Postoperative Changes in Hematological, Biochemical, and Redox Status Parameters in Spinal Osteoarthritis Patients Undergoing Spinal Decompression and Stabilization Surgery
Abstract
1. Introduction
2. Materials and Methods
2.1. Biochemical Analysis
2.2. Statistical Analysis
2.3. Sample Size Calculation
3. Results
3.1. Clinical and Demographic Characteristics of Patients
3.2. Changes in Hematological and Biochemical Parameters Post-Surgery
Inflammatory and Hematological Markers
3.3. Changes in Redox Status Post-Surgery
3.3.1. Serum Redox Markers
3.3.2. Erythrocyte Redox Markers
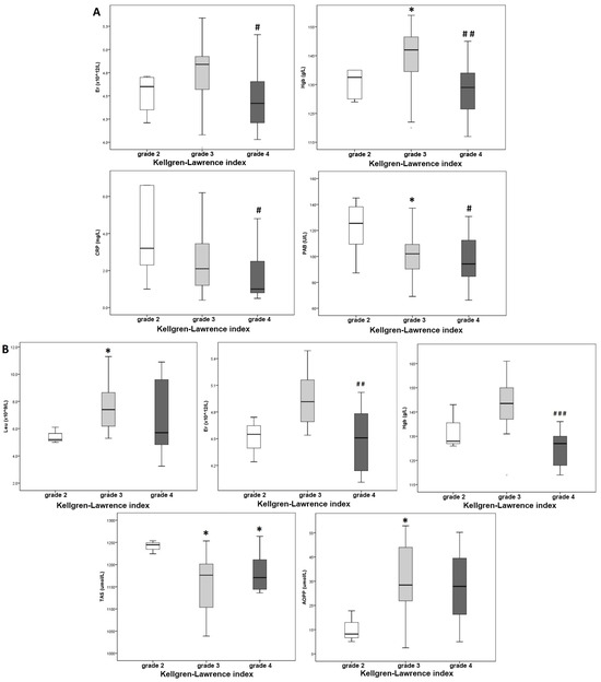
3.4. Association Between Disease Severity and Biochemical Parameters
Kellgren-Lawrence Index (K-L)
3.5. Factorial Analysis of Hematological, Biochemical, and Redox Parameters
4. Discussion
5. Conclusions
Author Contributions
Funding
Institutional Review Board Statement
Informed Consent Statement
Data Availability Statement
Conflicts of Interest
Abbreviations
| AOPP | Advanced oxidation protein products |
| BMI | Body mass index |
| CRP | C-reactive protein |
| ESR | Erythrocyte sedimentation rate |
| GSH | Reduced glutathione |
| Hgb | Hemoglobin |
| IL-1β | Interleukin-1 beta |
| IL-6 | Interleukin-6 |
| IMA | Ischemia-modified albumin |
| K-L | Kellgren–Lawrence |
| Leu | Leukocyte count |
| Lym (Ly) | Lymphocyte count |
| Neu (Ne) | Neutrophil count |
| NO | Nitric oxide |
| •O2− | Superoxide anion |
| OA | Osteoarthritis |
| ONOO− | Peroxynitrite |
| PAB | Prooxidant–antioxidant balance |
| PON1 | Paraoxonase 1 |
| PTH | Parathyroid hormone |
| ROS | Reactive oxygen species |
| SHG | Sulfhydryl groups |
| sOA | Spinal osteoarthritis |
| SOD | Superoxide dismutase |
| TAS | Total antioxidant status |
| TNFα | Tumor necrosis factor alpha |
| TOS | Total oxidant status |
| Tr | Thrombocyte (platelet) count |
References
- Gellhorn, A.C.; Katz, J.N.; Suri, P. Osteoarthritis of the spine: The facet joints. Nat. Rev. Rheumatol. 2013, 9, 216–224. [Google Scholar] [CrossRef]
- Laplante, B.L.; DePalma, M.J. Spine osteoarthritis. PMR 2012, 4, S28–S36. [Google Scholar] [CrossRef] [PubMed]
- Riegger, J.; Schoppa, A.; Ruths, L.; Haffner-Luntzer, M.; Ignatius, A. Oxidative stress as a key modulator of cell fate decision in osteoarthritis and osteoporosis: A narrative review. Cell. Mol. Biol. Lett. 2023, 28, 76. [Google Scholar] [CrossRef] [PubMed]
- Yui, N.; Yudoh, K.; Fujiya, H.; Musha, H. Mechanical and oxidative stress in osteoarthritis. J. Phys. Fit. Sports Med. 2016, 5, 81–86. [Google Scholar] [CrossRef][Green Version]
- Ansari, M.Y.; Ahmad, N.; Haqqi, T.M. Oxidative stress and inflammation in osteoarthritis pathogenesis: Role of polyphenols. Biomed. Pharmacother. 2020, 129, 110452. [Google Scholar] [CrossRef]
- Zahan, O.-M.; Serban, O.; Gherman, C.; Fodor, D. The evaluation of oxidative stress in osteoarthritis. Med. Pharm. Rep. 2020, 93, 12. [Google Scholar] [CrossRef]
- Li, Y.; Chen, L.; Gao, Y.; Zou, X.; Wei, F. Oxidative stress and intervertebral disc degeneration: Pathophysiology, signaling pathway, and therapy. Oxidative Med. Cell. Longev. 2022, 2022, 1984742. [Google Scholar] [CrossRef]
- Mirković, M.; Kukić, F.; Mirkov, D.; Marinković, D.; Mičeta, L.; Mirković, S.; Božić Nedeljković, B.; Baščarević, Z. Effects of Spinal Decompression and Segmental Spinal Instrumentation on Lower Limb Functionality in Patients with Spinal Osteoarthritis. Life 2024, 14, 1072. [Google Scholar] [CrossRef]
- Witko-Sarsat, V.; Friedlander, M.; Capeillère-Blandin, C.; Nguyen-Khoa, T.; Nguyen, A.T.; Zingraff, J.; Jungers, P.; Descamps-Latscha, B. Advanced oxidation protein products as a novel marker of oxidative stress in uremia. Kidney Int. 1996, 49, 1304–1313. [Google Scholar] [CrossRef]
- Alamdari, D.H.; Paletas, K.; Pegiou, T.; Sarigianni, M.; Befani, C.; Koliakos, G. A novel assay for the evaluation of the prooxidant–antioxidant balance, before and after antioxidant vitamin administration in type II diabetes patients. Clin. Biochem. 2007, 40, 248–254. [Google Scholar] [CrossRef]
- Bar–Or, D.; Lau, E.; Winkler, J.V. A novel assay for cobalt-albumin binding and its potential as a marker for myocardial ischemia—A preliminary report. J. Emerg. Med. 2000, 19, 311–315. [Google Scholar] [CrossRef] [PubMed]
- Erel, O. A new automated colorimetric method for measuring total oxidant status. Clin. Biochem. 2005, 38, 1103–1111. [Google Scholar] [CrossRef] [PubMed]
- Misra, H.P.; Fridovich, I. The role of superoxide anion in the autoxidation of epinephrine and a simple assay for superoxide dismutase. J. Biol. Chem. 1972, 247, 3170–3175. [Google Scholar] [CrossRef] [PubMed]
- Richter, R.J.; Furlong, C.E. Determination of paraoxonase (PON1) status requires more than genotyping. Pharmacogenet. Genom. 1999, 9, 745–754. [Google Scholar] [CrossRef]
- Ellman, G.L. Tissue sulfhydryl groups. Arch. Biochem. Biophys. 1959, 82, 70–77. [Google Scholar] [CrossRef]
- Jollow, D.; Mitchell, J.; Zampaglione, N.a.; Gillette, J. Bromobenzene-induced liver necrosis. Protective role of glutathione and evidence for 3, 4-bromobenzene oxide as the hepatotoxic metabolite. Pharmacology 1974, 11, 151–169. [Google Scholar] [CrossRef]
- Bath, J.; Smith, J.B.; Kruse, R.L.; Vogel, T.R. Neutrophil-lymphocyte ratio predicts disease severity and outcome after lower extremity procedures. J. Vasc. Surg. 2020, 72, 622–631. [Google Scholar] [CrossRef]
- Hira, S.; Tamam, C. Diagnostic value of hematological parameters in patients with osteoarthritis. Cukurova Med. J. 2017, 42, 120–125. [Google Scholar]
- Al-Janaby, A.H.H. Knee Osteoarthritis Severity in Relation to Neutrophil-Lymphocyte Ratio. Indian J. Forensic Med. Toxicol. 2021, 15, 821–825. [Google Scholar] [CrossRef]
- Liao, C.-R.; Wang, S.-N.; Zhu, S.-Y.; Wang, Y.-Q.; Li, Z.-Z.; Liu, Z.-Y.; Jiang, W.-S.; Chen, J.-T.; Wu, Q. Advanced oxidation protein products increase TNF-α and IL-1β expression in chondrocytes via NADPH oxidase 4 and accelerate cartilage degeneration in osteoarthritis progression. Redox Biol. 2020, 28, 101306. [Google Scholar] [CrossRef]
- Refaai, M.A.; Wright, R.W.; Parvin, C.A.; Gronowski, A.M.; Scott, M.G.; Eby, C.S. Ischemia-modified albumin increases after skeletal muscle ischemia during arthroscopic knee surgery. Clin. Chim. Acta 2006, 366, 264–268. [Google Scholar] [CrossRef]
- Troxler, M.; Thompson, D.; Homer-Vanniasinkam, S. Ischaemic skeletal muscle increases serum ischaemia modified albumin. Eur. J. Vasc. Endovasc. Surg. 2006, 31, 164–169. [Google Scholar] [CrossRef]
- Montagnana, M.; Lippi, G.; Volpe, A.; Salvagno, G.L.; Biasi, D.; Caramaschi, P.; Guidi, G.C. Evaluation of cardiac laboratory markers in patients with systemic sclerosis. Clin. Biochem. 2006, 39, 913–917. [Google Scholar] [CrossRef] [PubMed]
- Ghazizadeh, H.; Saberi-Karimian, M.; Aghasizadeh, M.; Sahebi, R.; Ghazavi, H.; Khedmatgozar, H.; Timar, A.; Rohban, M.; Javandoost, A.; Ghayour-Mobarhan, M. Pro-oxidant–antioxidant balance (PAB) as a prognostic index in assessing the cardiovascular risk factors: A narrative review. Obes. Med. 2020, 19, 100272. [Google Scholar] [CrossRef]
- Bagherifard, A.; Kadijani, A.A.; Yahyazadeh, H.; Rezazadeh, J.; Azizi, M.; Akbari, A.; Mirzaei, A. The value of serum total oxidant to the antioxidant ratio as a biomarker of knee osteoarthritis. Clin. Nutr. ESPEN 2020, 38, 118–123. [Google Scholar] [CrossRef] [PubMed]
- Paździor, M.; Kiełczykowska, M.; Kurzepa, J.; Luchowska-Kocot, D.; Kocot, J.; Musik, I. The oxidative stress in knee osteoarthritis patients. An attempt of evaluation of possible compensatory effects occurring in the disease development. Medicina 2019, 55, 150. [Google Scholar] [CrossRef] [PubMed]
- Tudorachi, N.B.; Totu, E.E.; Fifere, A.; Ardeleanu, V.; Mocanu, V.; Mircea, C.; Isildak, I.; Smilkov, K.; Cărăuşu, E.M. The implication of reactive oxygen species and antioxidants in knee osteoarthritis. Antioxidants 2021, 10, 985. [Google Scholar] [CrossRef]
- Abid, T.; Jaffari, S.A.Z.; Zohaib, M.; Jamil, M.; Afzal, S.; Hashim, Z. Oxidative stress and PON1 (T172A/L55M) polymorphism: Potential risk factors for Osteoarthritis. Population 2022, 15, 16. [Google Scholar] [CrossRef]
- Karachalios, T.; Paridis, D.; Tekos, F.; Skaperda, Z.; Veskoukis, A.S.; Kouretas, D. Patients undergoing surgery for hip fractures suffer from severe oxidative stress as compared to patients with hip osteoarthritis undergoing total hip arthroplasty. Oxidative Med. Cell. Longev. 2021, 2021, 5542634. [Google Scholar] [CrossRef]
- Idzik, M.; Poloczek, J.; Skrzep-Poloczek, B.; Chełmecka, E.; Jochem, J.; Stygar, D. General rehabilitation Program after knee or hip replacement significantly influences erythrocytes oxidative stress markers and serum ST2 levels. Oxidative Med. Cell. Longev. 2022, 2022, 1358858. [Google Scholar] [CrossRef]
- Surapaneni, K.M.; Venkataramana, G. Status of lipid peroxidation, glutathione, ascorbic acid, vitamin E and antioxidant enzymes in patients with osteoarthritis. Indian J. Med. Sci. 2007, 61, 9–14. [Google Scholar] [CrossRef] [PubMed]
- Surapneni, K.M.; Chandrasada Gopan, V. Lipid peroxidation and antioxidant status in patients with rheumatoid arthritis. Indian J. Clin. Biochem. 2008, 23, 41–44. [Google Scholar] [CrossRef] [PubMed]
- Fraenkel, P.G. Anemia of inflammation: A review. Med. Clin. North Am. 2016, 101, 285. [Google Scholar] [CrossRef] [PubMed]
- Liang, Y.; Xu, K.; Liu, W.; Liu, X.; Yuan, P.; Xu, P.; Li, H. Monomeric C-reactive protein level is associated with osteoarthritis. Exp. Ther. Med. 2022, 23, 277. [Google Scholar] [CrossRef]
- Kondo, F.; Takegami, Y.; Ishizuka, S.; Hasegawa, Y.; Imagama, S. The association of the progression of knee osteoarthritis with high-sensitivity CRP in community-dwelling people—The Yakumo study. Clin. Rheumatol. 2021, 40, 2643–2649. [Google Scholar] [CrossRef]
- Sereda, A.P.; Rukina, A.N.; Trusova, Y.V.; Dzhavadov, A.A.; Cherny, A.A.; Bozhkova, S.A.; Shubnyakov, I.I.; Tikhilov, R.M. Dynamics of C-reactive protein level after orthopedic surgeries. J. Orthop. 2024, 47, 1–7. [Google Scholar] [CrossRef]
- Rathee, A.; Chaurasia, M.K.; Singh, M.K.; Singh, V.; Kaushal, D.; Chaurasiya, M.K.; Kaushal, D. Relationship between pre-and post-operative C-Reactive Protein (CRP), Neutrophil-to-Lymphocyte Ratio (NLR), and Platelet-to-Lymphocyte Ratio (PLR) with post-operative pain after total hip and knee arthroplasty: An observational study. Cureus 2023, 15, e43782. [Google Scholar] [CrossRef]
- Yuan, T.; Yang, S.; Lai, C.; Yu, X.; Qian, H.; Meng, J.; Bao, N.; Zhao, J. Pathologic mechanism of hidden blood loss after total knee arthroplasty: Oxidative stress induced by free fatty acids. Int. J. Clin. Exp. Pathol. 2022, 15, 88. [Google Scholar]
- Chow, Y.Y.; Chin, K.-Y. The role of inflammation in the pathogenesis of osteoarthritis. Mediat. Inflamm. 2020, 2020, 8293921. [Google Scholar] [CrossRef]
- Kerksick, C.; Willoughby, D. The antioxidant role of glutathione and N-acetyl-cysteine supplements and exercise-induced oxidative stress. J. Int. Soc. Sports Nutr. 2005, 2, 38. [Google Scholar] [CrossRef]
- Ramón, R.; Holguín, E.; Chiriboga, J.D.; Rubio, N.; Ballesteros, C.; Ezechieli, M. Anti-inflammatory effect of vitamin C during the postoperative period in patients subjected to total knee arthroplasty: A randomized controlled trial. J. Pers. Med. 2023, 13, 1299. [Google Scholar] [CrossRef]
- Musumeci, G.; Mobasheri, A.; Trovato, F.M.; Szychlinska, M.A.; Imbesi, R.; Castrogiovanni, P. Post-operative rehabilitation and nutrition in osteoarthritis. F1000Research 2016, 3, 116. [Google Scholar] [CrossRef]
- Lowe, C.J.M.; Barker, K.L.; Dewey, M.; Sackley, C.M. Effectiveness of physiotherapy exercise after knee arthroplasty for osteoarthritis: Systematic review and meta-analysis of randomised controlled trials. BMJ 2007, 335, 812. [Google Scholar] [CrossRef]
- Gilbey, H.J.; Ackland, T.R.; Wang, A.W.; Morton, A.R.; Trouchet, T.; Tapper, J. Exercise improves early functional recovery after total hip arthroplasty. Clin. Orthop. Relat. Res. 2003, 408, 193–200. [Google Scholar] [CrossRef]


| Parameter | Number |
|---|---|
| N | 25 |
| Gender, female n (%) | 16 (64) |
| Age (years) | 59.1 ± 9.9 |
| Obesity, no/yes, n (%) | 10/15 (40/60) |
| BMI (kg/m2) | 27.5 ± 4.7 |
| Kellgren–Lawrence index, n (%) | |
| 2 | 3 (12) |
| 3 | 13 (52) |
| 4 | 9 (36) |
| Pfirrmann grade, n (%) | |
| 4 | 14 (56) |
| 5 | 11 (44) |
| Parameters | Before Surgery | After Surgery | p | Reference Values |
|---|---|---|---|---|
| ESR (mm/h) | 13 (10–20.0) | 16 (9–20) | 0.646 | 1–30 male 1–20 female |
| Leu (×109/L) | 7.8 (6.0–8.8) | 6.4 (5.4–8.6) | 0.143 | 3.4–9.7 |
| Neu (×109/L) | 4.7 (3.8–5.5) | 4.0 (3.0–5.1) | 0.014 | 2.1–6.5 |
| Lym (×109/L) | 1.8 (1.2–2.1) | 1.9 (1.6–2.3) | 0.016 | 1.2–3.4 |
| Er (×1012/L) | 4.56 (4.23–4.88) | 4.73 (4.54–4.93) | 0.036 | 4.43–5.72 male 3.86–5.08 female |
| Hgb (g/L) | 139 (130–147) | 137 (132–148) | 0.726 | 138–175 male 119–157 female |
| Tr (×109/L) | 250 (226–305) | 256 (224–299) | 0.353 | 158–424 |
| Fibrinogen (g/L) | 3.50 (3.00–3.70) | 3.50 (3.20–3.80) | 0.772 | 2.1–4.0 |
| CRP (mg/L) | 2.05 (1.00–3.42) | 2.30 (1.22–3.58) | 0.166 | 0–5 |
| Parameters | Before Surgery | After Surgery | p | Reference Values |
|---|---|---|---|---|
| AOPP (μmol/L) | 57.1 (43.2–109.5) | 28.6 (18.2–40.9) | <0.001 | 9–28 |
| IMA (ABSU) | 0.524 (0.448–1.313) | 1.087 (0.745–1.334) | 0.024 | <0.400 |
| PAB (U/L) | 94 (87–112) | 102 (90–113) | <0.001 | 0–80 |
| TOS (μmol/L) | 107 (95–127) | 98 (93–117) | 0.178 | 6–13 |
| TAS (μmol/L) | 1272 (1141–1349) | 1182 (1140–1228) | 0.006 | 900–1400 |
| TAS/TOS | 11.5 (9.3–14.5) | 11.8 (9.7–13.3) | 0.962 | >100 |
| SOD (U/L) | 80 (75–88) | 88 (76–98) | 0.031 | 90–180 |
| PON1 (U/L) | 233 (127–418) | 265 (142–451) | 0.002 | 200–1080 |
| SHG (mmol/L) | 0.374 (0.265–0.530) | 0.425 (0.275–0.485) | 0.614 | 0.315–0.600 |
| Prooxidant score | 15.2 (12.3–17.9) | 11.4 (10.1–14.2) | 0.304 | 4.60 (3.64–6.14) |
| Antioxidant score | 2.2 (1.4–2.8) | 1.6 (0.7–2.0) | 0.304 | −0.031 (−0.906–0.784) |
| Oxy score | 13.1 (10.2–14.9) | 10.6 (9.0–12.4) | 0.454 | 4.94 (3.21–6.19) |
| Parameters | Before Surgery | After Surgery | p | Reference Values |
|---|---|---|---|---|
| TOS (μmol/L) | 7.8 (6.8–9.0) | 6.5 (4.9–8.4) | 0.077 | 5.8–7.6 |
| •O2− (μmol NBT/min/L) | 10.8 (9.9–12.2) | 10.6 (8.9–11.7) | 0.445 | 7.4–9.1 |
| SOD (U/L) | 56.7 (51.4–61.5) | 53.2 (47.0–59.8) | 0.685 | 5.9–8.4 |
| SHG (mmol/L) | 0.768 (0.624–0.953) | 0.680 (0.595–0.762) | 0.115 | 0.205–0.267 |
| GSH (μmol/g Hgb) | 0.475 (0.317–0.720) | 0.418 (0.265–0.534) | 0.094 | 4.4–9.8 male 4.8–10.5 female |
| Factors | Variables Included in the Factor | Loadings of the Variables | Factor Variability, % (Total Variance: 57%) |
|---|---|---|---|
| Redox factor | TAS | −0.944 | 21 |
| IMA | 0.842 | ||
| TOS | 0.791 | ||
| SHG | 0.786 | ||
| Red blood cells—patients’ clinical performance-related factor | Hgb (g/L) | 0.824 | 20 |
| Er (×1012/L) | 0.817 | ||
| 6 min walking test (m) | 0.707 | ||
| Hand grip strength | 0.650 | ||
| ESR (mm/h) | −0.600 | ||
| Inflammation–procoagulation-related factor | Fibrinogen (g/L) | 0.820 | 16 |
| Neu (×109/L) | 0.788 | ||
| Tr (×109/L) | 0.611 | ||
| Ly (×109/L) | 0.578 |
Disclaimer/Publisher’s Note: The statements, opinions and data contained in all publications are solely those of the individual author(s) and contributor(s) and not of MDPI and/or the editor(s). MDPI and/or the editor(s) disclaim responsibility for any injury to people or property resulting from any ideas, methods, instructions or products referred to in the content. |
© 2025 by the authors. Licensee MDPI, Basel, Switzerland. This article is an open access article distributed under the terms and conditions of the Creative Commons Attribution (CC BY) license (https://creativecommons.org/licenses/by/4.0/).
Share and Cite
Mirković, M.; Kotur-Stevuljević, J.; Vekić, J.; Bogavac-Stanojević, N.; Milić, A.; Mirković, S.; Vujović, A.; Rakić, M.; Lunić, T.; Baščarević, Z.; et al. Postoperative Changes in Hematological, Biochemical, and Redox Status Parameters in Spinal Osteoarthritis Patients Undergoing Spinal Decompression and Stabilization Surgery. J. Clin. Med. 2025, 14, 6306. https://doi.org/10.3390/jcm14176306
Mirković M, Kotur-Stevuljević J, Vekić J, Bogavac-Stanojević N, Milić A, Mirković S, Vujović A, Rakić M, Lunić T, Baščarević Z, et al. Postoperative Changes in Hematological, Biochemical, and Redox Status Parameters in Spinal Osteoarthritis Patients Undergoing Spinal Decompression and Stabilization Surgery. Journal of Clinical Medicine. 2025; 14(17):6306. https://doi.org/10.3390/jcm14176306
Chicago/Turabian StyleMirković, Milan, Jelena Kotur-Stevuljević, Jelena Vekić, Nataša Bogavac-Stanojević, Anđelka Milić, Sanja Mirković, Ankica Vujović, Marija Rakić, Tanja Lunić, Zoran Baščarević, and et al. 2025. "Postoperative Changes in Hematological, Biochemical, and Redox Status Parameters in Spinal Osteoarthritis Patients Undergoing Spinal Decompression and Stabilization Surgery" Journal of Clinical Medicine 14, no. 17: 6306. https://doi.org/10.3390/jcm14176306
APA StyleMirković, M., Kotur-Stevuljević, J., Vekić, J., Bogavac-Stanojević, N., Milić, A., Mirković, S., Vujović, A., Rakić, M., Lunić, T., Baščarević, Z., & Božić Nedeljković, B. (2025). Postoperative Changes in Hematological, Biochemical, and Redox Status Parameters in Spinal Osteoarthritis Patients Undergoing Spinal Decompression and Stabilization Surgery. Journal of Clinical Medicine, 14(17), 6306. https://doi.org/10.3390/jcm14176306

