Bilirubin—A Possible Prognostic Mortality Marker for Patients with ECLS
Abstract
1. Introduction
2. Materials and Methods
2.1. Study Design and Patients
2.2. Data Collection
2.3. Statistical Analysis
3. Results
3.1. Baseline Characteristics
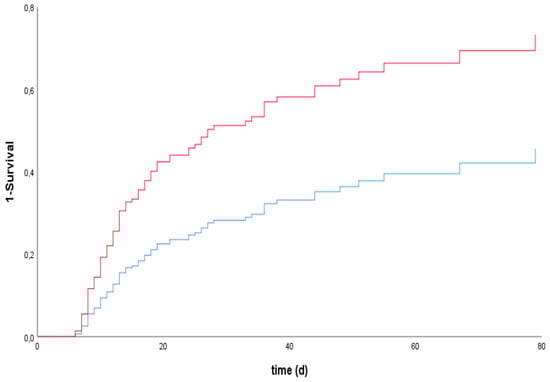
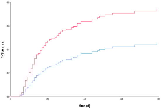
3.2. Laboratory Values and Outcome
4. Discussion
Limitations
5. Conclusions
Author Contributions
Funding
Conflicts of Interest
References
- Benjamin, E.J.; Virani, S.; Callaway, C.W.; Chamberlain, A.M.; Chang, A.R.; Cheng, S.; Chiuve, S.E.; Cushman, M.; Delling, F.N.; Deo, R.; et al. Heart Disease and Stroke Statistics—2018 Update: A Report From the American Heart Association. Circulation 2018, 137, e67–e492. [Google Scholar] [CrossRef] [PubMed]
- Eisenberg, M.S.; Mengert, T.J. Cardiac resuscitation. N. Engl. J. Med. 2001, 344, 1304–1313. [Google Scholar] [CrossRef] [PubMed]
- Adib-Hajbaghery, M.; Mousavi, G.; Akbari, H. Factors influencing survival after in-hospital cardiopulmonary resuscitation. Resuscitation 2005, 66, 317–321. [Google Scholar] [CrossRef]
- Conrad, S.A.; Rycus, P.T. Extracorporeal membrane oxygenation for refractory cardiac arrest. Ann. Card. Anaesth. 2017, 20, S4–S10. [Google Scholar] [CrossRef]
- Massetti, M.; Tasle, M.; Le Page, O.; Deredec, R.; Babatasi, G.; Buklas, D.; Thuaudet, S.; Charbonneau, P.; Hamon, M.; Grollier, G.; et al. Back from Irreversibility: Extracorporeal Life Support for Prolonged Cardiac Arrest. Ann. Thorac. Surg. 2005, 79, 178–183. [Google Scholar] [CrossRef] [PubMed]
- Pozzi, M.; Armoiry, X.; Achana, F.; Koffel, C.; Pavlakovic, I.; Lavigne, F.; Fellahi, J.L.; Obadia, J.F. Extracorporeal Life Support for Refractory Cardiac Arrest: A 10-Year Comparative Analysis. Ann. Thorac. Surg. 2019, 107, 809–816. [Google Scholar] [CrossRef]
- Thiagarajan, R.R.; Barbaro, R.P.; Rycus, P.T.; Mcmullan, D.M.; Conrad, S.A.; Fortenberry, J.D.; Paden, M.L. Extracorporeal Life Support Organization Registry International Report 2016. ASAIO J. 2017, 63, 60–67. [Google Scholar] [CrossRef] [PubMed]
- Chen, Y.-S.; Lin, J.-W.; Yu, H.-Y.; Ko, W.-J.; Jerng, J.-S.; Chang, W.-T.; Chen, W.-J.; Huang, S.-C.; Chi, N.-H.; Wang, C.-H.; et al. Cardiopulmonary resuscitation with assisted extracorporeal life-support versus conventional cardiopulmonary resuscitation in adults with in-hospital cardiac arrest: An observational study and propensity analysis. Lancet 2008, 372, 554–561. [Google Scholar] [CrossRef]
- Mazzeffi, M.; Greenwood, J.; Tanaka, K.; Menaker, J.; Rector, R.; Herr, D.; Kon, Z.; Lee, J.; Griffith, B.; Rajagopal, K.; et al. Bleeding, Transfusion, and Mortality on Extracorporeal Life Support: ECLS Working Group on Thrombosis and Hemostasis. Ann. Thorac. Surg. 2016, 101, 682–689. [Google Scholar] [CrossRef] [PubMed]
- Cheng, R.; Hachamovitch, R.; Kittleson, M.; Patel, J.; Arabia, F.; Moriguchi, J.; Esmailian, F.; Azarbal, B. Complications of Extracorporeal Membrane Oxygenation for Treatment of Cardiogenic Shock and Cardiac Arrest: A Meta-Analysis of 1,866 Adult Patients. Ann. Thorac. Surg. 2014, 97, 610–616. [Google Scholar] [CrossRef] [PubMed]
- Burrell, A.J.; Pellegrino, V.A.; Wolfe, R.; Wong, W.K.; Cooper, D.J.; Kaye, D.M.; Pilcher, D. Long-term survival of adults with cardiogenic shock after venoarterial extracorporeal membrane oxygenation. J. Crit. Care 2015, 30, 949–956. [Google Scholar] [CrossRef] [PubMed]
- Doulberis, M.; Kotronis, G.; Gialamprinou, D.; Özgüler, O.; Exadaktylos, A.K.; Oikonomou, V.; Katsinelos, P.; Romiopoulos, L.; Polyzos, S.; Tzivras, D.; et al. Acute Liver Failure: From Textbook to Emergency Room and Intensive Care Unit With Concomitant Established and Modern Novel Therapies. J. Clin. Gastroenterol. 2018, 53, 89–101. [Google Scholar] [CrossRef] [PubMed]
- Tessier, G.; Villeneuve, E.; Villeneuve, J.P. Etiology and Outcome of Acute Liver Failure: Experience from a Liver Transplantation Centre in Montreal. Can. J. Gastroenterol. 2002, 16, 672–676. [Google Scholar] [CrossRef] [PubMed]
- Freundt, M.; Lunz, D.; Philipp, A.; Panholzer, B.; Lubnow, M.; Friedrich, C.; Rupprecht, L.; Hirt, S.; Haneya, A. Impact of dynamic changes of elevated bilirubin on survival in patients on veno-arterial extracorporeal life support for acute circulatory failure. PLoS ONE 2017, 12, e0184995. [Google Scholar] [CrossRef] [PubMed]
- Iesu, E.; Franchi, F.; Cavicchi, F.Z.; Pozzebon, S.; Fontana, V.; Mendoza, M.; Nobile, L.; Scolletta, S.; Vincent, J.-L.; Creteur, J.; et al. Acute liver dysfunction after cardiac arrest. PLoS ONE 2018, 13, e0206655. [Google Scholar] [CrossRef] [PubMed]
- Roedl, K.; Spiel, A.O.; Nürnberger, A.; Horvatits, T.; Drolz, A.; Hubner, P.; Warenits, A.M.; Sterz, F.; Herkner, H.; Fuhrmann, V. Hypoxic liver injury after in- and out-of-hospital cardiac arrest: Risk factors and neurological outcome. Resuscitation 2019, 137, 175–182. [Google Scholar] [CrossRef] [PubMed]
- Roth, C.; Schrutka, L.; Binder, C.; Kriechbaumer, L.; Heinz, G.; Lang, I.M.; Maurer, G.; Koinig, H.; Steinlechner, B.; Niessner, A.; et al. Liver function predicts survival in patients undergoing extracorporeal membrane oxygenation following cardiovascular surgery. Crit. Care 2016, 20, 57. [Google Scholar] [CrossRef] [PubMed]
- Aubin, H.; Petrov, G.; Dalyanoglu, H.; Saeed, D.; Akhyari, P.; Paprotny, G.; Richter, M.; Westenfeld, R.; Schelzig, H.; Kelm, M.; et al. A Suprainstitutional Network for Remote Extracorporeal Life Support. JACC Heart Fail. 2016, 4, 698–708. [Google Scholar] [CrossRef] [PubMed]
- Aubin, H.; Petrov, G.; Dalyanoglu, H.; Richter, M.; Saeed, D.; Akhyari, P.; Kindgen-Milles, D.; Albert, A.; Lichtenberg, A. Four-year experience of providing mobile extracorporeal life support to out-of-center patients within a suprainstitutional network—Outcome of 160 consecutively treated patients. Resuscitation 2017, 121, 151–157. [Google Scholar] [CrossRef] [PubMed]
- Schmidt, M.; Burrell, A.; Roberts, L.; Bailey, M.; Sheldrake, J.; Rycus, P.T.; Hodgson, C.L.; Scheinkestel, C.; Cooper, D.J.; Thiagarajan, R.R.; et al. Predicting survival after ECMO for refractory cardiogenic shock: The survival after veno-arterial-ECMO (SAVE)-score. Eur. Heart J. 2015, 36, 2246–2256. [Google Scholar] [CrossRef] [PubMed]




| All Patients | Non-Survival | Survival | p-Value | |
|---|---|---|---|---|
| Number of Patients (n) (%) | 298 | 133 (45%) | 165 (55%) | ns |
| Age (Years) | 59 ± 14 | 61 ± 14 | 56 ± 14 | ns |
| Male (n) (%) | 219 | 100 (46%) | 119 (54%) | ns |
| Female (n) (%) | 79 | 33 (42%) | 46 (58%) | ns |
| Days of ECLS | 9 ± 7 | 11 ± 7 | 8 ± 7 | ns |
| Hazard Ratio | Lower 95% CI | Upper 95% CI | p-Value | |
|---|---|---|---|---|
| Bilirubin on day 5 including shock liver patients (n = 298) | ||||
| Bilirubin | 2.243 | 1.525 | 3.297 | <0.0001 |
| Age | 1.010 | 0.996 | 1.024 | 0.153 |
| Sex | 1.119 | 0.743 | 1.684 | 0.590 |
| LVAD | 0.433 | 0.235 | 0.795 | 0.007 |
| RVAD | 1.268 | 0.630 | 2.551 | 0.506 |
| CRRT | 1.758 | 1.142 | 2.707 | 0.010 |
| Bilirubin on day 5 excluding shock liver patients (n = 220) | ||||
| Bilirubin | 2.080 | 1.328 | 3.256 | 0.001 |
| Age | 1.013 | 0.996 | 1.031 | 0.136 |
| Sex | 1.243 | 0.753 | 2.051 | 0.395 |
| LVAD | 0.334 | 0.154 | 0.721 | 0.005 |
| RVAD | 2.000 | 0.822 | 4.865 | 0.127 |
| CRRT | 1.640 | 1.005 | 2.677 | 0.048 |
| Hazard Ratio | Lower 95% CI | Upper 95% CI | p-Value | |
|---|---|---|---|---|
| GOT on day 5 | ||||
| GOT | 1.868 | 1.233 | 2.830 | 0.003 |
| Age | 1.011 | 0.998 | 1.025 | 0.088 |
| Sex | 1.223 | 0.816 | 1.835 | 0.330 |
| LVAD | 0.460 | 0.249 | 0.848 | 0.013 |
| RVAD | 1.387 | 0.688 | 2.793 | 0.360 |
| CRRT | 1.667 | 1.070 | 2.599 | 0.024 |
| GPT on day 5 | ||||
| GPT | 1.406 | 0.941 | 2.100 | 0.097 |
| Age | 1.017 | 1.002 | 1.031 | 0.021 |
| Sex | 1.222 | 0.805 | 1.854 | 0.346 |
| LVAD | 0.518 | 0.270 | 0.993 | 0.047 |
| RVAD | 1.411 | 0.686 | 2.901 | 0.350 |
| CRRT | 1.933 | 1.209 | 3.093 | 0.006 |
© 2020 by the authors. Licensee MDPI, Basel, Switzerland. This article is an open access article distributed under the terms and conditions of the Creative Commons Attribution (CC BY) license (http://creativecommons.org/licenses/by/4.0/).
Share and Cite
Bunte, S.; Walz, R.; Merkel, J.; Torregroza, C.; Roth, S.; Lurati Buse, G.; Dalyanoglu, H.; Akhyari, P.; Lichtenberg, A.; Hollmann, M.W.; et al. Bilirubin—A Possible Prognostic Mortality Marker for Patients with ECLS. J. Clin. Med. 2020, 9, 1727. https://doi.org/10.3390/jcm9061727
Bunte S, Walz R, Merkel J, Torregroza C, Roth S, Lurati Buse G, Dalyanoglu H, Akhyari P, Lichtenberg A, Hollmann MW, et al. Bilirubin—A Possible Prognostic Mortality Marker for Patients with ECLS. Journal of Clinical Medicine. 2020; 9(6):1727. https://doi.org/10.3390/jcm9061727
Chicago/Turabian StyleBunte, Sebastian, Roland Walz, Julia Merkel, Carolin Torregroza, Sebastian Roth, Giovanna Lurati Buse, Hannan Dalyanoglu, Payam Akhyari, Artur Lichtenberg, Markus W. Hollmann, and et al. 2020. "Bilirubin—A Possible Prognostic Mortality Marker for Patients with ECLS" Journal of Clinical Medicine 9, no. 6: 1727. https://doi.org/10.3390/jcm9061727
APA StyleBunte, S., Walz, R., Merkel, J., Torregroza, C., Roth, S., Lurati Buse, G., Dalyanoglu, H., Akhyari, P., Lichtenberg, A., Hollmann, M. W., Aubin, H., & Huhn, R. (2020). Bilirubin—A Possible Prognostic Mortality Marker for Patients with ECLS. Journal of Clinical Medicine, 9(6), 1727. https://doi.org/10.3390/jcm9061727

