Response of Grain Yield and Water Use Efficiency to Irrigation Regimes during Mid-Season indica Rice Genotype Improvement
Abstract
1. Introduction
2. Materials and Methods
2.1. Experimental Site Description and Plant Materials
2.2. Treatment
2.3. Sampling and Measurements
2.4. Final Harvest
2.5. Statistical Analysis
3. Results
3.1. Three-Way Analysis of Variance (ANOVA)
3.2. Grain Yield and Its Components
3.3. Resource Use Efficiency
3.4. Number of Tillers and Leaf Area Index (LAI)
3.5. Leaf Net Photosynthetic and Transpiration Rates
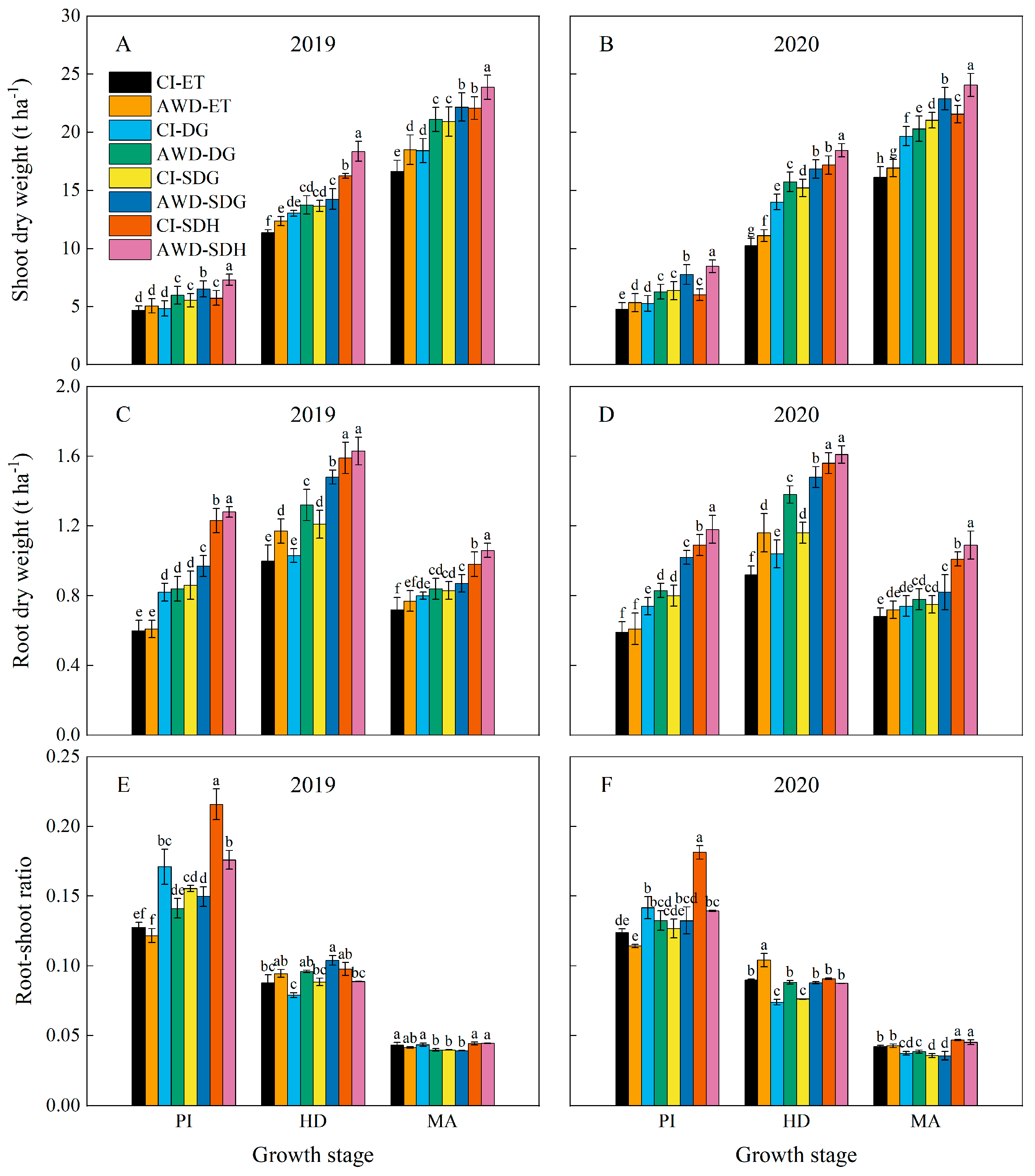
3.6. Shoot Dry Weight, Root Dry Weight, Root–Shoot Ratio, and Root Oxidation Activity (ROA)
3.7. Abscisic Acid (ABA) and Zeatin (Z) + Zeatin Riboside (ZR) in Root Bleeding
3.8. Relationship between Agronomic and Physiological Traits with Grain Yield and Resource Use Efficiency
4. Discussion
4.1. Differences in Grain Yield and WUE among Genotypes
4.2. Response of Grain Yield and WUE to AWD among Genotypes
4.3. Response of Agronomic and Physiological Traits to AWD among Genotypes
5. Conclusions
Supplementary Materials
Author Contributions
Funding
Institutional Review Board Statement
Informed Consent Statement
Data Availability Statement
Conflicts of Interest
Abbreviations
| CI | conventional irrigation |
| AWD | alternate wetting and drying |
| WUEG | grain yield-level water use efficiency |
| WUEL | leaf-level water use efficiency |
| RUE | radiation use efficiency |
| TUE | temperature use efficiency |
| LAI | leaf area index |
| ROA | root oxidation activity |
| ABA | abscisic acid |
| Z + ZR | zeatin + zeatin riboside |
| PI | panicle initiation stage |
| HD | heading stage |
| MF | middle grain filling stage |
| MA | maturity stage |
References
- Suleiman, S.O.; Habila, D.G.; Mamadou, F.; Abolanle, B.M.; Olatunbosun, A.N. Grain yield and leaf gas exchange in upland NERICA rice under repeated cycles of water deficit at reproductive growth stage. Agric. Water Manag. 2022, 264, 107507. [Google Scholar] [CrossRef]
- Muthayy, S.; Sugimoto, J.D.; Montgomery, S.; Marberly, G.F. An overview of global rice production, supply, trade and consumption. Ann. N. Y. Acad. Sci. 2014, 1324, 7–14. [Google Scholar] [CrossRef]
- Fahad, S.; Ihsan, M.Z.; Khaliq, A.; Daur, I.; Saud, S.; Alzamanan, S.; Nasim, W.; Abdullah, M.; Khan, I.A.; Wu, C.; et al. Consequences of high temperature under changing climate optima for rice pollen characteristics-concepts and perspectives. Arch. Agron. Soil Sci. 2018, 64, 1473–1488. [Google Scholar] [CrossRef]
- Wang, Z.; Gu, D.; Beebout, S.S.; Zhang, H.; Liu, L.; Yang, J.; Zhang, J. Effect of irrigation regime on grain yield, water productivity, and methane emissions in dry direct-seeded rice grown in raised beds with wheat straw incorporation. Crop J. 2018, 6, 495–508. [Google Scholar] [CrossRef]
- Xiong, Q.; Tang, G.; Zhong, L.; He, H.; Chen, X. Response to nitrogen deficiency and compensation on physiological characteristics, yield formation, and nitrogen utilization of rice. Front. Plant Sci. 2018, 9, 1075. [Google Scholar] [CrossRef] [PubMed]
- Zhang, W.; Yu, J.; Xu, Y.; Wang, Z.; Liu, L.; Zhang, H.; Gu, J.; Zhang, J.; Yang, J. Alternate wetting and drying irrigation combined with the proportion of polymer-coated urea and conventional urea rates increases grain yield, water and nitrogen use efficiencies in rice. Field Crop. Res. 2021, 268, 108165. [Google Scholar] [CrossRef]
- Zhang, J. China’s success in increasing per capita food production. J. Exp. Bot. 2011, 62, 3707–3711. [Google Scholar] [CrossRef]
- Zhang, Q. Strategies for developing green super rice. Proc. Natl. Acad. Sci. USA 2007, 104, 16402–16409. [Google Scholar] [CrossRef]
- Peng, S.; Cassman, K.G.; Virmani, S.S.; Sheehy, J.; Khush, G.S. Yield potential trends of tropical since the release of IR8 and its challenge of increasing rice yield potential. Crop Sci. 1999, 39, 1552–1559. [Google Scholar] [CrossRef]
- Peng, S.; Khush, G.S.; Virk, P.; Tang, Q.; Zou, Y. Progress in ideotype breeding to increase rice yield potential. Field Crop. Res. 2008, 108, 32–38. [Google Scholar] [CrossRef]
- Peng, S.; Huang, J.; Cassman, K.; Laza, R.C.; Visperas, R.M.; Khush, G.S. The importance of maintenance breeding: A case study of the first miracle rice variety-IR8. Field Crop. Res. 2010, 119, 342–347. [Google Scholar] [CrossRef]
- Fu, F.; Li, F.; Kang, S. Alternate partial root-zone drip irrigation improves water–and nitrogen–use efficiencies of sweet-waxy maize with nitrogen fertigation. Sci. Rep. 2017, 7, 1–10. [Google Scholar] [CrossRef] [PubMed]
- Gowda, V.R.; Henry, A.; Yamauchi, A.; Shashidhar, H.E.; Serraj, R. Root biology and genetic improvement for drought avoidance in rice. Field Crop. Res. 2011, 122, 1–13. [Google Scholar] [CrossRef]
- Wang, Z.; Xu, Y.; Chen, T.; Zhang, H.; Yang, J.; Zhang, J. Abscisic acid and the key enzymes and genes in sucrose-to-starch conversion in rice spikelets in response to soil drying during grain filling. Planta 2015, 241, 1091–1107. [Google Scholar] [CrossRef]
- Yang, J.; Zhou, Q.; Zhang, J. Moderate wetting and drying increases rice yield and reduces water use, grain arsenic level, and methane emission. Crop J. 2017, 5, 151–158. [Google Scholar] [CrossRef]
- Fu, Y.; Gu, Q.; Dong, Q.; Zhang, Z.; Lin, C.; Hu, W.; Pan, R.; Guan, Y.; Hu, J. Spermidine enhances heat tolerance of rice seeds by modulating endogenous starch and polyamine metabolism. Molecules 2019, 24, 1395. [Google Scholar] [CrossRef]
- Bouman, B.A.M.; Tuong, T.P. Field water management to save water and increase its productivity in irrigated lowland rice. Agric. Water. Manag. 2001, 49, 11–30. [Google Scholar] [CrossRef]
- Bouman, B.A.M. A conceptual framework for the improvement of crop water productivity at different spatial scales. Agric. Syst. 2006, 93, 43–60. [Google Scholar] [CrossRef]
- Peng, S.; Bouman, B.; Visperas, R.M.; Castaneda, A.; Nie, L.; Park, H.K. Comparison between aerobic and flooded rice in the tropics: Agronomic performance in an eight-season experiment. Field Crop. Res. 2006, 96, 252–259. [Google Scholar] [CrossRef]
- Ye, Y.; Liang, X.; Chen, Y.; Liu, J.; Gu, J.; Guo, R.; Li, L. Alternate wetting and drying irrigation and controlled-release nitrogen fertilizer in late-season rice. Effects on dry matter accumulation, yield, water and nitrogen use. Field Crop. Res. 2013, 144, 212–224. [Google Scholar] [CrossRef]
- Borell, A.; Garside, A.; Shu, F.K. Improving efficiency of water for irrigated rice in a semi-arid tropical environment. Field Crop. Res. 1997, 52, 231–248. [Google Scholar] [CrossRef]
- Li, S.; Zuo, Q.; Jin, X.; Ma, W.; Shi, J.; Ben-Gal, A. The physiological processes and mechanisms for superior water productivity of a popular ground cover rice production system. Agric. Water Manag. 2018, 201, 11–20. [Google Scholar] [CrossRef]
- Lou, D.; Chen, Z.; Yu, D.; Yang, X. SAPK2 contributes to rice yield by modulating nitrogen metabolic processes under reproductive stage drought stress. Rice 2020, 13, 1–12. [Google Scholar] [CrossRef] [PubMed]
- Zhang, H.; Xue, Y.; Wang, Z.; Yang, J.; Zhang, J. An alternate wetting and moderate soil drying regime improves root and shoot growth in rice. Crop Sci. 2009, 49, 2246–2260. [Google Scholar] [CrossRef]
- Li, J.; Li, Y.; Wan, Y.; Wang, B.; Waqas, M.A.; Cai, W.; Guo, C.; Zhou, S.; Su, R.; Qin, X.; et al. Combination of modified nitrogen fertilizers and water saving irrigation can reduce greenhouse gas emissions and increase rice yield. Geoderma 2018, 315, 1–10. [Google Scholar] [CrossRef]
- Ishfaq, M.; Farooq, M.; Zulfiqar, U.; Hussaina, S.; Akbar, N.; Nawaz, A.; Anjum, S.A. Alternate wetting and drying: A water-saving and ecofriendly rice production system. Agric. Water Manag. 2020, 241, 106363. [Google Scholar] [CrossRef]
- Lampayan, R.M.; Rejesus, R.M.; Singleton, G.R.; Bouman, B.A.M. Adoption and economics of alternate wetting and drying water management for irrigated lowland rice. Field Crop. Res. 2015, 170, 95–108. [Google Scholar] [CrossRef]
- Arjun, P.; Van, T.; Duong, Q.; Thi, P.; Thi, L.; Lars, S.; Andreas, N. Organic matter and water management strategies to reduce mthane and nitrous oxide emissions from rice paddies in Vietnam. Agric. Ecosyst. Environ. 2014, 196, 137–146. [Google Scholar] [CrossRef]
- Liu, L.; Chen, T.; Wang, Z.; Zhang, H.; Yang, J.; Zhang, J. Combination of site-specific nitrogen management and alternate wetting and drying irrigation increases grain yield and nitrogen and water use efficiency in super rice. Field Crop. Res. 2013, 154, 226–235. [Google Scholar] [CrossRef]
- Yang, J.; Zhang, J. Crop management techniques to enhance harvest index in rice. J. Exp. Bot. 2010, 61, 3177–3189. [Google Scholar] [CrossRef]
- Ramasamy, S.; ten Berge, H.F.M.; Purushothaman, S. Yield formation in rice in response to drainage and nitrogen application. Field Crop. Res. 1997, 51, 65–82. [Google Scholar] [CrossRef]
- Bollmark, M.; Kubát, B.; Eliasson, L. Variation in endogenous cytokinin content during adventitious root formation in pea cuttings. J. Plant Physiol. 1988, 132, 262–265. [Google Scholar] [CrossRef]
- Zhang, H.; Jing, W.; Zhao, B.; Wang, W.; Xu, Y.; Zhang, W.; Gu, J.; Liu, L.; Wang, Z.; Yang, J. Alternative fertilizer and irrigation practices improve rice yield and resource use efficiency by regulating source-sink relationships. Field Crop. Res. 2021, 265, 108124. [Google Scholar] [CrossRef]
- Zhang, H.; Yu, C.; Kong, X.; Hou, D.; Gu, J.; Liu, L.; Wang, Z.; Yang, J. Progressive integrative crop managements increase grain yield, nitrogen use efficiency and irrigation water productivity in rice. Field Crop. Res. 2018, 215, 1–11. [Google Scholar] [CrossRef]
- Horie, T.; Shiraiwa, T.; Homma, K.; Katsura, K.; Maeda, Y.; Oshida, H. Can yields of lowland rice resume the increases that showed in the 1980s? Plant Prod. Sci. 2005, 8, 259–274. [Google Scholar] [CrossRef]
- Zhu, Y.; Chen, H.; Fan, J.; Wang, Y.; Li, Y.; Chen, J.; Fan, J.; Yang, S.; Hu, L.; Leung, H.; et al. Genetic diversity and disease control in rice. Nature 2000, 406, 718–722. [Google Scholar] [CrossRef]
- Mäkinen, H.; Kaseva, J.; Trnka, M.; Balek, J.; Kersebaum, K.C.; Nendel, C.; Gobin, A.; Olesen, J.E.; Bindi, M.; Ferrise, R.; et al. Sensitivity of European wheat to extreme weather. Field Crop. Res. 2018, 222, 209–217. [Google Scholar] [CrossRef]
- Calderini, D.F.; Slafer, G.A. Has yield stability changed with genetic improvement of wheat yield? Euphytica 1999, 107, 51–59. [Google Scholar] [CrossRef]
- Chen, Z.; Tang, J.; Zhang, F. Advances and developing tendency of water use efficiency in plant biology. Agric. Sci. China 2009, 8, 855–863. [Google Scholar] [CrossRef]
- Belder, P.; Bouman, B.A.M.; Cabangon, R.; Lu, G.; Quilang, E.J.P.; Li, Y.; Spiertz, J.H.J.; Tuong, T.P. Effect of water-saving irrigation on rice yield and water use in typical lowland conditions in Asia. Agric. Water Manag. 2003, 65, 193–210. [Google Scholar] [CrossRef]
- Belder, P.; Spiertz, J.H.J.; Bouman, B.A.M.; Lu, G.; Tuong, T.P. Nitrogen economy and water productivity of lowland rice under water-saving irrigation. Field Crop. Res. 2004, 93, 169–185. [Google Scholar] [CrossRef]
- Xu, Y.; Gu, D.; Li, K.; Zhang, W.; Zhang, H.; Wang, Z.; Yang, J. Response of grain quality to alternate wetting and moderate soil drying irrigation in rice. Crop Sci. 2019, 59, 1261–1272. [Google Scholar] [CrossRef]
- Carrijo, D.R.; Lundy, M.E.; Linquist, B.A. Rice yields and water use under alternate wetting and drying irrigation: A meta-analysis. Field Crop. Res. 2017, 203, 173–180. [Google Scholar] [CrossRef]
- Mushtaq, S.; Dawe, D.; Lin, H.; Moya, P. An assessment of the role of ponds in the adoption of water-saving irrigation practices in the Zhanghe Irrigation System, China. Agric. Water Manag. 2006, 83, 100–110. [Google Scholar] [CrossRef]
- Yang, J.; Zhang, J. Grain-filling problem in‘super’rice. J. Exp. Bot. 2010, 61, 1–5. [Google Scholar] [CrossRef]
- Ye, Y.; Wang, G.; Huang, Y.; Zhu, Y.; Meng, Q.; Chen, X.; Zhang, F.; Cui, Z. Understanding physiological processes associated with yield-trait relationships inmodern wheat varieties. Field Crop. Res. 2011, 124, 316–322. [Google Scholar] [CrossRef]
- Zhang, H.; Chen, T.; Liu, L.; Wang, Z.; Yang, J.; Zhang, J. Performance in grain yield and physiological traits of rice in the Yangtze River Basin of China during the last 60 yr. J. Integr. Agric. 2013, 12, 57–66. [Google Scholar] [CrossRef]
- Waadt, R.; Seller, C.A.; Hsu, P.K.; Takahashi, Y.; Munemasa, S.; Schroeder, J.I. Plant hormone regulation of abiotic stress responses. Nat. Rev. Mol. Cell Bio. 2022, 23, 680–694. [Google Scholar] [CrossRef]
- Rahayu, Y.S.; Walch-Liu, P.; Neumann, G.; Römheld, V.; von Wirén, N.; Bangerth, F. Root-derived cytokinins as long-distance signals for NO3−-induced stimulation of leaf growth. J. Exp. Bot. 2005, 56, 1143–1152. [Google Scholar] [CrossRef]
- Kudoyarova, G.R.; Korobova, A.V.; Akhiyarova, G.R.; Arkhipova, T.N.; Zaytsev, D.Y.; Prinsen, E.; Egutkin, N.L.; Medvedev, S.S.; Veselov, S.Y. Accumulation of cytokinins in roots and their export to the shoots of durum wheat plants treated with the protonophore carbonyl cyanide m-chlorophenylhydrazone (CCCP). J. Exp. Bot. 2014, 65, 2287–2294. [Google Scholar] [CrossRef]







| Month | Mean Air Temperature † (°C) | Precipitation ‡ (mm per Month) | Solar Radiation § (MJ m−2 per Month) | |||
|---|---|---|---|---|---|---|
| 2019 | 2020 | 2019 | 2020 | 2019 | 2020 | |
| June | 25.6 | 25.8 | 121 | 253 | 504 | 535 |
| July | 28.4 | 25.5 | 221 | 186 | 476 | 542 |
| August | 28.3 | 30.4 | 222 | 246 | 540 | 517 |
| September | 23.5 | 23.8 | 72.4 | 50.2 | 407 | 427 |
| October | 17.9 | 16.7 | 56.1 | 56.9 | 337 | 377 |
| Application Years | Variety | Type | Growth Period (d) |
|---|---|---|---|
| 1940–1950 | Huangguaxian | Early tall genotype | 125 |
| 1950–1960 | Yintiaoxian | Early tall genotype | 127 |
| 1950–1960 | Nanjing 1 | Early tall genotype | 125 |
| 1960–1970 | Taizhongxian | Dwarf genotype | 138 |
| 1960–1970 | Nanjing 11 | Dwarf genotype | 129 |
| 1960–1970 | Zhenzhu’ai | Dwarf genotype | 136 |
| 1970–1980 | IR 24 | Semi-dwarf genotype | 143 |
| 1980–1990 | Yangdao 2 | Semi-dwarf genotype | 142 |
| 1990–2000 | Yangdao 6 | Semi-dwarf genotype | 142 |
| 2000–2005 | Yangliangyou 6 | Semi-dwarf hybrid | 141 |
| 2000–2005 | Liangyoupeijiu | Semi-dwarf hybrid | 145 |
| 2000–2005 | II you 084 | Semi-dwarf hybrid | 145 |
| Treatment † | Type ‡ | Variety | No. of Panicles (×104 ha−1) | Spikelets per Panicle | Total Spikelets (×106 ha−1) | Filled Grains (%) | 1000-Grain Weight (g) |
|---|---|---|---|---|---|---|---|
| 2019 | |||||||
| CI | ET | Huangguaxian | 252.72 e § | 114.67 i | 285.23 l | 66.03 d | 24.28 e |
| Yintiaoxian | 298.08 a | 106.40 j | 317.15 j | 66.31 d | 24.69 d | ||
| Nanjing 1 | 255.96 d | 118.64 h | 303.62 k | 67.12 d | 24.33 e | ||
| Average | 268.92 | 113.24 | 302.00 | 66.49 | 24.43 | ||
| DG | Taizhongxian | 275.40 c | 141.93 g | 390.57 e | 82.05 b | 23.36 f | |
| Nanjing 11 | 249.48 f | 156.33 e | 383.22 g | 77.90 c | 24.62 d | ||
| Zhenzhu’ai | 220.32 j | 160.63 d | 344.67 i | 78.53 c | 24.34 e | ||
| Average | 248.40 | 152.96 | 372.82 | 79.49 | 24.11 | ||
| SDG | IR 24 | 288.36 b | 152.92 f | 441.11 c | 66.42 d | 24.68 d | |
| Yangdao 2 | 239.76 g | 162.13 d | 387.85 f | 85.05 a | 24.50 de | ||
| Yangdao 6 | 230.04 i | 155.91 e | 358.58 h | 85.02 a | 28.02 b | ||
| Average | 252.72 | 156.99 | 395.85 | 78.83 | 25.73 | ||
| SDH | Yangliangyou 6 | 210.60 k | 196.95 a | 413.95 d | 82.93 b | 28.85 a | |
| Liangyoupeijiu | 236.52 h | 191.96 b | 454.28 b | 85.07 a | 25.93 c | ||
| II you 084 | 252.72 e | 180.97 c | 455.62 a | 85.02 a | 27.82 b | ||
| Average | 233.28 | 189.96 | 441.28 | 84.34 | 27.53 | ||
| AWD | ET | Huangguaxian | 249.48 d | 122.29 k | 304.68 l | 66.20 g | 24.45 g |
| Yintiaoxian | 291.60 a | 109.78 l | 319.69 k | 68.41 f | 24.70 f | ||
| Nanjing 1 | 243.00 e | 144.57 j | 351.25 j | 69.33 f | 24.46 g | ||
| Average | 261.36 | 125.55 | 325.21 | 67.98 | 24.54 | ||
| DG | Taizhongxian | 265.68 c | 151.95 i | 402.78 h | 82.71 c | 23.62 h | |
| Nanjing 11 | 233.28 f | 166.49 h | 387.92 i | 78.54 d | 24.94 e | ||
| Zhenzhu’ai | 210.60 i | 198.63 e | 417.96 f | 84.01 c | 24.54 fg | ||
| Average | 236.52 | 172.36 | 402.89 | 81.75 | 24.37 | ||
| SDG | IR 24 | 272.16 b | 169.70 g | 461.69 c | 74.20 e | 25.99 d | |
| Yangdao 2 | 217.08 h | 204.43 c | 440.57 e | 86.66 ab | 24.66 fg | ||
| Yangdao 6 | 220.32 g | 188.10 f | 413.58 g | 87.27 a | 28.12 b | ||
| Average | 236.52 | 187.41 | 438.61 | 82.71 | 26.26 | ||
| SDH | Yangliangyou 6 | 207.36 j | 214.56 b | 442.52 d | 83.82 c | 28.93 a | |
| Liangyoupeijiu | 210.60 i | 227.40 a | 478.94 b | 85.51 b | 27.23 c | ||
| II you 084 | 243.00 e | 202.09 d | 489.40 a | 85.71 b | 28.15 b | ||
| Average | 220.32 | 214.68 | 470.29 | 85.01 | 28.10 | ||
| 2020 | |||||||
| CI | ET | Huangguaxian | 264.80 g | 104.72 i | 277.16 l | 59.58 i | 26.09 e |
| Yintiaoxian | 257.01 e | 109.46 h | 281.58 j | 56.20 j | 25.88 e | ||
| Nanjing 1 | 249.22 c | 104.09 i | 260.80 k | 57.99 h | 25.89 d | ||
| Average | 257.01 | 106.09 | 273.18 | 57.92 | 25.95 | ||
| DG | Taizhongxian | 247.66 h | 124.95 g | 309.31 i | 75.89 d | 24.95 gh | |
| Nanjing 11 | 255.45 f | 144.88 d | 367.21 f | 65.11 g | 26.13 d | ||
| Zhenzhu’ai | 275.70 b | 130.89 f | 360.39 g | 70.36 e | 25.08 g | ||
| Average | 259.60 | 133.57 | 345.64 | 70.45 | 25.39 | ||
| SDG | IR 24 | 283.49 a | 155.68 c | 441.31 b | 68.70 f | 25.01 gh | |
| Yangdao 2 | 246.11 i | 154.51 c | 376.76 e | 85.08 a | 25.59 f | ||
| Yangdao 6 | 263.24 d | 135.75 e | 352.45 h | 84.08 ab | 29.10 a | ||
| Average | 264.28 | 148.65 | 390.17 | 79.29 | 26.57 | ||
| SDH | Yangliangyou 6 | 235.20 j | 168.25 b | 391.32 d | 80.67 c | 28.75 b | |
| Liangyoupeijiu | 249.22 g | 186.84 a | 464.67 a | 81.33 c | 24.90 h | ||
| II you 084 | 225.86 k | 187.39 a | 423.17 c | 83.40 b | 26.62 c | ||
| Average | 236.76 | 180.83 | 426.39 | 81.80 | 26.76 | ||
| AWD | ET | Huangguaxian | 252.34 e | 125.63 i | 317.28 l | 59.74 g | 26.59 e |
| Yintiaoxian | 250.78 d | 116.10 h | 292.50 k | 63.79 g | 25.90 f | ||
| Nanjing 1 | 242.99 c | 111.42 g | 271.07 j | 64.88 h | 26.15 c | ||
| Average | 248.70 | 117.72 | 293.62 | 62.80 | 26.21 | ||
| DG | Taizhongxian | 239.88 f | 138.63 f | 332.94 i | 80.25 c | 25.15 g | |
| Nanjing 11 | 250.78 d | 148.50 e | 372.02 h | 72.10 e | 26.44 d | ||
| Zhenzhu’ai | 253.89 b | 148.40 e | 376.40 g | 78.30 d | 26.18 e | ||
| Average | 248.18 | 145.18 | 360.45 | 76.88 | 25.92 | ||
| SDG | IR 24 | 274.14 a | 164.56 c | 451.17 c | 70.28 f | 25.18 g | |
| Yangdao 2 | 239.88 f | 166.27 c | 397.88 e | 85.03 a | 25.95 f | ||
| Yangdao 6 | 242.99 e | 157.38 d | 379.52 f | 84.87 a | 29.16 a | ||
| Average | 252.34 | 162.74 | 409.52 | 80.06 | 26.76 | ||
| SDH | Yangliangyou 6 | 221.18 h | 196.60 b | 432.28 d | 81.10 c | 28.87 b | |
| Liangyoupeijiu | 242.99 e | 196.85 b | 476.39 a | 82.27 b | 26.03 ef | ||
| II you 084 | 224.30 g | 215.68 a | 469.11 b | 85.63 a | 26.71 c | ||
| Average | 229.49 | 203.04 | 459.26 | 83.00 | 27.20 | ||
| Treatment † | Type ‡ | Variety | WUEG (kg m−3) | RUE (g MJ−1) | TUE (g °C−1 m−2) |
|---|---|---|---|---|---|
| 2019 | |||||
| CI | ET | Huangguaxian | 0.61 h § | 0.24 h | 0.14 h |
| Yintiaoxian | 0.69 g | 0.27 g | 0.16 g | ||
| Nanjing 1 | 0.66 gh | 0.26 gh | 0.15 gh | ||
| Average | 0.65 | 0.26 | 0.15 | ||
| DG | Taizhongxian | 1.00 e | 0.39 e | 0.23 e | |
| Nanjing 11 | 0.98 e | 0.39 e | 0.22 e | ||
| Zhenzhu’ai | 0.88 f | 0.35 f | 0.20 f | ||
| Average | 0.95 | 0.38 | 0.22 | ||
| SDG | IR 24 | 0.96 e | 0.38 e | 0.22 e | |
| Yangdao 2 | 1.08 d | 0.42 d | 0.25 d | ||
| Yangdao 6 | 1.14 c | 0.45 c | 0.26 c | ||
| Average | 1.06 | 0.42 | 0.24 | ||
| SDH | Yangliangyou 6 | 1.32 b | 0.52 b | 0.30 b | |
| Liangyoupeijiu | 1.34 b | 0.53 b | 0.30 b | ||
| II you 084 | 1.44 a | 0.57 a | 0.33 a | ||
| Average | 1.36 | 0.54 | 0.31 | ||
| AWD | ET | Huangguaxian | 0.93 k | 0.26 k | 0.15 k |
| Yintiaoxian | 1.02 j | 0.28 j | 0.16 j | ||
| Nanjing 1 | 1.12 i | 0.31 i | 0.18 i | ||
| Average | 1.02 | 0.28 | 0.17 | ||
| DG | Taizhongxian | 1.48 h | 0.41 h | 0.24 h | |
| Nanjing 11 | 1.43 h | 0.40 h | 0.23 h | ||
| Zhenzhu’ai | 1.63 g | 0.45 g | 0.26 g | ||
| Average | 1.51 | 0.42 | 0.24 | ||
| SDG | IR 24 | 1.68 f | 0.47 f | 0.27 f | |
| Yangdao 2 | 1.78 e | 0.49 e | 0.29 e | ||
| Yangdao 6 | 1.92 d | 0.53 d | 0.31 d | ||
| Average | 1.79 | 0.50 | 0.29 | ||
| SDH | Yangliangyou 6 | 2.02 c | 0.56 c | 0.33 c | |
| Liangyoupeijiu | 2.10 b | 0.58 b | 0.34 b | ||
| II you 084 | 2.23 a | 0.62 a | 0.36 a | ||
| Average | 2.12 | 0.59 | 0.34 | ||
| 2020 | |||||
| CI | ET | Huangguaxian | 0.57 g | 0.21 g | 0.13 g |
| Yintiaoxian | 0.54 g | 0.20 g | 0.13 g | ||
| Nanjing 1 | 0.52 g | 0.19 g | 0.12 g | ||
| Average | 0.55 | 0.20 | 0.13 | ||
| DG | Taizhongxian | 0.78 f | 0.29 f | 0.18 f | |
| Nanjing 11 | 0.83 ef | 0.31 ef | 0.19 ef | ||
| Zhenzhu’ai | 0.85 e | 0.31 e | 0.20 e | ||
| Average | 0.82 | 0.30 | 0.19 | ||
| SDG | IR 24 | 1.01 d | 0.38 d | 0.23 d | |
| Yangdao 2 | 1.09 c | 0.41 c | 0.25 c | ||
| Yangdao 6 | 1.15 b | 0.43 b | 0.27 b | ||
| Average | 1.08 | 0.40 | 0.25 | ||
| SDH | Yangliangyou 6 | 1.21 a | 0.45 a | 0.28 a | |
| Liangyoupeijiu | 1.25 a | 0.47 a | 0.29 a | ||
| II you 084 | 1.25 a | 0.47 a | 0.29 a | ||
| Average | 1.24 | 0.46 | 0.29 | ||
| AWD | ET | Huangguaxian | 0.86 g | 0.23 g | 0.14 g |
| Yintiaoxian | 0.91 g | 0.24 g | 0.15 g | ||
| Nanjing 1 | 0.95 g | 0.25 g | 0.15 g | ||
| Average | 0.91 | 0.24 | 0.15 | ||
| DG | Taizhongxian | 1.26 f | 0.33 f | 0.21 f | |
| Nanjing 11 | 1.34 f | 0.35 f | 0.22 f | ||
| Zhenzhu’ai | 1.46 e | 0.38 e | 0.24 e | ||
| Average | 1.35 | 0.36 | 0.22 | ||
| SDG | IR 24 | 1.51 e | 0.40 e | 0.25 e | |
| Yangdao 2 | 1.66 d | 0.44 d | 0.27 d | ||
| Yangdao 6 | 1.77 c | 0.47 c | 0.29 c | ||
| Average | 1.64 | 0.43 | 0.27 | ||
| SDH | Yangliangyou 6 | 1.91 b | 0.50 b | 0.31 b | |
| Liangyoupeijiu | 1.92 b | 0.50 b | 0.31 b | ||
| II you 084 | 2.03 a | 0.53 a | 0.33 a | ||
| Average | 1.95 | 0.51 | 0.32 |
| Treatment † | Type ‡ | Variety | Number of Tillers and Mail Stems per m2 | LAI | ||||
|---|---|---|---|---|---|---|---|---|
| Panicle Initiation | Heading | Maturity | Total LAI | Effective LAI | High Effective LAI | |||
| 2019 | ||||||||
| CI | ET | Huangguaxian | 385 b § | 277 c | 253 cd | 5.22 def | 3.94 fgh | 3.72 def |
| Yintiaoxian | 431 a | 329 a | 298 a | 5.04 ef | 3.80 gh | 3.56 ef | ||
| Nanjing 1 | 380 b | 282 c | 256 c | 4.76 f | 3.59 h | 3.41 f | ||
| Average | 399 | 296 | 269 | 5.01 | 3.78 | 3.56 | ||
| DG | Taizhongxian | 371 b | 303 b | 288 ab | 5.67 cd | 4.58 de | 4.08 cd | |
| Nanjing 11 | 380 b | 277 c | 240 def | 5.41 cde | 4.37 ef | 3.90 cde | ||
| Zhenzhu’ai | 298 cd | 244 e | 230 fg | 5.21 def | 4.20 efg | 3.77 cdef | ||
| Average | 350 | 275 | 253 | 5.43 | 4.38 | 3.92 | ||
| SDG | IR 24 | 381 b | 318 ab | 275 b | 5.71 cd | 5.16 c | 4.13 cd | |
| Yangdao 2 | 304 cd | 252 de | 249 cde | 5.84 c | 5.00 cd | 4.21 c | ||
| Yangdao 6 | 290 d | 242 e | 220 gh | 6.41 b | 5.79 b | 4.66 b | ||
| Average | 325 | 271 | 248 | 5.99 | 5.32 | 4.33 | ||
| SDH | Yangliangyou 6 | 270 e | 222 f | 211 h | 6.89 ab | 6.23 ab | 5.04 ab | |
| Liangyoupeijiu | 294 cd | 249 e | 237 ef | 7.17 a | 6.48 a | 5.25 a | ||
| II you 084 | 310 c | 266 cd | 253 cd | 6.97 ab | 6.31 a | 5.09 a | ||
| Average | 291 | 246 | 233 | 7.01 | 6.34 | 5.13 | ||
| AWD | ET | Huangguaxian | 372 b | 266 c | 249 cd | 5.31 d | 4.80 d | 4.26 c |
| Yintiaoxian | 403 a | 311 a | 292 a | 5.43 cd | 4.91 cd | 4.41 c | ||
| Nanjing 1 | 344 c | 259 cd | 243 d | 5.41 cd | 4.89 cd | 4.38 c | ||
| Average | 373 | 279 | 261 | 5.38 | 4.87 | 4.35 | ||
| DG | Taizhongxian | 346 c | 283 b | 268 bc | 5.95 bcd | 5.38 bcd | 4.88 bc | |
| Nanjing 11 | 347 c | 248 d | 238 de | 6.47 abcd | 5.85 abcd | 5.37 abc | ||
| Zhenzhu’ai | 283 d | 225 e | 221 ef | 7.12 ab | 6.44 ab | 5.84 ab | ||
| Average | 325 | 252 | 242 | 6.51 | 5.89 | 5.36 | ||
| SDG | IR 24 | 344 c | 290 b | 272 b | 6.84 abc | 6.18 abc | 5.61 ab | |
| Yangdao 2 | 265 ef | 225 e | 217 f | 7.35 ab | 6.64 ab | 5.93 ab | ||
| Yangdao 6 | 268 def | 228 e | 220 ef | 7.3 ab | 6.60 ab | 5.93 ab | ||
| Average | 292 | 248 | 237 | 7.16 | 6.47 | 5.82 | ||
| SDH | Yangliangyou 6 | 253 f | 213 e | 207 f | 7.51 a | 6.79 a | 6.22 a | |
| Liangyoupeijiu | 253 f | 217 e | 211 f | 7.69 a | 6.95 a | 6.40 a | ||
| II you 084 | 279 de | 252 cd | 243 d | 7.31 ab | 6.61 ab | 6.06 ab | ||
| Average | 262 | 227 | 220 | 7.50 | 6.78 | 6.23 | ||
| 2020 | ||||||||
| CI | ET | Huangguaxian | 405 a | 285 abc | 282 a | 4.88 f | 3.55 h | 3.64 de |
| Yintiaoxian | 373 b | 282 bcd | 246 cd | 5.47 de | 3.93 g | 3.51 e | ||
| Nanjing 1 | 370 bc | 280 bcd | 262 bc | 5.11 ef | 4.18 fg | 3.42 e | ||
| Average | 383 | 282 | 263 | 5.15 | 3.89 | 3.52 | ||
| DG | Taizhongxian | 339 d | 259 ef | 261 bc | 5.57 de | 4.16 fg | 3.97 bcd | |
| Nanjing 11 | 362 c | 266 cde | 256 bcd | 4.95 f | 4.58 de | 3.82 cde | ||
| Zhenzhu’ai | 370 bc | 294 ab | 251 bcd | 5.64 d | 4.39 ef | 3.80 cde | ||
| Average | 357 | 273 | 256 | 5.39 | 4.38 | 3.86 | ||
| SDG | IR 24 | 361 c | 304 a | 246 cd | 5.76 d | 5.24 c | 4.03 bcd | |
| Yangdao 2 | 304 f | 263 de | 253 bcd | 6.63 bc | 4.87 d | 4.14 bc | ||
| Yangdao 6 | 322 e | 250 ef | 268 ab | 6.42 c | 5.76 b | 4.36 b | ||
| Average | 329 | 272 | 255 | 6.27 | 5.29 | 4.18 | ||
| SDH | Yangliangyou 6 | 291 g | 250 ef | 241 d | 6.81 bc | 5.86 b | 5.13 a | |
| Liangyoupeijiu | 304 f | 265 de | 248 cd | 7.32 a | 6.28 a | 5.11 a | ||
| II you 084 | 275 h | 241 f | 223 e | 7.09 ab | 6.39 a | 5.16 a | ||
| Average | 290 | 252 | 237 | 7.07 | 6.18 | 5.13 | ||
| AWD | ET | Huangguaxian | 381 a | 271 a | 250 ab | 4.97 f | 4.17 h | 3.83 g |
| Yintiaoxian | 357 b | 268 ab | 258 a | 5.23 ef | 4.89 g | 4.39 f | ||
| Nanjing 1 | 351 bc | 260 abc | 252 ab | 5.48 de | 4.72 g | 4.48 f | ||
| Average | 363 | 266 | 253 | 5.23 | 4.59 | 4.23 | ||
| DG | Taizhongxian | 312 d | 256 abcd | 239 bc | 5.84 d | 5.29 f | 4.89 e | |
| Nanjing 11 | 356 b | 268 ab | 250 ab | 6.41 c | 5.75 e | 5.36 d | ||
| Zhenzhu’ai | 339 c | 252 bcde | 253 ab | 6.68 c | 6.32 cd | 5.44 d | ||
| Average | 336 | 259 | 247 | 6.31 | 5.79 | 5.23 | ||
| SDG | IR 24 | 339 c | 252 bcde | 262 a | 6.82 bc | 6.39 bcd | 5.44 d | |
| Yangdao 2 | 281 e | 246 cde | 239 bc | 7.18 ab | 6.14 d | 5.98 c | ||
| Yangdao 6 | 292 e | 259 abc | 232 cd | 7.31 a | 6.66 abc | 6.26 abc | ||
| Average | 304 | 253 | 244 | 7.10 | 6.40 | 5.89 | ||
| SDH | Yangliangyou 6 | 266 f | 235 e | 218 d | 7.18 ab | 6.18 d | 6.16 bc | |
| Liangyoupeijiu | 290 e | 241 de | 241 bc | 7.46 a | 6.72 ab | 6.46 ab | ||
| II you 084 | 265 f | 241 de | 222 d | 7.62 a | 6.93 a | 6.58 a | ||
| Average | 273 | 239 | 227 | 7.42 | 6.61 | 6.40 | ||
Publisher’s Note: MDPI stays neutral with regard to jurisdictional claims in published maps and institutional affiliations. |
© 2022 by the authors. Licensee MDPI, Basel, Switzerland. This article is an open access article distributed under the terms and conditions of the Creative Commons Attribution (CC BY) license (https://creativecommons.org/licenses/by/4.0/).
Share and Cite
Jing, W.; Wu, H.; Gu, H.; Xiao, Z.; Wang, W.; Zhang, W.; Gu, J.; Liu, L.; Wang, Z.; Zhang, J.; et al. Response of Grain Yield and Water Use Efficiency to Irrigation Regimes during Mid-Season indica Rice Genotype Improvement. Agriculture 2022, 12, 1647. https://doi.org/10.3390/agriculture12101647
Jing W, Wu H, Gu H, Xiao Z, Wang W, Zhang W, Gu J, Liu L, Wang Z, Zhang J, et al. Response of Grain Yield and Water Use Efficiency to Irrigation Regimes during Mid-Season indica Rice Genotype Improvement. Agriculture. 2022; 12(10):1647. https://doi.org/10.3390/agriculture12101647
Chicago/Turabian StyleJing, Wenjiang, Hao Wu, Hanzhu Gu, Zhilin Xiao, Weilu Wang, Weiyang Zhang, Junfei Gu, Lijun Liu, Zhiqin Wang, Jianhua Zhang, and et al. 2022. "Response of Grain Yield and Water Use Efficiency to Irrigation Regimes during Mid-Season indica Rice Genotype Improvement" Agriculture 12, no. 10: 1647. https://doi.org/10.3390/agriculture12101647
APA StyleJing, W., Wu, H., Gu, H., Xiao, Z., Wang, W., Zhang, W., Gu, J., Liu, L., Wang, Z., Zhang, J., Yang, J., & Zhang, H. (2022). Response of Grain Yield and Water Use Efficiency to Irrigation Regimes during Mid-Season indica Rice Genotype Improvement. Agriculture, 12(10), 1647. https://doi.org/10.3390/agriculture12101647

