Postharvest Application of Bacillus amyloliquefaciens PMB04 Fermentation Broth Reduces Anthracnose Occurrence in Mango Fruit
Abstract
1. Introduction
2. Materials and Methods
2.1. Growth Conditions and Suspension Preparation of Microorganisms
2.2. Inhibitory Assay of Bacillus spp. Strains and Fungicides against Colletotrichum Gloeosporioides
2.3. Control Efficacy Assay of Postharvest Treatments on Mango Fruit to Anthracnose Disease
2.4. Preparation of Liquid Fermentation Broth of Bacillus amyloliquefaciens PMB04
2.5. Inhibition Assay of PMB04FB on C. gloeosporioides Conidia
2.6. Control Efficacy Assay of Combined Fermentation Broth and Fungicide against Anthracnose Disease
2.7. Inhibitory Effect of Fungicides on the Growth of Bacillus amyloliquefaciens PMB04
2.8. Statistical Analysis
3. Results
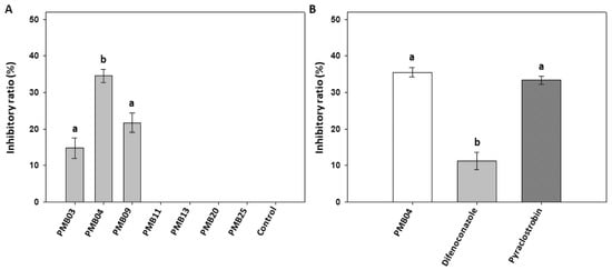
3.1. Inhibitory Effect of Bacillus spp. Strains and Fungicides against Colletotrichum gloeosporioides
3.2. Anthracnose in Mango Fruit Controlled by Bacterial Suspension of Bacillus amyloliquefaciens PMB04
3.3. The Inhibitory Effect of PMB04FB on Germination and Mortality of C. gloeosporioides Conidia
3.4. Anthracnose in Mango Fruit Controlled by Fermentation Broth of Bacillus amyloliquefaciens PMB04 and Fungicides
3.5. Control of Anthracnose with Combined Fermentation Broth and Fungicide
3.6. Growth Inhibition of Bacillus amyloliquefaciens PMB04 by Fungicides
4. Discussion
Author Contributions
Funding
Institutional Review Board Statement
Informed Consent Statement
Conflicts of Interest
References
- FAOSTAT. Food and Agriculture Organization of the United Nations. Crop Stat. 2020. Available online: https://www.fao.org/faostat/en/#home (accessed on 1 August 2021).
- COA. COA Yearbook. In Annual Report Agriculture Statistics 2021; Council of Agriculture, Executive Yuan: Taipei City, Taiwan, 2021. [Google Scholar]
- Gutiérrez-Barranquero, J.A.; Carrión, V.J.; Murillo, J.; Arrebola, E.; Arnold, D.L.; Cazorla, F.M.; de Vicente, A.A. Pseudomonas syringae diversity survey reveals a differentiated phylotype of the pathovar syringae associated with the mango host and mangotoxin production. Phytopathology 2013, 103, 1115–1129. [Google Scholar] [CrossRef]
- Shu, J.; Yu, Z.; Sun, W.; Zhao, J.; Li, Q.; Tang, L.; Guo, T.; Huang, S.; Mo, J.; Hsiang, T.; et al. Identification and Characterization of Pestalotioid Fungi Causing Leaf Spots on Mango in Southern China. Plant Dis. 2020, 104, 1207–1213. [Google Scholar] [CrossRef]
- Gutiérrez-Barranquero, J.A.; Cazorla, F.M.; Torés, J.A.; de Vicente, A. Pantoea agglomerans as a New Etiological Agent of a Bacterial Necrotic Disease of Mango Trees. Phytopathology 2019, 109, 17–26. [Google Scholar] [CrossRef] [PubMed]
- Joshi, B.; Ansari, M.W.; Bains, G.; Pant, R.C.; Shukla, A.; Tuteja, N.; Kumar, J. Fusarium mangiferae associated with mango malformation in the tarai region of the Uttarakhand state of India. Plant Signal Behav. 2014, 9, e28715. [Google Scholar] [CrossRef] [PubMed][Green Version]
- Gagnevin, L.; Pruvost, O. Epidemiology and Control of Mango Bacterial Black Spot. Plant Dis. 2001, 85, 928–935. [Google Scholar] [CrossRef]
- Kumar, A.; Kudachikar, V.B. Development, characterisation and efficacy evaluation of biochemical fungicidal formulations for postharvest control of anthracnose (Colletotrichum gloeosporioides Penz) disease in mango. J. Microencapsul. 2019, 36, 83–95. [Google Scholar] [CrossRef] [PubMed]
- Tovar-Pedraza, J.M.; Mora-Aguilera, J.A.; Nava-Díaz, C.; Lima, N.B.; Michereff, S.J.; Sandoval-Islas, J.S.; Câmara, M.P.S.; Téliz-Ortiz, D.; Leyva-Mir, S.G. Distribution and Pathogenicity of Colletotrichum Species Associated with Mango Anthracnose in Mexico. Plant Dis. 2020, 104, 137–146. [Google Scholar] [CrossRef]
- Swart, S.; Serfontein, J.; Swart, G.; Labuschagne, C. Chemical control of post-harvest diseases of mango: The effect of fludioxonil and prochloraz on soft brown rot, stem-end rot and anthracnose. In Proceedings of the VIII International Mango Symposium, Sun City, South Africa, 5–10 February 2006; pp. 503–510. [Google Scholar]
- Jacobi, K.K.; Wong, L.S.; Giles, J.E. Effect of fruit maturity on quality and physiology of high-humidity hot air-treated ‘Kensington’mango (Mangifera indica Linn.). Postharvest Biol. Technol. 1995, 5, 149–159. [Google Scholar] [CrossRef]
- COA. Plant Protection Information System; Council of Agriculture, Executive Yuan: Taipei City, Taiwan, 2021. [Google Scholar]
- FRAC. FRAC Code List ©*2021: Fungal Control Agents Sorted by Cross Resistance Pattern and Mode of Action (Including Coding for FRAC Groups on Product Labels). 2021, p. 17. Available online: https://www.frac.info/docs/default-source/publications/frac-code-list/frac-code-list-2022--final.pdf?sfvrsn=b6024e9a_2 (accessed on 20 August 2021).
- Konsue, W.; Dethoup, T.; Limtong, S. Biological Control of Fruit Rot and Anthracnose of Postharvest Mango by Antagonistic Yeasts from Economic Crops Leaves. Microorganisms 2020, 8, 317. [Google Scholar] [CrossRef]
- Kefialew, Y.; Ayalew, A. Postharvest biological control of anthracnose (Colletotrichum gloeosporioides) on mango (Mangifera indica). Postharvest Biol. Technol. 2008, 50, 8–11. [Google Scholar] [CrossRef]
- Senghor, A.L.; Liang, W.-J.; Ho, W.-C. Integrated control of Colletotrichum gloeosporioides on mango fruit in Taiwan by the combination of Bacillus subtilis and fruit bagging. Biocontrol Sci. Technol. 2007, 17, 865–870. [Google Scholar] [CrossRef]
- Silimela, M.; Korsten, L. Evaluation of pre-harvest Bacillus licheniformis sprays to control mango fruit diseases. Crop Prot. 2007, 26, 1474–1481. [Google Scholar] [CrossRef]
- Zheng, M.; Shi, J.Y.; Shi, J.; Wang, Q.G.; Li, Y.H. Antimicrobial effects of volatiles produced by two antagonistic Bacillus strains on the anthracnose pathogen in postharvest mangos. Biol. Control 2013, 65, 200–206. [Google Scholar] [CrossRef]
- de Oliveira, K.Á.R.; Berger, L.R.R.; de Araújo, S.A.; Câmara, M.P.S.; de Souza, E.L. Synergistic mixtures of chitosan and Mentha piperita L. essential oil to inhibit Colletotrichum species and anthracnose development in mango cultivar Tommy Atkins. Food Microbiol. 2017, 66, 96–103. [Google Scholar] [CrossRef] [PubMed]
- Wang, Y.-H.; Lai, I.-L.; Zheng, J.-L.; Lin, Y.-H. Using dynamic changes of chlorophyll fluorescence in Arabidopsis thaliana to evaluate plant immunity-intensifying Bacillus spp. strains. Phytopathology 2019, 109, 1566–1576. [Google Scholar] [CrossRef]
- Wu, Y.-M.; Chen, X.; Wang, F.; Hsiao, C.-Y.; Yang, C.-Y.; Lin, S.-T.; Wu, L.-H.; Chen, Y.-K.; Liang, Y.-S.; Lin, Y.-H. Bacillus amyloliquefaciens strains control strawberry anthracnose through antagonistic activity and plant immune response intensification. Biol. Control 2021, 157, 104592. [Google Scholar] [CrossRef]
- Ongena, M.; Jacques, P. Bacillus lipopeptides: Versatile weapons for plant disease biocontrol. Trends Microbiol. 2008, 16, 115–125. [Google Scholar] [CrossRef] [PubMed]
- Fira, D.; Dimkić, I.; Berić, T.; Lozo, J.; Stanković, S. Biological control of plant pathogens by Bacillus species. J. Biotechnol. 2018, 285, 44–55. [Google Scholar] [CrossRef]
- Gong, A.-D.; Li, H.-P.; Yuan, Q.-S.; Song, X.-S.; Yao, W.; He, W.-J.; Zhang, J.-B.; Liao, Y.-C. Antagonistic mechanism of iturin A and plipastatin A from Bacillus amyloliquefaciens S76-3 from wheat spikes against Fusarium graminearum. PLoS ONE 2015, 10, e0116871. [Google Scholar] [CrossRef] [PubMed]
- Chen, W.; Ma, X.; Wang, X.; Chen, S.; Rogiewicz, A.; Slominski, B.; Wan, X.; Huang, F. Establishment of a rapeseed meal fermentation model for iturin A production by Bacillus amyloliquefaciens CX-20. Microb. Biotechnol. 2019, 12, 1417–1429. [Google Scholar] [CrossRef]
- Zhang, W.; Wei, L.; Xu, R.; Lin, G.; Xin, H.; Lv, Z.; Qian, H.; Shi, H. Evaluation of the Antibacterial Material Production in the Fermentation of Bacillusamyloliquefaciens-9 from Whitespotted Bamboo Shark (Chiloscyllium plagiosum). Mar. Drugs 2020, 18, 119. [Google Scholar] [CrossRef]
- Yong, X.; Cui, Y.; Chen, L.; Ran, W.; Shen, Q.; Yang, X. Dynamics of bacterial communities during solid-state fermentation using agro-industrial wastes to produce poly-γ-glutamic acid, revealed by real-time PCR and denaturing gradient gel electrophoresis (DGGE). Appl. Microbiol. Biotechnol. 2011, 92, 717–725. [Google Scholar] [CrossRef]
- Ren, Y.; Xue, Y.; Tian, D.; Zhang, L.; Xiao, G.; He, J. Improvement of Postharvest Anthracnose Resistance in Mango Fruit by Nitric Oxide and the Possible Mechanisms Involved. J. Agric. Food Chem. 2020, 68, 15460–15467. [Google Scholar] [CrossRef] [PubMed]
- Mohapatra, S.; Siddamallaiah, L.; Matadha, N.Y.; Gadigeppa, S.; Raja, D.P.; Udupi, V.R. Persistence and dissipation study of azoxystrobin, buprofezin, dinocap and hexaconazole on mango (Mangifera indica L.). Environ. Sci. Pollut. Res. Int. 2020, 27, 32820–32828. [Google Scholar] [CrossRef]






Publisher’s Note: MDPI stays neutral with regard to jurisdictional claims in published maps and institutional affiliations. |
© 2022 by the authors. Licensee MDPI, Basel, Switzerland. This article is an open access article distributed under the terms and conditions of the Creative Commons Attribution (CC BY) license (https://creativecommons.org/licenses/by/4.0/).
Share and Cite
Liang, Y.-S.; Fu, J.-Y.; Chao, S.-H.; Tzean, Y.; Hsiao, C.-Y.; Yang, Y.-Y.; Chen, Y.-K.; Lin, Y.-H. Postharvest Application of Bacillus amyloliquefaciens PMB04 Fermentation Broth Reduces Anthracnose Occurrence in Mango Fruit. Agriculture 2022, 12, 1646. https://doi.org/10.3390/agriculture12101646
Liang Y-S, Fu J-Y, Chao S-H, Tzean Y, Hsiao C-Y, Yang Y-Y, Chen Y-K, Lin Y-H. Postharvest Application of Bacillus amyloliquefaciens PMB04 Fermentation Broth Reduces Anthracnose Occurrence in Mango Fruit. Agriculture. 2022; 12(10):1646. https://doi.org/10.3390/agriculture12101646
Chicago/Turabian StyleLiang, Yu-Shen, Ju-Yin Fu, Szu-Han Chao, Yuh Tzean, Chia-Yu Hsiao, Yung-Yu Yang, Yu-Kuo Chen, and Yi-Hsien Lin. 2022. "Postharvest Application of Bacillus amyloliquefaciens PMB04 Fermentation Broth Reduces Anthracnose Occurrence in Mango Fruit" Agriculture 12, no. 10: 1646. https://doi.org/10.3390/agriculture12101646
APA StyleLiang, Y.-S., Fu, J.-Y., Chao, S.-H., Tzean, Y., Hsiao, C.-Y., Yang, Y.-Y., Chen, Y.-K., & Lin, Y.-H. (2022). Postharvest Application of Bacillus amyloliquefaciens PMB04 Fermentation Broth Reduces Anthracnose Occurrence in Mango Fruit. Agriculture, 12(10), 1646. https://doi.org/10.3390/agriculture12101646

