 a |
| IR | 3.51 ± 0.09 a | 3.98 ± 0.19 a | 1.93 ± 0.06 a | 1.84 ± 0.06 a |
| Year | Treatment | Single Fruit Weight (g) | Fruit Firmness (kg/cm2) | Soluble Solids (%) | Soluble Sugar (%) | Titratable Acid (%) | Sugar to Acid Ratio | Vc (mg/100g) | Single Average Yield (kg) |
|---|---|---|---|---|---|---|---|---|---|
| 2020 | MA | 206.06 ± 10.76 b | 9.89 ± 0.44 a | 14.82 ± 0.32 a | 10.14 ± 0.33 a | 0.42 ± 0.05 a | 24.59 ± 3.50 a | 5.57 ± 0.13 a | 1.03 ± 0.05 a |
| IR | 227.54 ± 7.78 a | 10.56 ± 0.39 a | 15.07 ± 0.29 a | 10.67 ± 0.28 a | 0.39 ± 0.03 a | 27.66 ± 1.45 a | 5.83 ± 0.19 a | 1.14 ± 0.04 a | |
| 2021 | MA | 206.70 ± 8.00 b | 9.75 ± 0.41 b | 14.71 ± 0.35 a | 10.18 ± 0.22 b | 0.41 ± 0.07 a | 25.02 ± 3.85 a | 5.49 ± 0.19 a | 4.75 ± 0.18 b |
| IR | 229.79 ± 8.28 a | 10.69 ± 0.35 a | 15.01 ± 0.18 a | 10.68 ± 0.12 a | 0.39 ± 0.04 a | 27.35 ± 2.94 a | 5.92 ± 0.08 a | 5.29 ± 0.19 a |
Publisher’s Note: MDPI stays neutral with regard to jurisdictional claims in published maps and institutional affiliations. |
© 2022 by the authors. Licensee MDPI, Basel, Switzerland. This article is an open access article distributed under the terms and conditions of the Creative Commons Attribution (CC BY) license (https://creativecommons.org/licenses/by/4.0/).
Share and Cite
Zhang, S.; Liu, T.; Wei, W.; Shen, L.; Wang, X.; Tuertia, T.; Li, L.; Zhang, W. In Arid Regions, Forage Mulching between Fruit Trees Rows Enhances Fruit Tree Light and Lowers Soil Salinity. Agriculture 2022, 12, 1895. https://doi.org/10.3390/agriculture12111895
Zhang S, Liu T, Wei W, Shen L, Wang X, Tuertia T, Li L, Zhang W. In Arid Regions, Forage Mulching between Fruit Trees Rows Enhances Fruit Tree Light and Lowers Soil Salinity. Agriculture. 2022; 12(11):1895. https://doi.org/10.3390/agriculture12111895
Chicago/Turabian StyleZhang, Shuai, Tingting Liu, Wenwen Wei, Lei Shen, Xiuyuan Wang, Tayir Tuertia, Luhua Li, and Wei Zhang. 2022. "In Arid Regions, Forage Mulching between Fruit Trees Rows Enhances Fruit Tree Light and Lowers Soil Salinity" Agriculture 12, no. 11: 1895. https://doi.org/10.3390/agriculture12111895
APA StyleZhang, S., Liu, T., Wei, W., Shen, L., Wang, X., Tuertia, T., Li, L., & Zhang, W. (2022). In Arid Regions, Forage Mulching between Fruit Trees Rows Enhances Fruit Tree Light and Lowers Soil Salinity. Agriculture, 12(11), 1895. https://doi.org/10.3390/agriculture12111895

