Evaluating the Accuracy of the SIL Score for Predicting the Sepsis Mortality in Emergency Department Triages: A Comparative Analysis with NEWS and SOFA
Abstract
1. Introduction
2. Material and Methods
2.1. Study Design
2.2. Eligibility Criteria
2.3. SIL Score
2.4. Sample Size
2.5. Statistical Analysis
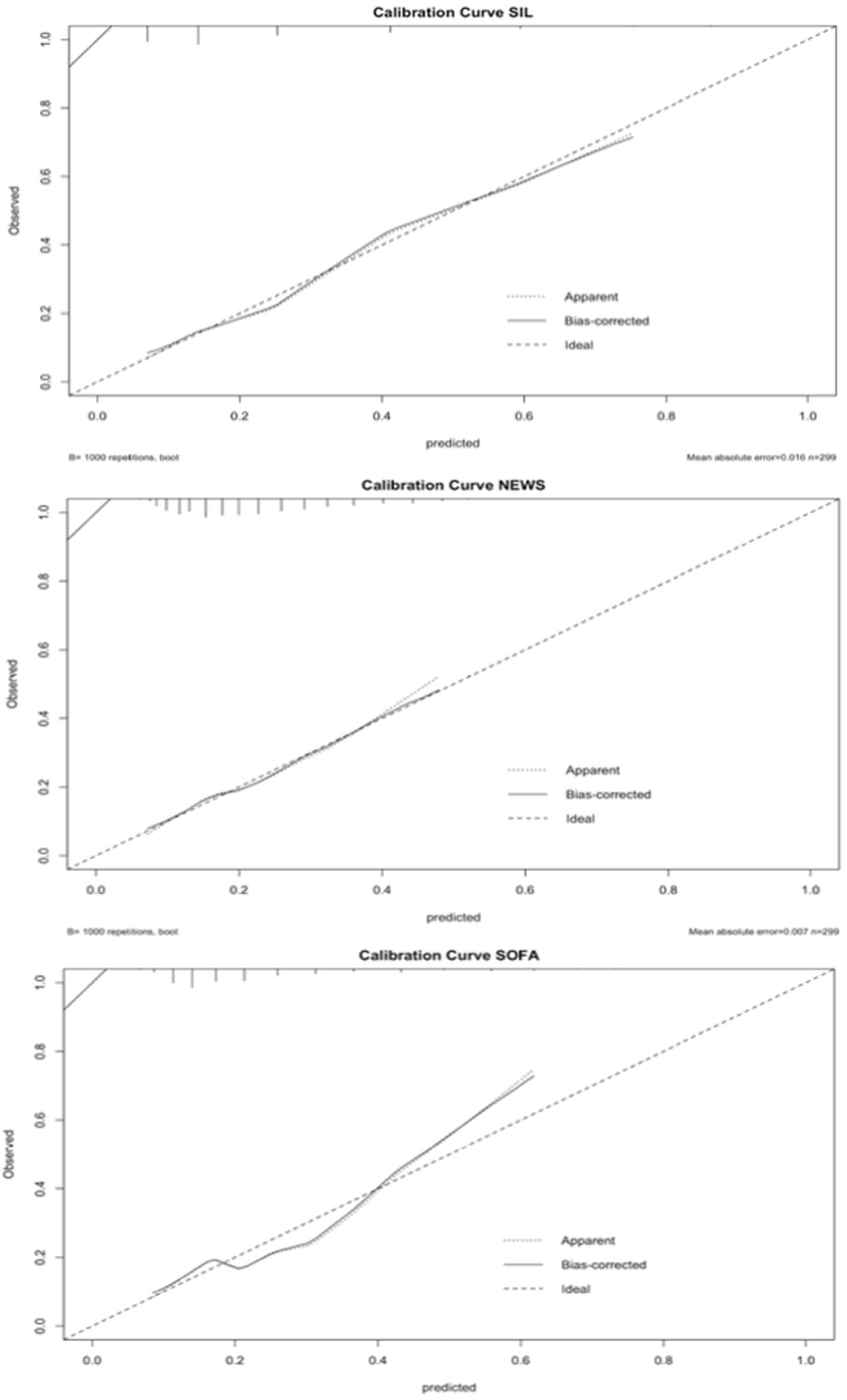
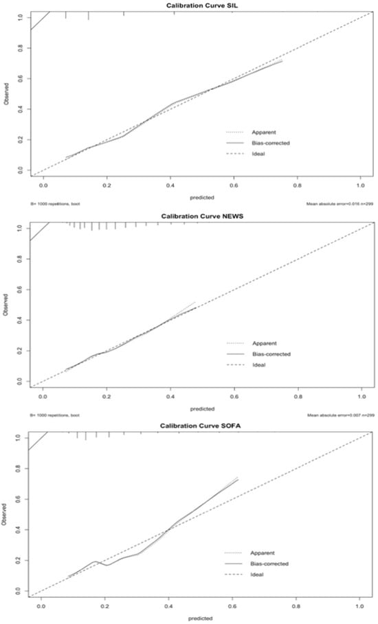
3. Results
4. Discussion
4.1. Limitations
4.2. Implications
5. Conclusions
Author Contributions
Funding
Institutional Review Board Statement
Informed Consent Statement
Data Availability Statement
Acknowledgments
Conflicts of Interest
Abbreviations
| qSOFA | Quick Sequential Organ Failure Assessment |
| NEWS | National Early Warning Score |
| SOFA | Sequential Organ Failure Assessment |
| SIL | Shock Index/Lactate |
| COPD | Chronic obstructive pulmonary disease |
| AUC | Receiver operating characteristic curve |
| NPV | Negative predictive value |
| PPV | Positive predictive value |
References
- Rudd, K.E.; Johnson, S.C.; Agesa, K.M.; Shackelford, K.A.; Tsoi, D.; Kievlan, D.R.; Colombara, D.V.; Ikuta, K.S.; Kissoon, N.; Finfer, S.; et al. Global, regional, and national sepsis incidence and mortality, 1990–2017: Analysis for the Global Burden of Disease Study. Lancet 2020, 395, 200–211. [Google Scholar] [CrossRef] [PubMed]
- Husabø, G.; Nilsen, R.M.; Flaatten, H.; Solligård, E.; Frich, J.C.; Bondevik, G.T.; Braut, G.S.; Walshe, K.; Harthug, S.; Hovlid, E. Early diagnosis of sepsis in emergency departments, time to treatment, and association with mortality: An observational study. PLoS ONE 2020, 15, e0227652. [Google Scholar] [CrossRef] [PubMed]
- Angus, D.C.; van der Poll, T. Severe sepsis and septic shock. N. Engl. J. Med. 2013, 369, 840–851. [Google Scholar] [CrossRef] [PubMed]
- Osborn, T.M. Severe Sepsis and Septic Shock Trials (ProCESS, ARISE, ProMISe): What is Optimal Resuscitation? Crit. Care Clin. 2017, 33, 323–344. [Google Scholar] [CrossRef] [PubMed]
- Qiu, X.; Lei, Y.P.; Zhou, R.X. SIRS, SOFA, qSOFA, and NEWS in the diagnosis of sepsis and prediction of adverse outcomes: A systematic review and meta-analysis. Expert. Rev. Anti-Infect. Ther. 2023, 21, 891–900. [Google Scholar] [CrossRef]
- Singer, M.; Deutschman, C.S.; Seymour, C.W.; Shankar-Hari, M.; Annane, D.; Bauer, M.; Bellomo, R.; Bernard, G.R.; Chiche, J.-D.; Coopersmith, C.M.; et al. The Third International Consensus Definitions for Sepsis and Septic Shock (Sepsis-3). JAMA 2016, 315, 801–810. [Google Scholar] [CrossRef] [PubMed]
- Jouffroy, R.; Pierre Tourtier, J.; Gueye, P.; Bloch-Laine, E.; Bounes, V.; Debaty, G.; Boularan, J.; Carli, P.; Vivien, B. Prehospital shock index to assess 28-day mortality for septic shock. Am. J. Emerg. Med. 2020, 38, 1352–1356. [Google Scholar] [CrossRef]
- Evans, L.; Rhodes, A.; Alhazzani, W.; Antonelli, M.; Coopersmith, C.M.; French, C.; Machado, F.R.; Mcintyre, L.; Ostermann, M.; Prescott, H.C.; et al. Surviving sepsis campaign: International guidelines for management of sepsis and septic shock 2021. Intensive Care Med. 2021, 47, 1181–1247. [Google Scholar] [CrossRef]
- Abdullah, S.O.B.; Sørensen, R.H.; Nielsen, F.E. Prognostic Accuracy of SOFA, qSOFA, and SIRS for Mortality Among Emergency Department Patients with Infections. Infect. Drug Resist. 2021, 14, 2763–2775. [Google Scholar] [CrossRef]
- Thodphetch, M.; Chenthanakij, B.; Wittayachamnankul, B.; Sruamsiri, K.; Tangsuwanaruk, T. A comparison of scoring systems for predicting mortality and sepsis in the emergency department patients with a suspected infection. Clin. Exp. Emerg. Med. 2021, 8, 289–295. [Google Scholar] [CrossRef]
- Devia Jaramillo, G.; Ibáñez Pinilla, M. Quick Sequential Organ Failure Assessment, Sequential Organ Failure Assessment, and Procalcitonin for Early Diagnosis and Prediction of Death in Elderly Patients with Suspicion of Sepsis in the Emergency Department, Based on Sepsis-3 Definition. Gerontology 2021, 68, 171–180. [Google Scholar] [CrossRef]
- Oduncu, A.F.; Kıyan, G.S.; Yalçınlı, S. Comparison of qSOFA, SIRS, and NEWS scoring systems for diagnosis, mortality, and morbidity of sepsis in emergency department. Am. J. Emerg. Med. 2021, 48, 54–59. [Google Scholar] [CrossRef]
- Wang, C.; Xu, R.; Zeng, Y.; Zhao, Y.; Hu, X. A comparison of qSOFA, SIRS and NEWS in predicting the accuracy of mortality in patients with suspected sepsis: A meta-analysis. PLoS ONE 2022, 17, e0266755. [Google Scholar] [CrossRef]
- Ruangsomboon, O.; Boonmee, P.; Limsuwat, C.; Chakorn, T.; Monsomboon, A. The utility of the rapid emergency medicine score (REMS) compared with SIRS, qSOFA and NEWS for Predicting in-hospital Mortality among Patients with suspicion of Sepsis in an emergency department. BMC Emerg. Med. 2021, 21, 2. [Google Scholar] [CrossRef]
- Baig, M.A.; Sheikh, S.; Hussain, E.; Bakhtawar, S.; Subhan Khan, M.; Mujtaba, S.; Waheed, S. Comparison of qSOFA and SOFA score for predicting mortality in severe sepsis and septic shock patients in the emergency department of a low middle income country. Turk. J. Emerg. Med. 2018, 18, 148–151. [Google Scholar] [CrossRef]
- Lee, H.J.; Ko, B.S.; Ryoo, S.M.; Han, E.; Suh, G.J.; Choi, S.-H.; Chung, S.P.; Lim, T.H.; Kim, W.Y.; Kwon, W.Y.; et al. Modified cardiovascular SOFA score in sepsis: Development and internal and external validation. BMC Med. 2022, 20, 263, Erratum in BMC Med. 2022, 20, 476. https://doi.org/10.1186/s12916-022-02694-6. [Google Scholar] [CrossRef]
- Raith, E.P.; Udy, A.A.; Bailey, M.; McGloughlin, S.; MacIsaac, C.; Bellomo, R.; Pilcher, D.V.; Australian and New Zealand Intensive Care Society (ANZICS). Prognostic Accuracy of the SOFA Score, SIRS Criteria, and qSOFA Score for In-Hospital Mortality Among Adults With Suspected Infection Admitted to the Intensive Care Unit. JAMA 2017, 317, 290. [Google Scholar] [CrossRef]
- The PRISM Investigators. Early, Goal-Directed Therapy for Septic Shock—A Patient-Level Meta-Analysis. N. Engl. J. Med. 2017, 376, 2223–2234. [Google Scholar] [CrossRef]
- Angus, D.C.; Barnato, A.E.; Bell, D.; Bellomo, R.; Chong, C.R.; Coats, T.J.; Davies, A.; Delaney, A.; Harrison, D.A.; Holdgate, A.; et al. A systematic review and meta-analysis of early goal-directed therapy for septic shock: The ARISE, ProCESS and ProMISe Investigators. Intensive Care Med. 2015, 41, 1549–1560. [Google Scholar] [CrossRef] [PubMed]
- Bauer, M.; Gerlach, H.; Vogelmann, T.; Preissing, F.; Stiefel, J.; Adam, D. Mortality in sepsis and septic shock in Europe, North America and Australia between 2009 and 2019—Results from a systematic review and meta-analysis. Crit Care 2020, 24, 239. [Google Scholar] [CrossRef] [PubMed]
- Fleischmann, C.; Scherag, A.; Adhikari, N.K.J.; Hartog, C.S.; Tsaganos, T.; Schlattmann, P.; Angus, D.C.; Reinhart, K.; International Forum of Acute Care Trialists. Assessment of Global Incidence and Mortality of Hospital-treated Sepsis. Current Estimates and Limitations. Am. J. Respir. Crit. Care Med. 2016, 193, 259–272. [Google Scholar] [CrossRef] [PubMed]



| Shock Index * | Score (PIS) | Lactate (mmol/L) | Score (PL) |
|---|---|---|---|
| 0–0.9 | 0 | 0–2.0 | 0 |
| 0.91–1.35 | 1 | 2.01–4.0 | 1 |
| 1.36–1.8 | 2 | 4.01–6.0 | 2 |
| ≥1.81 | 3 | ≥6.01 | 3 |
| SIL score = (PIS + PL) | |||
| Minimum 0 | |||
| Maximum 6 | |||
| Variable | Survivors (%) | No. of Survivors (%) | OR | p |
|---|---|---|---|---|
| Total (n = 299) | 238 (79.6) | 61 (20.4) | ||
| Sex (female) | 145 (60.9) | 30 (49.2) | 1.60 (0.91–2.84) | 0.130 |
| Age (median (IQ)) | 72 (58–80) | 74 (66–86) | 0.03 | |
| Sepsis | 174 (90.1) | 19 (9.8) | 0.16 (0.08–0.30) | <0.001 |
| Septic shock | 64 (60.3) | 42 (39.6) | 5.94 (3.25–11.21) | <0.001 |
| qSOFA (median (IQ)) | 2 (1–2) | 2 (2–3) | <0.001 | |
| NEWS (median (IQ)) | 8 (5–10) | 10 (7–13) | <0.001 | |
| SOFA (median (IQ)) | 5 (4–6) | 6 (4–10) | <0.001 | |
| SIL score (median (IQ)) | 2 (1–3) | 3 (2–4) | <0.001 | |
| Comorbidities Arterial hypertension Mellitus diabetes Renal insufficiency Immunosuppression COPD | 103 (78.0) 55 (77.4) 16 (53.3) 47 (78.3) 18 (64.2) | 29 (21.9) 16 (22.5) 14 (46.6) 13 (21.6) 10 (37.1) | 1.18 (0.67–2.09) 1.18 (0.60–2.23) 4.11 (1.84–9.08) 1.10 (0.53–2.17) 2.40 (1.00–5.46) | 0.650 0.732 <0.001 0.926 0.062 |
| Sepsis origin (%) Pulmonary (28.8) Urinary (20.7) Biliary (9.4) Abdominal (6.7) Soft tissues (5.0) Gastroenteritis (3.7) | 66 (27.7) 55 (23.1) 22 (9.2) 15 (6.3) 11 (4.6) 9 (3.8) | 20 (32.8) 7 (11.5) 6 (9.8) 5 (8.2) 4 (6.6) 2 (3.3) | 0.832 |
| SCORE | SPEC | SENS | NPV | PPV |
|---|---|---|---|---|
| qSOFA | 0.372 | 0.383 | 0.134 | 0.704 |
| NEWS | 0.595 | 0.628 | 0.290 | 0.858 |
| SOFA | 0.581 | 0.665 | 0.308 | 0.861 |
| SIL | 0.678 | 0.694 | 0.362 | 0.893 |
| SIL Value | Expected (%) | Found n (%) | Total n (%) |
|---|---|---|---|
| 0 | 11.8 | 6(6.8) | 87(29.1) |
| 1 | 23.4 | 15(14.4) | 104(34.8) |
| 2 | 34.8 | 11(21.1) | 52(17.4) |
| 3 | 42.2 | 17(47.2) | 36(12.0) |
| 4 | 66.3 | 8(53.3) | 15(5) |
| 5 | 85.4 | 1(50) | 2(0.7) |
| 6 | 90.4 | 3(100) | 3(1) |
Disclaimer/Publisher’s Note: The statements, opinions and data contained in all publications are solely those of the individual author(s) and contributor(s) and not of MDPI and/or the editor(s). MDPI and/or the editor(s) disclaim responsibility for any injury to people or property resulting from any ideas, methods, instructions or products referred to in the content. |
© 2024 by the authors. Licensee MDPI, Basel, Switzerland. This article is an open access article distributed under the terms and conditions of the Creative Commons Attribution (CC BY) license (https://creativecommons.org/licenses/by/4.0/).
Share and Cite
Devia Jaramillo, G.; Erazo Guerrero, L.; Florez Zuñiga, N.; Martin Cuesta, R.M. Evaluating the Accuracy of the SIL Score for Predicting the Sepsis Mortality in Emergency Department Triages: A Comparative Analysis with NEWS and SOFA. J. Clin. Med. 2024, 13, 7787. https://doi.org/10.3390/jcm13247787
Devia Jaramillo G, Erazo Guerrero L, Florez Zuñiga N, Martin Cuesta RM. Evaluating the Accuracy of the SIL Score for Predicting the Sepsis Mortality in Emergency Department Triages: A Comparative Analysis with NEWS and SOFA. Journal of Clinical Medicine. 2024; 13(24):7787. https://doi.org/10.3390/jcm13247787
Chicago/Turabian StyleDevia Jaramillo, German, Lilia Erazo Guerrero, Natalia Florez Zuñiga, and Ronal Mauricio Martin Cuesta. 2024. "Evaluating the Accuracy of the SIL Score for Predicting the Sepsis Mortality in Emergency Department Triages: A Comparative Analysis with NEWS and SOFA" Journal of Clinical Medicine 13, no. 24: 7787. https://doi.org/10.3390/jcm13247787
APA StyleDevia Jaramillo, G., Erazo Guerrero, L., Florez Zuñiga, N., & Martin Cuesta, R. M. (2024). Evaluating the Accuracy of the SIL Score for Predicting the Sepsis Mortality in Emergency Department Triages: A Comparative Analysis with NEWS and SOFA. Journal of Clinical Medicine, 13(24), 7787. https://doi.org/10.3390/jcm13247787

