Next Article in Journal
Italian Zeolitites in the Control of Grey Mould and Sour Rot and Their Effect on Leaf Reflectance, Grape and Wine
Previous Article in Journal
Evaluation of the Agronomic Traits of 80 Accessions of Proso Millet (Panicum miliaceum L.) under Mediterranean Pedoclimatic Conditions
 
 
Font Type:
Arial Georgia Verdana
Font Size:
Aa Aa Aa
Line Spacing:
Column Width:
Background:
Article

Maize Yield Components as Affected by Plant Population, Planting Date and Soil Coverings in Brazil

by
Gustavo Castilho Beruski
1,*,
Luis Miguel Schiebelbein
2 and
André Belmont Pereira
2
1
Department of Biosystems Engineering, ESALQ/University of São Paulo, 11 Pádua Dias Ave., Mail Box 9, Piracicaba, SP 13635-900, Brazil
2
Department of Soil Science and Agricultural Engineering, State University of Ponta Grossa, 4748 Carlos Cavalcanti Ave., Uvaranas, Ponta Grossa, PR 84030-900, Brazil
*
Author to whom correspondence should be addressed.
Agriculture 2020, 10(12), 579; https://doi.org/10.3390/agriculture10120579
Submission received: 3 October 2020 / Revised: 13 November 2020 / Accepted: 16 November 2020 / Published: 25 November 2020
(This article belongs to the Section Crop Production)

Abstract

The potential yield of annual crops is affected by management practices and water and energy availabilities throughout the crop season. The current work aimed to assess the effects of plant population, planting dates and soil covering on yield components of maize. Field experiments were carried out during the 2014–2015 and 2015–2016 growing seasons at areas grown with oat straw, voluntary plants and bare soil, considering five plant populations (40,000, 60,000, 80,000, 100,000 and 120,000 plants ha−1) and three sowing dates (15 September, 30 October and 15 December) for the hybrid P30F53YH in Ponta Grossa, State of Paraná, Brazil. Non-impacts of soil covering or plant population on plant height at the flowering phenological stage were observed. Significant effects of soil covering on yield components and final yield responses throughout the 2014–2015 season were detected. An influence of plant populations on yield components was evidenced, suggesting that, from 80,000 plants ha−1, the P30F53YH hybrid performs a compensatory effect among assessed yield components in such a way as to not compromise productivity insofar as the plant population increases up to 120,000 plants ha−1. It was noticed, a positive trend of yield components and crop final yield as a function of plant density increments.

1. Introduction

Final productivity of a crop turns out to be an ultimate result of interactions among all their yield components at different agricultural ecosystems. Therefore, any environmental conditions that are conducive to variations in such components might be able to impinge significant impacts upon the expression of crop productivity at a specific site.
For the maize crop, the potential compensation among yield components might be expressed as a function of variations in the plant population [1] and sowing dates [2], which will, in turn, condition prevailing regimes of meteorological variables throughout the whole crop-growing season at a local scale [3]. Meteorological conditions in conjunction with management systems and plant populations lead to different productive potentials. [4], scrutinizing the influence of local meteorological variables associated with plant population, obtained coefficients of correlation of 0.93, 0.96, and 0.96 between crop yield and cumulative solar radiation flux density, air temperature and number of days of the crop cycle, respectively. The same authors observed that a different plant population, ranging from 75,000 and 120,000 plants ha−1, culminated in maximum biological and economical yields for maize.
Impacts of local meteorological variables on maize crop growth and development may also be quite intensified by extreme environmental conditions, mainly regarding the occurrence of thermal and water stress episodes throughout different physiological stages of the crop. Apart from the influence of climate and weather patterns, soil physical attributes along with agricultural management practices can be conducive for the crop to express different productive potentials at a given specific-site [5].
Different agricultural practices with or without soil revolving operations associated with the presence and types of soil coverings may also directly affect the morphology and physiology of plants and yield components. The soil physical attributes can also be consistently affected by different types of soil covering and agricultural management practices to be adopted, depending on the action of effective time of one or any other particular factor [6] conditioning the soil organic carbon availability and its compartmentalization [7].
The soil covering and agricultural management practices strongly alter the energy balance at the soil surface, defining particular regimes of soil temperature at different depths, as well soil water storage [8] and, consequently, impact crop growth and development in turn [9]. The dynamics of water in the soil is influenced by water availability, evaporative demand of the atmosphere given by energy availability, water vapor saturation deficit, soil covering type, cropping system and also by the sowing date at issue in order to govern the local atmospheric conditions to a certain extent [9].
Throughout the production cycles of crops whenever the evaporative demand of the atmosphere is higher and the occurrence of rainfall is not uniform and well-distributed at a given site, it is largely evidenced the effect of different soil covering types on crop physiological responsiveness. In the case of winter crops, the presence of mulch mitigates water losses caused by evapotranspiration along with the fact that the rooting system of crops by generating bio-pores favor processes, such as infiltration and storage of water in the soil [10]. A lack of soil coverings might enhance water losses 8% on average, apart from promoting fluctuations in the soil temperature regime featured by a variation of amplitudes reaching up to 14.5 °C [11]. Another important aspect with regards to sowing under straw from winter crops decomposition to be borne in mind in the face of sustainable agriculture turns out to be the suppressive actions of weeds, which reduce competition periods with maize crops [12].
The physiological behavior of different crops might be changed owing to discrepancies in the intraspecific competition, which is maximized by increases in the plant population. Allometry is conspicuously observed with frequency as a response of the plants to the compensation ascribed to variations in plant populations [13]. The relative indices of yield components and productivity are used as a way to assess the effects of the plant population on the productive potentiality of crops [14,15]. Usually, conditions of less competition are to be used as a parameter for the estimation of relative indices, such as the absolute severity of competition (ASC) [16,17] and relative productivity (RP) [15].
In view of operational difficulties linked to isolated assessments of only one single factor to be attributed to crop productivity, different methods have been reported in the literature aiming at finding responses from the generation of new relative variables [15] and also by means of multivariate methods [18].
Faced with the aforementioned problem, the hypothesis of the present research is that maize yield components and their final productivity are influenced by different plant populations, planting dates and soil covering-types, and the application of multivariate methods could be an efficient technique to identify these impacts. Therefore, the aim of the current research was to assess the variability inherent to yield components of a maize hybrid grown under three different soil covering types and five plant populations throughout two crop-growing seasons at three distinct sowing dates at the region of Campos Gerais of Paraná, Brazil.

2. Materials and Methods

2.1. Field Trial Characteristics

The experiments were conducted at the Agricultural Experiment Station belonging to the Centro de Ensino Superior dos Campos Gerais (CESCAGE) at Ponta Grossa, State of Paraná, Brazil (latitude 25°10′38″ S, longitude 50°06′48″ W and altitude 820 m). The state of Paraná is located in Southern Brazil, and the locations were chosen due to represent an important maize cultivation area in the country.
The climate of Ponta Grossa is classified as Cfb, according to Köppen, i.e., temperate climate, with mean temperature of the coldest month below 18 °C (mesothermal) and with mild summers, mean temperature of the hottest month below 22 °C and deprived of a well-defined dry season [19].
The soil of the experimental area was classified as a typical dystrophic red latosol. The previously crop cultivated in the experimental areas was the soybean. Chemical and physical soil characteristics were determined by a soil analysis (Table 1). Collection of soil samples were made from the surface to a 20 cm depth and were realized before the experimental installation.

2.2. Agricultural Practices and Cover Crops Cultivation

As mentioned, the predecessor crop of the experiment was soybean (Glycine max L.) and its cultivation aimed to establish uniformity for the whole experimental area. Standardization also was focused on the soil characteristics, which required an application of lime at the surface shortly before implantation of the subsequent winter crops at a dose of 1 Mg ha−1, with the purpose of reaching a base saturation (BS%) equivalent to 60%.
In April of 2014 a black oat crop was planted, taking into consideration a row spacing of 0.13 m and 50 kg of seeds per hectare along the strips meant to receive such a type of soil covering. At the same time, the bare soil was managed by means of chemicals and/or manually at minimal intervals of 15 days without soil-revolving operations.
In the fallow plots, voluntary plants were assessed at three periods shortly before dissection: 30 days after black oat sowing, 45 days after first evaluation, and 7 days before dissection. In this case, the fallow-covering treatment referred to the residue of the previous crop associated with a voluntary plant, with variations of species and density complying with the seed banks of the area.
In the plots grown with black oat and fallow, which required applications of herbicide to control infestation of voluntary plants; glyphosate at a rate of 1.5 L per hectare was applied. Field sprays were made 30 days before the sowing of the first maize sowing date. Such sprays were performed by a boom sprayer from Jacto® trademark (Pompeia, Brazil), with an application bar comprising sprayers spaced at 0.5 m. Sprayers were regulated at a pressure ranging from 2.0 to 2.5 bar, with applications set up at a speed of 5 km h−1.
Shortly after the desiccation procedure in conjunction with evaluation of dry mass production from the plots under different soil-covering types, we came up with lower coefficients of variation for the productions of dry mass of black oat straw and fallow treatment throughout the 2014−2015 agricultural harvest in comparison to those obtained during the 2015–2016 growing season (Table 2).
Productions of dry matter from black oat straw and from the plots under the fallow soil covering revealed significant differences between treatments throughout both crop-growing seasons, with higher average productions for black oat straw treatment corresponding to 2.84 and 2.74 Mg ha−1, respectively, throughout the 2014–2015 and 2015–2016 crop-growing seasons, as opposed to productions of 0.46 and 0.59 Mg ha−1 under fallow treatment, respectively, during both crop-growing seasons (Table 2).
Eventual further managements were made at times prior to sowing, although experimental area featured by bare soil was maintained as it was until the third sowing date. For the plots under soil coverings with black oat and fallow treatments, dissections of voluntary plants remained at both areas until the third implantation time. The main agricultural techniques adopted to guarantee no interference over the experiment, such as pest and disease control, were based on recommendations prescribed by the Brazilian Agricultural Research Corporation (EMBRAPA).
Cultural practices were performed in compliance with the schedule illustrated by the Figure 1.

2.3. Maize Characteristics and Sowing

The hybrid 30F53YH (Dupont®, Wilmington, DE, United States of America) was sown during the 2014–2015 and 2015–2016 growing seasons. The choice for the hybrid was based on its extensive cultivation in the Brazilian South region and also owing to the presence of a long period of sowing possibilities, thus allowing for its cultivation at regular sowing dates and second harvest. In addition, it is tolerant to important diseases that compromise maize commercial yields and has been showing tolerance to herbicides belonging to different chemical groups.
Before sowing, maize seeds were treated with a mixture of fungicide plus insecticide with a protecting (Pyraclostrobin), systemic (Thiophanate-methyl), contact and ingestion (Fipronil) action at a dose of 200 mL for each 100 kg of seeds. After treatment, the seeds were sown mechanically in the experimental sites using a tractor coupled to a seeder disc.
For all of sowing dates and growing seasons, the experimental units comprised ten rows spaced at 0.45 m, with 10 m length. The final plant population ranged for each treatment adopted herein; however, at the planting time, a maximum threshold corresponding to 120,000 plants ha−1 of the plant population treatment was taken into consideration. In addition to the establishment of seedlings, the excess of sown plants ascribed to each treatment imposed was removed.
During the sowing, soil fertilization was performed on the basis of a soil chemical analysis (Table 1) in light of application of a chemical fertilizer formulation containing nitrogen, phosphorus and potassium (NPK, in %), corresponding to 10-20-20 at a dose of 400 kg ha−1. In addition, 120 kg ha−1 of urea (45% of N) was applied to the sowing row when the crop reached V4 and V6 phenological stages, which were depicted by four and six leaves with visible collars, respectively [20].

2.4. Experimental Design

The experimental design was randomized blocks in an arrangement of subplots with three replications. The main factor was to be the winter cover crops, which were distributed into plots, whereas plant population was allotted into subplots. The primary treatments were considered to be black oat under non-tillage system (NT), fallow soil covering (F) and with no soil covering (bare soil—BS). In the subplots, plant populations were to be of 40,000, 60,000, 80,000, 100,000 and 120,000 plants ha−1, which represent 50%, 75%, 100%, 125% and 150%, respectively, of the ideal plant population recommended for the 30F53YH maize hybrid (Figure A1). Each plot had dimensions of 4.5 m × 50 m, and subplots had dimensions of 4.5 m × 10 m.
The field experiment was replicated at three implantation times throughout two crop-growing seasons (2014–2015 and 2015–2016). With the purpose of assessing variations of soil coverings and plant populations of the crop exposed to different meteorological conditions, field trials were carried out in light of three distinct sowing dates, with the first and last ones near the limits of climate zoning and the third sowing date to be in between such a recommended period for the site in study. Thus, the sowing dates of the maize crop were as follows: 15 September, 30 October and 15 December, meant to vary from year to year as a function of the local climate and weather patterns prevailing at the specific-site under scrutiny.

2.5. Meteorological Data

The experiment was conducted throughout different sowing dates and crop-growing seasons, under which the maize crop was exposed to distinct local meteorological conditions that could impact both growth and development in such a manner as to interfere with the biological responsiveness of the crop scrutinized in the current research. In view of such a problem, with the purpose of examining the influence of local weather conditions on growth, development and yield components and maize crop productivity, meteorological elements were monitored on a daily basis throughout two crop-growing seasons by means of an automatic weather station from Campbell Scientific Inc. installed at the experimental area in study.
The weather station constituted of a datalogger, CR-1000 model, which recorded the following weather variables: net radiation (Rn), global solar radiation (Qg), photosynthetically active radiation (PAR), air temperature (Tair) and soil temperature (Tsoil) measured at 0.10, 0.20 and 0.30 m-depths; air relative humidity (RH) and atmospheric pressure (Pbar). Meteorological variables were recorded within the interval of 15 min and integrated afterwards. Net radiometer with no dome, model NR LITE, (Kipp & Zonen trademark, Delft, The Netherlands), was installed and leveled at a 1 m-height at a grassy area. Qg values were obtained by means of a silicon photodiode pyranometer fabricated by LI-COR (Lincoln, NE, United States of America), model LI-200X, with a spectral responsiveness within a 0.4 and 1.2 µm interval set up at a 2 m-height. PAR fraction was measured by means of a Quantum sensor, model LI-190SB (LI-COR trademark, Lincoln, NE, United States of America), with a spectral responsiveness within a 0.4 and 0.7 µm interval, installed at a 2 m-height. Air relative humidity and air temperature were determined by the sensor HMP45C Temperature and Relative Humidity probe fabricated by Vaisala (Vanda, Finland), being installed at a 2 m-height inside the meteorological shelter. Atmospheric pressure was monitored by means of a sensor CS106, (Vaisala trademark, Vanda, Finland). Records of rainfall were made by a bascule pluviometer model TB4, fabricated by the Hydrological Services Pty. Ltd. (Lake Worth, FL, USA), with a 0.254 mm precision and installed at a 1.5 m-height.
The impact of local meteorological conditions on the maize crop biological responsiveness at the different sowing dates and crop-growing seasons was assessed by the time flowering took place by means of either thermal constant accumulated during the crop-growing season or mean height of the plants (Table 3). Such variables were taken into account, because they depict effects of the thermal, radiometric and hydric conditions prevailing in the agricultural environment under consideration promoted throughout the entire crop development in the field.
Nevertheless, fluctuations with regards to the number of days between sowing and flowering were observed, being such a variation more pronounced when 75% of the plants presented effective emissions of tassels. The variation of the sowing date generated reductions in the number of days between emergency and flowering, with mean values of 72 and 67 days for the 2014–2015 and 2015–2016 growing seasons, respectively, corroborating thus the outcomes obtained by [21] for the same phenological stage in light of different hybrids and sowing dates. The P30F53YH hybrid considered in the trials showed a mean plant height corresponding to 2.23 m (Table 3).
Another environmental factor that might considerably impinge upon maize productivity and its respective yield components turns out to be soil water status. Therefore, water balance calculations were made throughout the entire maize crop-growing season for each one of the sowing dates by means of the simplified Penman approach to determine the potential evapotranspiration (ETo) [22]. Available water capacity (AWC) was calculated from soil physical attributes obtained from the soil analysis, taking into consideration unreformed samples collected at two different soil depths (0–0.10 m and 0.10–0.20 m).
By means of the 5-day period sequential climatological water balance elaborated for two agricultural harvests, we came up with the soil water storage (SWS) and available water capacity (AWC) ratio (Figure 2). In view of such a ratio, it is possible to detect discrepancies between harvests (2014–2015 and 2015–2016), as well as significant variations in the soil water availability during some critical periods as a function of sowing date. SWS/AWC ratios lower than 1 depict a water deficiency at different soil layers.
Relationships between the soil water availability and water-energy status in the atmosphere in such a way as to associate a high availability with greater water use efficiency, highlighting the importance of an amount of water within the available easily water interval to assure potential yields in production fields, have been a conspicuous target of concern in several scientific investigations dealing with irrigation and crop production [23,24].

2.6. Field Assessments

Before sowings at each sowing date, production of dry mass was assessed from the plots by collecting 0.5 × 0.5 m squares of plant material present at the soil surface (3 sample squares per plot) and drying them in a stove in order to determine the dry mass by means of a precision scale.
The useful area of every single subplot was considered to be comprised of 6 central rows of 8 m-length. Morphological characteristics of the maize plants along with the relative indices of growth and development from four marked plants, chosen randomly after implantation of the crop, were evaluated. Such assessments were made weekly after emergence up until the V6 phenological stage (six leaves with visible collars) [20]. Shortly after such a phenological stage, further evaluations were performed throughout the following stages: tasseling (R1) and preharvest (physiological maturity—R6) [20].
At the end of the crop cycle, harvest was performed in isolation for the 4 plants under assessment, and further plants from the useful area of the plot had their cobs harvested and flailed separately to provide yield calculations. From the 4 cobs harvested separately, the following maize yield components were assessed: plant height (from the ground to the insertion of the tassel), cob length (CL) and cob diameter (CD), mean number of rows per corn cob (MNRCC), mean number of grains per row (3 rows per cob) (MNGR), weight of a thousand seeds (WTS) and cob grain mass (afterwards adjusted for 13% moisture) (CGM), as well as weight and diameter of the stalk and straw mass either fresh or dry masses (samples kept for 48 h in a ventilated stove at 60 °C).
With the purpose of comparing effects of the plant population and soil covering types on crop maize yield components, the absolute severity of competition (ASC) was calculated by means of Equation (1) [16,17], whereas the relative productivity (RP) was obtained through Equation (2) [15].
A S C i = log ( M E l M E i )
where MEl is the mass of grains of the cob from the smallest population, and MEi is the mass of grains of the cob from the population in analysis.
R P = P l P i
where Pl is the productivity of grains from the smallest population, and Pi is the productivity of the mass of grains from the population under scrutiny.

2.7. Statistical Analyses

The initial analysis of the dataset obtained from the current study aimed at determination of the dry phytomass production ascribed to distinct soil covering types. In this particular case, an exploratory scrutiny on the experimental data was performed in order to come up with the mean accumulation of the dry mass and variability indices, such as the standard deviation, average standard and coefficient of variation at each sowing date throughout both maize crop-growing seasons.
The effects of the plant population, winter soil covering type and interactions between factors on the final yield were previously tested by application of the F test. For sowing dates with significant interactions between plant population and soil covering type, experimental data were subjected to the Student-Neuman-Keuls (SNK test), which highlighted multiple comparisons among averages attributed to the treatments adopted herein in conjunction with control of the rates of type I errors in the trial in the face of a complete nullity hypothesis (Ho); however, they are considered to be flexible under partial Ho.
Furthermore, it was applied to the experimental data concerning maize crop yield, a multivariate analysis technique—more specifically the factor analysis method, whose main objective was to reduce the number of variables to a fewer number of factors by extracting the maximum common variation from all of the variables and placing them in a common score [25]. For such, we performed a data correlation analysis on the mean number of grains per row (MNGR), number of rows (NR), weight of a thousand seeds (WTS), cob length (CL), cob diameter (CD) and cob grain mass (CGM) at each sowing date throughout the 2014–2015 and 2015–2016 growing seasons. Experimental data were standardized so that average 0 (zero) and standard deviation 1 (one) were meant to mitigate effects of numerical differences among variables in such a way as to make them dimensionless.
With the purpose of detecting the combined effects of different treatments on response variables, the multivariate analysis of variance (MANOVA) was applied to the experimental data [26]. Nevertheless, in order to guarantee its applicability with precision at a given site, it is necessary to seek multivariate normality for scientific confirmation purposes, which was obtained from the test proposed by [27,28].
By applying MANOVA to the sowing dates throughout the 2014–2015 and 2015–2016 growing seasons, comparisons among the levels of the factors in the study were made by means of orthogonal contrasts (C1 = 2YNT − YF − YBS and C2 = YF − YBS) along with application of the Pillai’s trace statistics (p ≤ 0.05). Pillai’s trace statistics assumes positive values ranging from 0 to 1, within which increasing values means that the effects of the factors are contributing more effectively among the variables [29,30].
Finally, an analysis of principal components (AMC) was taken into account to provide reduction in the number of variables plus a congregation of factor effects under scrutiny. In the view of such a statistical tool, firstly, the experimental datasets were grouped in compliance with the sowing dates and crop-growing seasons. Thus, we considered the criterion of selection that was conducive to variances greater and/or equal to 70%, which, in turn, culminated in the utilization of PC1 and PC2 components for all possible combinations of the sowing date and crop-growing season factors.

3. Results and Discussion

A positive impact on the yield was found for all plant populations irrespective of the sowing date, except for the second sowing date of the 2014–2015 growing season, where no effect was identified due to reductions in the yield observed from 120,000 plants per hectare. The opposite was noticed by analyzing soil covering types, where a consistent interference was observed only during the 15/Dec/2014 sowing date. However, the effects of interactions between plant population and winter soil covering at the second and third sowing dates throughout the 2014–2015 crop-growing season, as well as at the first sowing date during the 2015–2016 agricultural harvest (Table A1), were detected.
A comparative analysis between different soil covering types in the face of a statistical breakdown of factor interactions resulted in differential responses of the crop given the influences of the sowing dates and plant populations (Table 4). Thus, keeping a given plant population fixed, one can evaluate the isolated effect of the coverage on maize yield, identifying the portion of the effects considered to be random (means followed by equivalent letters) in comparison to those effectively generated by action of the coverage. The distinction of effects can be evidenced by the use of the SNK test, which is sensitive in detecting the proportion of variations generated by the treatments, while maintaining rigor in the search for significant differences irrespective of the number of averages involved in the contrast.
This suggests that there must not be a standard pattern of crop productivity under a specific soil covering type. Especially throughout the 2014–2015 harvest, a proclivity towards a high productivity under black oat straw soil covering (NT) at the first sowing date (A), in contrast to soil covering with voluntary plants (F) for the third sowing date (C), was evidenced.
Such a trend might be ascribed to a more prevailing availability of water in the soil at the third sowing date throughout the 2014–2015 harvest, from December to March in comparison to the first sowing date, from September through January. The water availability in the area can be expressed by SWS/AWC ratios (Figure 2). Given the protective characteristics of straw in conjunction with a reduction in losses triggered by evapotranspiration rates as opposed to areas with little or no protection at all during the periods with a lesser water availability, the soil covering type was conducive to better environmental conditions for the plants to develop initially. Conversely, at the third sowing dates, the growth and development of the plants coincided with a period of high soil water availability, as pointed out by the climatological water balance approach. It is well-known that relative growth rates of the plants at plots with non-soil coverings or with a lesser covering density tend to be higher as a function of a greater input of solar energy at the canopy level [8,9].
The winter soil coverings, whenever correctly managed, promote an increase in soil water infiltration along with soil water storage, as a consequence of depletions in the evapotranspiration rates [31], as well as an increment in the soil organic carbon contents. We may infer that, in the face of the soil water status at appropriate levels throughout the whole crop cycle during the 2015–2016 agricultural harvest, the potential protective effects of the winter soil covering types might be masked by the soil water status.
The yield components, such as the mean number of grains per row (MNGR), number of rows (NR), weight of a thousand seeds (WTS), cob length (CL), cob diameter (CD) and cob grain mass (CGM), had distinct performances under the influence of each sowing date and soil covering type, as well the interactions between such yield components, were demonstrated to be quite variable (Figure 3, Figure 4 and Figure 5).
Although discrepancies in dry matter production due to the use of different soil covering types [32] did neither find differences among the morphological attributes (plant height, height of insertion of the cob and stalk diameter) nor among the characteristics linked to the yield components (cob diameter, cob length, mean number of rows per cob and mean number of grains per cob) of the maize crop as a function of soil covering type. This denotes that, many times, both morphological attributes and crop yield components are subjected to other sources of variations other than those ones imposed in the experiment under scrutiny.
The cob grain mass (CGM) evidenced a strong and positive correlation with all of the response variables at issue. For the first sowing date throughout the 2014–2015 crop-growing season, it was possible to verify a considerable distinction between the bare soil (BS) treatment and other types of soil coverings. The BS treatment presented the higher value of CGM (193.28 g), 15% above the maximum, compared to the remaining cover crops. In contrast, the lower value of cob length (10.98 cm) was found in the BS treatment compared to the other treatments, a fact that might be confirmed by means of the mean values obtained for each yield component (YC) (Figure 3a). In this particular study, even from the view of obtaining lower YC values, a thousand grain mass (TGM) was always higher, resulting, as a consequence, in higher CGM values.
For both crop-growing seasons in the study, a reduction in the coefficients of the Pearson correlation (r) was observed whenever the CGM was compared to all of other response variables from plots subjected to different sowing dates used in the present study. In spite of the fact that most of such coefficients were shown to be significantly different from zero (p-value ≤ 0.05), the variability inherent to the YC substantially increased as a function of distinct sowing dates, whereas the correlation degree decreased under the influence of the sowing date treatments. Increases in the variability made difficult, in an isolated manner, determination of the YC in order to explain the cause of the total variability of the observed crop productivity at a given specific-site.
In general, reductions in mean number of grains per row along with the cob grain mass were noticed as a function of increments in plant population and sowing date (Figure 3, Figure 4 and Figure 5). On average, such reductions were of 5.6%, 15.4% and 12.2% throughout the 2014–2015 crop-growing season, whereas for the 2015–2016 harvest depletions corresponded to 8.6%, 19% and 22.1%, respectively, with regards to the mean number of grains per row, weight of a thousand seeds and cob grain mass.
Considering that the final crop productivity turned out to be a result of the conjunct action of the effects of yield components yoked to plant population, MANOVA came to be a powerful tool to detect combined effects of different treatments on the response variables evaluated from field trials. Nevertheless, in order to assure its applicability with precision at a given specific-site, it is necessary to seek multivariate normality for scientific perspectives. This might be obtained from the application of the test proposed by [27,28]. Such a test was ascribed to the three sowing dates under three distinct soil covering types throughout both the 2014–2015 and 2015–2016 agricultural harvests, confirming the multivariate normality for all combinations of the studied factors (Table 5).
By analyzing the results obtained from the orthogonal contrasts, it is possible to note that either C1 or C2 contrasts were demonstrated to be significant for sowing date A throughout the 2014–2015 harvest, whereas solely the C1 contrast turned out to be significant for the same sowing date throughout the following agricultural harvest. The effects of soil covering types provided averages of yield components (Figure 3, Figure 4 and Figure 5) proportionally equivalent. Nevertheless, for the cob grain mass (CGM) value-consistent discrepancies among soil coverings were detected throughout both harvests, whilst the lowest CGM values were found in plots that received NT treatment. Such an effect might be ascribed to the competition among corn plants for nitrogen generated from straw decomposition as preconized by [33], whose authors evidenced substantial reductions in maize yield components at plots receiving winter soil covering types.
The presence of remaining soil coverings also governs evapotranspiration rates in the field productions, which usually are higher the more the experimental plots are deprived of any soil covering type. Conversely, under the optimal water supply conditions (water balance positive throughout most of the crop-growing season) and/or at irrigated areas, the impact of the lack of soil coverings becomes less important, as reported by [34,35], as long as soil water supply comes to being rather greater than crop maximum evapotranspiration and soil physical attributes along with the soil water status itself promote water storage within the soil profile in order to be available to the roots of the plants.
Under bare soil conditions, energy balance is conducive to remarkable fluctuations in the soil temperature at different depths [36], causing, thus, the energy availability to be higher to trigger germination, emergency and initial development of the maize plants in the field. Such an evidence was confirmed by [37], whose scientific investigation demonstrated that the soil temperature, energy availability and emergency speed of maize seedlings are directly correlated in such a manner as to provide the proposition of mathematical models capable of describing the dynamics of emergency of maize seedlings under production field conditions.
It is possible to notice by means of orthogonal contrasts, which allow for detecting influences of different soil covering types on maize yield components (Table 6), that the effect of such a factor considerately varies as a function of agricultural harvests, revealing, therefore, that eventual interactions occur owing to prevailing local atmospheric conditions throughout the whole crop-growing season. Specifically, for the third sowing date of the 2014–2015 crop-growing season, either C1 or C2 highlighted the significant statistical differences between the contrasts, a fact that was not observed during the next crop-growing season. This might be explained by the existence of a significant interaction for the first crop-growing season (Table A1), contrasting with what was observed throughout the second season when only plant population factor impinged upon crop productivity, since there was a conspicuous interconnection between maize productivity and yield components under scrutiny.
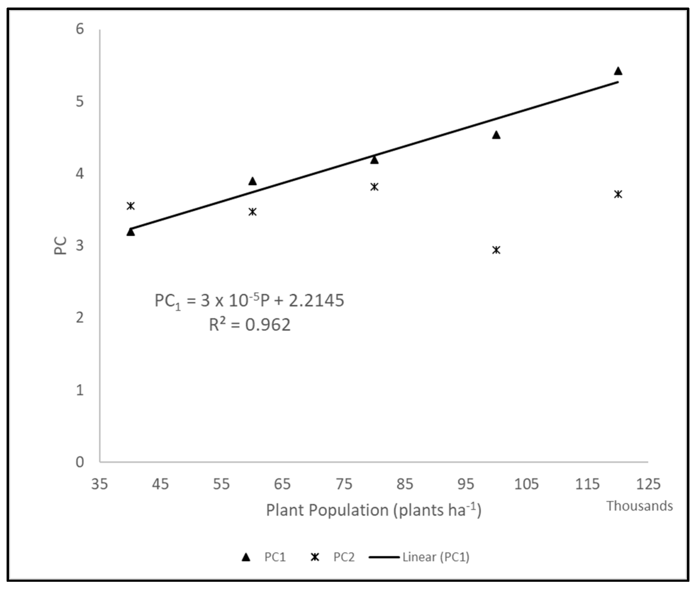
From the analysis of principal components (APC), we came across the inexistence of isolated effects of the soil covering types and plant population factors, as well as of the effects of interactions between such factors on the main yield components. For PC1 (A-2014–2015) and PC2 (A-2015–2016), a significant effect of plant population on biological responsiveness of the maize crop was examined (Figure 6). The outcomes obtained in our particular study agree with what was reported previously, once non-significant effects of soil covering types were detected in isolation on productivity of the maize crop for the first sowing date throughout the 2014–2015 season (Table A1).
The performance of PC2 for the first sowing date throughout both crop-growing seasons in the study was evidenced to be similar to maize crop productivity, increasing with increments in plant population. Even in view of the depletion of some yield components alone, the augmentation in the number of plants resulted in a compensational effect, leading to rises in productivity.
For PC1 (B-2014–2015 and B-2015–2016), a significant effect of the plant population factor was acknowledged (Figure 7). Such results are in consonance with what illustrates Table 6, which highlights the absence of any significant effect of soil covering types on maize crop yield components. On the other hand, for PC2 throughout both agricultural harvests, we detected neither isolated effects of the soil coverings and plant populations nor interaction effects between such factors.
For the sowing date C throughout the 2014–2015 crop-growing season, neither isolated effects of sowing dates and plant populations nor interaction effects for each one of the yield components under scrutiny were observed. However, for the 2015–2016 crop-growing season, PC1 revealed an increasing and linear response as a function of increments in the plant populations (Figure 8).
The analysis of both relative indices, such as ASC and RP [0], culminated in distinct responses in the face of the sowing date, crop growing seasons and soil covering type factors. For the sowing dates of September and October throughout the 2014–2015 crop season, upward variations in the ASC indicate that there was a drop in corn cob mass owing to increments in plant populations. Moreover, a substantial reduction in such a response variable under the influence of rises in plant populations were noticed, with stabilization being achieved from plant populations above an 80,000 plants ha−1 threshold (Figure 9).
For the third sowing date of the 2014–2015 crop-growing season, performance of the ASC was very variable as a function of soil covering types. RP values pointed out a proclivity to depletions of such a response variable, leading to a minimal threshold plant population of roughly 120,000 plants ha−1 (Figure 10).

4. Conclusions

The presence of cover crops on the soil surface was conducive to positive effects over the initial development and yield of maize crop under conditions of inadequate soil water supply. However, in light of absence of water deficit, the presence of cover crops did not interfere in the yield components and production.
In the view of all scrutinized situations, the non-tillage system provided greater stability to crop yield due to the significant effect of coverage, evidenced by the unfolding of the interactions.
Although maize yield components have a strong compensation capacity, plant populations over 80,000 plants ha−1 requiring a greater investment in seeds consequently resulted in reductions in mean relative productivity values.
The cover crops impinged upon maize yield components only during the 2014/2015 growing season, a fact that indicates the existence of a conspicuous influence of prevailing weather conditions throughout the crop development, which can vary as a function of each crop-growing season at any given specific-site.

Author Contributions

All the authors contributed roughly equally as to the idealization, conceptualization, conduction of the trials, statistical analyses, elaboration of the graphs and writing of the manuscript. The individual contributions of authors were: conceptualization, G.C.B., L.M.S. and A.B.P.; methodology, L.M.S. and A.B.P.; validation, G.C.B., L.M.S. and A.B.P.; formal analysis, L.M.S.; investigation, G.C.B., L.M.S. and A.B.P.; data curation, L.M.S.; writing—original draft preparation, G.C.B., L.M.S. and A.B.P.; writing—review and editing, G.C.B., L.M.S. and A.B.P.; visualization, G.C.B.; supervision, A.B.P.; project administration, A.B.P. All authors have read and agreed to the published version of the manuscript.

Funding

No financial support was provided by any Brazilian Federal Funding Agencies.

Acknowledgments

The authors are very thankful to the Centro de Ensino Superior dos Campos Gerais—CESCAGE—and, mainly, to their staff, who helped install and conduct the field trials. Special thanks are also devoted to the Agronomic Institute of Paraná—IAPAR—for the logistical support provided by Jadir Rosas.

Conflicts of Interest

The authors declare no conflict of interest.

Appendix A

Table A1. Summary of the analysis of variance, along with the application of the F test for productivity of the maize hybrid (kg ha−1) throughout the 2014–2015 and 2015–2016 crop-growing seasons. Ponta Grossa, PR, Brazil.
Table A1. Summary of the analysis of variance, along with the application of the F test for productivity of the maize hybrid (kg ha−1) throughout the 2014–2015 and 2015–2016 crop-growing seasons. Ponta Grossa, PR, Brazil.
2014–2015 Growing Season
Source of VariationDF 1MS 2—A *F-testMS—BF-testMS—CF-test
Block251667281.8ns4703484.2ns7472347.3**
Soil covering226906822.9ns19303287.7ns25921834.9**
Plant population433953657.2**37992849.3**94420644.5**
Covering × population82841944.3ns12721248.9**21122997.7**
2015–2016 Growing Season
Source of variationDFMS—AF-testMS—BF-testMS—CF-test
Block211890112.4ns13801189.3ns12096798.9ns
Soil covering224625516.7ns2700934.5ns615091.3ns
Plant population486012497.8**108474628.2**62163551.4**
Covering × population81088903.6*858792.6ns942175.5ns
* Sowing date A: 15 September, sowing date B: 30 October and sowing date C: 15 December; ns: nonsignificant, *: significant at 5% reliability, and **: highly significant at 1% reliability. Abbreviation means: 1 Degrees of freedom, 2 Mean square.
Figure A1. Scheme of the experimental design used in the field trials.
Figure A1. Scheme of the experimental design used in the field trials.
Agriculture 10 00579 g0a1

References

  1. Marcillo, G.S.; Carlson, S.; Filbert, M.; Kaspar, T.; Plastina, A.; Miguez, F.E. Maize system impacts of cover crop management decisions: A simulation analysis of rye biomass response to planting populations in Iowa, U.S.A. Agric. Syst. 2019, 176, 102651. [Google Scholar] [CrossRef]
  2. Tsimba, R.; Edmeades, G.O.; Millner, J.P.; Kemp, P.D. The effect of planting date on maize grain yields and yield components. Field Crops Res. 2013, 150, 135–144. [Google Scholar] [CrossRef]
  3. Tsimba, R.; Edmeades, G.O.; Millner, J.P.; Kemp, P.D. The effect of planting date on maize: Phenology, thermal time durations and growth rates in a cool temperate climate. Field Crops Res. 2013, 150, 145–155. [Google Scholar] [CrossRef]
  4. Xu, W.; Liu, C.; Wang, K.; Xie, R.; Ming, B.; Wang, Y.; Zhang, G.; Liu, G.; Zhao, R.; Fan, P.; et al. Adjusting maize plant density to different climatic conditions across a large longitudinal distance in China. Field Crops Res. 2017, 212, 126–134. [Google Scholar] [CrossRef]
  5. Steward, P.R.; Dougill, A.J.; Thierfelder, C.; Pittelkow, C.M.; Stringer, L.C.; Kudzala, M.; Shackelford, G.E. The adaptive capacity of maize-based conservation agriculture systems to climate stress in tropical and subtropical environments: A meta-regression of yields. Agric. Ecosyst. Environ. 2018, 251, 194–202. [Google Scholar] [CrossRef]
  6. Ren, L.; Nest, T.V.; Ruysschaert, G.; D’Hose, T.; Cornelis, W.M. Short-term effects of cover crops and tillage methods on soil physical properties and maize growth in a sandy loam soil. Soil Tillage Res. 2019, 192, 76–86. [Google Scholar] [CrossRef]
  7. Cates, A.M.; Ruark, M.D.; Grandy, A.S.; Jackson, R.D. Small soil C cycle responses to three years of cover crops in maize cropping systems. Agric. Ecosyst. Environ. 2019, 286, 106649. [Google Scholar] [CrossRef]
  8. O’Brien, P.L.; Daigh, A.L.M. Tillage practices alter the surface energy balance—A review. Soil Tillage Res. 2019, 195, 104354. [Google Scholar] [CrossRef]
  9. Unkovich, M.; Baldock, J.; Farquharson, R. Field measurements of bare soil evaporation and crop transpiration, and transpiration efficiency, for rainfed grain crops in Australia—A review. Agric. Water Manag. 2018, 205, 72–80. [Google Scholar] [CrossRef]
  10. Chen, G.; Weil, R.R. Root growth and yield of maize as affected by soil compaction and cover crops. Soil Tillage Res. 2011, 117, 17–27. [Google Scholar] [CrossRef]
  11. Enz, J.W.; Brun, L.J.; Larsen, J.K. Evaporation and energy balance for bare and stubble covered soil. Agric. Meteorol. 1988, 43, 59–70. [Google Scholar] [CrossRef]
  12. Büchi, L.; Wendling, M.; Amossé, C.; Jeangros, B.; Charles, R. Cover crops to secure weed control strategies in a maize crop with reduced tillage. Field Crops Res. 2020, 247, 107583. [Google Scholar] [CrossRef]
  13. Bonser, S.P.; Aarssen, L.W. Interpreting reproductive allometry: Individual strategies of allocation explain size-dependent reproduction in plant populations. Perspect. Plant Ecol. Evol. Syst. 2009, 11, 31–40. [Google Scholar] [CrossRef]
  14. Bonser, S.P. High reproductive efficiency as an adaptive strategy in competitive environments. Funct. Ecol. 2013, 27, 876–885. [Google Scholar] [CrossRef]
  15. Zhai, L.-C.; Xie, R.-Z.; Ming, B.; Li, S.; Ma, D.-L. Evaluation and analysis of intraspecific competition in maize: A case study on plant density experiment. J. Integr. Agric. 2018, 17, 2235–2244. [Google Scholar] [CrossRef]
  16. Snaydon, R.W. Replacement or Additive Designs for Competition Studies? J. Appl. Ecol. 1991, 28, 930. [Google Scholar] [CrossRef]
  17. Snaydon, R.W.; Satorre, E.H. Bivariate Diagrams for Plant Competition Data: Modifications and Interpretation. J. Appl. Ecol. 1989, 26, 1043. [Google Scholar] [CrossRef]
  18. Anapalli, S.S.; Green, T.R.; Reddy, K.N.; Gowda, P.H.; Sui, R.; Fisher, D.K.; Moorhead, J.; Marek, G. Application of an energy balance method for estimating evapotranspiration in cropping systems. Agric. Water Manag. 2018, 204, 107–117. [Google Scholar] [CrossRef]
  19. Alvares, C.A.; Stape, J.L.; Sentelhas, P.C.; Leonardo, J.; Gonçalves, M.; Sparovek, G. Köppen’s climate classification map for Brazil. Meteorol. Zeitschrif 2013, 22, 711–728. [Google Scholar] [CrossRef]
  20. Corn Corn Growth and Development. Available online: https://store.extension.iastate.edu/product/6065 (accessed on 26 October 2020).
  21. Bonelli, L.E.; Monzon, J.P.; Cerrudo, A.; Rizzalli, R.H.; Andrade, F.H. Maize grain yield components and source-sink relationship as affected by the delay in sowing date. Field Crops Res. 2016, 198, 215–225. [Google Scholar] [CrossRef]
  22. Villa Nova, N.A.; De Miranda, J.H.; Pereira, A.B.; Da Silva, K.O. Estimation of the potential evapotranspiration by a simplified Penman method. Eng. Agric. 2006, 26, 713–721. [Google Scholar] [CrossRef][Green Version]
  23. Huynh, H.T.; Hufnagel, J.; Wurbs, A.; Bellingrath-Kimura, S.D. Influences of soil tillage, irrigation and crop rotation on maize biomass yield in a 9-year field study in Müncheberg, Germany. Field Crops Res. 2019, 241, 107565. [Google Scholar] [CrossRef]
  24. Li, R.; Hou, X.; Jia, Z.; Han, Q. Soil environment and maize productivity in semi-humid regions prone to drought of Weibei Highland are improved by ridge-and-furrow tillage with mulching. Soil Tillage Res. 2020, 196, 104476. [Google Scholar] [CrossRef]
  25. Shapiro, S.E.; Lasarev, M.R.; McCauley, L. Factor analysis of gulf war illness: What does it add to our understanding of possible health effects of deployment? Am. J. Epidemiol. 2002, 156, 578–585. [Google Scholar] [CrossRef] [PubMed]
  26. Royston, P. Approximating the Shapiro-Wilk W-test for non-normality. Stat. Comput. 1992, 2, 117–119. [Google Scholar] [CrossRef]
  27. Royston, J.P. A Simple Method for Evaluating the Shapiro-Francia W’ Test of Non-Normality. J. R. Stat. Soc. Ser. D 1983, 32, 297. [Google Scholar] [CrossRef]
  28. Royston, J.P. An Extension of Shapiro and Wilk’s W Test for Normality to Large Samples. Appl. Stat. 1982, 31, 115. [Google Scholar] [CrossRef]
  29. Pillai, K.C.S. Some New Test Criteria in Multivariate Analysis. Ann. Math. Stat. 1955, 26, 117–121. [Google Scholar] [CrossRef]
  30. Zwick, R. Nonparametric One-Way Multivariate Analysis of Variance. A Computational Approach Based on the Pillai-Bartlett Trace. Psychol. Bull. 1985, 97, 148–152. [Google Scholar] [CrossRef]
  31. Unger, P.W.; Vigil, M.F. Cover crop effects on soil water relationships. J. Soil Water Conserv. 1998, 53, 200–208. [Google Scholar]
  32. Lázaro, R.D.L.; Da Costa, A.C.T.; Silva, K.D.F.D.; Sarto, M.V.M.; Júnior, J.B. D Yield of maize grown in succession to green fertilization. Pesqui. Agropecu. Trop. 2013, 43, 10–17. [Google Scholar] [CrossRef][Green Version]
  33. Teasdale, J.R.; Abdul-Baki, A.A.; Park, Y.B. Sweet corn production and efficiency of nitrogen use in high cover crop residue. Agron. Sustain. Dev. 2008, 28, 559–565. [Google Scholar] [CrossRef]
  34. Irmak, S.; Kukal, M.S.; Mohammed, A.T.; Djaman, K. Disk-till vs. no-till maize evapotranspiration, microclimate, grain yield, production functions and water productivity. Agric. Water Manag. 2019, 216, 177–195. [Google Scholar] [CrossRef]
  35. Uwizeyimana, D.; Mureithi, S.M.; Karuku, G.; Kironchi, G. Effect of water conservation measures on soil moisture and maize yield under drought prone agro-ecological zones in Rwanda. Int. Soil Water Conserv. Res. 2018, 6, 214–221. [Google Scholar] [CrossRef]
  36. Staniec, M.; Nowak, H. The application of energy balance at the bare soil surface to predict annual soil temperature distribution. Energy Build. 2016, 127, 56–65. [Google Scholar] [CrossRef]
  37. Claverie, E.; Lecoeur, J.; Letort, V.; Cournede, P.H. Modeling soil temperature to predict emergence. In Proceedings of the IEEE International Conference on Functional-Structural Plant Growth Modeling, Simulation, Visualization and Applications, FSPMA 2016, Qingdao, China, 7–11 November 2016; Institute of Electrical and Electronics Engineers Inc.: New York, NY, USA, 2017; pp. 28–37. [Google Scholar]
Figure 1. Schedule of activities conducted in the field throughout two crop-growing seasons at Ponta Grossa, PR, Brazil.
Figure 1. Schedule of activities conducted in the field throughout two crop-growing seasons at Ponta Grossa, PR, Brazil.
Agriculture 10 00579 g001
Figure 2. Soil water storage (SWS, mm) and available water capacity (AWC, mm) throughout the crop cycle for the 2014–2015 (a) and 2015–2016 (b) agricultural harvests. Ponta Grossa, PR, Brazil.
Figure 2. Soil water storage (SWS, mm) and available water capacity (AWC, mm) throughout the crop cycle for the 2014–2015 (a) and 2015–2016 (b) agricultural harvests. Ponta Grossa, PR, Brazil.
Agriculture 10 00579 g002
Figure 3. Matrix of correlations for all of the yield components of maize for the 15 September sowing date throughout both the 2014–2015 (a) and 2015–2016 (b) crop-growing seasons (r ≥ 0.294, p-value ≤ 0.05). Abbreviations refer to soil covering treatments from the field trials: NT—non-tillage, BS—bare soil and F—fallow. Asterisk means the significant correlation between variables analyzed at a level of * 5%, ** 1% and *** 0.1%.
Figure 3. Matrix of correlations for all of the yield components of maize for the 15 September sowing date throughout both the 2014–2015 (a) and 2015–2016 (b) crop-growing seasons (r ≥ 0.294, p-value ≤ 0.05). Abbreviations refer to soil covering treatments from the field trials: NT—non-tillage, BS—bare soil and F—fallow. Asterisk means the significant correlation between variables analyzed at a level of * 5%, ** 1% and *** 0.1%.
Agriculture 10 00579 g003
Figure 4. Matrix of correlations for all of the yield components of maize for the 30 October sowing date throughout both the 2014–2015 (a) and 2015–2016 (b) crop-growing seasons (r ≥ 0.294, p-value ≤ 0.05). Abbreviations refer to soil covering treatments from the field trials: NT—non-tillage, BS—bare soil and F—fallow. Asterisk means the significant correlation between variables analyzed at a level of * 5%, ** 1% and *** 0.1%.
Figure 4. Matrix of correlations for all of the yield components of maize for the 30 October sowing date throughout both the 2014–2015 (a) and 2015–2016 (b) crop-growing seasons (r ≥ 0.294, p-value ≤ 0.05). Abbreviations refer to soil covering treatments from the field trials: NT—non-tillage, BS—bare soil and F—fallow. Asterisk means the significant correlation between variables analyzed at a level of * 5%, ** 1% and *** 0.1%.
Agriculture 10 00579 g004
Figure 5. Matrix of correlations for all of the yield components of maize for the 15 December sowing date throughout both the 2014–2015 (a) and 2015–2016 (b) crop-growing seasons (r ≥ 0.294, p-value ≤ 0.05). Abbreviations refer to soil covering treatments from the field trials: NT—non-tillage, BS—bare soil and F—fallow. Asterisk means the significant correlation between variables analyzed at a level of * 5%, ** 1% and *** 0.1%.
Figure 5. Matrix of correlations for all of the yield components of maize for the 15 December sowing date throughout both the 2014–2015 (a) and 2015–2016 (b) crop-growing seasons (r ≥ 0.294, p-value ≤ 0.05). Abbreviations refer to soil covering treatments from the field trials: NT—non-tillage, BS—bare soil and F—fallow. Asterisk means the significant correlation between variables analyzed at a level of * 5%, ** 1% and *** 0.1%.
Agriculture 10 00579 g005aAgriculture 10 00579 g005b
Figure 6. Performance of the principal components (PC) for the 15 September sowing date throughout the 2014–2015 (a) and 2015–2016 (b) crop-growing seasons and maize productivity (c) for the first sowing date throughout the 2014–2015 harvest. Ponta Grossa, PR, Brazil.
Figure 6. Performance of the principal components (PC) for the 15 September sowing date throughout the 2014–2015 (a) and 2015–2016 (b) crop-growing seasons and maize productivity (c) for the first sowing date throughout the 2014–2015 harvest. Ponta Grossa, PR, Brazil.
Agriculture 10 00579 g006aAgriculture 10 00579 g006b
Figure 7. Performance of the principal components (PC) for the 30 October sowing date throughout the 2014–2015 (a) and 2015–2016 (b) crop-growing seasons.
Figure 7. Performance of the principal components (PC) for the 30 October sowing date throughout the 2014–2015 (a) and 2015–2016 (b) crop-growing seasons.
Agriculture 10 00579 g007
Figure 8. Performance of the principal components (PC) for the 15 December sowing date throughout the 2015–2016 crop growing season. Ponta Grossa, PR, Brazil.
Figure 8. Performance of the principal components (PC) for the 15 December sowing date throughout the 2015–2016 crop growing season. Ponta Grossa, PR, Brazil.
Agriculture 10 00579 g008
Figure 9. Variations in the absolute severity of competition (ASC) and relative productivity (RP) for the sowing dates of 15 September (a) and 30 October (b) throughout the 2014–2015 crop-growing season.
Figure 9. Variations in the absolute severity of competition (ASC) and relative productivity (RP) for the sowing dates of 15 September (a) and 30 October (b) throughout the 2014–2015 crop-growing season.
Agriculture 10 00579 g009
Figure 10. Variations in the absolute severity of competition (ASC) and relative productivity (RP) for the sowing date of 15 December throughout the 2014–2015 crop-growing season under non-tillage system (a), fallow (b) and bare soil (c) soil covering types.
Figure 10. Variations in the absolute severity of competition (ASC) and relative productivity (RP) for the sowing date of 15 December throughout the 2014–2015 crop-growing season under non-tillage system (a), fallow (b) and bare soil (c) soil covering types.
Agriculture 10 00579 g010
Table 1. Results of the soil chemical analysis from soil samples collected at the experimental area belonging to the Centro de Ensino Superior dos Campos Gerais (CESCAGE), Ponta Grossa, PR, Brazil.
Table 1. Results of the soil chemical analysis from soil samples collected at the experimental area belonging to the Centro de Ensino Superior dos Campos Gerais (CESCAGE), Ponta Grossa, PR, Brazil.
SandSiltClayP 1C 2pH in CaCl2
g kg−1mg dm−3g kg−1
1551856001.017.04.8
Soil Sorption Complex
Ca 3Mg 4K 5Sum-of-basesAl 6H + Al 7Effective CEC 8T 9BS 10
(cmolc kg−1)%
1.81.00.92.90.36.23.29.131.8
Abbreviations refer to chemical and physical soil characteristics determined by a soil analysis: 1 Phosphorus, 2 Carbon, 3 Calcium, 4 Magnesium, 5 Potassium, 6 Aluminum, 7 Potential acidity, 8 Cation exchange capacity, 9 Effective cation exchange capacity, 10 Base saturation.
Table 2. Averages of the production of dry mass (Mg ha−1) at plots featured by black oat covering and by fallow treatment at different sowing dates throughout the 2014–2015 and 2015–2016 crop-growing seasons, Ponta Grossa, PR, Brazil.
Table 2. Averages of the production of dry mass (Mg ha−1) at plots featured by black oat covering and by fallow treatment at different sowing dates throughout the 2014–2015 and 2015–2016 crop-growing seasons, Ponta Grossa, PR, Brazil.
Black Oat Dry Mass (Mg ha−1)
Sowing Dates15/Sep/201430/Oct/201415/Dec/201415/Sep/201530/Oct/201515/Dec/2015
Average2.842.812.922.742.662.73
Stand. Deviation0.200.240.220.240.280.27
Average Stand. Error0.090.110.100.110.120.12
CV * (%)7.008.467.408.8810.479.82
Fallow Treatment Dry Mass (Mg ha−1)
Average0.460.450.450.590.580.58
Stand. Deviation0.040.030.030.070.050.05
Average Stand. Error0.020.020.010.030.020.02
CV * (%)7.346.547.1411.139.129.42
* Coefficient of variation.
Table 3. Sowing dates, flowering dates, thermal constant (°C day) and mean plant height (m) for three different times throughout both the 2014–2015 and 2015–2016 crop-growing seasons, Ponta Grossa, PR, Brazil.
Table 3. Sowing dates, flowering dates, thermal constant (°C day) and mean plant height (m) for three different times throughout both the 2014–2015 and 2015–2016 crop-growing seasons, Ponta Grossa, PR, Brazil.
Crop SeasonSowing DateFloweringThermal Constant, °C DayMean Plant Height, m
2014–201515/Sep/201408/Dec/2014851.652.26
30/Oct/201408/Jan/2015815.772.40
15/Dec/201415/Feb/2015794.362.54
2015–201615/Sep/201501/Dec/2015834.291.98
30/Oct/201501/Jan/2016728.592.06
15/Dec/201513/Feb/2016776.262.12
Average----800.152.23
Table 4. Average of the maize grain yield (kg ha−1) for the sowing dates, with significant interactions between the plant population and soil covering throughout the 2014–2015 and 2015–2016 crop-growing seasons. Ponta Grossa, PR, Brazil.
Table 4. Average of the maize grain yield (kg ha−1) for the sowing dates, with significant interactions between the plant population and soil covering throughout the 2014–2015 and 2015–2016 crop-growing seasons. Ponta Grossa, PR, Brazil.
Sowing Date 1
Plant Population 230/Oct/201415/Dec/201415/Sep/2015
(Plants ha−1)NT 3BSFNTBSFNTBSF
40,0003530.8 a3618.5 a2420.5 a5393.9 b7148.0 a6136.0 ab7132.4 a6966.5 a8198.4 a
60,0006785.0 a5478.1 a6785.7 a8634.4 b9471.0 b14,138.4 a8640.5 a7962.7 a9887.7 a
80,0005891.2 a5133.4 a4371.8 a7257.4 c10,432.9 b12,440.3 a11,681.7 a11,409.9 a13,779.3 a
100,00013,778.4 a7708.9 b4630.8 c17,123.9 a13,087.8 b11,646.8 c12,754.3 a11,257.5 a14,354.7 a
120,0006561.9 a6835.2 a7296.6 a11,282.0 c12,931.4 b18,021.7 a15,202.5 a12,917.0 a16,995.9 a
1 Sowing date related to the significant interactions obtained by the F test application (Table A1). 2 Averages followed by the same letters in the line did not differ from one another under the same plant population treatment by means of the Student-Neuman-Keuls (SNK) test (p ≤ 0.05). 3 Abbreviations refer to soil covering treatments at field trials: NT—non-tillage, BS—bare soil and F—fallow.
Table 5. Results of the multivariate normality test applied to the following variables: mean number of grains per row, mean number of rows per corn cob, number of rows per cob, cob length, cob diameter, a thousand grain mass and cob grain mass under different soil covering throughout the 2014–2015 and 2015–2016 crop-growing seasons. Ponta Grossa, PR, Brazil.
Table 5. Results of the multivariate normality test applied to the following variables: mean number of grains per row, mean number of rows per corn cob, number of rows per cob, cob length, cob diameter, a thousand grain mass and cob grain mass under different soil covering throughout the 2014–2015 and 2015–2016 crop-growing seasons. Ponta Grossa, PR, Brazil.
Sowing DateSoil Covering Type 1
NTBSF
H 2p-ValueHp-ValueHp-Value
15/Sep/20142.1990.3758.1810.0673.4550.303
30/Oct/20142.5650.4345.4950.1744.1260.318
15/Dec/20144.8780.2628.4240.0707.6170.050
15/Sep/20155.3490.1582.4550.5664.2040.329
30/Oct/20154.1470.26673.6310.04687.0890.054
15/Dec/20154.0930.2211.0440.8861.1660.758
1 Abbreviations refer to soil covering treatments from field trials: NT—non-tillage, BS—bare soil and F—fallow. 2 H-statistic proposed by [27,28].
Table 6. Result of the Pillai’s trace statistics applied to contrasts C1 and C2 of the multivariate analysis of variance (MANOVA) for the sowing dates throughout the 2014–2015 and 2015–2016 crop-growing seasons. Ponta Grossa, PR, Brazil.
Table 6. Result of the Pillai’s trace statistics applied to contrasts C1 and C2 of the multivariate analysis of variance (MANOVA) for the sowing dates throughout the 2014–2015 and 2015–2016 crop-growing seasons. Ponta Grossa, PR, Brazil.
Sowing DateC1 (p-Value)C2 (p-Value)
15/Sep/20140.00825 *0.03572 *
30/Oct/20140.182150.00455 *
15/Dec/20140.00057 *0.00000 *
15/Sep/20150.01919 *0.60900
30/Oct/20150.063050.52294
15/Dec/20150.074780.11544
* Significant at 5% reliability by the Pillai’s trace statistics.
Publisher’s Note: MDPI stays neutral with regard to jurisdictional claims in published maps and institutional affiliations.

Share and Cite

MDPI and ACS Style

Beruski, G.C.; Schiebelbein, L.M.; Pereira, A.B. Maize Yield Components as Affected by Plant Population, Planting Date and Soil Coverings in Brazil. Agriculture 2020, 10, 579. https://doi.org/10.3390/agriculture10120579

AMA Style

Beruski GC, Schiebelbein LM, Pereira AB. Maize Yield Components as Affected by Plant Population, Planting Date and Soil Coverings in Brazil. Agriculture. 2020; 10(12):579. https://doi.org/10.3390/agriculture10120579

Chicago/Turabian Style

Beruski, Gustavo Castilho, Luis Miguel Schiebelbein, and André Belmont Pereira. 2020. "Maize Yield Components as Affected by Plant Population, Planting Date and Soil Coverings in Brazil" Agriculture 10, no. 12: 579. https://doi.org/10.3390/agriculture10120579

APA Style

Beruski, G. C., Schiebelbein, L. M., & Pereira, A. B. (2020). Maize Yield Components as Affected by Plant Population, Planting Date and Soil Coverings in Brazil. Agriculture, 10(12), 579. https://doi.org/10.3390/agriculture10120579

Note that from the first issue of 2016, this journal uses article numbers instead of page numbers. See further details here.

Article Metrics

Back to TopTop