Case Study on Recording Pigs’ Daily Activity Patterns with a UHF-RFID System
Abstract
1. Introduction
2. Materials and Methods
2.1. Research Barn, Animals and Technical Equipment
2.2. Validation Phases
2.3. Statistical Analysis
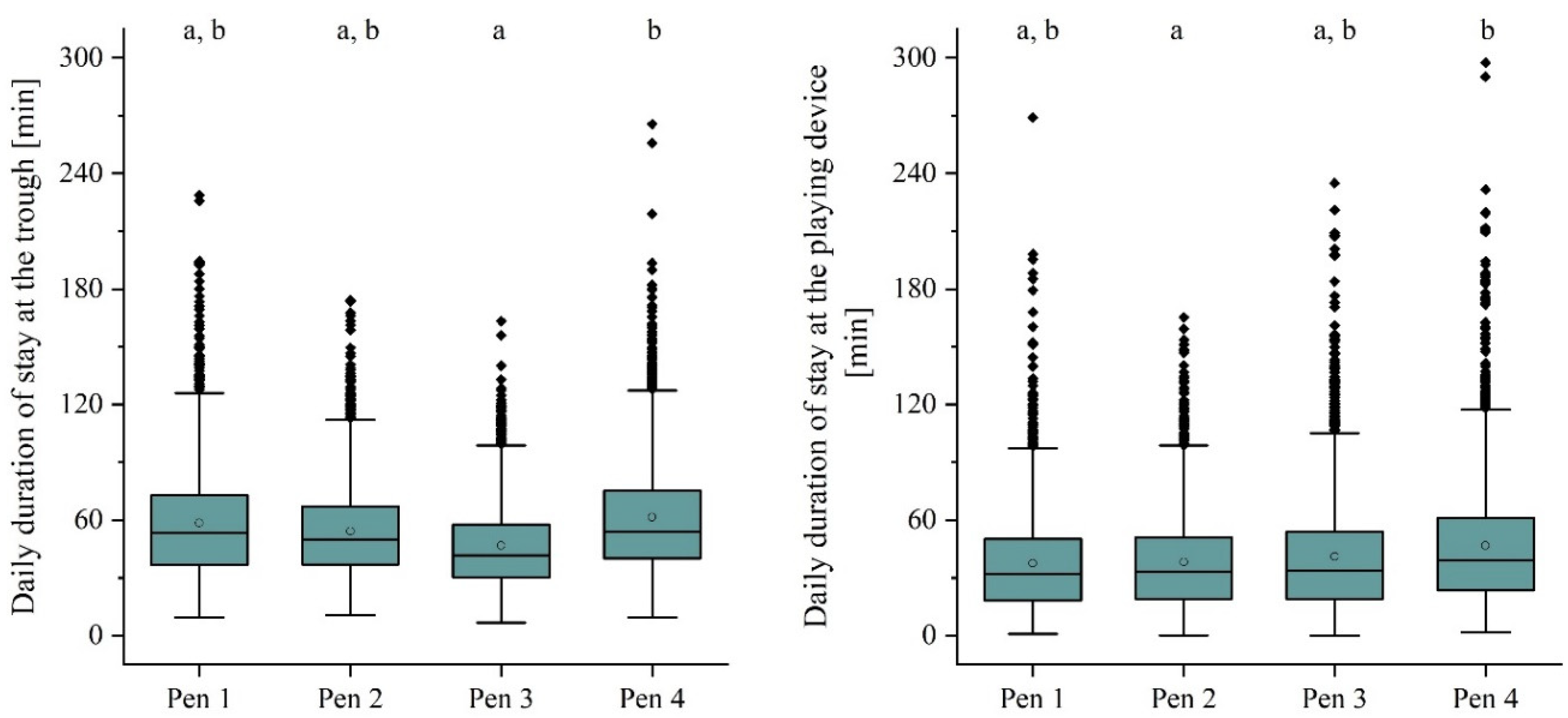
3. Results
3.1. Validation Phases
3.2. Visiting Times at Locations
4. Discussion
4.1. Validation Phases
4.2. Visiting Times at Locations
5. Conclusions
Author Contributions
Funding
Acknowledgments
Conflicts of Interest
References
- Ahmed, S.T.; Mun, H.-S.; Yoe, H.; Yang, C.-J. Monitoring of behavior using a video-recording system for recognition of Salmonella infection in experimentally infected growing pigs. Animal 2015, 9, 115–121. [Google Scholar] [CrossRef]
- Berckmans, D. Precision livestock farming technologies for welfare management in intensive livestock systems. Rev. Sci. Tech. Off. Int. Epiz 2014, 33, 189–196. [Google Scholar] [CrossRef] [PubMed]
- Adrion, F.; Kapun, A.; Eckert, F.; Holland, E.-M.; Staiger, M.; Götz, S.; Gallmann, E. Monitoring trough visits of growing-finishing pigs with UHF-RFID. Comput. Electron. Agric. 2018, 144, 144–153. [Google Scholar] [CrossRef]
- Brown-Brandl, T.M.; Rohrer, G.A.; Eigenberg, R.A. Analysis of feeding behavior of group housed growing–finishing pigs. Comput. Electron. Agric. 2013, 96, 246–252. [Google Scholar] [CrossRef]
- Maselyne, J.; Adriaens, I.; Huybrechts, T.; de Ketelaere, B.; Millet, S.; Vangeyte, J.; van Nuffel, A.; Saeys, W. Measuring the drinking behaviour of individual pigs housed in group using radio frequency identification (RFID). Animal 2016, 10, 1557–1566. [Google Scholar] [CrossRef] [PubMed]
- Maselyne, J.; Saeys, W.; de Ketelaere, B.; Mertens, K.; Vangeyte, J.; Hessel, E.F.; Millet, S.; van Nuffel, A. Validation of a High Frequency Radio Frequency Identification (HF RFID) system for registering feeding patterns of growing-finishing pigs. Comput. Electron. Agric. 2014, 102, 10–18. [Google Scholar] [CrossRef]
- Brown-Brandl, T.M.; Adrion, F.; Maselyne, J.; Kapun, A.; Hessel, E.F.; Saeys, W.; van Nuffel, A.; Gallmann, E. A review of passive radio frequency identification systems for animal monitoring in livestock facilities. Appl. Eng. Agric. 2019, 35, 579–591. [Google Scholar] [CrossRef]
- Adrion, F.; Kapun, A.; Holland, E.-M.; Staiger, M.; Löb, P.; Gallmann, E. Novel approach to determine the influence of pig and cattle ears on the performance of passive UHF-RFID ear tags. Comput. Electron. Agric. 2017, 140, 168–179. [Google Scholar] [CrossRef]
- Adrion, F.; Reger, M.; Eckert, F.; Kapun, A.; Staiger, M.; Holland, E.-M.; Hammer, N.; Jungbluth, T.; Gallmann, E. Sektorlokalisation von Mastschweinen mit UHF-RFID. In Informatik in der Land-, Forst- und Ernährungswirtschaft, Fokus: Intelligente Systeme-Stand der Technik und neue Möglichkeiten; Referate der 36. GIL-Jahrestagung, 22–23 February 2016 in Osnabrück, Germany. 36. GIL-Jahrestagung, Osnabrück, 22–23 February 2016; Ruckelshausen, A., Meyer-Aurich, A., Rath, T., Recke, G., Theuvsen, B., Eds.; Gesellschaft Für Informatik: Bonn, Germany, 2016; pp. 17–20. ISBN 978-3-88579-647-3. [Google Scholar]
- Li, L.; Zhao, Y.; Oliveira, J.; Verhoijsen, W.; Liu, K.; Xin, H. A UHF RFID system for studying individual feeding and nesting behaviors of group-housed laying hens. Trans. ASABE 2017, 60, 1337–1347. [Google Scholar] [CrossRef]
- Adrion, F. Adaption and Assessment of a UHF-RFID System for Livestock Management. Ph.D. Thesis, University of Hohenheim, Stuttgart, Germany, 2018. [Google Scholar]
- Hammer, N.; Adrion, F.; Staiger, M.; Holland, E.; Gallmann, E.; Jungbluth, T. Comparison of different ultra-high-frequency transponder ear tags for simultaneous detection of cattle and pigs. Livest. Sci. 2016, 187, 125–137. [Google Scholar] [CrossRef]
- Maselyne, J.; Saeys, W.; Briene, P.; Mertens, K.; Vangeyte, J.; de Ketelaere, B.; Hessel, E.F.; Sonck, B.; van Nuffel, A. Methods to construct feeding visits from RFID registrations of growing-finishing pigs at the feed trough. Comput. Electron. Agric. 2016, 128, 9–19. [Google Scholar] [CrossRef]
- Kauselmann, K. Attraktives Beschäftigungsmaterial zur Reduktion von Schwanz- und Ohrschäden beim Schwein. Ph.D. Thesis, University of Hohenheim, Stuttgart, Germany, 2020. [Google Scholar]
- Meunier-Salaün, M.-C.; Chiron, J.; Etore, F.; Fabre, A.; Laval, A.; Pol, F.; Prunier, A.; Ramonet, Y.; Nielsen, B.L. Review: Drinking water for liquid-fed pigs. Animal 2017, 11, 836–844. [Google Scholar] [CrossRef] [PubMed]
- Kapun, A.; Adrion, F.; Gallmann, E. Activity analysis to detect lameness in pigs with a UHF-RFID system. In 10th International Livestock Environment Symposium (ILES X); American Society of Agricultural and Biological Engineers: St. Joseph, MI, USA, 2018. [Google Scholar]
- Andersen, H.M.-L.; Dybkjaer, L.; Herskin, M.S. Growing pigs’ drinking behaviour: Number of visits, duration, water intake and diurnal variation. Animal 2014, 8, 1881–1888. [Google Scholar] [CrossRef] [PubMed]
- Cornou, C.; Lundbye-Christensen, S. Modeling of sows diurnal activity pattern and detection of parturition using acceleration measurements. Comput. Electron. Agric. 2012, 80, 97–104. [Google Scholar] [CrossRef]
- Carcò, G.; Gallo, L.; Dalla Bona, M.; Latorre, M.A.; Fondevila, M.; Schiavon, S. The influence of feeding behaviour on growth performance, carcass and meat characteristics of growing pigs. PLoS ONE 2018, 13, e0205572. [Google Scholar] [CrossRef] [PubMed]
- Stubbe, A. Entwicklung und Beurteilung einer Beschäftigungstechnik für Mastschweine in Intensiven Haltungssystemen. Ph.D. Thesis, University of Hohenheim, Stuttgart, Germany, 2000. [Google Scholar]
- Gronow-Schubert, S. Research on Ammonia and Methane Emissions of Fattening Pig Houses. Ph.D. Thesis, University of Hohenheim, Stuttgart, Germany, 2017. [Google Scholar]
- Gallmann, E. Vergleich von Zwei Haltungssystemen für Mastschweine mit Unterschiedlichen Lüftungsprinzipien-Stallklima und Emissionen. Ph.D. Thesis, University of Hohenheim, Stuttgart, Germany, 2003. [Google Scholar]
- Hammer, N.; Pfeifer, M.; Staiger, M.; Adrion, F.; Gallmann, E.; Jungbluth, T. Cost-benefit analysis of an UHF-RFID system for animal identification, simultaneous detection and hotspot monitoring of fattening pigs and dairy cows. Landtechnik 2017, 72, 130–155. [Google Scholar] [CrossRef]






| Location | Antenna Output Power (dBm) | Test Day | Sensitivity (%) | Specificity (%) | Precision (%) | Accuracy (%) |
|---|---|---|---|---|---|---|
| Trough | 27 | Day 1 | 82.4 | 97.9 | 62.9 | 97.2 |
| Day 2 | 87.1 | 97.9 | 64.4 | 97.4 | ||
| Playing device | 24 | Day 1 | 80.9 | 98.9 | 55.8 | 98.6 |
| Day 2 | 81.5 | 97.7 | 52.6 | 97.2 | ||
| Drinkers | 27 | Day 1 | 62.9 | 99.7 | 64.8 | 99.3 |
| Day 2 | 59.3 | 99.6 | 59.2 | 99.3 |
| Average Weight of the Pigs | Test Day | Sensitivity (%) | Specificity (%) | Precision (%) | Accuracy (%) |
|---|---|---|---|---|---|
| 31 ± 4 kg | Day 1 | 86.1 | 96.1 | 50.6 | 95.6 |
| Day 2 | 51.4 | 96.0 | 48.4 | 92.9 | |
| 86 ± 8 kg | Day 1 | 90.3 | 98.5 | 63.6 | 98.2 |
| Day 2 | 88.4 | 97.0 | 52.8 | 96.7 | |
| 105 ± 8 kg | Day 1 | 94.2 | 98.3 | 48.8 | 98.2 |
| Day 2 | 71.0 | 97.2 | 52.7 | 96.1 |
| Fattening Period | Value | Trough Duration (Min) | Playing Device Duration (Min) | Drinkers Duration (Min) |
|---|---|---|---|---|
| Fattening period 1 | MV ± SD | 55.3 ± 27.6 a,b | 41.0 ± 30.3 a | 8.4 ± 9.2 |
| Min. ± SD | 28.9 ± 14.3 | 7.7 ± 5.3 | 2.6 ± 2.1 | |
| Max. ± SD | 123.2 ± 28.5 | 97.4 ± 38.2 | 21.2 ± 10.2 | |
| Fattening period 2 | MV ± SD | 60.1 ± 35.2 a | 42.7 ± 31.9 a | 5.9 ± 5.3 |
| Min. ± SD | 20.9 ± 7.3 | 14.3 ± 10.8 | 2.3 ± 1.9 | |
| Max. ± SD | 164.5 ± 33.9 | 103.8 ± 48.2 | 18.3 ± 10.0 | |
| Fattening period 3 | MV ± SD | 51.9 ± 28.8 b | 30.5 ± 23.1 b | 9.4 ± 12.0 |
| Min. ± SD | 20.9 ± 8.8 | 13.9 ± 9.7 | 2.1 ± 2.0 | |
| Max. ± SD | 141.7 ± 44.5 | 76.0 ± 51.2 | 38.4 ± 39.6 | |
| Fattening period 4 | MV ± SD | 52.6 ± 32.6 b | 38.9 ± 28.6 a | 12.6 ± 14.4 |
| Min. ± SD | 17.5 ± 5.3 | 8.8 ± 8.6 | 3.4 ± 2.2 | |
| Max. ± SD | 131.3 ± 39.7 | 75.2 ± 37.7 | 37.6 ± 38.0 |
Publisher’s Note: MDPI stays neutral with regard to jurisdictional claims in published maps and institutional affiliations. |
© 2020 by the authors. Licensee MDPI, Basel, Switzerland. This article is an open access article distributed under the terms and conditions of the Creative Commons Attribution (CC BY) license (http://creativecommons.org/licenses/by/4.0/).
Share and Cite
Kapun, A.; Adrion, F.; Gallmann, E. Case Study on Recording Pigs’ Daily Activity Patterns with a UHF-RFID System. Agriculture 2020, 10, 542. https://doi.org/10.3390/agriculture10110542
Kapun A, Adrion F, Gallmann E. Case Study on Recording Pigs’ Daily Activity Patterns with a UHF-RFID System. Agriculture. 2020; 10(11):542. https://doi.org/10.3390/agriculture10110542
Chicago/Turabian StyleKapun, Anita, Felix Adrion, and Eva Gallmann. 2020. "Case Study on Recording Pigs’ Daily Activity Patterns with a UHF-RFID System" Agriculture 10, no. 11: 542. https://doi.org/10.3390/agriculture10110542
APA StyleKapun, A., Adrion, F., & Gallmann, E. (2020). Case Study on Recording Pigs’ Daily Activity Patterns with a UHF-RFID System. Agriculture, 10(11), 542. https://doi.org/10.3390/agriculture10110542

