Physician Empathy Interacts with Breaking Bad News in Predicting Lung Cancer and Pleural Mesothelioma Patient Survival: Timing May Be Crucial
Abstract
1. Introduction
2. Experimental Section
2.1. Participants
2.2. Design and Procedure
2.3. Measures
2.4. Statistical Analyses
3. Results
3.1. Descriptive Statistics
3.2. Prediction of Survival with the General Score of Empathy
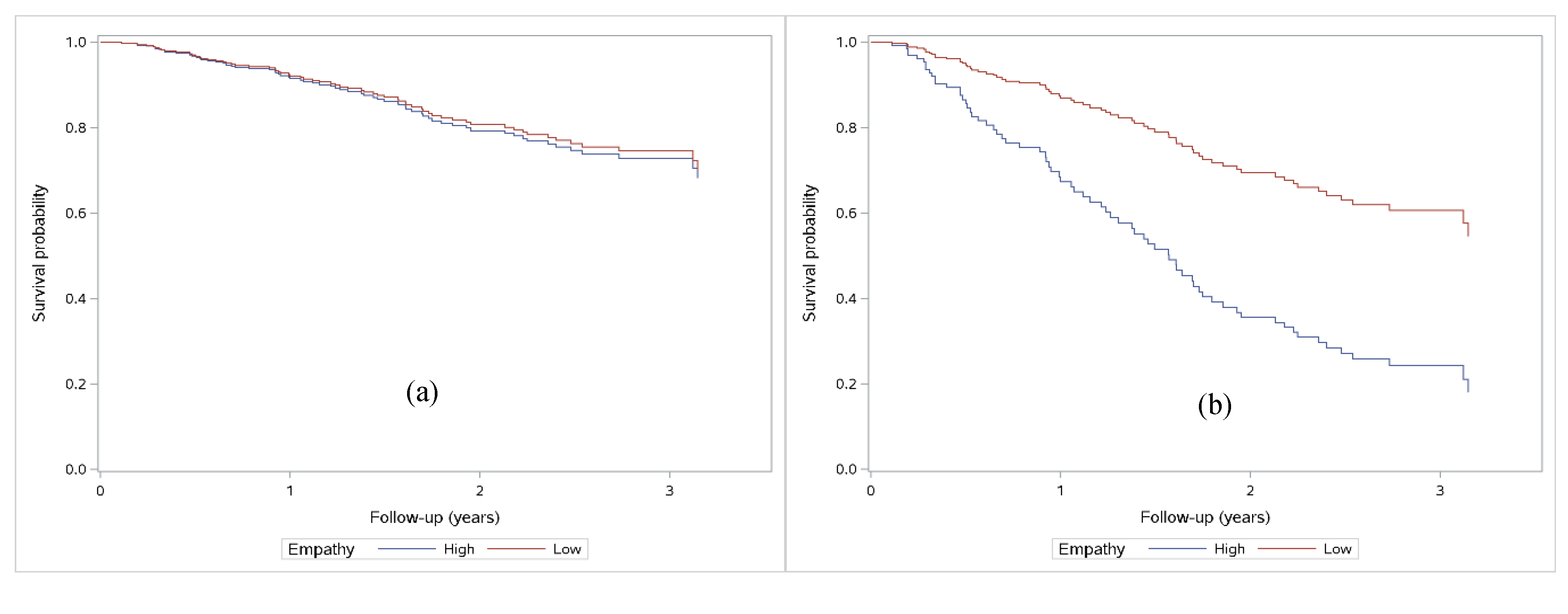
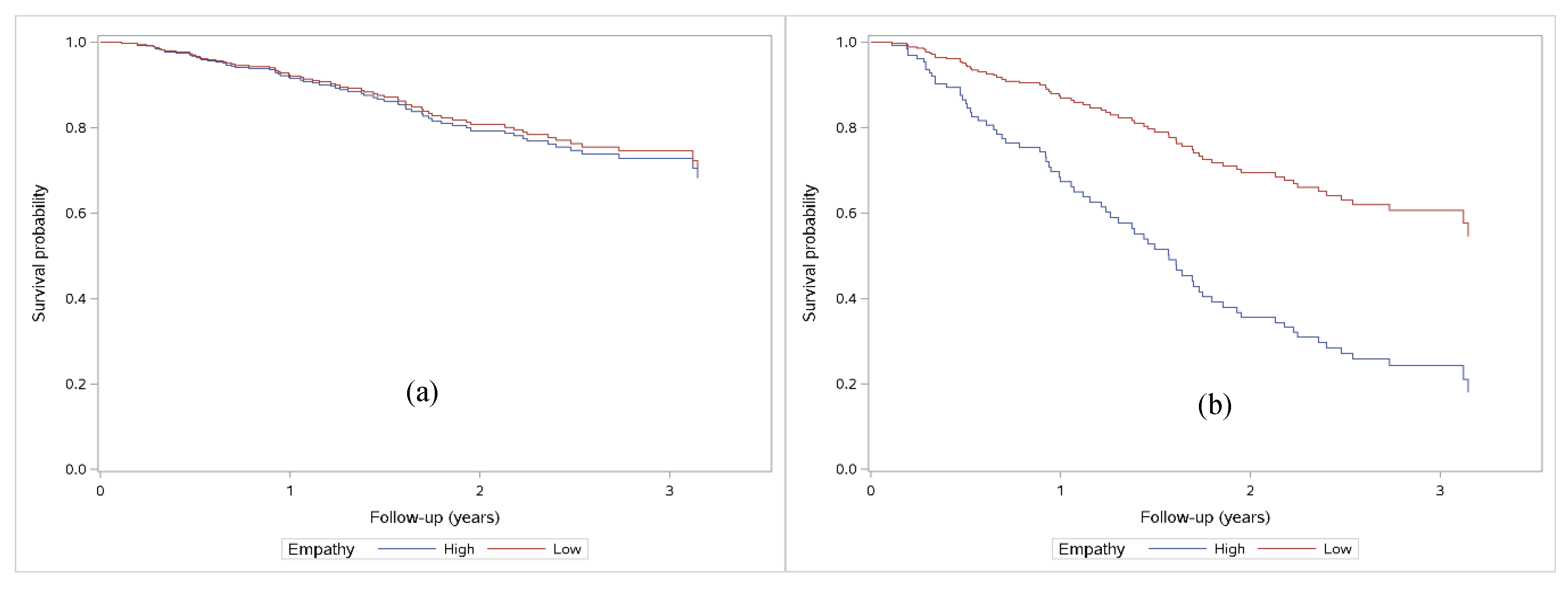
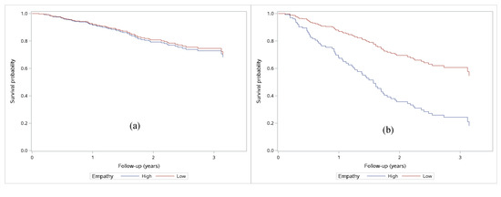
3.3. Prediction of Survival by Distinguishing the Two Types of Empathy
4. Discussion
5. Conclusions
Author Contributions
Funding
Acknowledgments
Conflicts of Interest
Appendix A
| Characteristics | Follow-Up Consultations | Bad-News Consultations | p Value | ||||
|---|---|---|---|---|---|---|---|
| Number of Patients | % | Mean (Standard Deviation, SD) | Number of Patients | % | Mean (SD) | ||
| Patients (n = 179) | |||||||
| Sociodemographic data | |||||||
| Age | 63.4 (11.9) | 63.4 (10.5) | 0.99 | ||||
| Men | 67 | 66.3 | 54 | 69.2 | 0.68 | ||
| Married or in a relationship (Yes) | 82 | 81.2 | 53 | 69.7 | 0.08 | ||
| Patient-reported education | 0.67 | ||||||
| No diploma | 22 | 21.8 | 17 | 21.8 | |||
| High school | 49 | 48.5 | 41 | 52.6 | |||
| Bachelor degree | 18 | 17.8 | 15 | 19.2 | |||
| More than bachelor degree | 12 | 11.9 | 5 | 6.4 | |||
| Patient-reported financial situation | 0.86 | ||||||
| Not at all or not very comfortable | 17 | 16.8 | 11 | 14.1 | |||
| Moderately comfortable | 55 | 54.5 | 45 | 57.7 | |||
| Rather or very comfortable | 29 | 28.7 | 22 | 28.2 | |||
| Medical data | |||||||
| Type and severity of cancer | <0.0001 | ||||||
| Stage I, II or III (NSCL or SCL) | 62 | 61.4 | 22 | 28.2 | |||
| Stage IV (NSCL or SCL) | 22 | 21.8 | 34 | 43.6 | |||
| Mesothelioma (no stage assigned) | 8 | 7.9 | 13 | 16.7 | |||
| Missing data | 9 | 8.9 | 9 | 11.5 | |||
| Smoker | 0.12 | ||||||
| Never | 12 | 11.9 | 12 | 15.4 | |||
| Ever | 71 | 70.3 | 85 | 44.8 | |||
| Missing data | 18 | 17.8 | 31 | 39.7 | |||
| Time since diagnosis and inclusion in the study (years) | 2.5 (2.4) | 2.4 (1.9) | 0.64 | ||||
| Karnofsky index | 0.76 | ||||||
| 60–70 | 5 | 4.9 | 3 | 3.9 | |||
| >70 | 54 | 93.1 | 71 | 91.0 | |||
| Missing data | 2 | 2.0 | 4 | 5.1 | |||
| Metastasis | 17 | 16.8 | 34 | 43.6 | <0.0001 | ||
| Treatment before inclusion | |||||||
| Chemotherapy | 57 | 56.4 | 62 | 79.5 | 0.0012 | ||
| Surgery | 60 | 59.4 | 22 | 28.2 | <0.0001 | ||
| Radiotherapy | 47 | 46.5 | 24 | 30.8 | 0.0325 | ||
| Targeted therapies | 5 | 5.1 | 9 | 11.7 | 0.10 | ||
| Treatment after inclusion | |||||||
| Surgery | 6 | 5.9 | 2 | 2.6 | 0.28 | ||
| Chemotherapy | 31 | 30.7 | 49 | 62.8 | <0.0001 | ||
| Radiotherapy | 16 | 15.9 | 22 | 28.2 | 0.04 | ||
| Targeted therapies | 12 | 11.9 | 19 | 24.4 | 0.03 | ||
| Immunotherapy | 11 | 10.9 | 25 | 32.1 | 0.0005 | ||
| No further treatment | 49 | 48.5 | 11 | 14.1 | <0.0001 | ||
| Charlson index of comorbidities | 7.6 (2.7) | 8.5 (2.2) | 0.03 | ||||
| Genetic mutation: EGFR or ALK or ROS (%) | 8 | 7.9 | 12 | 15.4 | 0.12 | ||
| Deceased at censoring | 36 | 35.6 | 52 | 66.7 | <0.0001 | ||
| Psychological data | |||||||
| Cancer-related emotional distress | 7.7 (5.5) | 9.6 (4.7) | 0.02 | ||||
| Patient emotional skills | 3.3 (0.6) | 3.3 (0.5) | 0.66 | ||||
| Patient-reported physician empathy | 43.7 (6.7) | 42.5 (7.1) | 0.23 | ||||
| Characteristics | Low Patient-Reported Physician Empathy (≤45) | High Patient-Reported Physician Empathy (>45) | p Value | ||||
|---|---|---|---|---|---|---|---|
| Number of Patients | % | Mean (Standard Deviation, SD) | Number of Patients | % | Mean (SD) | ||
| Patients (n = 179) | |||||||
| Sociodemographic data | |||||||
| Age | 64.1 (12.4) | 62.9 (10.3) | 0.50 | ||||
| Men | 67 | 74.4 | 53 | 60.2 | 0.04 | ||
| Married or in a relationship (Yes) | 64 | 72.7 | 70 | 79.6 | 0.29 | ||
| Education | 0.43 | ||||||
| No diploma | 24 | 26.7 | 15 | 17.1 | |||
| High school | 44 | 48.9 | 46 | 52.3 | |||
| Bachelor degree | 15 | 16.7 | 17 | 19.3 | |||
| More than bachelor degree | 7 | 7.8 | 10 | 11.4 | |||
| Financial ease | 0.09 | ||||||
| Not at all or not very comfortable | 13 | 14.4 | 15 | 17.1 | |||
| Moderately comfortable | 57 | 63.3 | 42 | 47.7 | |||
| Rather or very comfortable | 20 | 22.2 | 31 | 35.2 | |||
| Medical data | |||||||
| Type and severity of cancer | 0.71 | ||||||
| Stage I, II or III (NSCL or SCL) | 44 | 48.9 | 40 | 45.5 | |||
| Stage IV (NSCL or SCL) | 26 | 28.9 | 29 | 33.0 | |||
| Mesothelioma (no stage assigned) | 12 | 13.3 | 9 | 10.2 | |||
| Missing data | 8 | 8.9 | 10 | 11.4 | |||
| Smoker | 0.83 | ||||||
| Never | 12 | 13.3 | 12 | 13.6 | |||
| Ever | 50 | 55.6 | 55 | 62.5 | |||
| Missing data | 28 | 31.1 | 21 | 23.4 | |||
| Time since diagnosis and inclusion in the study (years) | 2.3 (1.9) | 2.5 (2.3) | 0.57 | ||||
| Karnofsky index | 0.18 | ||||||
| 60–70 | 6 | 6.7 | 2 | 2.3 | |||
| >70 | 83 | 92.2 | 81 | 92.1 | |||
| Missing data | 1 | 1.1 | 5 | 5.7 | |||
| Metastasis | 23 | 26.7 | 27 | 31.0 | 0.53 | ||
| Treatment before inclusion | |||||||
| Chemotherapy | 57 | 63.3 | 61 | 69.3 | 0.40 | ||
| Surgery | 39 | 43.3 | 43 | 48.9 | 0.46 | ||
| Radiotherapy | 36 | 40.0 | 34 | 38.6 | 0.85 | ||
| Targeted therapies | 7 | 7.8 | 7 | 8.1 | 0.95 | ||
| Treatment after inclusion | |||||||
| Surgery | 4 | 4.4 | 4 | 4.5 | 0.97 | ||
| Chemotherapy | 44 | 48.9 | 35 | 39.8 | 0.22 | ||
| Radiotherapy | 23 | 25.6 | 15 | 17.5 | 0.17 | ||
| Targeted therapies | 15 | 16.7 | 16 | 18.2 | 0.79 | ||
| Immunotherapy | 19 | 21.1 | 17 | 19.3 | 0.77 | ||
| No further treatment | 27 | 30.0 | 33 | 37.5 | 0.29 | ||
| Charlson index of comorbidities | 8.2 (2.5) | 7.7 (2.6) | 0.29 | ||||
| Genetic mutation: EGFR or ALK or ROS (%) | 10 | 11.1 | 10 | 11.4 | 0.12 | ||
| Deceased at censoring | 45 | 50.6 | 42 | 51.9 | 0.87 | ||
| Psychological data | |||||||
| Cancer-related emotional distress | 9.7 (5.1) | 7.5 (5.1) | 0.006 | ||||
| Patient emotional skills | 3.2 (0.4) | 3.5 (0.6) | 0.005 | ||||
| Patient-reported physician empathy | 37.1 (5.0) | 48.6 (1.7) | 0.001 | ||||
References
- Dempke, W.C.M.; Suto, T.; Reck, M. Targeted therapies for non-small cell lung cancer. Lung Cancer 2010, 67, 257–274. [Google Scholar] [CrossRef] [PubMed]
- Chida, Y.; Hamer, M.; Wardle, J.; Steptoe, A. Do stress-related psychosocial factors contribute to cancer incidence and survival? Nat. Clin. Pract. Oncol. 2008, 5, 466–475. [Google Scholar] [CrossRef] [PubMed]
- Hojat, M. Empathy in Patient Care: Antecedents, Development, Measurement, and Outcomes; Springer: New York, NY, USA, 2007. [Google Scholar]
- Hojat, M.; Louis, D.Z.; Markham, F.W.; Wender, R.; Rabinowitz, C.; Gonnella, J.S. Physicians’ empathy and clinical outcomes for diabetic patients. Acad. Med. 2011, 86, 359–364. [Google Scholar] [CrossRef] [PubMed]
- Lelorain, S.; Brédart, A.; Dolbeault, S.; Sultan, S. A systematic review of the associations between empathy measures and patient outcomes in cancer care. Psychooncology 2012, 21, 1255–1264. [Google Scholar] [CrossRef] [PubMed]
- Di Blasi, Z.; Harkness, E.; Ernst, E.; Georgiou, A.; Kleijnen, J. Influence of context effects on health outcomes: A systematic review. Lancet 2001, 357, 757–762. [Google Scholar] [CrossRef]
- Lutgendorf, S.K.; De Geest, K.; Bender, D.; Ahmed, A.; Goodheart, M.J.; Dahmoush, L.; Zimmerman, M.B.; Penedo, F.J.; Lucci, J.A.; Ganjei-Azar, P.; et al. Social influences on clinical outcomes of patients with ovarian cancer. J. Clin. Oncol. 2012, 30, 2885–2890. [Google Scholar] [CrossRef] [PubMed]
- Holt-Lunstad, J.; Smith, T.B.; Layton, J.B. Social relationships and mortality risk: A meta-analytic review. PLoS Med. 2010, 7, e1000316. [Google Scholar] [CrossRef] [PubMed]
- Frenkel, M.; Engebretson, J.C.; Gross, S.; Peterson, N.E.; Giveon, A.P.; Sapire, K.; Hermoni, D. Exceptional patients and communication in cancer care—Are we missing another survival factor? Support. Care Cancer 2016, 24, 4249–4255. [Google Scholar] [CrossRef] [PubMed]
- Cao, W.; Qi, X.; Yao, T.; Han, X.; Feng, X. How doctors communicate the initial diagnosis of cancer matters: Cancer disclosure and its relationship with patients’ hope and trust. Psychooncology 2017, 26, 640–648. [Google Scholar] [CrossRef] [PubMed]
- Price, M.; Butow, P.; Bell, M.; deFazio, A.; Friedlander, M.; Fardell, J.; Protani, M.; Webb, P.; Price, M.A.; Butow, P.N.; et al. Helplessness/hopelessness, minimization and optimism predict survival in women with invasive ovarian cancer: A role for targeted support during initial treatment decision-making? Support. Care Cancer 2016, 24, 2627–2634. [Google Scholar] [CrossRef] [PubMed]
- Watson, M.; Homewood, J.; Haviland, J.; Bliss, J.M. Influence of psychological response on breast cancer survival: 10-year follow-up of a population-based cohort. Eur. J. Cancer 2005, 41, 1710–1714. [Google Scholar] [CrossRef] [PubMed]
- Hubble, K.; Daughters, K.; Manstead, A.S.R.; Rees, A.; Thapar, A.; Van Goozen, S.H.M. Oxytocin increases attention to the eyes and selectively enhances self-reported affective empathy for fear. Neuropsychologia 2017, 106, 350–357. [Google Scholar] [CrossRef] [PubMed]
- Ji, H.; Liu, N.; Yin, Y.; Wang, X.; Chen, X.; Li, J.; Li, J. Oxytocin inhibits ovarian cancer metastasis by repressing the expression of MMP-2 and VEGF. J. Cancer 2018, 9, 1379–1384. [Google Scholar] [CrossRef] [PubMed]
- Yagil, D.; Shnapper-Cohen, M. When authenticity matters most: Physicians’ regulation of emotional display and patient satisfaction. Patient Educ. Couns. 2016, 99, 1694–1698. [Google Scholar] [CrossRef] [PubMed]
- Takayama, T.; Yamazaki, Y.; Katsumata, N. Relationship between outpatients’ perceptions of physicians’ communication styles and patients’ anxiety levels in a Japanese oncology setting. Soc. Sci. Med. 2001, 53, 1335–1350. [Google Scholar] [CrossRef]
- Sulzer, S.H.; Feinstein, N.W.; Wendland, C.L. Assessing empathy development in medical education: A systematic review. Med. Educ. 2016, 50, 300–310. [Google Scholar] [CrossRef] [PubMed]
- Fung, C.S.C.; Mercer, S.W. A qualitative study of patients’ views on quality of primary care consultations in Hong Kong and comparison with the UK CARE Measure. BMC Fam. Pract. 2009, 10, 10. [Google Scholar] [CrossRef] [PubMed]
- Østhus, A.A.; Aarstad, A.K.H.; Olofsson, J.; Aarstad, H.J. Prediction of 5 year survival from level of perceived distress in newly diagnosed head and neck squamous cell carcinoma patients. Oral Oncol. 2013, 49, 964–969. [Google Scholar] [CrossRef] [PubMed]
- Hoyt, M.A.; Stanton, A.L.; Bower, J.E.; Thomas, K.S.; Litwin, M.S.; Breen, E.C.; Irwin, M.R. Inflammatory biomarkers and emotional approach coping in men with prostate cancer. Brain Behav. Immun. 2013, 32, 173–179. [Google Scholar] [CrossRef] [PubMed]
- Moreno, P.I.; Moskowitz, A.L.; Ganz, P.A.; Bower, J.E. Positive affect and inflammatory activity in breast cancer survivors: Examining the role of affective arousal. Psychosom. Med. 2016, 78, 532–541. [Google Scholar] [CrossRef] [PubMed]
- Reed, R.G.; Weihs, K.L.; Sbarra, D.A.; Breen, E.C.; Irwin, M.R.; Butler, E.A. Emotional acceptance, inflammation, and sickness symptoms across the first two years following breast cancer diagnosis. Brain Behav. Immun. 2016, 56, 165–174. [Google Scholar] [CrossRef] [PubMed]
- Schofield, P.E.; Stockler, M.R.; Zannino, D.; Tebbutt, N.C.; Price, T.J.; Simes, R.J.; Wong, N.; Pavlakis, N.; Ransom, D.; Moylan, E.; et al. Hope, optimism and survival in a randomised trial of chemotherapy for metastatic colorectal cancer. Support. Care Cancer 2016, 24, 401–408. [Google Scholar] [CrossRef] [PubMed]
- West, H.J.; Jin, J.O. Performance status in patients with cancer. JAMA Oncol. 2015, 1, 998. [Google Scholar] [CrossRef] [PubMed]
- Lelorain, S.; Cattan, S.; Lordick, F.; Mehnert, A.; Mariette, C.; Christophe, V.; Cortot, A. In which context is physician empathy associated with cancer patient quality of life? Patient Educ. Couns. 2018, 101, 1216–1222. [Google Scholar] [CrossRef] [PubMed]
- Wirtz, M.; Boecker, M.; Forkmann, T.; Neumann, M. Evaluation of the “Consultation and Relational Empathy” (CARE) measure by means of Rasch-analysis at the example of cancer patients. Patient Educ. Couns. 2011, 82, 298–306. [Google Scholar] [CrossRef] [PubMed]
- Mercer, S.W.; Murphy, D.J. Validity and reliability of the CARE Measure in secondary care. Clin. Gov. Int. J. 2008, 13, 269–283. [Google Scholar] [CrossRef]
- Costet, N.; Lapierre, V.; Benhamou, E.; Le Galès, C. Reliability and validity of the Functional Assessment of Cancer Therapy General (FACT-G) in French cancer patients. Qual. Life Res. 2005, 14, 1427–1432. [Google Scholar] [CrossRef] [PubMed]
- Brasseur, S.; Grégoire, J.; Bourdu, R.; Mikolajczak, M. The Profile of Emotional Competence (PEC): Development and validation of a self-reported measure that fits dimensions of emotional competence theory. PLoS ONE 2013, 8, e62635. [Google Scholar] [CrossRef] [PubMed]
- Concato, J.; Peduzzi, P.; Holford, T.R.; Feinstein, A.R. Importance of events per independent variable in proportional hazards analysis. I. Background, goals, and general strategy. J. Clin. Epidemiol. 1995, 48, 1495–1501. [Google Scholar] [CrossRef]
- Peduzzi, P.; Concato, J.; Feinstein, A.R.; Holford, T.R. Importance of events per independent variable in proportional hazards regression analysis. II. Accuracy and precision of regression estimates. J. Clin. Epidemiol. 1995, 48, 1503–1510. [Google Scholar] [CrossRef]
- Vittinghoff, E.; McCulloch, C.E. Relaxing the rule of ten events per variable in logistic and Cox regression. Am. J. Epidemiol. 2007, 165, 710–718. [Google Scholar] [CrossRef] [PubMed]
- Ogundimu, E.O.; Altman, D.G.; Collins, G.S. Adequate sample size for developing prediction models is not simply related to events per variable. J. Clin. Epidemiol. 2016, 76, 175–182. [Google Scholar] [CrossRef] [PubMed]
- Howick, J.; Steinkopf, L.; Ulyte, A.; Roberts, N.; Meissner, K. How empathic is your healthcare practitioner? A systematic review and meta-analysis of patient surveys. BMC Med. Educ. 2017, 17, 136. [Google Scholar] [CrossRef] [PubMed]
- Derksen, F.; Olde Hartman, T.C.; van Dijk, A.; Plouvier, A.; Bensing, J.; Lagro-Janssen, A. Consequences of the presence and absence of empathy during consultations in primary care: A focus group study with patients. Patient Educ. Couns. 2017, 100, 987–993. [Google Scholar] [CrossRef] [PubMed]
- Butow, P.N.; Coates, A.S.; Dunn, S.M. Psychosocial predictors of survival in metastatic melanoma. J. Clin. Oncol. 1999, 17, 2256–2263. [Google Scholar] [CrossRef] [PubMed]
- Butow, P.N.; Coates, A.S.; Dunn, S.M. Psychosocial predictors of survival: Metastatic breast cancer. Ann. Oncol. 2000, 11, 469–474. [Google Scholar] [CrossRef] [PubMed]
- Greer, J.A.; Pirl, W.F.; Jackson, V.A.; Muzikansky, A.; Lennes, I.T.; Gallagher, E.R.; Prigerson, H.G.; Temel, J.S. Perceptions of health status and survival in patients with metastatic lung cancer. J. Pain Symptom Manag. 2014, 48, 548–557. [Google Scholar] [CrossRef] [PubMed]
- Kim, S.-Y.; Kim, J.-M.; Kim, S.-W.; Shin, I.-S.; Bae, K.-Y.; Shim, H.-J.; Hwang, J.-E.; Bae, W.-K.; Cho, S.-H.; Chung, I.-J.; et al. Does awareness of terminal status influence survival and quality of life in terminally ill cancer patients? Psychooncology 2013, 22, 2206–2213. [Google Scholar] [CrossRef] [PubMed]
- Gilligan, T.; Coyle, N.; Frankel, R.M.; Berry, D.L.; Bohlke, K.; Epstein, R.M.; Finlay, E.; Jackson, V.A.; Lathan, C.S.; Loprinzi, C.L.; et al. Patient-clinician communication: American Society of Clinical Oncology consensus guideline. J. Clin. Oncol. 2017, 35, 3618–3632. [Google Scholar] [CrossRef] [PubMed]
- Wessels, H.; de Graeff, A.; Wynia, K.; de Heus, M.; Kruitwagen, C.L.J.J.; Woltjer, G.T.G.J.; Teunissen, S.C.C.M.; Voest, E.E. Gender-related needs and preferences in cancer care indicate the need for an individualized approach to cancer patients. Oncologist 2010, 15, 648–655. [Google Scholar] [CrossRef] [PubMed]
- Seifart, C.; Hofmann, M.; Bär, T.; Riera Knorrenschild, J.; Seifart, U.; Rief, W. Breaking bad news—What patients want and what they get: Evaluating the SPIKES protocol in Germany. Ann. Oncol. 2014, 25, 707–711. [Google Scholar] [CrossRef] [PubMed]
- Chou, A.; Toon, C.W.; Clarkson, A.; Sheen, A.; Sioson, L.; Gill, A.J. The epithelioid BAP1-negative and p16-positive phenotype predicts prolonged survival in pleural mesothelioma. Histopathology 2018, 72, 509–515. [Google Scholar] [CrossRef] [PubMed]
- Lin, J.; Carter, C.A.; McGlynn, K.A.; Zahm, S.H.; Nations, J.A.; Anderson, W.F.; Shriver, C.D.; Zhu, K. A prognostic model to predict mortality among non-small cell lung cancer patients in the U.S. Military Health System. J. Thorac. Oncol. 2015, 10, 1694–1702. [Google Scholar] [CrossRef] [PubMed]
- Alelwani, S.M.; Ahmed, Y.A. Medical training for communication of bad news: A literature review. J. Educ. Health Promot. 2014, 3, 51. [Google Scholar] [PubMed]
- Paul, C.L.; Clinton-McHarg, T.; Sanson-Fisher, R.W.; Douglas, H.; Webb, G. Are we there yet? The state of the evidence base for guidelines on breaking bad news to cancer patients. Eur. J. Cancer 2009, 45, 2960–2966. [Google Scholar] [CrossRef] [PubMed]
- Dean, A.; Willis, S. The use of protocol in breaking bad news: Evidence and ethos. Int. J. Palliat. Nurs. 2016, 22, 265–271. [Google Scholar] [CrossRef] [PubMed]

| Characteristics | Number of Patients | % | Mean (Standard Deviation) (Range) |
|---|---|---|---|
| Patients (n = 179) | |||
| Sociodemographic data | |||
| Age | 63.4 (11.3) (24–85) | ||
| Men | 121 | 67.6 | |
| In a relationship or married (Yes) | 135 | 76.2 | |
| Patient-reported education | |||
| No diploma | 39 | 21.8 | |
| High school | 90 | 50.3 | |
| Bachelor degree | 33 | 18.4 | |
| More than bachelor degree | 17 | 9.5 | |
| Patient-reported financial situation | |||
| Not at all or not very comfortable | 28 | 15.6 | |
| Moderately comfortable | 100 | 55.9 | |
| Rather or very comfortable | 51 | 28.5 | |
| Medical data | |||
| Type of cancer | |||
| Non-small cell lung cancer (NSCL) | 135 | 75.4 | |
| Small cell lung cancer (SCL) | 10 | 5.6 | |
| Mesothelioma | 21 | 11.7 | |
| Missing data | 13 | 7.3 | |
| Cancer stage | |||
| Stage I, II or III (NSCL or SCL) | 84 | 46.9 | |
| Stage IV (NSCL or SCL) | 56 | 31.3 | |
| Mesothelioma (no stage assigned) | 21 | 11.7 | |
| Missing data | 18 | 10.1 | |
| Smoker | |||
| Never | 24 | 13.4 | |
| Ever | 106 | 59.2 | |
| Missing data | 49 | 27.4 | |
| Time since diagnosis and inclusion in the study (years) | 2.5 (2.2) (0.1–14.4) | ||
| Karnofsky index | |||
| 60–70 | 8 | 4.5 | |
| 80 | 20 | 11.2 | |
| 90 | 56 | 31.2 | |
| 100 | 89 | 19.7 | |
| Missing data | 6 | 3.3 | |
| Metastasis | 51 | 28.5 | |
| Treatment before inclusion | |||
| Surgery | 82 | 45.9 | |
| Chemotherapy | 119 | 66.5 | |
| Radiotherapy | 71 | 39.7 | |
| Targeted therapies | 14 | 7.8 | |
| Treatment after inclusion | |||
| Surgery | 8 | 4.5 | |
| Chemotherapy | 80 | 44.7 | |
| Radiotherapy | 38 | 21.2 | |
| Targeted therapies | 31 | 17.3 | |
| Immunotherapy | 36 | 20.1 | |
| No further treatment | 60 | 33.5 | |
| Charlson index of comorbidities | 8.0 (2.6) (0–16) | ||
| Genetic mutation: EGFR or ALK or ROS (%) | 20 | 11.2 | |
| Type of consultation | |||
| Routine follow-up | 100 | 55.9 | |
| Bad news | 79 | 43.0 | |
| Change of treatment because of treatment failure % | 69 | 38.6 | |
| Relapse or end of active treatment | 8 | 4.5 | |
| Missing data | 2 | 1.1 | |
| Deceased at censorship | |||
| Yes | 88 | 49.2 | |
| No | 83 | 46.4 | |
| Missing data | 8 | 4.4 | |
| Psychological data | |||
| Cancer-related emotional distress | 8.5 (5.2) (0–24) | ||
| Patient emotional skills | 3.4 (0.5) (1.9–4.8) | ||
| Patient-reported physician empathy | 43.2 (6.8) (22–50) | ||
| Physicians (n = 5) | |||
| Age | 35.8 (5.85) (33–48) | ||
| Men | 50 |
| Variable | HR | 95% CI | p Value |
|---|---|---|---|
| Sociodemographic data | |||
| Age | 1.02 | 1.01–1.04 | 0.015 |
| Woman | 0.51 | 0.30–0.84 | 0.009 |
| In a relationship or married (Yes) | 0.88 | 0.52–1.47 | 0.62 |
| Patient-reported Education | |||
| Overall | 0.49 | ||
| No diploma | 1.97 | 0.79–4.92 | 0.15 |
| High school | 1.47 | 0.63–3.46 | 0.37 |
| Bachelor degree | 1.58 | 0.62–4.00 | 0.34 |
| More than bachelor degree (reference category) | |||
| Patient-reported financial situation % | |||
| Overall | 0.25 | ||
| Not at all or not very comfortable | 0.55 | 0.27–1.12 | 0.10 |
| Moderately comfortable | 0.84 | 0.53–1.32 | 0.44 |
| Rather or very comfortable (reference category) | |||
| Medical data | |||
| Type and severity of cancer | <0.0001 | ||
| Stage I, II or III (NSCL or SCL) (reference category) | |||
| Stage IV (NSCL or SCL) | 2.48 | 1.51–4.05 | 0.0003 |
| Mesothelioma (no stage assigned) | 3.36 | 1.81–6.23 | 0.0001 |
| Smoker (ever) | 0.89 | 0.45–1.78 | 0.75 |
| Time since diagnosis and inclusion in the study (years) | 0.96 | 0.87–1.07 | 0.46 |
| Karnofsky index (60–70 compared to higher) | 2.11 | 0.92–4.85 | 0.08 |
| Metastasis % | 1.63 | 1.04–2.56 | 0.03 |
| Treatment before inclusion % | |||
| Chemotherapy | 1.78 | 1.06–2.90 | 0.02 |
| Surgery | 0.34 | 0.21–0.54 | <0.0001 |
| Radiotherapy | 0.95 | 0.62–1.45 | 0.80 |
| Targeted therapies | 1.83 | 0.92–3.64 | 0.09 |
| Treatment after inclusion % | |||
| Surgery | 0.17 | 0.02–1.25 | 0.08 |
| Chemotherapy | 2.18 | 1.41–3.37 | 0.0005 |
| Radiotherapy | 0.65 | 0.38–1.13 | 0.13 |
| Targeted therapies | 1.56 | 0.95–2.54 | 0.08 |
| Immunotherapy | 1.59 | 0.99–2.55 | 0.06 |
| No further treatment | 0.48 | 0.29–0.81 | 0.006 |
| Charlson index of comorbidities | 1.19 | 1.09–1.31 | <0.0001 |
| Genetic mutation: EGFR or ALK or ROS (%) | 1.22 | 0.67–2.25 | 0.52 |
| Psychological data | |||
| Cancer-related emotional distress | 1.05 | 1.01–1.09 | 0.01 |
| Patient emotional skills | 0.87 | 0.59–1.29 | 0.48 |
| Patient-reported physician empathy | 0.99 | 0.97–1.03 | 0.87 |
| Variable | Hazard Ratio | 95% CI | p Value |
|---|---|---|---|
| Age | 1.04 | 1.00–1.07 | 0.029 |
| Woman | 0.48 | 0.26–0.89 | 0.019 |
| Patient-reported education | |||
| No diploma (reference) | |||
| High school | 0.42 | 0.22–0.81 | 0.009 |
| Bachelor degree | 0.41 | 0.16–1.06 | 0.07 |
| >Bachelor | 0.50 | 0.14–1.70 | 0.26 |
| Patient-reported financial situation | |||
| Not at all or not very comfortable (reference) | |||
| Moderately comfortable | 1.42 | 0.58–3.45 | 0.44 |
| Rather or very comfortable | 1.27 | 0.46–3.57 | 0.65 |
| Type and severity of cancer | |||
| Stage I, II or III (NSCL or SCL) (reference category) | |||
| Stage IV (NSCL or SCL) | 3.14 | 1.22–8.09 | 0.018 |
| Mesothelioma (no stage assigned) | 3.30 | 1.22–8.91 | 0.018 |
| Karnofsky index 60–70 (compared to >70) | 2.53 | 0.84–7.59 | 0.10 |
| Time since diagnosis and inclusion in the study | 0.98 | 0.84–1.14 | 0.75 |
| Charlson index of comorbidities | 1.02 | 0.88–1.17 | 0.80 |
| Mutation (ALK, EGFR, ROS vs. none of them) | 1.40 | 0.64–3.06 | 0.40 |
| Metastases | 0.92 | 0.38–2.25 | 0.85 |
| Cancer-related emotional distress | 1.06 | 1.01–1.12 | 0.03 |
| Emotional skills | 1.57 | 0.87–2.85 | 0.14 |
| Patient-reported physician empathy | - | - | - |
| Type of consultation (bad news vs. follow-up) | - | - | - |
| Empathy * type-of-consultation (interaction) | 0.022 | ||
| Empathy in bad news consultations | 1.06 | 1.01–1.12 | 0.024 |
| Empathy in follow-up consultations | 0.96 | 0.90–1.03 | 0.24 |
| Variable | Hazard Ratio | 95% CI | p Value |
|---|---|---|---|
| Model A | |||
| Compassion/listening empathy * type-of-consultation (interaction) | - | - | 0.016 |
| Compassion/listening in bad news consultations | 1.13 | 1.03–1.23 | 0.008 |
| Compassion/listening in follow-up consultations | 0.94 | 0.85–1.05 | 0.300 |
| Model B | |||
| Active/positive empathy * type-of-consultation (interaction) | - | - | 0.07 |
| Active/positive in bad news consultations | 1.10 | 0.96–1.26 | 0.16 |
| Active/positive in follow-up consultations | 0.92 | 0.79–1.06 | 0.25 |
© 2018 by the authors. Licensee MDPI, Basel, Switzerland. This article is an open access article distributed under the terms and conditions of the Creative Commons Attribution (CC BY) license (http://creativecommons.org/licenses/by/4.0/).
Share and Cite
Lelorain, S.; Cortot, A.; Christophe, V.; Pinçon, C.; Gidron, Y. Physician Empathy Interacts with Breaking Bad News in Predicting Lung Cancer and Pleural Mesothelioma Patient Survival: Timing May Be Crucial. J. Clin. Med. 2018, 7, 364. https://doi.org/10.3390/jcm7100364
Lelorain S, Cortot A, Christophe V, Pinçon C, Gidron Y. Physician Empathy Interacts with Breaking Bad News in Predicting Lung Cancer and Pleural Mesothelioma Patient Survival: Timing May Be Crucial. Journal of Clinical Medicine. 2018; 7(10):364. https://doi.org/10.3390/jcm7100364
Chicago/Turabian StyleLelorain, Sophie, Alexis Cortot, Véronique Christophe, Claire Pinçon, and Yori Gidron. 2018. "Physician Empathy Interacts with Breaking Bad News in Predicting Lung Cancer and Pleural Mesothelioma Patient Survival: Timing May Be Crucial" Journal of Clinical Medicine 7, no. 10: 364. https://doi.org/10.3390/jcm7100364
APA StyleLelorain, S., Cortot, A., Christophe, V., Pinçon, C., & Gidron, Y. (2018). Physician Empathy Interacts with Breaking Bad News in Predicting Lung Cancer and Pleural Mesothelioma Patient Survival: Timing May Be Crucial. Journal of Clinical Medicine, 7(10), 364. https://doi.org/10.3390/jcm7100364

