The Impact of Sunlight Exposure on Postoperative Hypoparathyroidism: A Retrospective Analysis from Two Greek Centers
Abstract
1. Introduction
2. Materials and Methods
2.1. Study Design
2.2. Statistical Analysis
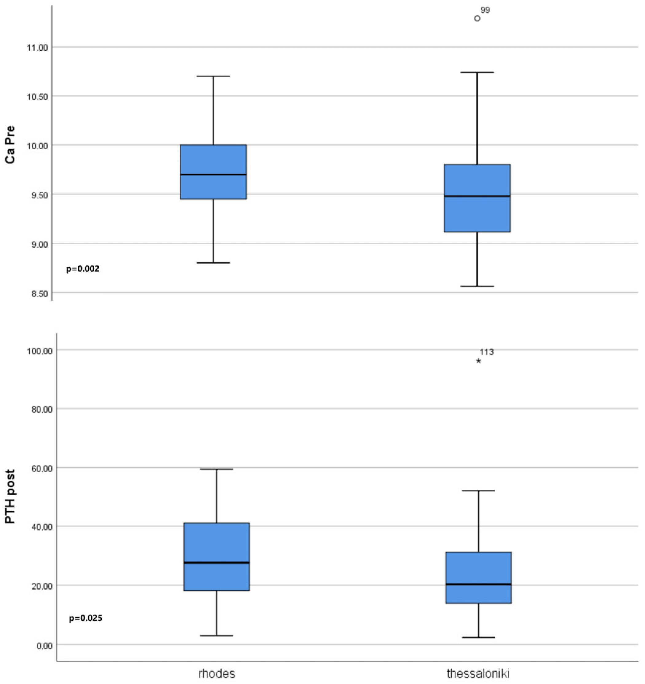
3. Results
4. Discussion
Strengths and Limitations
5. Conclusions
Author Contributions
Funding
Institutional Review Board Statement
Informed Consent Statement
Data Availability Statement
Conflicts of Interest
References
- Orloff, L.A.; Wiseman, S.M.; Bernet, V.J.; Fahey, T.J.; Shaha, A.R.; Shindo, M.L.; Snyder, S.K.; Stack, B.C.; Sunwoo, J.B.; Wang, M.B. American Thyroid Association Statement on Postoperative Hypoparathyroidism: Diagnosis, Prevention, and Management in Adults. Thyroid 2018, 28, 830–841. [Google Scholar] [CrossRef] [PubMed]
- Edafe, O.; Antakia, R.; Laskar, N.; Uttley, L.; Balasubramanian, S.P. Systematic Review and Meta-Analysis of Predictors of Post-Thyroidectomy Hypocalcaemia. Br. J. Surg. 2014, 101, 307–320. [Google Scholar] [CrossRef] [PubMed]
- Edafe, O.; Balasubramanian, S.P. Incidence, Prevalence and Risk Factors for Post-Surgical Hypocalcaemia and Hypoparathyroidism. Gland Surg. 2017, 6, S59–S68. [Google Scholar] [CrossRef] [PubMed]
- Benedik, E. Sources of Vitamin D for Humans. Int. J. Vitam. Nutr. Res. 2022, 92, 118–125. [Google Scholar] [CrossRef] [PubMed]
- Knuschke, P. Sun Exposure and Vitamin D. In Challenges in Sun Protection; Current Problems in Dermatology; Karger Publishers: Basel, Switzerland, 2021; Volume 55, pp. 296–315. [Google Scholar] [CrossRef]
- O’Neill, C.M.; Kazantzidis, A.; Ryan, M.J.; Barber, N.; Sempos, C.T.; Durazo-Arvizu, R.A.; Jorde, R.; Grimnes, G.; Eiriksdottir, G.; Gudnason, V.; et al. Seasonal Changes in Vitamin D-Effective UVB Availability in Europe and Associations with Population Serum 25-Hydroxyvitamin D. Nutrients 2016, 8, 533. [Google Scholar] [CrossRef] [PubMed]
- Cashman, K.D. Vitamin D Deficiency: Defining, Prevalence, Causes, and Strategies of Addressing. Calcif. Tissue Int. 2020, 106, 14–29. [Google Scholar] [CrossRef] [PubMed]
- Păduraru, D.N.; Ion, D.; Carsote, M.; Andronic, O.; Bolocan, A. Post-Thyroidectomy Hypocalcemia—Risk Factors and Management. Chirurgia 2019, 114, 564. [Google Scholar] [CrossRef] [PubMed]
- Vaitsi, K.D.; Anagnostis, P.; Veneti, S.; Papavramidis, T.S.; Goulis, D.G. Preoperative Vitamin D Deficiency Is a Risk Factor for Postthyroidectomy Hypoparathyroidism: A Systematic Review and Meta-Analysis of Observational Studies. J. Clin. Endocrinol. Metab. 2021, 106, 1209–1224. [Google Scholar] [CrossRef] [PubMed]
- Chen, Z.; Zhao, Q.; Du, J.; Wang, Y.; Han, R.; Xu, C.; Chen, X.; Shu, M. Risk Factors for Postoperative Hypocalcaemia after Thyroidectomy: A Systematic Review and Meta-Analysis. J. Int. Med. Res. 2021, 49, 1–21. [Google Scholar] [CrossRef] [PubMed]
- Al-Khatib, T.; Althubaiti, A.M.; Althubaiti, A.; Mosli, H.H.; Alwasiah, R.O.; Badawood, L.M. Severe Vitamin D Deficiency. Otolaryngol.–Head Neck Surg. 2015, 152, 424–431. [Google Scholar] [CrossRef] [PubMed]
- Kakava, K.; Tournis, S.; Makris, K.; Papadakis, G.; Kassi, E.; Dontas, I.; Karatzas, T. Identification of Patients at High Risk for Postsurgical Hypoparathyroidism. In Vivo 2020, 34, 2973–2980. [Google Scholar] [CrossRef] [PubMed]
- Manzini, G.; Malhofer, F.; Weber, T. Can Preoperative Vitamin D Deficiency Predict Postoperative Hypoparathyroidism Following Thyroid Surgery? Langenbecks Arch. Surg. 2019, 404, 55–61. [Google Scholar] [CrossRef] [PubMed]
- Martín-Román, L.; Colombari, R.; Fernández-Martínez, M.; Amunategui-Prats, I.; Escat-Cortes, J.L.; Zaraín-Obrador, L.; Mercader-Cidoncha, E. Vitamin D Deficiency Reduces Postthyroidectomy Protracted Hypoparathyroidism Risk. Is Gland Preconditioning Possible? J. Endocr. Soc. 2023, 7, bvac174. [Google Scholar] [CrossRef] [PubMed]
- Tabanera, J.A.V.; Gómez, J.; Brabyn, P.; Puerta, A.; Barranquero, A.G.; Cebrián, J.M. Does Vitamin D Deficiency Really Increase the Risk of Post-Surgical Hypoparathyroidism? Indian J. Otolaryngol. Head Neck Surg. 2023, 75, 1719–1723. [Google Scholar] [CrossRef] [PubMed]
- Ru, Z.; Mingliang, W.; Maofei, W.; Qiaofeng, C.; Jianming, Y. Analysis of Risk Factors for Hypoparathyroidism After Total Thyroidectomy. Front. Surg. 2021, 8, 668498. [Google Scholar] [CrossRef] [PubMed]
- Privitera, F.; Centonze, D.; La Vignera, S.; Condorelli, R.A.; Distefano, C.; Gioco, R.; Civit, A.I.; Riccioli, G.; Stella, L.; Cavallaro, A.; et al. Risk Factors for Hypoparathyroidism after Thyroid Surgery: A Single-Center Study. J. Clin. Med. 2023, 12, 1956. [Google Scholar] [CrossRef] [PubMed]
- Díez, J.J.; Anda, E.; Sastre, J.; Pérez Corral, B.; Álvarez-Escolá, C.; Manjón, L.; Paja, M.; Sambo, M.; Santiago Fernández, P.; Blanco Carrera, C.; et al. Prevalence and Risk Factors for Hypoparathyroidism Following Total Thyroidectomy in Spain: A Multicentric and Nation-Wide Retrospective Analysis. Endocrine 2019, 66, 405–415. [Google Scholar] [CrossRef] [PubMed]
- Ning, K.; Yu, Y.; Zheng, X.; Luo, Z.; Jiao, Z.; Liu, X.; Wang, Y.; Liang, Y.; Zhang, Z.; Ye, X.; et al. Risk Factors of Transient and Permanent Hypoparathyroidism after Thyroidectomy: A Systematic Review and Meta-Analysis. Int. J. Surg. 2024, 110, 5047–5062. [Google Scholar] [CrossRef] [PubMed]



| Group T | Group R | p Value (<0.05) | |
|---|---|---|---|
| Age (y/o) | 48.17 ± 13.08 | 47.70 ± 13.04 | 0.99 |
| Gender (M:F) | 18:42 | 17:43 | 0.84 |
| Diagnosis (benign/ malignant) | 30:30 | 32:28 | 0.71 |
| Type of operation (TT:TT + CC:TT + CC + LC) | 39:17:4 | 39:15:6 | 0.76 |
| 25(OH) Vitamin D (ng/mL) | 23.44 ± 9.87 | 28.64 ± 8.32 | 0.87 |
| Vitamin D status | |||
| Deficiency (<20 ng/mL) | 27/60 (45%) | 18/60 (30%) | |
| Insufficiency (20–30 ng/mL) | 28/60 (46.6%) | 27/60 (45%) | |
| Optimal (>30 ng/mL) | 5/60 (8.3%) | 15/60 (25%) | |
| Oral vitamin D supplementation | 5/60 | 1/60 | 0.2 |
Disclaimer/Publisher’s Note: The statements, opinions and data contained in all publications are solely those of the individual author(s) and contributor(s) and not of MDPI and/or the editor(s). MDPI and/or the editor(s) disclaim responsibility for any injury to people or property resulting from any ideas, methods, instructions or products referred to in the content. |
© 2025 by the authors. Licensee MDPI, Basel, Switzerland. This article is an open access article distributed under the terms and conditions of the Creative Commons Attribution (CC BY) license (https://creativecommons.org/licenses/by/4.0/).
Share and Cite
Chorti, A.; Pliakos, I.; Moysidis, M.; Smprini, A.; Bakkar, S.; Papavramidis, T. The Impact of Sunlight Exposure on Postoperative Hypoparathyroidism: A Retrospective Analysis from Two Greek Centers. J. Clin. Med. 2025, 14, 4418. https://doi.org/10.3390/jcm14134418
Chorti A, Pliakos I, Moysidis M, Smprini A, Bakkar S, Papavramidis T. The Impact of Sunlight Exposure on Postoperative Hypoparathyroidism: A Retrospective Analysis from Two Greek Centers. Journal of Clinical Medicine. 2025; 14(13):4418. https://doi.org/10.3390/jcm14134418
Chicago/Turabian StyleChorti, Angeliki, Ioannis Pliakos, Moysis Moysidis, Aikaterini Smprini, Sohail Bakkar, and Theodossis Papavramidis. 2025. "The Impact of Sunlight Exposure on Postoperative Hypoparathyroidism: A Retrospective Analysis from Two Greek Centers" Journal of Clinical Medicine 14, no. 13: 4418. https://doi.org/10.3390/jcm14134418
APA StyleChorti, A., Pliakos, I., Moysidis, M., Smprini, A., Bakkar, S., & Papavramidis, T. (2025). The Impact of Sunlight Exposure on Postoperative Hypoparathyroidism: A Retrospective Analysis from Two Greek Centers. Journal of Clinical Medicine, 14(13), 4418. https://doi.org/10.3390/jcm14134418

