Multi-Site Evaluation of Accumulated Temperature and Rainfall for Maize Yield and Disease in Loess Plateau
Abstract
1. Introduction
2. Materials and Methods
2.1. Collection of Meteorological Data
2.2. Field Experiment
2.2.1. Measurement Indicators and Methods
2.2.2. Yield and Yield Components
2.2.3. Disease Survey
2.3. Data Analysis
3. Results
3.1. Rainfall and Mean Temperature Trends—Annual and Growing Season
3.2. Fertility and Cumulative Processes in Different Regions
3.3. Agronomy and Disease Performance at Each Site
3.4. Production and Production Factors
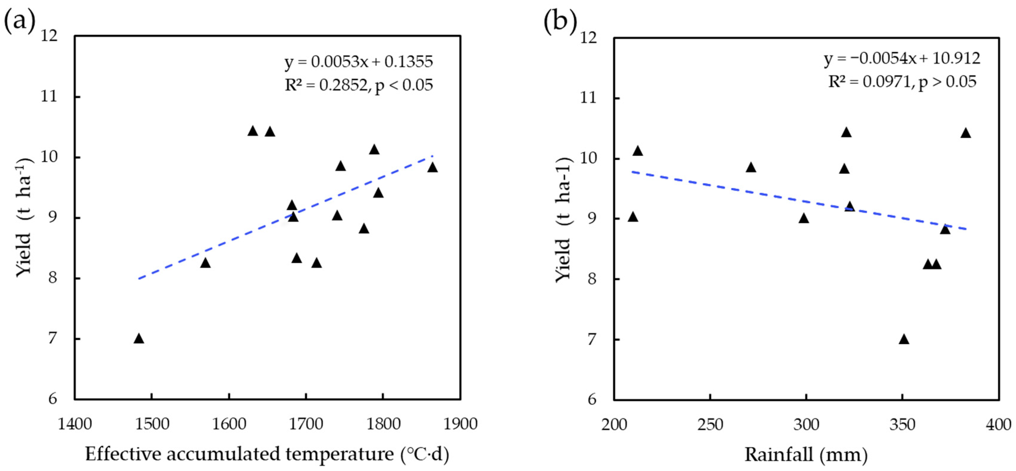
3.5. Effect of Climatic Conditions on Yield and Yield Factors in Maize
4. Discussion
4.1. Relationship between Accumulated Temperature and Yield in the Guanzhong Region
4.2. Relationship between Rainfall and Yield in the Guanzhong Region
4.3. Relationship between Climatic Factors, Incidence and Yield in the Guanzhong Region
5. Conclusions
Supplementary Materials
Author Contributions
Funding
Institutional Review Board Statement
Informed Consent Statement
Data Availability Statement
Acknowledgments
Conflicts of Interest
References
- IPCC. Climate Change 2014–Impacts, Adaptation and Vulnerability (Part A: Global and Sectoral Aspects); Cambridge University Press: Cambridge, UK; New York, NY, USA, 2014. [Google Scholar]
- Liu, K.; Nie, G.G.; Zhang, S.S. Spatiotemporal evolution of temperature and precipitation in China from 1951 to 2018. Adv. Earth Sci. 2020, 35, 1113–1126. (In Chinese) [Google Scholar]
- Gao, X.J.; Shi, Y.; Zhang, D.F.; Filippo, G. Climate change in China in the 21st century as simulated by a high resolution regional climate model. Chin. Sci. Bull. 2012, 57, 1188–1195. [Google Scholar] [CrossRef]
- Pan, X.D.; Zhang, L.; Huang, C.L. Future climate projection in northwest China with RegCM4.6. Earth Space Sci. 2020, 7, e2019EA000819. [Google Scholar] [CrossRef]
- Li, F.; Zhou, M.J.; Shao, J.Q.; Chen, Z.H.; Wei, X.L.; Yang, J.C. Maize, wheat and rice production potential changes in China under the background of climate change. Agric. Syst. 2020, 182, 102853. [Google Scholar]
- Wang, J.X.; Mendelsohn, R.; Dinar, A.; Huang, J.K.; Rozelle, S.; Zhang, L.J. The impact of climate change on China’s agriculture. Agric. Econ. 2009, 40, 323–337. [Google Scholar] [CrossRef]
- Zhang, Q.; Zhang, J.Q.; Guo, E.L.; Yan, D.H.; Sun, Z.Y. The impacts of long-term and year-to-year temperature change on corn yield in China. Theor. Appl. Climatol. 2015, 119, 77–82. [Google Scholar] [CrossRef]
- Wu, J.Z.; Zhang, J.; Ge, Z.M.; Xing, L.W.; Han, S.Q.; Shen, C.; Kong, F.T. Impact of climate change on maize yield in China from 1979 to 2016. J. Integr. Agric. 2021, 20, 289–299. [Google Scholar] [CrossRef]
- Xiao, D.P.; Liu, D.L.; Wang, B.; Feng, P.Y.; Tang, J.Z. Climate change impact on yields and water use of wheat and maize in the north China plain under future climate change scenarios. Agric. Water Manag. 2020, 238, 1–15. [Google Scholar] [CrossRef]
- Zhan, F.Y.; Li, H.; Zhang, J.H. Analysis of maize yield under climate change, adaptations in varieties and planting date in northeast China in recent thirty years. Int. J. Environ. Ecol. Eng. 2015, 9, 1106–1111. [Google Scholar]
- Chen, C.; Zhou, G.S.; Pang, Y.M. Impacts of climate change on maize and winter wheat yields in China from 1961 to 2010 based on provincial data. J. Agric. Sci. 2015, 153, 825–836. [Google Scholar] [CrossRef]
- Savary, S.; Willocquet, L.; Pethybridge, S.J.; Esker, P.; McRoberts, N.; Nelson, A. The global burden of pathogens and pests on major food crops. Nat. Ecol. Evol. 2019, 3, 1. [Google Scholar] [CrossRef]
- Wang, L.F.; Wang, Y.C.; Zhang, S.J.; Zhu, Z.K.; Zhang, H.Y.; Zhang, S.L. Resistance analysis of 25 corn varieties to stalk rot and evaluation of yield loss. Plant Dis. Pest. 2016, 7, 16–20. [Google Scholar]
- Sibiya, J.; Tongoona, P.; Derera, J.; Makanda, I. Smallholder farmers perceptions of maize diseases, pests, and other production constraints, their implications for maize breeding and evaluation of local maize cultivars in KwaZulu-Natal, South Africa. Afr. J. Agr. Res. 2013, 8, 1790–1798. [Google Scholar]
- Hooda, K.S.; Khokhar, M.K.; Shekhar, M.; Karjagi, C.G.; Kumar, B.; Mallikarjuna, N.; Devlash, R.K.; Chandrashekara, C.; Yadav, O.P. Turcicum leaf blight—Sustainable management of a re-emerging maize disease. J. Plant Dis. Prot. 2017, 124, 101–113. [Google Scholar] [CrossRef]
- Pant, S.K.; Kumar, P.; Chauhan, V.S. Effect of turcicum leaf blight on photosynthesis in maize. Indian Phytopathol. 2012, 54, 251–252. [Google Scholar]
- Schenck, N.C. Southern corn leaf blight development relative to temperature, moisture, and fungicide applications. Phytopathology 1974, 64, 619–624. [Google Scholar] [CrossRef]
- Nuberg, I.K.; Allen, R.N.; Colless, J.M.; Darnell, R.E. Field reactions of maize varieties commonly grown in Australia to boil smut caused by Ustilago zeae. Aust. J. Exp. Agr. 1986, 26, 481–488. [Google Scholar] [CrossRef]
- Li, Y.; Li, F.; Yang, F.S.; Xie, X.D.; Yin, L.C. Spatiotemporal impacts of climate change on food production: Case study of Shaanxi Province, China. Environ. Sci. Pollut. Res. 2020, 27, 19826–19835. [Google Scholar] [CrossRef] [PubMed]
- Djaman, K. Maize evapotranspiration, yield production functions, biomass, grain yield, harvest index, and yield response factors under full and limited irrigation. Trans. ASABE 2013, 56, 373–393. [Google Scholar] [CrossRef]
- Major, D.J.; Brown, D.M.; Bootsma, A.; Dupuis, G.; Fairey, N.A.; Grant, E.A.; Green, D.G.; Hamilton, R.I.; Langille, J.; Sonmor, L.G.; et al. An evaluation of the corn heat unit system for the short-season growing regions across Canada. Can. J. Plant Sci. 1983, 63, 121–130. [Google Scholar] [CrossRef]
- Hou, P.; Liu, Y.; Xie, R.Z.; Ming, B.; Ma, D.L.; Li, S.K.; Mei, X.R. Temporal and spatial variation in accumulated temperature requirements of maize. Field Crops Res. 2014, 158, 55–64. [Google Scholar] [CrossRef]
- Yu, J.L.; Qi, H.; Nie, L.X.; Zhang, W.J.; Zheng, H.B.; Liu, M.; Lin, Z.Q.; Gao, M.C. Effects of environment variables on maize yield and ear characters. Adv. Mat. Res. 2013, 726, 106–113. [Google Scholar] [CrossRef]
- Hu, Z.Z. Long-term climate variations in China and global warming signals. J. Geophys. Res. 2003, 108, 4614. [Google Scholar] [CrossRef]
- Li, F.; Zhou, M.J.; Hu, M. Climate change in different geographical units and its impact on land production potential: A case study of Shaanxi Province, China. Environ. Sci. Pollut. Res. 2019, 26, 22273–22283. [Google Scholar]
- Liu, Y.; Hou, P.; Xie, R.Z.; Hao, W.P.; Li, S.K.; Mei, X.R. Spatial variation and improving measures of the utilization efficiency of accumulated temperature. Crop. Sci. 2015, 55, 1806–1817. [Google Scholar] [CrossRef]
- Saddique, Q.; Cai, H.J.; Xu, J.T.; Ajaz, A.; He, J.Q.; Yu, Q.; Wang, Y.F.; Chen, H.; Khan, M.I.; Liu, D.L.; et al. Analyzing adaptation strategies for maize production under future climate change in Guanzhong Plain, China. Mitig. Adapt. Strateg. Glob. Chang. 2020, 25, 1523–1543. [Google Scholar] [CrossRef]
- Qin, X.L.; Li, Y.; Han, Y.; Hu, Y.; Li, Y.; Wen, X.X.; Liao, Y.C.; Siddique, K.H.M. Ridge-furrow mulching with black plastic film improves maize yield more than white plastic film in dry areas with adequate accumulated temperature. Agric. For. Meteorol. 2018, 262, 206–214. [Google Scholar] [CrossRef]
- Meng, W.; Li, Y.; Wei, Y.; Bornman, J.F.; Yan, X. Effects of climate change on maize production, and potential adaptation measures: A case study in JiLin Province, China. Clim. Res. 2011, 46, 223–246. [Google Scholar]
- Gxasheka, M.; Wang, J.; Tyasi, T.L.; Gao, J. Scientific understanding and effects on ear rot diseases in maize production: A review. Int. J. Soil Crop Sci. 2015, 3, 77–84. [Google Scholar]
- Mubeen, S.; Rafique, M.; Munis, M.F.H.; Chaudhary, H.J. Study of southern corn leaf blight (SCLB) on maize genotypes and its effect on yield. J. Saudi Soc. Agric. Sci. 2017, 16, 210–217. [Google Scholar] [CrossRef]
- Tefferi, A.; Hulluka, M.; Welz, H.G. Assessment of damage and grain yield loss in maize caused by northern leaf blight in western Ethiopia. Z. Pflanzenkr. Pflanzenschutz 1996, 103, 353–363. [Google Scholar]
- Wang, S.; Shi, F.M.; Pei, Z.J.; Liu, X.Y.; Lu, B.Y.; Liu, J.; Nie, J.D. Effects of climate change on maize diseases and insect pests in Heilongjiang Province. Heilongjing Nong Ye Ke Xue 2019, 42, 20–26. (In Chinese) [Google Scholar]
- Kim, T.; Son, M.H.; Rho, H.Y. Impact of Climate Change and Extreme Weather Events on Crop Pests and Diseases Using Spatial Econometric Approach. In Proceedings of the Georgia Agricultural and Applied Economics Association 2019 Annual Meeting, Atlanta, GA, USA, 21–23 July 2019. [Google Scholar]
- Elad, Y.; Pertot, I. Climate change impacts on plant pathogens and plant diseases. J. Crop Improv. 2014, 28, 99–139. [Google Scholar] [CrossRef]






| Site | Sowing-Emergence | Emergence-Tasseling | Tasseling-Silking | Silking-Maturity | Emergence-Maturity | Total Effective Accumulated Temperature |
|---|---|---|---|---|---|---|
| (°C·d) | (°C·d) | (°C·d) | (°C·d) | (°C·d) | (°C·d) | |
| 2017 | ||||||
| Fuping | 134.5 | 851.0 | 17.5 | 628.5 | 1497.0 | 1631.5 |
| Hancheng | 109.5 | 957.0 | 30.5 | 767.0 | 1754.5 | 1864.0 |
| Linwei | 115.0 | 874.5 | 36.5 | 662.0 | 1573.0 | 1688.0 |
| Sanyuan | 103.0 | 958.5 | 38.0 | 584.0 | 1580.5 | 1683.5 |
| Huxian | 109.0 | 997.0 | 38.0 | 570.0 | 1605.0 | 1714.0 |
| Fufeng | 122.0 | 915.5 | 31.5 | 612.5 | 1559.5 | 1681.5 |
| Qishan | 99.5 | 842.5 | 47.0 | 581.0 | 1470.5 | 1570.0 |
| 2018 | ||||||
| Fuping | 129.5 | 804.5 | 39.5 | 815.5 | 1659.5 | 1789.0 |
| Hancheng | 117.0 | 846.5 | 39.5 | 742.0 | 1628.0 | 1745.0 |
| Linwei | 119.5 | 871.5 | 22.0 | 780.5 | 1674.0 | 1793.5 |
| Sanyuan | 103.0 | 849.5 | 44.0 | 744.0 | 1637.5 | 1740.5 |
| Huxian | 112.5 | 799.5 | 44.0 | 819.5 | 1663.0 | 1775.5 |
| Fufeng | 118.5 | 718.0 | 19.5 | 797.0 | 1534.5 | 1653.0 |
| Qishan | 88.0 | 715.0 | 18.5 | 662.0 | 1395.5 | 1483.5 |
| Fuping | Hancheng | Linwei | Sanyuan | Huxian | Fufeng | Qishan | |
|---|---|---|---|---|---|---|---|
| 2017 | |||||||
| Plant height (cm) | 254.7 ± 11.8 ab | 248.2 ± 8.4 abc | 252.1 ± 15.3 abc | 223.4 ± 22.1 d | 237.8 ± 6.4 cd | 262.2 ± 6.8 a | 244.5 ± 10.0 bc |
| Ear height (cm) | 110.3 ± 2.6 a | 106.1 ± 7.2 ab | 102.2 ± 5.6 ab | 97.4 ± 8.3 b | 99.2 ± 8.0 b | 111.2 ± 7.1 a | 105.3 ± 10.2 ab |
| Lodging rate (%) | 1.2 ± 1.9 b | 1.1 ± 0.7 b | 0.8 ± 1.1 b | 0.0 ± 0.0 b | 9.8 ± 3.4 a | 0.0 ± 0.0 b | 0.0 ± 0.0 b |
| Fallback rate (%) | 1.9 ± 2.1 b | 13.8 ± 7.2 a | 0.9 ± 1.1 b | 0.0 ± 0.0 b | 0.5 ± 0.6 b | 0.0 ± 0.0b | 0.0 ± 0.0 b |
| 2018 | |||||||
| Plant height (cm) | 235.0 ± 6.4 b | 252.0 ± 10.7 a | 237.5 ± 12.8 b | 215.0 ± 13.8 c | 245.9 ± 8.1 ab | 255.0 ± 15.2 a | 246.0 ± 7.5 ab |
| Ear height (cm) | 101.3 ± 3.1 b | 116.6 ± 6.0 a | 99.2 ± 10.1 b | 96.2 ± 6.5 b | 99.0 ± 6.7 b | 96.0 ± 11.1 b | 102.0 ± 6.4 b |
| Lodging rate (%) | 0.0 ± 0.0 b | 0.0 ± 0.0 b | 0.0 ± 0.0 b | 0.0 ± 0.0 b | 13.4 ± 3.2 a | 0.0 ± 0.0 b | 0.0 ± 0.0 b |
| Fallback rate (%) | 0.0 ± 0.0 b | 0.0 ± 0.0 b | 0.0 ± 0.0 b | 0.0 ± 0.0 b | 3.2 ± 0.9 a | 0.0 ± 0.0 b | 0.0 ± 0.0 b |
| Correlation | Plant Height (cm) | Ear Height (cm) | Lodging Rate (%) | Fallback Rate (%) |
|---|---|---|---|---|
| Effective Accumulated Temperature (°C·d) | −0.201 | −0.081 | 0.011 | 0.482 |
| Rainfall (mm) | 0.547 | −0.078 | 0.434 | 0.141 |
| Site | Northern Leaf Blight (Grade) | Southern Leaf Blight (Grade) | Ear Rot (Grade) | Smut (%) | Stem Rot (%) |
|---|---|---|---|---|---|
| 2017 | |||||
| Fuping | 1.0 ± 0.0 b | 1.0 ± 0.0 a | 4.0 ± 1.1 a | 0.3 ± 0.3 b | 4.3 ± 3.3 a |
| Hancheng | 1.1 ± 0.4 b | 1.0 ± 0.0 a | 1.1 ± 0.4 b | 0.3 ± 0.6 b | 0.6 ± 1.0 b |
| Linwei | 1.0 ± 0.0 b | 1.0 ± 0.0 a | 1.3 ± 0.8 b | 0.1 ± 0.4 b | 1.2 ± 1.2 b |
| Sanyuan | 1.0 ± 0.0 b | 1.0 ± 0.0 a | 1.6 ± 1.0 b | 0.6 ± 0.7 b | 0.3 ± 0.8 b |
| Huxian | 1.3 ± 0.8 b | 1.0 ± 0.0 a | 1.0 ± 0.0 bc | 1.8 ± 0.8 a | 0.2 ± 0.3 b |
| Fufeng | - | - | 0.7 ± 1.4 b | - | - |
| Qishan | 2.3 ± 1.0 a | 1.3 ± 0.8 a | 0.0 ± 0.0 c | 0.0 ± 0.0 b | 0.0 ± 0.0 b |
| 2018 | |||||
| Fuping | 1.0 ± 0.0 b | 1.0 ± 0.0 b | 1.0 ± 0.0 a | 0.30 ± 0.73 ab | 0.00 ± 0.00 c |
| Hancheng | 1.0 ± 0.0 b | 1.0 ± 0.0 b | 1.3 ± 0.8 a | 0.00 ± 0.00 b | 3.25 ± 1.04 a |
| Linwei | 1.0 ± 0.0 b | 1.0 ± 0.0 b | 1.0 ± 0.0 a | 0.00 ± 0.00 b | 0.00 ± 0.00 c |
| Sanyuan | 1.0 ± 0.0 b | 1.0 ± 0.0 b | 1.0 ± 0.0 a | 0.73 ± 0.90 a | 1.63 ± 1.15 b |
| Huxian | 2.7 ± 0.8 a | 2.0 ± 1.1 a | 1.0 ± 0.0 a | 0.63 ± 0.57 ab | 0.32 ± 0.27 c |
| Fufeng | 2.0 ± 1.1 a | 1.3 ± 0.8 b | 1.0 ± 0.0 a | 0.17 ± 0.41 ab | 0.00 ± 0.00 c |
| Qishan | 2.0 ± 1.1 a | 1.0 ± 0.0 b | 1.0 ± 0.0 a | 0.00 ± 0.00 b | 0.00 ± 0.00 c |
| Correlation | Northern Leaf Blight (Grade) | Southern Leaf Blight (Grade) | Ear Rot (Grade) | Smut (%) | Stem Rot (%) |
|---|---|---|---|---|---|
| Effective Accumulated Temperature (℃·d) | −0.399 | 0.053 | −0.050 | 0.203 | −0.003 |
| Rainfall (mm) | 0.709 * | 0.481 | −0.094 | 0.092 | −0.289 |
Publisher’s Note: MDPI stays neutral with regard to jurisdictional claims in published maps and institutional affiliations. |
© 2021 by the authors. Licensee MDPI, Basel, Switzerland. This article is an open access article distributed under the terms and conditions of the Creative Commons Attribution (CC BY) license (https://creativecommons.org/licenses/by/4.0/).
Share and Cite
Wang, X.; Zhang, X.; Yang, M.; Gou, X.; Liu, B.; Hao, Y.; Xu, S.; Xue, J.; Qin, X.; Siddique, K.H.M. Multi-Site Evaluation of Accumulated Temperature and Rainfall for Maize Yield and Disease in Loess Plateau. Agriculture 2021, 11, 373. https://doi.org/10.3390/agriculture11040373
Wang X, Zhang X, Yang M, Gou X, Liu B, Hao Y, Xu S, Xue J, Qin X, Siddique KHM. Multi-Site Evaluation of Accumulated Temperature and Rainfall for Maize Yield and Disease in Loess Plateau. Agriculture. 2021; 11(4):373. https://doi.org/10.3390/agriculture11040373
Chicago/Turabian StyleWang, Xiaoyue, Xinghua Zhang, Mingxian Yang, Xiaonan Gou, Binbin Liu, Yinchuan Hao, Shutu Xu, Jiquan Xue, Xiaoliang Qin, and Kadambot H. M. Siddique. 2021. "Multi-Site Evaluation of Accumulated Temperature and Rainfall for Maize Yield and Disease in Loess Plateau" Agriculture 11, no. 4: 373. https://doi.org/10.3390/agriculture11040373
APA StyleWang, X., Zhang, X., Yang, M., Gou, X., Liu, B., Hao, Y., Xu, S., Xue, J., Qin, X., & Siddique, K. H. M. (2021). Multi-Site Evaluation of Accumulated Temperature and Rainfall for Maize Yield and Disease in Loess Plateau. Agriculture, 11(4), 373. https://doi.org/10.3390/agriculture11040373

