Magnetic Resonance Elastography of Liver in Light Chain Amyloidosis
Abstract
1. Introduction
2. Methods
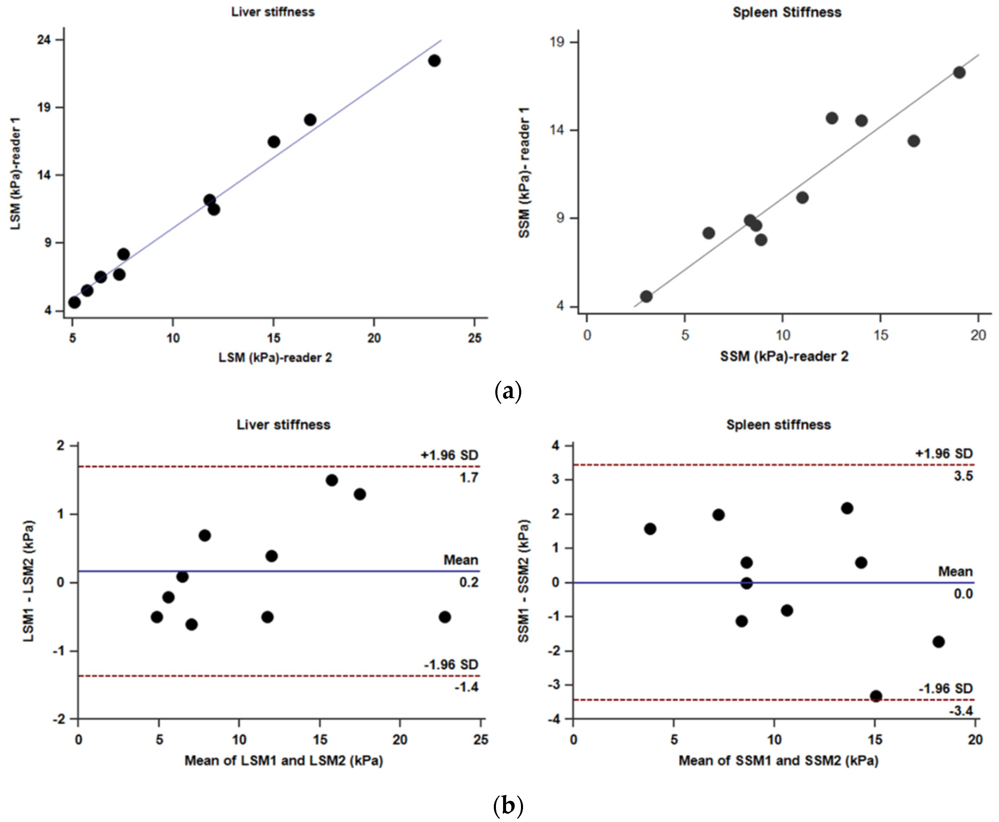
3. Results
4. Discussion
Author Contributions
Conflicts of Interest
References
- Gertz, M.A.; Kyle, R.A. Hepatic amyloidosis (primary (AL), immunoglobulin light chain): The natural history in 80 patients. Am. J. Med. 1988, 85, 73–80. [Google Scholar] [CrossRef]
- Brandt, K.; Cathcart, E.S.; Cohen, A.S. A clinical analysis of the course and prognosis of forty-two patients with amyloidosis. Am. J. Med. 1968, 44, 955–969. [Google Scholar] [CrossRef]
- Levine, R.A. Amyloid disease of the liver. Correlation of clinical, functional and morphologic features in forty-seven patients. Am. J. Med. 1962, 33, 349–357. [Google Scholar] [CrossRef]
- Iwata, T.; Hoshii, Y.; Kawano, H.; Gondo, T.; Takahashi, M.; Ishihara, T.; Yokota, T.; Ueda, J.; Uchino, F. Hepatic amyloidosis in Japan: Histological and morphometric analysis based on amyloid proteins. Hum. Pathol. 1995, 26, 1148–1153. [Google Scholar] [CrossRef]
- Gertz, M.A.; Kyle, R.A. Hepatic amyloidosis: Clinical appraisal in 77 patients. Hepatology 1997, 25, 118–121. [Google Scholar] [CrossRef]
- Bion, E.; Brenard, R.; A Pariente, E.; Lebrec, D.; Degott, C.; Maître, F.; Benhamou, J.P. Sinusoidal portal hypertension in hepatic amyloidosis. Gut 1991, 32, 227–230. [Google Scholar] [CrossRef]
- Finkelstein, S.D.; Fornasier, V.L.; Pruzanski, W. Intrahepatic cholestasis with predominant pericentral deposition in systemic amyloidosis. Hum. Pathol. 1981, 12, 470–472. [Google Scholar] [CrossRef]
- Agaram, N.; Shia, J.; Klimstra, D.S.; Lau, N.; Lin, O.; Erlandson, R.A.; Filippa, D.A.; Godwin, T.A. Globular hepatic amyloid: A diagnostic peculiarity that bears clinical significance. Hum. Pathol. 2005, 36, 845–849. [Google Scholar] [CrossRef] [PubMed]
- Kyle, R.A.; Bayrd, E.D. Amyloidosis: Review of 236 cases. Medicine 1975, 54, 271–299. [Google Scholar] [CrossRef] [PubMed]
- Briggs, G.W. Amyloidosis. Ann. Intern. Med. 1961, 55, 943–957. [Google Scholar] [CrossRef] [PubMed]
- Levy, M.; Fryd, C.H.; Eliakim, M. Intrahepatic obstructive jaundice due to amyloidosis of the liver. A case report and review of the literature. Gastroenterology 1971, 61, 234–238. [Google Scholar] [CrossRef]
- Park, M.A.; Mueller, P.S.; Kyle, R.A.; Larson, D.R.; Plevak, M.F.; Gertz, M.A. Primary (AL) hepatic amyloidosis: Clinical features and natural history in 98 patients. Medicine 2003, 82, 291–298. [Google Scholar] [CrossRef]
- Browning, M.J.; Banks, R.A.; Tribe, C.R.; Hollingworth, P.; Kingswood, C.; Mackenzie, J.C.; Bacon, P.A. Ten years’ experience of an amyloid clinic--a clinicopathological survey. Q. J. Med. 1985, 54, 213–227. [Google Scholar] [PubMed]
- Syed, U.; Ching Companioni, R.A.; Alkhawam, H.; Walfish, A. Amyloidosis of the gastrointestinal tract and the liver: Clinical context, diagnosis and management. Eur. J. Gastroenterol. Hepatol. 2016, 28, 1109–1121. [Google Scholar] [CrossRef] [PubMed]
- Kumar, S.K.; Gertz, M.A.; Lacy, M.Q.; Dingli, D.; Hayman, S.R.; Buadi, F.K.; Short-Detweiler, K.; Zeldenrust, S.R.; Leung, N.; Greipp, P.R.; et al. Recent improvements in survival in primary systemic amyloidosis and the importance of an early mortality risk score. Mayo Clin. Proc. 2011, 86, 12–18. [Google Scholar] [CrossRef]
- Wang, Y.-D.; Zhao, C.-Y.; Yin, H.-Z. Primary hepatic amyloidosis: A mini literature review and five cases report. Ann. Hepatol. 2012, 11, 721–727. [Google Scholar]
- Yood, R.A.; Skinner, M.; Rubinow, A.; Talarico, L.; Cohen, A.S. Bleeding manifestations in 100 patients with amyloidosis. JAMA 1983, 249, 1322–1324. [Google Scholar] [CrossRef]
- Harrison, R.F.; Hawkins, P.N.; Roche, W.R.; MacMahon, R.F.; Hubscher, S.G.; Buckels, J.A. ‘Fragile’ liver and massive hepatic haemorrhage due to hereditary amyloidosis. Gut 1996, 38, 151–152. [Google Scholar] [CrossRef] [PubMed]
- Ebert, E.C.; Nagar, M. Gastrointestinal manifestations of amyloidosis. Am. J. Gastroenterol. 2008, 103, 776–787. [Google Scholar] [CrossRef]
- Kim, S.; Han, J.; Lee, K.; Won, H.; Kim, K.; Kim, J.; Park, C.; Choi, B. Abdominal Amyloidosis: Spectrum of Radiological Findings. Clin. Radiol. 2003, 58, 610–620. [Google Scholar] [CrossRef]
- Benson, L.; Hemmingsson, A.; Ericsson, A.; Jung, B.; Sperber, G.; Thuomas, K.A.; Westermark, P. Magnetic resonance imaging in primary amyloidosis. Acta Radiol. 1987, 28, 13–15. [Google Scholar] [CrossRef]
- Ohta, H.; Kokuryu, H.; Ota, T.; Tomono, N.; Shimizu, T.; Shintaku, M.; Komibuchi, T. CT, MR Imaging, and Radionuclide Imaging in a Patient with Hepatic Involvement in Primary Amyloidosis. Clin. Med. 1997, 22, 778–780. [Google Scholar] [CrossRef]
- Koizumi, K.; Monzawa, S.; Shindo, C.; Hosaka, M. Primary Hepatic Amyloidosis Well Delineated by Tc-99m DTPA Galactosyl HSA Liver SPECT. Clin. Med. 1999, 24, 271–273. [Google Scholar] [CrossRef]
- Janssens, F.; Spahr, L.; Rubbia-Brandt, L.; Giostra, E.; Bihl, F. Hepatic amyloidosis increases liver stiffness measured by transient elastography. Acta Gastroenterol. Belg. 2010, 73, 52–54. [Google Scholar]
- Lanzi, A.; Gianstefani, A.; Mirarchi, M.G.; Pini, P.; Conti, F.; Bolondi, L. Liver AL amyloidosis as a possible cause of high liver stiffness values. Eur. J. Gastroenterol. Hepatol. 2010, 22, 895–897. [Google Scholar] [CrossRef]
- Srinivasan, S.; Tan, Y.Q.; Teh, H.S.; Lee, P.J.; Khoo, R.N. Primary hepatic amyloidosis presenting as nodular masses on the background of diffuse infiltration and extreme liver stiffness on MR elastography. J. Gastrointestin. Liver Dis. 2014, 23, 437–440. [Google Scholar]
- Trifanov, D.S.; Dhyani, M.; Bledsoe, J.R.; Misdraji, J.; Bhan, A.K.; Chung, R.T.; Samir, A.E. Amyloidosis of the liver on shear wave elastography: Case report and review of literature. Abdom. Imaging 2015, 40, 3078–3083. [Google Scholar] [CrossRef] [PubMed]
- Matsuda, S.; Motosugi, U.; Kato, R.; Muraoka, M.; Suzuki, Y.; Sato, M.; Shindo, K.; Nakayama, Y.; Inoue, T.; Maekawa, S.; et al. Hepatic Amyloidosis with an Extremely High Stiffness Value on Magnetic Resonance Elastography. Magn. Reson. Med. Sci. 2016, 15, 251–252. [Google Scholar] [CrossRef]
- Singh, S.; Venkatesh, S.K.; Wang, Z.; Miller, F.H.; Motosugi, U.; Low, R.N.; Hassanein, T.; Asbach, P.; Godfrey, E.M.; Yin, M.; et al. Diagnostic Performance of Magnetic Resonance Elastography in Staging Liver Fibrosis: A Systematic Review and Meta-analysis of Individual Participant Data. Clin. Gastroenterol. Hepatol. 2015, 13, 440–451. [Google Scholar] [CrossRef] [PubMed]
- Venkatesh, S.K.; Ehman, R.L. Magnetic Resonance Elastography of Liver. Magn. Reson. Imaging Clin. 2014, 22, 433–446. [Google Scholar] [CrossRef] [PubMed]
- Asrani, S.K.; Shah, V.; Ehman, R.; Kamath, P.S.; Talwalkar, J. Magnetic resonance elastography and prediction of decompensated cirrhosis. Hepatology 2012, 56, 914A. [Google Scholar]
- Takamura, T.; Motosugi, U.; Ichikawa, S.; Sano, K.; Morisaka, H.; Enomoto, N.; Onishi, H. Usefulness of MR elastography for detecting clinical progression of cirrhosis from child-pugh class A to B in patients with type C viral hepatitis. J. Magn. Reson. Imaging 2016, 44, 715–722. [Google Scholar] [CrossRef]
- Gertz, M.A.; Comenzo, R.; Falk, R.H.; Fermand, J.P.; Hazenberg, B.P.; Hawkins, P.N.; Merlini, G.; Moreau, P.; Ronco, P.; Sanchorawala, V.; et al. Definition of organ involvement and treatment response in immunoglobulin light chain amyloidosis (AL): A consensus opinion from the 10th International Symposium on Amyloid and Amyloidosis, Tours, France, 18–22 April 2004. Am. J. Hematol. 2005, 79, 319–328. [Google Scholar] [CrossRef]
- Venkatesh, S.K.; Yin, M.; Ehman, R.L. Magnetic resonance elastography of liver: Technique, analysis, and clinical applications. J. Magn. Reson. Imaging 2013, 37, 544–555. [Google Scholar] [CrossRef] [PubMed]
- Sidiqi, M.H.; Aljama, M.A.; Muchtar, E.; Buadi, F.K.; Warsame, R.; Lacy, M.Q.; Dispenzieri, A.; Dingli, D.; Leung, N.; Gonsalves, W.I.; et al. Light chain type predicts organ involvement and survival in AL amyloidosis patients receiving stem cell transplantation. Blood Adv. 2018, 2, 769–776. [Google Scholar] [CrossRef] [PubMed]
- Wells, M.L.; Fenstad, E.R.; Poterucha, J.T.; Hough, D.M.; Young, P.M.; Araoz, P.A.; Ehman, R.L.; Venkatesh, S.K. Imaging Findings of Congestive Hepatopathy. Radiographics 2016, 36, 1024–1037. [Google Scholar] [CrossRef] [PubMed]
- Cohen, E.B.; Afdhal, N.H. Ultrasound-based hepatic elastography: Origins, limitations, and applications. J. Clin. Gastroenterol. 2010, 44, 637–645. [Google Scholar] [CrossRef] [PubMed]
- Simonetto, D.A.; Yang, H.Y.; Yin, M.; de Assuncao, T.M.; Kwon, J.H.; Hilscher, M.; Pan, S.; Yang, L.; Bi, Y.; Beyder, A.; et al. Chronic passive venous congestion drives hepatic fibrogenesis via sinusoidal thrombosis and mechanical forces. Hepatology 2015, 61, 648–659. [Google Scholar] [CrossRef] [PubMed]
- Talwalkar, J.; Yin, M.; Venkatesh, S.; Rossman, P.J.; Grimm, R.C.; Manduca, A.; Romano, A.; Kamath, P.S.; Ehman, R.L. Feasibility of in vivo MR elastographic splenic stiffness measurements in the assessment of portal hypertension. AJR Am. J. Roentgenol. 2009, 193, 122–127. [Google Scholar] [CrossRef]
- Richards, D.B.; Cookson, L.M.; Berges, A.C.; Barton, S.V.; Lane, T.; Ritter, J.M.; Fontana, M.; Moon, J.C.; Pinzani, M.; Gillmore, J.D.; et al. Therapeutic Clearance of Amyloid by Antibodies to Serum Amyloid P Component. N. Engl. J. Med. 2015, 373, 1106–1114. [Google Scholar] [CrossRef]




| Mean | SD | Minimum | Maximum | |
|---|---|---|---|---|
| Age (years) | 56.8 | 9.00 | 42 | 68 |
| Serum ALP (39–100 U/L) | 308.7 | 241.59 | 67 | 701 |
| NT pro BNP (≤140 pg/mL) | 387.8 | 471.87 | 37 | 1424 |
| Kappa chain (0.33–1.94 mg/dL) | 7.82 | 13.45 | 0.42 | 39.6 |
| Lambda chain (0.55–2.63 mg/dL) | 5.03 | 7.25 | 0.12 | 22 |
| Liver span (cm) | 20.57 | 4.56 | 15.50 | 30 |
| Liver volume (mL) | 2944.8 | 956.74 | 1708 | 4370 |
| Liver stiffness measurement (kPa) | 11.15 | 5.94 | 4.85 | 22.75 |
| Spleen span (cm) | 12.61 | 3.0 | 9.40 | 18.5 |
| Spleen volume (mL) | 462.7 | 274.5 | 130 | 1080 |
| Spleen stiffness measurement (kPa) | 10.83 | 4.34 | 3.8 | 18.15 |
| Age | Kappa | Lambda | Serum ALP | NT pro BNP | Liver Span | Liver Volume | LSM | Spleen Span | Spleen Volume | SSM | |
|---|---|---|---|---|---|---|---|---|---|---|---|
| Age | 0.35 | −0.03 | −0.36 | 0.31 | −0.33 | −0.08 | −0.23 | 0.16 | 0.23 | 0.08 | |
| Kappa | 0.35 | −0.18 | 0.22 | −0.23 | 0.23 | 0.63 | 0.65 (0.04) | 0.45 | 0.686 (0.03) | 0.44 | |
| Lambda | −0.03 | −0.18 | −0.28 | −0.10 | −0.27 | −0.36 | −0.26 | −0.34 | −0.05 | 0.03 | |
| Serum ALP | −0.36 | 0.22 | −0.28 | 0.13 | 0.33 | 0.21 | 0.60 | 0.60 | 0.34 | 0.06 | |
| NT pro BNP | 0.31 | −0.23 | −0.10 | 0.13 | −0.30 | −0.40 | −0.32 | −0.06 | −0.24 | −0.25 | |
| Liver span | −0.33 | 0.23 | −0.27 | 0.33 | −0.30 | 0.810 (0.004) | 0.57 | 0.41 | 0.35 | 0.12 | |
| Liver volume | −0.08 | 0.63 | −0.36 | 0.21 | −0.40 | 0.810 (0.004) | 0.78 (0.008) | 0.36 | 0.41 | 0.19 | |
| LSM | −0.23 | 0.65 0.04 | −0.26 | 0.60 | −0.32 | 0.57 | 0.78 (0.008) | 0.59 | 0.60 | 0.45 | |
| Spleen span | 0.16 | 0.45 | −0.34 | 0.60 | −0.06 | 0.41 | 0.36 | 0.60 | 0.85 (0.002) | 0.58 | |
| Spleen volume | 0.23 | 0.69 0.03 | −0.05 | 0.34 | −0.24 | 0.35 | 0.41 | 0.60 | 0.85 (0.002) | 0.83 (0.003) | |
| SSM | 0.08 | 0.44 | 0.03 | 0.06 | −0.25 | 0.12 | 0.19 | 0.45 | 0.58 | 0.83 (0.003) |
© 2019 by the authors. Licensee MDPI, Basel, Switzerland. This article is an open access article distributed under the terms and conditions of the Creative Commons Attribution (CC BY) license (http://creativecommons.org/licenses/by/4.0/).
Share and Cite
Venkatesh, S.K.; Hoodeshenas, S.; Venkatesh, S.H.; Dispenzieri, A.; Gertz, M.A.; Torbenson, M.S.; Ehman, R.L. Magnetic Resonance Elastography of Liver in Light Chain Amyloidosis. J. Clin. Med. 2019, 8, 739. https://doi.org/10.3390/jcm8050739
Venkatesh SK, Hoodeshenas S, Venkatesh SH, Dispenzieri A, Gertz MA, Torbenson MS, Ehman RL. Magnetic Resonance Elastography of Liver in Light Chain Amyloidosis. Journal of Clinical Medicine. 2019; 8(5):739. https://doi.org/10.3390/jcm8050739
Chicago/Turabian StyleVenkatesh, Sudhakar K., Safa Hoodeshenas, Sandeep H. Venkatesh, Angela Dispenzieri, Morie A. Gertz, Michael S. Torbenson, and Richard L. Ehman. 2019. "Magnetic Resonance Elastography of Liver in Light Chain Amyloidosis" Journal of Clinical Medicine 8, no. 5: 739. https://doi.org/10.3390/jcm8050739
APA StyleVenkatesh, S. K., Hoodeshenas, S., Venkatesh, S. H., Dispenzieri, A., Gertz, M. A., Torbenson, M. S., & Ehman, R. L. (2019). Magnetic Resonance Elastography of Liver in Light Chain Amyloidosis. Journal of Clinical Medicine, 8(5), 739. https://doi.org/10.3390/jcm8050739

