Isolated Pubic Ramus Fractures Are Serious Adverse Events for Elderly Persons: An Observational Study on 138 Patients with Fragility Fractures of the Pelvis Type I (FFP Type I)
Abstract
1. Introduction
2. Patients and Methods
3. Results
3.1. Baseline Characteristics
3.2. Care Pathways
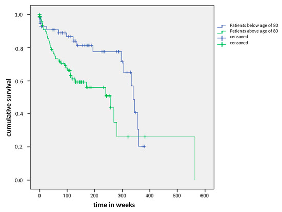
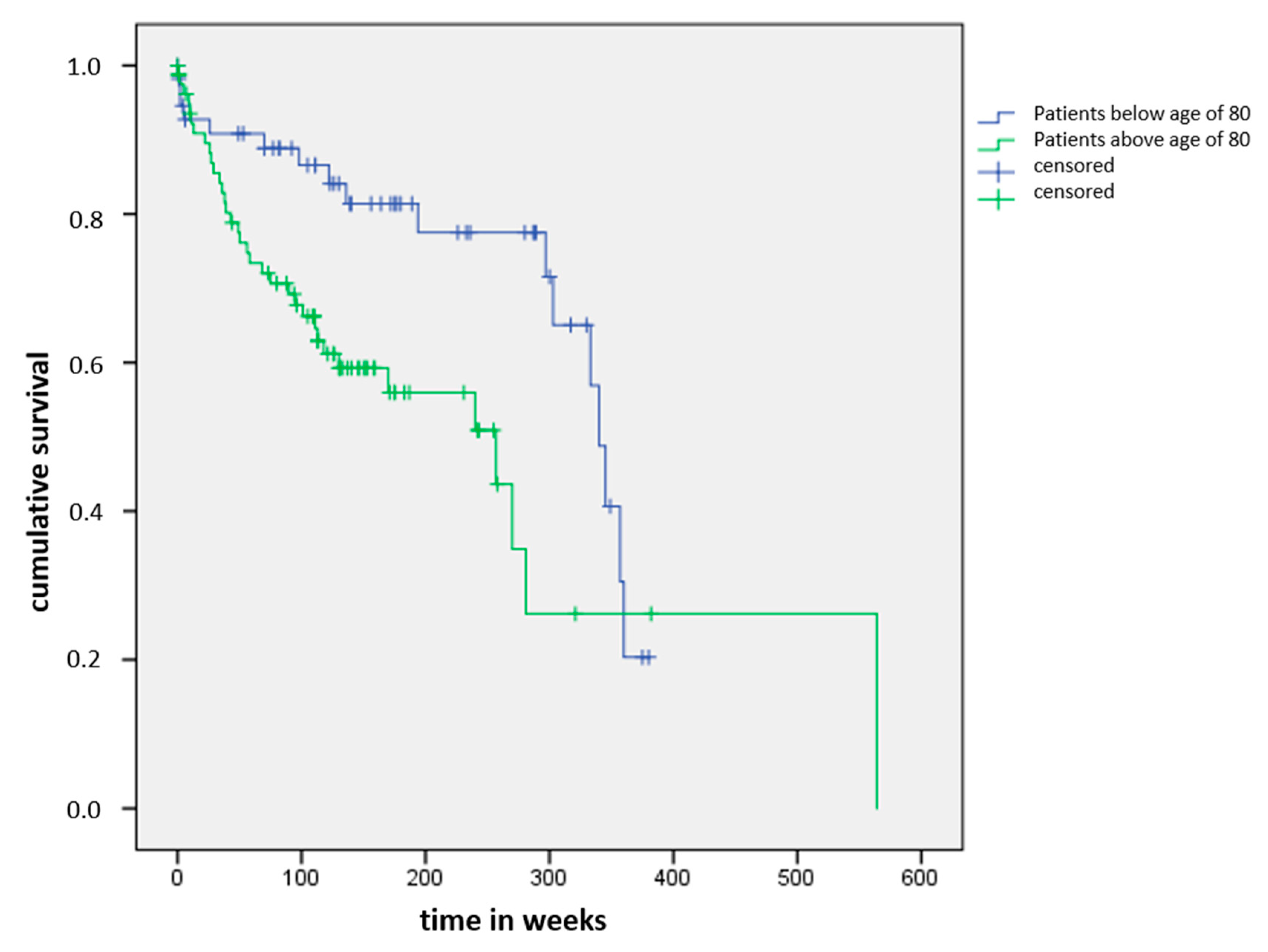
3.3. Follow-Ups
4. Discussion
5. Conclusions
Author Contributions
Funding
Acknowledgments
Conflicts of Interest
References
- Scheyerer, M.J.; Osterhoff, G.; Wehrle, S.; Wanner, G.A.; Simmen, H.P.; Werner, C.M. Detection of posterior pelvic injuries in fractures of the pubic rami. Injury 2012, 43, 1326–1329. [Google Scholar] [CrossRef] [PubMed]
- Kannus, P.; Parkkari, J.; Niemi, S.; Sievänen, H. Low-Trauma Pelvic Fractures in Elderly Finns in 1970–2013. Calcif. Tissue Int. 2015, 97, 577–580. [Google Scholar] [CrossRef] [PubMed]
- Holstein, J.H.; Stuby, F.M.; Herath, S.C.; Culemann, U.; Aghayev, E.; Pohlemann, T. Einfluss des Beckenregisters der DGU auf die Versorgung von Beckenringfrakturen [Influence of the pelvic trauma registry of the DGU on treatment of pelvic ring fractures]. Unfallchirurg 2016, 119, 475–481. [Google Scholar] [CrossRef] [PubMed]
- Rommens, P.M.; Hofmann, A. Comprehensive classification of fragility fractures of the pelvic ring: Recommendations for surgical treatment. Injury 2013, 44, 1733–1744. [Google Scholar] [CrossRef]
- Rommens, P.; Wissing, H.; Serdarevic, M. Significance of computerized tomography in the diagnosis and therapy of fractures of the posterior pelvic ring and hip joint. Unfallchirurgie 1987, 13, 32–37. [Google Scholar] [CrossRef]
- Koval, K.J.; Aharonoff, G.B.; Schwartz, M.C.; Alpert, S.; Cohen, G.; McShinawy, A.; Zuckerman, J.D. Pubic rami fracture: A benign pelvic injury? J. Orthop. Trauma 1997, 11, 7–9. [Google Scholar] [CrossRef]
- Hill, R.M.; Robinson, C.M.; Keating, J.F. Fractures of the pubic rami. Epidemiology and five-year survival. J. Bone Joint Surg. Br. 2001, 83, 1141–1144. [Google Scholar] [CrossRef]
- Krappinger, D.; Struve, P.; Schmid, R.; Kroesslhuber, J.; Blauth, M. Fractures of the pubic rami: A retrospective review of 534 cases. Arch. Orthop. Trauma Surg. 2009, 129, 1685–1690. [Google Scholar] [CrossRef]
- Lau, T.W.; Leung, F. Occult posterior pelvic ring fractures in elderly patients with osteoporotic pubic rami fractures. J. Orthop. Surg. 2010, 18, 153–157. [Google Scholar] [CrossRef]
- Hamilton, C.B.; Harnett, J.D.; Stone, N.C.; Furey, A.J. Morbidity and mortality following pelvic ramus fractures in an older Atlantic Canadian cohort. Can. J. Surg. 2019, 62, 270–274. [Google Scholar] [CrossRef]
- Loggers, S.A.I.; Joosse, P.; Jan Ponsen, K. Outcome of pubic rami fractures with or without concomitant involvement of the posterior ring in elderly patients. Eur. J. Trauma Emerg. Surg. 2019, 45, 1021–1029. [Google Scholar] [CrossRef]
- Group, T.E. EuroQoL—A new facility for the measurement of health-related quality of life. Health Policy 1990, 16, 199–208. [Google Scholar]
- Brooks, L. EuroQoL: The current state of the play. Health Policy 1996, 37, 53–72. [Google Scholar] [CrossRef]
- Hinz, A.; Klaiberg, A.; Brähler, E.; König, H.H. The Quality of Life Questionnaire EQ-5D: Modelling and norm values for the general population. Psychother. Psychosom. Med. Psychol. 2006, 56, 42–48. [Google Scholar] [CrossRef] [PubMed]
- Rodriguez, C.S. Pain measurement in the elderly: A review. Pain Manag. Nurs. 2001, 2, 38–46. [Google Scholar] [CrossRef] [PubMed]
- Parker, M.; Palmer, C. A new mobility score for predicting mortality after hip fracture. J. Bone Joint Surg. Br. 1993, 75, 797–798. [Google Scholar] [CrossRef]
- Taillandier, J.; Langue, F.; Alemanni, M.; Taillandier-Heriche, E. Mortality and functional outcomes of pelvic insufficiency fractures in older patients. Joint Bone Spine 2003, 70, 287–289. [Google Scholar] [CrossRef]
- Van Dijk, W.A.; Poeze, M.; van Helden, S.H.; Brink, P.R.; Verbruggen, J.P. Ten-year mortality among hospitalised patients with fractures of the pubic rami. Injury 2010, 41, 411–414. [Google Scholar] [CrossRef]
- Maier, G.S.; Kolbow, K.; Lazovic, D.; Horas, K.; Roth, K.E.; Seeger, J.B.; Maus, U. Risk factors for pelvic insufficiency fractures and outcome after conservative therapy. Arch. Gerontol. Geriatr. 2016, 67, 80–85. [Google Scholar] [CrossRef]
- Banierink, H.; Ten Duis, K.; de Vries, R.; Wendt, K.; Heineman, E.; Reininga, I.; IJpma, F. Pelvic ring injury in the elderly: Fragile patients with substantial mortality rates and long-term physical impairment. PLoS ONE 2019, 14, e0216809. [Google Scholar] [CrossRef]
- Schmitz, P.; Lüdeck, S.; Baumann, F.; Kretschmer, R.; Nerlich, M.; Kerschbaum, M. Patient-related quality of life after pelvic ring fractures in elderly. Int. Orthop. 2019, 43, 261–267. [Google Scholar] [CrossRef] [PubMed]
- Leung, W.Y.; Ban, C.M.; Lam, J.J.; Ip, F.K.; Ko, P.S. Prognosis of acute pelvic fractures in elderly patients: Retrospective study. HKMJ 2001, 7, 139–145. [Google Scholar] [PubMed]
- Andrich, S.; Haastert, B.; Neuhaus, E.; Neidert, K.; Arend, W.; Ohmann, C.; Grebe, J.; Vogt, A.; Jungbluth, P.; Thelen, S.; et al. Excess Mortality After Pelvic Fractures Among Older People. J. Bone Miner. Res. 2017, 32, 1789–1801. [Google Scholar] [CrossRef] [PubMed]
- Rheinland_Pfalz. Statistisches Landesamt. Statistische Berichte 2018. Available online: https://www.statistik.rlp.de/fileadmin/dokumente/berichte/A/2033/A2033_201600_1j_L.pdf (accessed on 14 May 2020).
- Fensky, F.; Weiser, L.; Sellenschloh, K.; Vollmer, M.; Hartel, M.J.; Morlock, M.M.; Püschel, K.; Rueger, J.M.; Lehmann, W. Biomechanical analysis of anterior pelvic ring fractures with intact peripelvic soft tissues: A cadaveric study. Eur. J. Trauma Emerg. Surg. 2019, 1–7. [Google Scholar] [CrossRef] [PubMed]
- Bradley, S.M. Falls in older adults. Mt. Sinai J. Med. 2011, 78, 590–595. [Google Scholar] [CrossRef] [PubMed]
- Enderlin, C.; Rooker, J.; Ball, S.; Hippensteel, D.; Alderman, J.; Fisher, S.J.; McLeskey, N.; Jordan, K. Summary of Factors Contributing to Falls in Older Adults and Nursing Implications. Geriatr. Nurs. 2015, 36, 397–406. [Google Scholar] [CrossRef]
- While, A.E. Falls and older people: Understanding why people fall. Br. J. Community Nurs. 2020, 25, 173–177. [Google Scholar] [CrossRef]
- Bukata, S.V.; Digiovanni, B.F.; Friedman, S.M.; Hoyen, H.; Kates, A.; Kates, S.L.; Mears, S.C.; Mendelson, D.A.; Serna, F.H., Jr.; Sieber, F.E.; et al. A guide to improving the care of patients with fragility fractures. Geriatr. Orthop. Surg. Rehabil. 2011, 2, 5–37. [Google Scholar] [CrossRef]
- Janssen, M.F.; Szende, A.; Cabases, J.; Ramos-Goñi, J.M.; Vilagut, G.; König, H.H. Population norms for the EQ-5D-3L: A cross-country analysis of population surveys for 20 countries. Eur. J. Health Econ. 2019, 20, 205–216. [Google Scholar] [CrossRef]
- Suhm, N.; Egger, A.; Zech, C.; Eckhardt, H.; Morgenstern, M.; Gratza, S. Low acceptance of osteoanabolic therapy with parathyroid hormone in patients with fragility fracture of the pelvis in routine clinical practice: A retrospective observational cohort study. Arch. Orthop. Trauma Surg. 2020, 140, 321–329. [Google Scholar] [CrossRef]


| Number | % | Mean Age | SD | |
|---|---|---|---|---|
| Demographics | ||||
| All patients | 138 | 100 | 80.6 | 8.6 |
| Women | 117 | 84.8 | 81.5 | 8.2 |
| Men | 21 | 15.2 | 75.9 | 9.2 |
| Patients younger than 80 | 57 | 41.3 | 72.5 | 6.1 |
| Patients age 80 and older | 81 | 58.7 | 86.2 | 4.8 |
| Trauma Mechanism | Number | % | ||
| Fall from standing position | 106 | 77 | ||
| Other trauma mechanism | 19 | 13.8 | ||
| Recurrent falls | 7 | 5.1 | ||
| No trauma memorable | 6 | 4.2 | ||
| Time of Presentation | Number | % | ||
| Day of trauma | 86 | 62.3 | ||
| Within first week | 30 | 21.7 | ||
| After one week | 22 | 16.0 | ||
| Comorbidities | Number | % | ||
| Patients without comorbidities | 15 | 10.9 | ||
| Patients with comorbidities | 123 | 89.1 | ||
| Cardiovascular disease | 112 | 81.2 | ||
| Osteoporosis | 54 | 39.1 | ||
| Actual/previous malignancies | 28 | 20.3 | ||
| Diabetes mellitus | 27 | 19.6 | ||
| Pulmonary disease | 7 | 12.3 | ||
| Dementia | 15 | 10.9 | ||
| Rheumatoid arthritis | 5 | 3.6 | ||
| Medication | Number | % | ||
| Anticoagulants | 107 | 77.5 | ||
| Cortisone | 20 | 14.5 | ||
| Previous surgeries | Number | % | ||
| Total hip arthroplasty | 20 | 14.5 | ||
| Lumbar spine fusion | 5 | 3.6 | ||
| Author [Reference] | Year | Number of Patients | Age (Range) | Sex (F/M |
|---|---|---|---|---|
| Hill et al. [7] | 2001 | 286 | 74.7 (17–97) | 231/55 |
| Taillander et al. [17] | 2003 | 60 | 83 (65–99) | 54/6 |
| Krappinger et al. [8] | 2009 | 534 | 73.3 (SD 19.8) | 448/86 |
| van Dyck et al. [18] | 2010 | 99 | 80.1 (60–98) | 88/11 |
| Maier et al. [19] | 2016 | 93 | 76.8 (n.a.) | 64/29 |
| Banierink et al. [20] | 2019 | 153 | 79 (65–100) | 108/45 |
| Schmitz et al. [21] | 2019 | 196 | 75.3 (60–94) | 138/58 |
| Hamilton et al. [10] | 2019 | 43 | 78.4 (S.D 9.2) | 32/11 |
| Loggers et al. [11] | 2019 | 117 | 83 (65–97) | 101/16 |
| Own series | 2020 | 138 | 80.6 (52–98) | 117/21 |
| Number | % | |
|---|---|---|
| In-Hospital Complications | ||
| All in-hospital patients | 124 | 100 |
| In-hospital death | 5 | 4.0 |
| Number of patients with in-hospital complications | 22 | 17.7 |
| Type of In-Hospital Complication | ||
| Urinary tract infection | 17 | 13.7 |
| Pneumonia | 7 | 5.6 |
| Skin ulcer | 6 | 4.8 |
| Cardiovascular accident | 3 | 2.4 |
| Mobility at Discharge | ||
| All surviving in-hospital patients | 119 | 100 |
| Type | ||
| Mobile on the ward | 68 | 57.1 |
| Mobile in the room | 18 | 15.2 |
| Need help for out-of-bed mobilization | 15 | 12.6 |
| Immobilized in bed | 0 | 0 |
| Unknown | 18 | 15.2 |
| Destination of Discharge | ||
| All surviving in-hospital patients | 119 | 100 |
| Type | ||
| Discharge at home | 74 | 62.2 |
| Geriatric rehabilitation center | 13 | 11.0 |
| Geriatric clinic | 10 | 8.4 |
| Nursing home | 10 | 8.4 |
| Short-time nursing care | 6 | 5.0 |
| Assisted living environment | 3 | 2.5 |
| Other hospital | 1 | 0.8 |
| Unknown | 16 | 13.4 |
| Author (Reference) | Year | Number | Mean Age of Patients | One-Year Mortality Rate, in % | Reference Group in % |
|---|---|---|---|---|---|
| Hill et al. [7] | 2001 | 286 | 74.7 | 13.3 | 4.7 *** |
| Leung et al. [22] | 2001 | 60 | 78 | 11.7 | |
| Krappinger et al. [8] | 2009 | 534 | 73.3 | 11.2 | |
| Krappinger et al. [8] | 2009 | 270 * | n.a. | 3.7 | |
| Krappinger et al. [8] | 2009 | 264 ** | n.a. | 18.9 | 12.5 **** |
| van Dyck et al. [18] | 2010 | 99 | 80.1 | 24.7 | 7.5 ***** |
| Maier et al. [19] | 2016 | 93 | 76.8 | ||
| Andrich et al. [23] | 2017 | 5685 | 80 | 21 | 11 |
| Banierink et al. [20] | 2019 | 153 | 79 | 26.8 | |
| Banierink et al. [20] | 2019 | 65 | 76–8531 | 5 ***** | |
| Banierink et al. [20] | 2019 | 34 | >85 | 35 | 15 ***** |
| Loggers et al. [11] | 2019 | 117 | 83 | 23 | |
| Loggers et al. [11] | 2019 | 94 | n.a. | 20 Ɨ | |
| Own series | 2020 | 138 | 80.6 | 16.7 | 5.9 ¥/4.0 ¥¥ |
| Own series | 2020 | 57 * | 74 | 8.8 | |
| Own series | 2020 | 81 ** | 86 | 22.2 | |
| Own series | 2020 | 21 ƭ | 75 | 19.1 | 5.5 |
| Own series | 2020 | 117 ƭ | 82 | 16.2 | 4.0 |
| Number | % | |||
|---|---|---|---|---|
| All patients | 138 | 100 | ||
| Death at follow-up | 45 | 32.6 | ||
| Lost to follow-up | 17 | 12.3 | ||
| Refused participation | 4 | 2.9 | ||
| Remaining patients | 72 | 52.2 | ||
| Mobility at Follow-Up | ||||
| All patients | 72 | 100 | ||
| Type | ||||
| Independent walking | 20 | 27.8 | ||
| Walking with walking aid | 36 | 50 | ||
| Walking inside home | 12 | 16.7 | ||
| Immobilized in bed | 4 | 5.6 | ||
| Living Condition at Primary Presentation and at Follow-Up | ||||
| Primary Presentation | Follow-Up | |||
| Number | % | Number | % | |
| Number of patients | 72 | 100 | 72 | 100 |
| Independent at home | 44 | 61.1 | 27 | 37.5 |
| At home with assistance | 14 | 19.4 | 20 | 27.8 |
| Nursing home | 6 | 8.3 | 14 | 19.4 |
| Hospitalized | 3 | 4.2 | 1 | 1.4 |
| Assisted living environment | 2 | 2.8 | 4 | 5.6 |
| Unknown | 3 | 4.2 | 6 | 8.3 |
© 2020 by the authors. Licensee MDPI, Basel, Switzerland. This article is an open access article distributed under the terms and conditions of the Creative Commons Attribution (CC BY) license (http://creativecommons.org/licenses/by/4.0/).
Share and Cite
Rommens, P.M.; Hopf, J.C.; Herteleer, M.; Devlieger, B.; Hofmann, A.; Wagner, D. Isolated Pubic Ramus Fractures Are Serious Adverse Events for Elderly Persons: An Observational Study on 138 Patients with Fragility Fractures of the Pelvis Type I (FFP Type I). J. Clin. Med. 2020, 9, 2498. https://doi.org/10.3390/jcm9082498
Rommens PM, Hopf JC, Herteleer M, Devlieger B, Hofmann A, Wagner D. Isolated Pubic Ramus Fractures Are Serious Adverse Events for Elderly Persons: An Observational Study on 138 Patients with Fragility Fractures of the Pelvis Type I (FFP Type I). Journal of Clinical Medicine. 2020; 9(8):2498. https://doi.org/10.3390/jcm9082498
Chicago/Turabian StyleRommens, Pol Maria, Johannes Christof Hopf, Michiel Herteleer, Benjamin Devlieger, Alexander Hofmann, and Daniel Wagner. 2020. "Isolated Pubic Ramus Fractures Are Serious Adverse Events for Elderly Persons: An Observational Study on 138 Patients with Fragility Fractures of the Pelvis Type I (FFP Type I)" Journal of Clinical Medicine 9, no. 8: 2498. https://doi.org/10.3390/jcm9082498
APA StyleRommens, P. M., Hopf, J. C., Herteleer, M., Devlieger, B., Hofmann, A., & Wagner, D. (2020). Isolated Pubic Ramus Fractures Are Serious Adverse Events for Elderly Persons: An Observational Study on 138 Patients with Fragility Fractures of the Pelvis Type I (FFP Type I). Journal of Clinical Medicine, 9(8), 2498. https://doi.org/10.3390/jcm9082498

