Intercropping Winter Lupin and Triticale Increases Weed Suppression and Total Yield
Abstract
1. Introduction
2. Materials and Methods
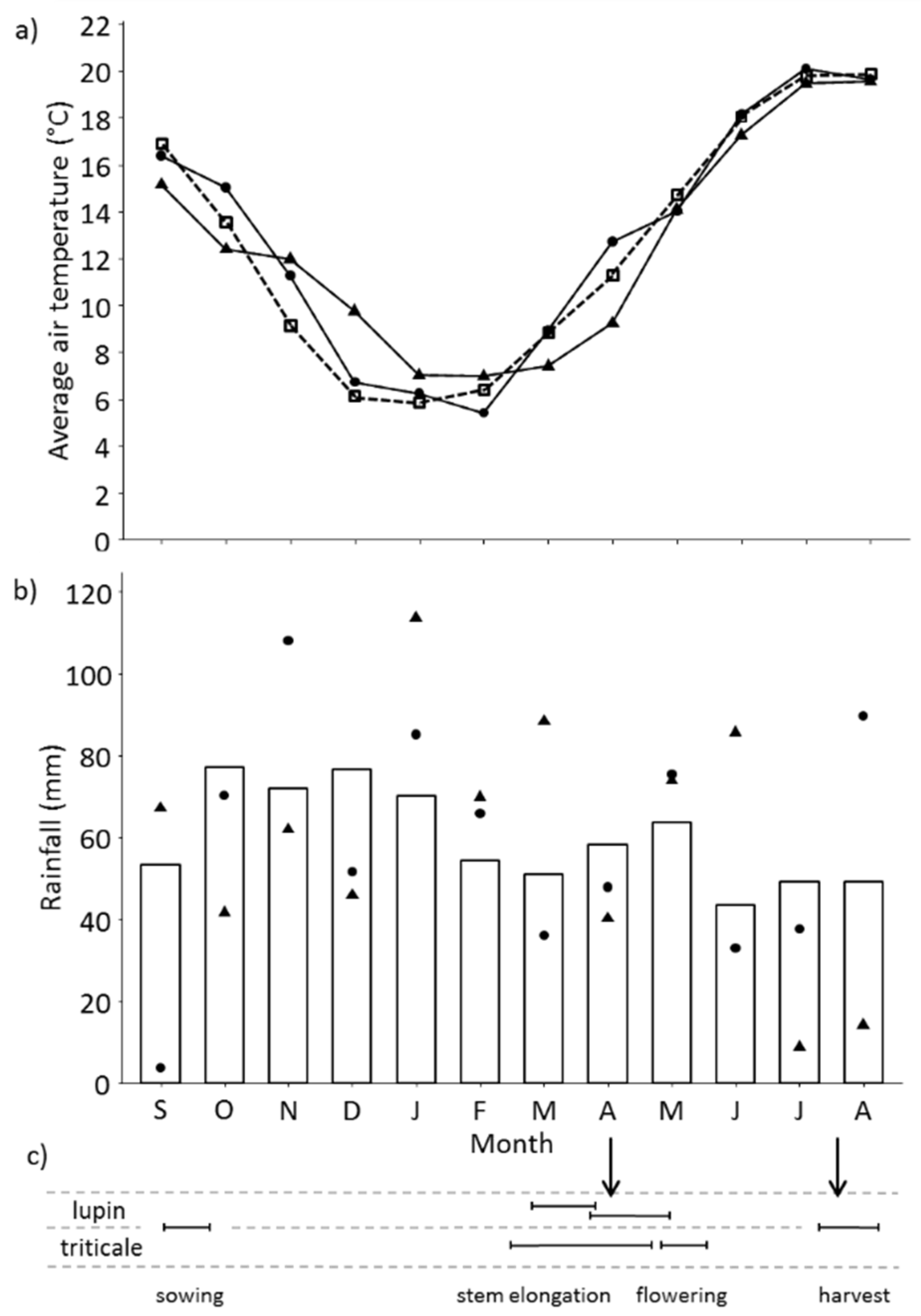
2.1. Field Sites
2.2. Measurements, Sampling and Analysis
2.3. Calculations
3. Results
3.1. Weed Suppression
3.2. Soil N Acquisition by Crops and Weeds before and after Flowering
3.3. Grain and Productivity Yield of the Lupin Sole and Intercrop
4. Discussion
4.1. Weed Reduction Allowed by the Addition of Triticale and Underlying Processes
4.2. Productivity of Intercropping Compared to Lupin Sole Cropping
4.3. Perspectives for the Use of Lupin-Based Intercrops
5. Conclusions
Author Contributions
Funding
Acknowledgments
Conflicts of Interest
References
- De Visser, C.L.; Schreuder, R.; Stoddard, F. The EU’s dependency on soya bean import for the animal feed industry and potential for EU produced alternatives. OCL 2014, 21, D407. [Google Scholar] [CrossRef]
- Van Barneveld, R.J. Understanding the nutritional chemistry of lupin (Lupinus spp.) seed to improve livestock production efficiency. Nutr. Res. Rev. 1999, 12, 203–230. [Google Scholar] [CrossRef] [PubMed]
- Lucas, M.M.; Stoddard, F.; Annicchiarico, P.; Frias, J.; Martinez-Villaluenga, C.; Sussmann, D.; Duranti, M.; Seger, A.; Zander, P.; Pueyo, J. The future of lupin as a protein crop in Europe. Front. Plant Sci. 2015, 6, 705. [Google Scholar] [CrossRef] [PubMed]
- Herridge, D.F.; Peoples, M.B.; Boddey, R.M. Global inputs of biological nitrogen fixation in agricultural systems. Plant Soil 2008, 311, 1–18. [Google Scholar] [CrossRef]
- FAO. FAOSTAT. (Ed Food and Agriculture Organization of the United Nations). 2017. Available online: www.Fao.org/faostat/en/# (accessed on 3 August 2017).
- Cernay, C.; Ben-Ari, T.; Pelzer, E.; Meynard, J.M.; Makowski, D. Estimating variability in grain legume yields across Europe and the Americas. Sci. Rep. 2015, 5, 11171. [Google Scholar] [CrossRef]
- Putnam, D.H.; Wright, J.; Field, L.A.; Ayisi, K.K. Seed yield and water-use efficiency of white lupin as influenced by irrigation, row spacing, and weeds. Agron. J. 1992, 84, 557–563. [Google Scholar] [CrossRef]
- Folgart, A.; Price, A.; Van Santen, E.; Wehtje, G. Organic weed control in white lupin (Lupinus albus, L.). Renew. Agr. Food Syst. 2011, 26, 193–199. [Google Scholar] [CrossRef]
- Jensen, E.S. Grain yield, symbiotic N2 fixation and interspecific competition for inorganic N in pea-barley intercrops. Plant Soil 1996, 182, 25–38. [Google Scholar] [CrossRef]
- Hauggaard-Nielsen, H.; Gooding, M.; Ambus, P.; Corre-Hellou, G.; Crozat, Y.; Dahlmann, C.; Dibet, A.; von Fragstein, P.; Pristeri, A.; Monti, M.; et al. Pea–barley intercropping for efficient symbiotic N2-fixation, soil N acquisition and use of other nutrients in European organic cropping systems. Field Crop. Res. 2009, 113, 64–71. [Google Scholar] [CrossRef]
- Bedoussac, L.; Journet, E.P.; Hauggaard-Nielsen, H.; Naudin, C.; Corre-Hellou, G.; Jensen, E.S.; Prieur, L.; Justes, E. Ecological principles underlying the increase of productivity achieved by cereal-grain legume intercrops in organic farming. A review. Agron. Sustain. Dev. 2015, 35, 911–935. [Google Scholar] [CrossRef]
- Risch, S.J. Intercropping as cultural pest control: Prospects and limitations. Environ. Manag. 1983, 7, 9–14. [Google Scholar] [CrossRef]
- Boudreau, M.A. Diseases in Intercropping Systems. Annu. Rev. Phytopathol. 2013, 51, 499–519. [Google Scholar] [CrossRef] [PubMed]
- Liebman, M.; Dyck, E. Crop rotation and intercropping strategies for weed management. Ecol. Appl. 1993, 3, 92–122. [Google Scholar] [CrossRef] [PubMed]
- Hauggaard-Nielsen, H.; Ambus, P.; Jensen, E.S. Interspecific competition, N use and interference with weeds in pea-barley intercropping. Field Crop. Res. 2001, 70, 101–109. [Google Scholar] [CrossRef]
- Corre-Hellou, G.; Dibet, A.; Hauggaard-Nielsen, H.; Crozat, Y.; Gooding, M.; Ambus, P.; Dahlmann, C.; von Fragstein, P.; Pristeri, A.; Monti, M.; et al. The competitive ability of pea-barley intercrops against weeds and the interactions with crop productivity and soil N availability. Field Crop. Res. 2011, 122, 264–272. [Google Scholar] [CrossRef]
- Bohm, H.; Aulrich, K. Effects of row distances and seed densities on yield and quality of blue lupin (L. Augustifolius) in organic farming. In Proceedings of the 13th International Lupin Conference, Poznan, Poland; Naganowska, B., Kachlicki, P., Wolko, B., Eds.; International Lupin Association: Temuco, Chile, 2011. [Google Scholar]
- Carton, N.; Naudin, C.; Piva, G.; Corre-Hellou, G. Variability of traits associated with early N acquisition in lupin and early complementarity in lupin-triticale mixed stands. Aob. Plants 2018, 10, ply001. [Google Scholar] [CrossRef]
- ISO. Soil quality—Determination of Nitrate, Nitrite and Ammonium in Field-Moist Soils by Extraction with Potassium Chloride Solution—Part 2: Automated Method with Segmented Flow Analysis; International Organization for Standardization: Geneva, Switzerland, 2005. [Google Scholar]
- Amarger, N.; Mariotti, A.; Mariotti, F.; Durr, J.C.; Bourguignon, C.; Lagacherie, B. Estimate of symbiotically fixed nitrogen in field grown soybeans using variations in 15N Natural abundance. Plant Soil 1979, 52, 269–280. [Google Scholar] [CrossRef]
- Komsta, L. Outliers: Tests for Outliers. Available online: http://www.komsta.net/ (accessed on 24 January 2011).
- Benjamini, Y.; Hochberg, Y. Controlling the false discovery rate: A practical and powerful approach to multiple testing. J. R. Stat. Soc. Ser. B (Methodol.) 1995, 57, 289–300. [Google Scholar] [CrossRef]
- R Core Team. R: A Language and Environment for Statistical Computing; R Foundation for Statistical Computing: Vienna, Austria, 2013; Available online: http://www.R-project.org/ (accessed on 2 September 2016).
- Gronle, A.; Böhm, H.; Heß, J. Effect of intercropping winter peas of differing leaf type and time of flowering on annual weed infestation in deep and shallow ploughed soils and on pea pests. Landbauforschung Volkenrode. 2014, 64, 31–44. [Google Scholar] [CrossRef]
- Hauggaard-Nielsen, H.; Ambus, P.; Jensen, E.S. Temporal and spatial distribution of roots and competition for nitrogen in pea-barley intercrops—A field study employing 32P technique. Plant Soil 2001, 236, 63–74. [Google Scholar] [CrossRef]
- Andersen, M.K.; Hauggaard-Nielsen, H.; Ambus, P.; Jensen, E.S. Biomass production, symbiotic nitrogen fixation and inorganic N use in dual and tri-component annual intercrops. Plant Soil 2004, 266, 273–287. [Google Scholar] [CrossRef]
- Corre-Hellou, G.; Crozat, Y. Assessment of Root System Dynamics of Species Grown in Mixtures under Field Conditions using Herbicide Injection and 15N Natural Abundance Methods: A Case Study with Pea, Barley and Mustard. Plant Soil 2005, 276, 177–192. [Google Scholar] [CrossRef]
- Corre-Hellou, G.; Brisson, N.; Launay, M.; Fustec, J.; Crozat, Y. Effect of root depth penetration on soil nitrogen competitive interactions and dry matter production in pea–barley intercrops given different soil nitrogen supplies. Field Crop. Res. 2007, 103, 76–85. [Google Scholar] [CrossRef]
- Hauggaard-Nielsen, H.; Jørnsgaard, B.; Kinane, J.; Jensen, E.S. Grain legume–cereal intercropping: The practical application of diversity, competition and facilitation in arable and organic cropping systems. Renew. Agric. Food Syst. 2008, 23, 3–12. [Google Scholar] [CrossRef]
- Abraham, C.; Singh, S. Weed management in sorghum-legume intercropping systems. J. Agric. Sci. 1984, 103, 103–115. [Google Scholar] [CrossRef]
- Schwinning, S.; Weiner, J. Mechanisms determining the degree of size asymmetry in competition among plants. Oecologia 1998, 113, 447–455. [Google Scholar] [CrossRef]
- Weiner, J.; Griepentrog, H.W.; Kristensen, L. Suppression of weeds by spring wheat Triticum aestivum increases with crop density and spatial uniformity. J. Appl. Ecol. 2001, 38, 784–790. [Google Scholar] [CrossRef]
- Olsen, J.M.; Griepentrog, H.W.; Nielsen, J.; Weiner, J. How important are crop spatial pattern and density for weed suppression by spring wheat? Weed Sci. 2012, 60, 501–509. [Google Scholar] [CrossRef]
- Bellostas, N.; Hauggaard-Nielsen, H.; Andersen, M.K.; Jensen, E.S. Early interference dynamics in intercrops of pea, barley and oilseed rape. Biol. Agric. Hortic. 2003, 21, 337–348. [Google Scholar] [CrossRef]
- Reiss, A.; Fomsgaard, I.S.; Mathiassen, S.K.; Kudsk, P. Weed suppressive traits of winter cereals: Allelopathy and competition. Biochem. Syst. Ecol. 2018, 76, 35–41. [Google Scholar] [CrossRef]
- Brooker, R.W.; Bennett, A.E.; Cong, W.F.; Daniell, T.J.; George, T.S.; Hallett, P.D.; Hawes, C.; Iannetta, P.P.M.; Jones, H.G.; Karley, A.J.; et al. Improving intercropping: A synthesis of research in agronomy, plant physiology and ecology. New Phytol. 2015, 206, 107–117. [Google Scholar] [CrossRef] [PubMed]
- Damour, G.; Dorel, M.; Quoc, H.T.; Meynard, C.; Risède, J.M. A trait-based characterization of cover plants to assess their potential to provide a set of ecological services in banana cropping systems. Eur. J. Agron. 2014, 52, 218–228. [Google Scholar] [CrossRef]
- Corre-Hellou, G.; Fustec, J.; Crozat, Y. Interspecific competition for soil N and its interaction with N2 fixation, leaf expansion and crop growth in pea-barley intercrops. Plant Soil 2006, 282, 195–208. [Google Scholar] [CrossRef]
- Naudin, C.; Corre-Hellou, G.; Pineau, S.; Crozat, Y.; Jeuffroy, M.H. The effect of various dynamics of N availability on winter pea-wheat intercrops: Crop growth, N partitioning and symbiotic N2 fixation. Field Crop. Res. 2010, 119, 2–11. [Google Scholar] [CrossRef]
- Yunusa, I. Effects of planting density and plant arrangement pattern on growth and yields of maize (Zea mays, L.) and soya bean (Glycine max (L.) Merr.) grown in mixtures. J. Agric. Sci. 1989, 112, 1–8. [Google Scholar] [CrossRef]
- Kristensen, L.; Olsen, J.; Weiner, J. Crop density, sowing pattern, and nitrogen fertilization effects on weed suppression and yield in spring wheat. Weed Sci. 2008, 56, 97–102. [Google Scholar] [CrossRef]
- Willey, R. Intercropping—its importance and research needs: Part 1. Competition and yield advantages. Field Crop Abstr. 1979, 32, 1–10. [Google Scholar]
- Naudin, C.; Aveline, A.; Corre-Hellou, G.; Dibet, A.; Jeuffroy, M.H.; Crozat, Y. Agronomic analysis of the performance of spring and winter cereal-legume intercrops in organic farming. J. Agric. Sci. Technol. 2009, 3, 17–28. [Google Scholar]
- Gooding, M.J.; Kasyanova, E.; Ruske, R.; Hauggaard-Nielsen, H.; Jensen, E.S.; Dahlmann, C.; von Fragstein, P.; Dibet, A.; Corre-Hellou, G.; Crozat, Y.; et al. Intercropping with pulses to concentrate nitrogen and sulphur in wheat. J. Agric. Sci. 2007, 145, 469–479. [Google Scholar] [CrossRef]
- Bedoussac, L.; Justes, E. The efficiency of a durum wheat-winter pea intercrop to improve yield and wheat grain protein concentration depends on N availability during early growth. Plant Soil 2010, 330, 19–35. [Google Scholar] [CrossRef]
- Hauggaard-Nielsen, H.; Jensen, E.S. Evaluating pea and barley cultivars for complementarity in intercropping at different levels of soil N availability. Field Crop. Res. 2001, 72, 185–186. [Google Scholar] [CrossRef]








| Year | 2015 | 2016 | |||||||||
|---|---|---|---|---|---|---|---|---|---|---|---|
| Site | A | B | C | D | E | F | G | H | I | J | K |
| Location | 47.40 N, 1.32 W | 47.87 N, 0.20 E | 47.51 N, 1.48 W | 47.06 N, 1.31 W | 47.46 N, 1.23 W | 47.64 N, 1.51 W | 47.53 N, 1.03 W | 47.47 N, 0.40 W | 47.39 N, 1.33 W | 47.51 N, 1.48 W | 47.78 N, 1.45 W |
| Experimental design | strips | blocks | strips | blocks | strips | strips | strips | blocks | strips | strips | blocks |
| Soil texture | Loam | sand | silt loam | sandy loam | loam | silt loam | loam | sand | loam | silt loam | silt loam |
| Sowing date (day/month) | 27/09 | 25/09 | 13/09 | 26/09 | 5/10 | 2/10 | 30/09 | 1/10 | 25/09 | 23/09 | 29/09 |
| Varieties: Lupin Triticale | Lumen Ragtac | Clovis Kaulos | Clovis Ragtac | Clovis Ragtac | Lumen Ragtac | Lumen Ragtac | Lumen -Clovis (50% mix) Ragtac | Magnus Vuka | Orus Ragtac | Lumen Ragtac | Magnus Ruminac |
| Sowing density (kernels·m−2): Lupin Triticale | 28 75 | 25 75 | 30 70 | 25 70 | 27 72 | 31 70 | 25 87 | 30 75 | 30 60 | 25 75 | 25 75 |
| Triticale sowing | close to lupin rows | same rows | same rows | alternating rows | alternating rows | alternating rows | same rows | alternating rows | close to lupin rows | same rows | alternating rows |
| Preceding crop | winter wheat | winter wheat | winter wheat | winter barley | winter wheat | winter wheat | winter wheat | rapeseed | winter wheat | winter wheat | forage maize |
| Weed control C: chemical M: mechanical (number of operations) | C (1) M (1) | C (1) | C (1) | C (2) | C (2) | C (1) | C (1) | 0 | C (1) | C (1) | C (2) |
| Lupin plant density after winter in the sole crop (pl·m2) | 17 | n.d. | 40 | n.d. | 27 | 24 | 14 | 29 | 26 | 22 | n.d. |
| Lupin plant density after winter in the intercrop (pl·m2) | 20 | n.d. | 21 | n.d. | 24 | 41 | 14 | 26 | 24 | 17 | n.d. |
| Available N at sowing (0–90 cm) (kg·ha−1) | 81 | n.d. | 119 | n.d. | 67 | 206 | 121 | 95 | 104 | 124 | n.d. |
| Weed Biomass (g·m2) | Crop Biomass at Lupin Flowering (g·m2) | Lupin Grain Yield (g·m2) | Total Grain Yield (g·m²) | |||||||||||||||||||
|---|---|---|---|---|---|---|---|---|---|---|---|---|---|---|---|---|---|---|---|---|---|---|
| At Lupin Flowering | at Maturity | Lupin | Crop Total | |||||||||||||||||||
| Site | Treatment | Mean | SD | Global t-test | WR (%) | Mean | SD | Global t-test | WR (%) | Mean | SD | Global t-test | Mean | SD | Global t-test | Mean | SD | Per Site t-test | Mean | SD | Per Site t-test | |
| A | Lupin SC | 34 | 25 | n.s. | 53 | 264 | 131 | *** | 90 | 74 | 33 | n.s. | 74 | 33 | *** | 33 | 21 | n.s. | 33 | 21 | * | |
| IC | 16 | 20 | 26 | 17 | 51 | 5 | 424 | 93 | 53 | 13 | 248 | 39 | ||||||||||
| B | Lupin SC | 160 | 34 | * | 47 | 311 | 97 | *** | 63 | 80 | 53 | n.s. | 80 | 53 | *** | 236 | 117 | n.s. | 236 | 117 | n.s. | |
| IC | 85 | 48 | 117 | 26 | 122 | 56 | 302 | 133 | 315 | 161 | 462 | 163 | ||||||||||
| C | Lupin SC | 109 | 37 | n.s. | 67 | 47 | 58 | n.s. | 37 | 528 | 58 | *** | 528 | 59 | *** | 271 | 80 | n.s. | 271 | 80 | n.s. | |
| IC | 35 | 22 | 30 | 11 | 196 | 57 | 852 | 34 | 118 | 6 | 228 | 111 | ||||||||||
| D | Lupin SC | 19 | 18 | n.s. | 81 | 17 | 30 | n.s. | 79 | 333 | 129 | *** | 333 | 129 | *** | 370 | 82 | n.s. | 370 | 82 | n.s. | |
| IC | 4 | 5 | 4 | 6 | 206 | 88 | 898 | 302 | 227 | 82 | 523 | 62 | ||||||||||
| E | Lupin SC | 86 | 50 | n.s. | 79 | 259 | 86 | *** | 99 | 117 | 40 | n.s. | 117 | 40 | *** | 381 | 102 | * | 381 | 102 | n.s. | |
| IC | 18 | 10 | 3 | 2 | 77 | 17 | 501 | 103 | 123 | 31 | 608 | 30 | ||||||||||
| F | Lupin SC | 111 | 67 | * | 97 | 267 | 24 | n.s. | 100 | 243 | 75 | *** 1 | 243 | 75 | *** | 445 | 21 | * | 445 | 21 | n.s. | |
| IC | 3 | 4 | 0 | 0 | 399 | 25 | 1070 | 126 | 401 | 8 | 628 | 72 | ||||||||||
| G | Lupin SC | 221 | 51 | * | 45 | 567 | 90 | ** | 25 | 59 | 32 | n.s. | 59 | 32 | *** | 75 | 43 | n.s. | 75 | 43 | n.s. | |
| IC | 122 | 47 | 424 | 49 | 47 | 22 | 386 | 13 | 40 | 8 | 68 | 10 | ||||||||||
| H | Lupin SC | 235 | 52 | *** | 70 | 263 | 75 | *** | 85 | 154 | 34 | n.s. | 154 | 34 | *** | 218 | 86 | n.s. | 218 | 86 | * | |
| IC | 71 | 42 | 40 | 29 | 111 | 21 | 552 | 167 | 183 | 43 | 399 | 55 | ||||||||||
| I | Lupin SC | 29 | 25 | n.s. | 37 | 23 | 28 | n.s. | −70 | 325 | 47 | *** | 325 | 47 | n.s. | 259 | 9 | n.s. | 259 | 9 | n.s. | |
| IC | 19 | 13 | 40 | 11 | 160 | 19 | 430 | 46 | 208 | 54 | 285 | 37 | ||||||||||
| J | Lupin SC | 55 | 26 | n.s. | 45 | 48 | 42 | n.s. | −73 | 355 | 70 | *** | 355 | 70 | ** | 301 | 53 | * | 301 | 53 | n.s. | |
| IC | 31 | 20 | 83 | 59 | 113 | 31 | 550 | 62 | 181 | 25 | 278 | 40 | ||||||||||
| K | Lupin SC | 40 | 74 | n.s. | 73 | 0 | 0 | n.s. | n.a. | 445 | 55 | *** | 445 | 55 | *** | 663 | 154 | * | 663 | 154 | n.s. | |
| IC | 11 | 5 | 0 | 0 | 300 | 76 | 999 | 112 | 299 | 42 | 621 | 57 | ||||||||||
| Sites | SC/IC | List of Weed Species |
|---|---|---|
| A | SC | Atriplex patula, Epilobium tetragonum, Polygonum aviculare |
| IC | Attiplex patula, Epilobium tetragonum | |
| B | SC | Erodium cicutarium, Fallopia convolvulus, Juncus bufonius, Poa annua, Senecio vulgaris, Viola arvensis, Conyza sumatrensis |
| IC | Erodium cicutarium, Fallopia convolvulus, Juncus bufonius, Poa annua, Senecio vulgaris, Viola arvensis | |
| C | SC | Hypericum perforatum, Poa annua, Atriplex patula, Epilobium tetragonum, Polygonum aviculare, Ranunculus sardous, Senecio vulgaris |
| IC | Poa annua, Phleum pratense | |
| D | SC | Hypericum perforatum, Polygonum aviculare, Stellaria media, Atriplex patula, Chenopodium album, Conyza sumatrensis, Epilobium tetragonum, Poa annua, Portulaca oleracea, Ranunculus sardous |
| IC | Hypericum perforatum, Poa annua, Ranunculus sardous | |
| E | SC | Juncus bufonius, Lysimachia arvensis, Epilobium tetragonum, Hypericum perforatum, Poa annua, Ranunculus |
| IC | Raphanus raphanistrum, Epilobium tetragonum, Geranium dissectum, Ranunculus sardous, Senecio vulgaris | |
| F | SC | Hypericum perforatum, Juncus bufonius, Geranium dissectum, Epilobium tetragonum, Fallopia convolvulus, Tripleurospermum inodorum, Poa annua, Polygonum aviculare, Ranunculus sardous, Senecio vulgaris |
| IC | Hypericum perforatum, Juncus bufonius, Tripleurospermum inodorum, Poa annua, Polygonum aviculare, Ranunculus sardous | |
| G | SC | Bromus mollis, Tripleurospermum inodorum, Poa annua, Arabidopsis thaliana, Daucus carota, Fumaria officinalis, Rumex crispus |
| IC | Dactylis glomerata, Tripleurospermum inodorum, Poa annua, Aphanes arvensis, Rumex crispus | |
| H | SC | Poa annua, Juncus bufonius, Senecio vulgare, Arabidopsis thaliana, Capsella bursa-pastoris, Conyza sumatrensis, Tripleurospermum inodorum, Sonchus asper |
| IC | Poa annua, Juncus bufonius, Senecio vulgare, Arabidopsis thaliana, Capsella bursa-pastoris, Tripleurospermum inodorum | |
| I | SC | Juncus bufonius, Poa annua, Polygonum aviculare, Stellaria media, Veronica hederifolia |
| IC | Juncus bufonius, Poa annua, Polygonum aviculare, Daucus carota, Hypericum perforatum, Ranunculus sardous | |
| J | SC | Daucus carota, Poa annua |
| IC | Daucus carota, Poa trivialis | |
| K | SC | Elytrigia repens |
| IC | Elytrigia repens |
| From Sowing until Lupin Flowering | From Lupin Flowering until Maturity | ||||
|---|---|---|---|---|---|
| Crops | Weeds | Crops | Weeds | ||
| Biomass production (g·m−2) | Lupin SC | 247 (162) | 100 (76) | 526 (285) | 66 (138) |
| IC total | 633 (270) | 38 (38) | 494 (263) | 32 (93) | |
| Lupin in IC | 162 (109) | 307 (180) | |||
| Triticale in IC | 471 (181) | 187 (201) | |||
| comparisons | Lupin SC-IC total | t10 = 6.3 *** | t10 = −4.2 ** | t10 = 0.4 (n.s.) | t10 = −1.1 (n.s.) |
| Lupin SC - Lupin in IC | t10 = −2.1 (n.s.) | t10 = −3.3 ** | |||
| Lupin in IC - Triticale in IC | t10 = −7.9 *** | t10 = 1.4 (n.s.) | |||
| Soil N uptake (g·m-2) | Lupin SC | 2.5 (1.6) | 1.9 (1.0) | 6.7 (6.9) | 0.4 (2.0) |
| IC total | 7.0 (3.2) | 0.7 (0.6) | 3.5 (3.6) | 0.5 (1.6) | |
| Lupin in IC | 0.9 (0.9) | 3.0 (3.2) | |||
| Triticale in IC | 6.2 (2.7) | 0.5 (2.5) | |||
| Comparisons | Lupin SC - IC total | t10 = 7.4 *** | t10 = − 5.5 *** | V = 6 * | t10 = 0.3 (n.s.) |
| Lupin SC - Lupin in IC | t10 = −4.8 *** | V = 5 ** | |||
| Lupin in IC - Triticale in IC | t10 = −7.4 *** | t10 = 1.9 (n.s.) | |||
| Site | Treatment | Soil Mineral N Content in the End of Winter (kg·ha−1) | Lupin %Ndfa at Flowering | Lupin %Ndfa at Maturity |
|---|---|---|---|---|
| A | Lupin SC | 83 | 45 | 56 |
| IC | 78 | 95 | 69 | |
| B | Lupin SC | 18 | 77 | 79 |
| IC | n.d. | 85 | 84 | |
| C | Lupin SC | 72 | 75 | 69 |
| IC | 45 | 81 | 74 | |
| D | Lupin SC | 32 | 78 | 81 |
| IC | n.d. | 95 | 100 | |
| E | Lupin SC | 72 | 46 | 66 |
| IC | 37 | 98 | 99 | |
| F | Lupin SC | 86 | 49 | 62 |
| IC | 38 | 80 | 75 | |
| G | Lupin SC | 31 | 78 | 73 |
| IC | 28 | 79 | 71 | |
| H | Lupin SC | 25 | 89 | 71 |
| IC | 25 | 94 | 76 | |
| I | Lupin SC | 39 | 60 | 47 |
| IC | 50 | 56 | 44 | |
| J | Lupin SC | 61 | 68 | 24 |
| IC | 43 | 74 | 37 | |
| K | Lupin SC | 67 | 65 | 50 |
| IC | n.d. | 85 | 70 | |
| mean | Lupin SC | 53 | 66 | 62 |
| IC | 43 | 84 | 73 | |
| SD | Lupin SC | 25 | 15 | 17 |
| IC | 16 | 12 | 19 | |
| comparison | t7 = −2.2 n.s. | t10 = 3.0 * | t10 = 3.4 ** | |
© 2020 by the authors. Licensee MDPI, Basel, Switzerland. This article is an open access article distributed under the terms and conditions of the Creative Commons Attribution (CC BY) license (http://creativecommons.org/licenses/by/4.0/).
Share and Cite
Carton, N.; Naudin, C.; Piva, G.; Corre-Hellou, G. Intercropping Winter Lupin and Triticale Increases Weed Suppression and Total Yield. Agriculture 2020, 10, 316. https://doi.org/10.3390/agriculture10080316
Carton N, Naudin C, Piva G, Corre-Hellou G. Intercropping Winter Lupin and Triticale Increases Weed Suppression and Total Yield. Agriculture. 2020; 10(8):316. https://doi.org/10.3390/agriculture10080316
Chicago/Turabian StyleCarton, Nicolas, Christophe Naudin, Guillaume Piva, and Guénaëlle Corre-Hellou. 2020. "Intercropping Winter Lupin and Triticale Increases Weed Suppression and Total Yield" Agriculture 10, no. 8: 316. https://doi.org/10.3390/agriculture10080316
APA StyleCarton, N., Naudin, C., Piva, G., & Corre-Hellou, G. (2020). Intercropping Winter Lupin and Triticale Increases Weed Suppression and Total Yield. Agriculture, 10(8), 316. https://doi.org/10.3390/agriculture10080316

