Lactate/Pyruvate Ratio as an Early Predictor of Mortality in Patients with Sepsis: A Cohort Study
Abstract
1. Introduction
2. Material and Methods
2.1. Patient Selection and Study Design
2.2. Laboratory Measurements
2.3. Outcomes
2.4. Statistical Analysis
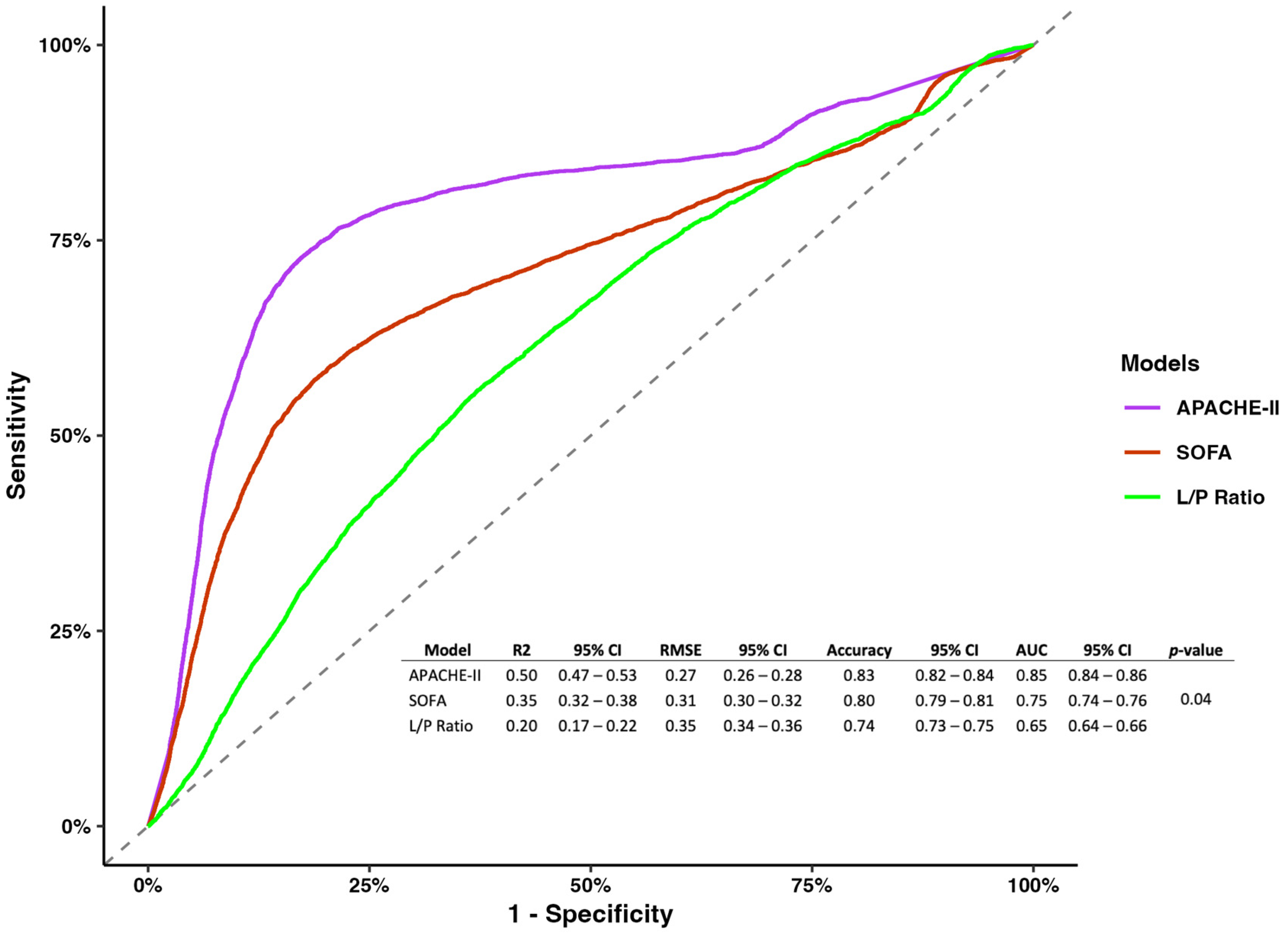
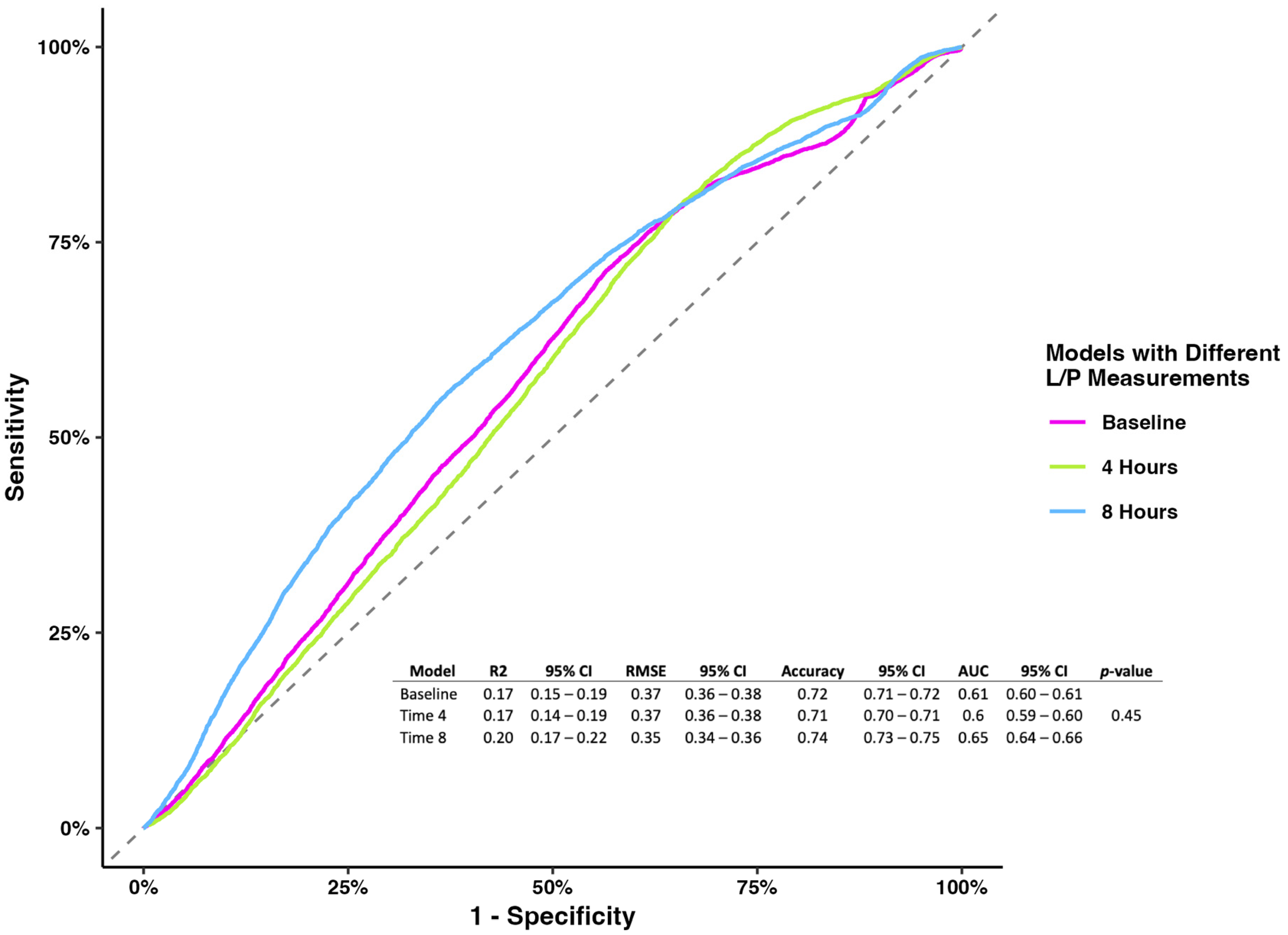
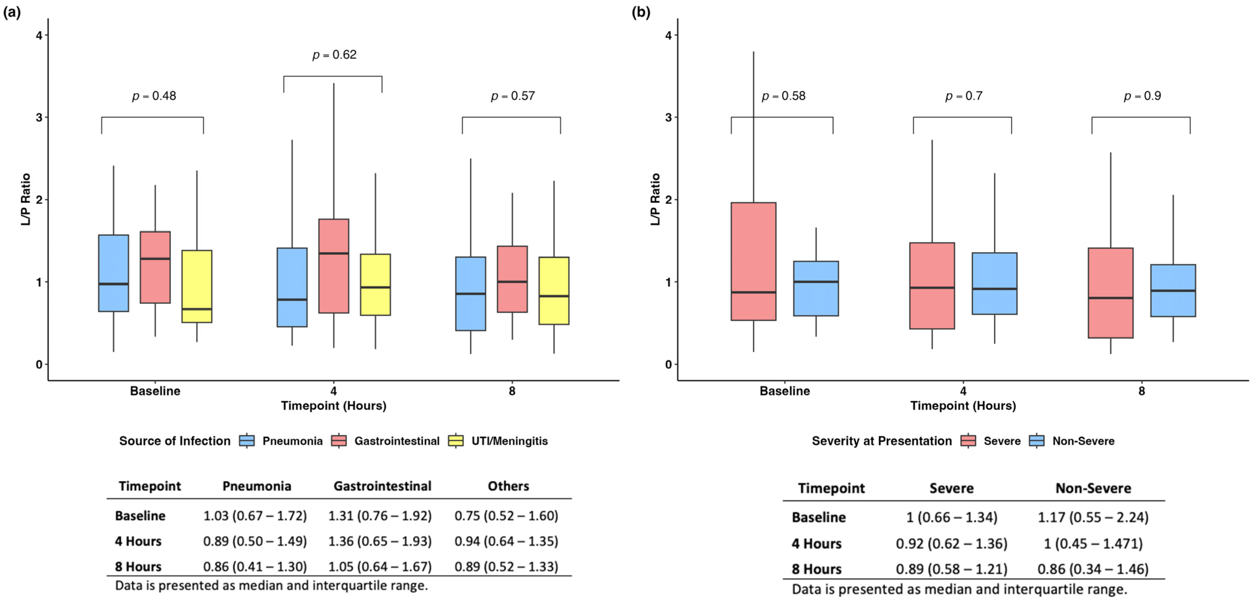
3. Results
4. Discussion
5. Conclusions
Author Contributions
Funding
Institutional Review Board Statement
Informed Consent Statement
Data Availability Statement
Conflicts of Interest
References
- Kushimoto, S.; Akaishi, S.; Sato, T.; Nomura, R.; Fujita, M.; Kudo, D.; Kawazoe, Y.; Yoshida, Y.; Miyagawa, N. Lactate, a useful marker for disease mortality and severity but an unreliable marker of tissue hypoxia/hypoperfusion in critically ill patients. Acute Med. Surg. 2016, 3, 293–297. [Google Scholar] [CrossRef] [PubMed]
- Vorwerk, C.; Loryman, B.; Coats, T.J.; Stephenson, J.A.; Gray, L.D.; Reddy, G.; Florence, L.; Butler, N. Prediction of mortality in adult emergency department patients with sepsis. Emerg. Med. J. 2009, 26, 254–258. [Google Scholar] [CrossRef]
- Shapiro, N.I.; Howell, M.D.; Talmor, D.; Nathanson, L.A.; Lisbon, A.; Wolfe, R.E.; Weiss, J.W. Serum lactate as a predictor of mortality in emergency department patients with infection. Ann. Emerg. Med. 2005, 45, 524–528. [Google Scholar] [CrossRef]
- Levraut, J.; Ciebiera, J.P.; Chave, S.; Rabary, O.; Jambou, P.; Carles, M.; Grimaud, D. Mild hyperlactatemia in stable septic patients is due to impaired lactate clearance rather than overproduction. Am. J. Respir. Crit. Care Med. 1998, 157, 1021–1026. [Google Scholar] [CrossRef] [PubMed]
- Vary, T.C.; Siegel, J.H.; Nakatani, T.; Sato, T.; Aoyama, H. Effect of sepsis on activity of pyruvate dehydrogenase complex in skeletal muscle and liver. Am. J. Physiol. 1986, 250, E634–E640. [Google Scholar] [CrossRef]
- Gore, D.C.; Jahoor, F.; Hibbert, J.M.; DeMaria, E.J. Lactic acidosis during sepsis is related to increased pyruvate production, not deficits in tissue oxygen availability. Ann. Surg. 1996, 224, 97–102. [Google Scholar] [CrossRef]
- James, J.H.; Fang, C.H.; Schrantz, S.J.; Hasselgren, P.O.; Paul, R.J.; Fischer, J.E. Linkage of aerobic glycolysis to sodium-potassium transport in rat skeletal muscle. Implications for increased muscle lactate production in sepsis. J. Clin. Investig. 1996, 98, 2388–2397. [Google Scholar] [CrossRef] [PubMed]
- Suetrong, B.; Walley, K.R. Lactic Acidosis in Sepsis: It’s Not All Anaerobic: Implications for Diagnosis and Management. Chest 2016, 149, 252–261. [Google Scholar] [CrossRef]
- Rimachi, R.; Bruzzi de Carvahlo, F.; Orellano-Jimenez, C.; Cotton, F.; Vincent, J.L.; De Backer, D. Lactate/pyruvate ratio as a marker of tissue hypoxia in circulatory and septic shock. Anaesth. Intensive Care 2012, 40, 427–432. [Google Scholar] [CrossRef]
- Garcia-Alvarez, M.; Marik, P.; Bellomo, R. Sepsis-associated hyperlactatemia. Crit. Care 2014, 18, 503. [Google Scholar] [CrossRef]
- Andersen, L.W.; Mackenhauer, J.; Roberts, J.C.; Berg, K.M.; Cocchi, M.N.; Donnino, M.W. Etiology and therapeutic approach to elevated lactate levels. Mayo Clin. Proc. 2013, 88, 1127–1140. [Google Scholar] [CrossRef] [PubMed]
- Zeng, Z.; Huang, Q.; Mao, L.; Wu, J.; An, S.; Chen, Z.; Zhang, W. The Pyruvate Dehydrogenase Complex in Sepsis: Metabolic Regulation and Targeted Therapy. Front. Nutr. 2021, 8, 783164. [Google Scholar] [CrossRef] [PubMed]
- Nichol, A.; Bailey, M.; Egi, M.; Pettila, V.; French, C.; Stachowski, E.; Reade, M.C.; Cooper, D.J.; Bellomo, R. Dynamic lactate indices as predictors of outcome in critically ill patients. Crit. Care 2011, 15, R242. [Google Scholar] [CrossRef]
- Dugas, M.A.; Proulx, F.; de Jaeger, A.; Lacroix, J.; Lambert, M. Markers of tissue hypoperfusion in pediatric septic shock. Intensive Care Med. 2000, 26, 75–83. [Google Scholar] [CrossRef]
- Levy, B.; Sadoune, L.O.; Gelot, A.M.; Bollaert, P.E.; Nabet, P.; Larcan, A. Evolution of lactate/pyruvate and arterial ketone body ratios in the early course of catecholamine-treated septic shock. Crit. Care Med. 2000, 28, 114–119. [Google Scholar] [CrossRef] [PubMed]
- Wong, H.R.; Lindsell, C.J.; Pettilä, V.; Meyer, N.J.; Thair, S.A.; Karlsson, S.; Russell, J.A.; Fjell, C.D.; Boyd, J.H.; Ruokonen, E.; et al. A multibiomarker-based outcome risk stratification model for adult septic shock*. Crit. Care Med. 2014, 42, 781–789. [Google Scholar] [CrossRef]
- Feldman, A.G.; Sokol, R.J.; Hardison, R.M.; Alonso, E.M.; Squires, R.H.; Narkewicz, M.R. Lactate and Lactate: Pyruvate Ratio in the Diagnosis and Outcomes of Pediatric Acute Liver Failure. J. Pediatr. 2017, 182, 217.e213–222.e213. [Google Scholar] [CrossRef]
- Suistomaa, M.; Ruokonen, E.; Kari, A.; Takala, J. Time-pattern of lactate and lactate to pyruvate ratio in the first 24 h of intensive care emergency admissions. Shock 2000, 14, 8–12. [Google Scholar] [CrossRef]
- Hatherill, M.; Salie, M.; Waggie, Z.; Lawrenson, J.; Hewitson, J.; Reynolds, L.; Argent, A. Strong ion acid–base abnormality and lactate:pyruvate ratio in children following cardiopulmonary bypass. Crit. Care 2005, 9, P415. [Google Scholar] [CrossRef]
- von Elm, E.; Altman, D.G.; Egger, M.; Pocock, S.J.; Gøtzsche, P.C.; Vandenbroucke, J.P. The Strengthening the Reporting of Observational Studies in Epidemiology (STROBE) statement: Guidelines for reporting observational studies. Lancet 2007, 370, 1453–1457. [Google Scholar] [CrossRef]
- Knaus, W.A.; Draper, E.A.; Wagner, D.P.; Zimmerman, J.E. APACHE II: A severity of disease classification system. Crit. Care Med. 1985, 13, 818–829. [Google Scholar] [CrossRef] [PubMed]
- Lambden, S.; Laterre, P.F.; Levy, M.M.; Francois, B. The SOFA score-development, utility and challenges of accurate assessment in clinical trials. Crit. Care 2019, 23, 374. [Google Scholar] [CrossRef] [PubMed]
- Evans, L.; Rhodes, A.; Alhazzani, W.; Antonelli, M.; Coopersmith, C.M.; French, C.; Machado, F.R.; McIntyre, L.; Ostermann, M.; Prescott, H.C.; et al. Surviving sepsis campaign: International guidelines for management of sepsis and septic shock 2021. Intensive Care Med. 2021, 47, 1181–1247. [Google Scholar] [CrossRef]
- Nikitas, N.; Kopterides, P.; Ilias, I.; Theodorakopoulou, M.; Vassiliadi, D.A.; Armaganidis, A.; Dimopoulou, I. Elevated adipose tissue lactate to pyruvate (L/P) ratio predicts poor outcome in critically ill patients with septic shock: A microdialysis study. Minerva Anestesiol. 2013, 79, 1229–1237. [Google Scholar] [PubMed]
- Zhang, F.; Wang, H.; Liu, L.; Su, T.; Ji, B. Machine learning model for the prediction of gram-positive and gram-negative bacterial bloodstream infection based on routine laboratory parameters. BMC Infect. Dis. 2023, 23, 675. [Google Scholar] [CrossRef] [PubMed]
- Kim, J.-s.; Kim, Y.-J.; Kim, W.Y. Characteristics and clinical outcomes of culture-negative and culture-positive septic shock: A single-center retrospective cohort study. Crit. Care 2021, 25, 11. [Google Scholar] [CrossRef]
- Abe, R.; Oda, S.; Sadahiro, T.; Nakamura, M.; Hirayama, Y.; Tateishi, Y.; Shinozaki, K.; Hirasawa, H. Gram-negative bacteremia induces greater magnitude of inflammatory response than Gram-positive bacteremia. Crit. Care 2010, 14, R27. [Google Scholar] [CrossRef]




| Characteristic | Overall n = 80 | Survivors (n = 18) | Non-Survivors (n = 62) | p-Value |
|---|---|---|---|---|
| Age | 48 (38–58) | 44.67 (16.82) | 48.82 (16.90) | 0.4 |
| Sex | ||||
| Female | 47 (59) | 12 (66.6) | 35 (56) | 0.4 |
| Charlson Comorbidity Index | 2.94 (1.64 | 3 (1.61) | 3.06 (1.63) | 0.8 |
| SOFA | 7.5 (5–10) | 11 (9.25–12.75) | 7 (5–9) | <0.001 * |
| APACHE-II | 15 (10–24) | 27 (22–36) | 12 (9–20) | <0.001 * |
| Lactate (mg/dL) | 1.90 (1.1–4) | 1.10 (1.07–3.63) | 2 (1.30–3.95) | 0.08 |
| Pyruvate (mg/dL) | 1.8 (1.5–2.8) | 1.65 (1.53–2.65) | 1.90 (1.50–2.78) | 0.6 |
| L/P Ratio | 1.2 (0.58–1.70) | 0.74 (0.57–1.51) | 1.08 (0.59–1.90) | 0.3 |
| Source of Infection | 0.1 | |||
| Pneumonia | 44 (55) | 13 (72) | 31 (50) | |
| Urinary tract infection | 19 (23.75) | 1 (5.6) | 18 (29) | |
| Gastrointestinal | 15 (19) | 1 (5.6) | 20 (32) | |
| Meningitis | 2 (2.5) | 0 (0) | 2 (3.2) | |
| Comorbidities | 0.7 | |||
| Congestive Heart Failure | 44 (55) | 8 (44.4) | 34 (54.8) | |
| History of Myocardial Infarction | 16 (20) | 3 (16.7) | 12 (19.4) | |
| Peripheral Arterial disease | 46 (57.5) | 11 (61.1) | 33 (53.2) | |
| Type 2 Diabetes Mellitus | 25 (31) | 7 (39) | 18 (29) | |
| Hypertension | 38 (48) | 7 (39) | 31 (50) |
| Predictor | Baseline | 4 h | 8 h | |||
|---|---|---|---|---|---|---|
| OR | 95% CI | OR | 95% CI | OR | 95% CI | |
| L/P Ratio | 1.02 | 0.96–1.08 | 1.03 | 0.97–1.08 | 1.08 | 1.02–1.18 * |
| Predictor | APACHE-II | SOFA | L/P Ratio | |||
|---|---|---|---|---|---|---|
| OR | 95% CI | OR | 95% CI | OR | 95% CI | |
| APACHE-II | 0.97 | 0.96–1.12 | - | - | - | - |
| SOFA | - | - | 0.94 | 0.91–1.09 | - | - |
| L/P Ratio | - | - | - | - | 1.08 | 1.02–1.18 * |
Disclaimer/Publisher’s Note: The statements, opinions and data contained in all publications are solely those of the individual author(s) and contributor(s) and not of MDPI and/or the editor(s). MDPI and/or the editor(s) disclaim responsibility for any injury to people or property resulting from any ideas, methods, instructions or products referred to in the content. |
© 2024 by the authors. Licensee MDPI, Basel, Switzerland. This article is an open access article distributed under the terms and conditions of the Creative Commons Attribution (CC BY) license (https://creativecommons.org/licenses/by/4.0/).
Share and Cite
Cantu-Rodriguez, O.G.; Hawing-Zarate, J.A.; Dorsey-Trevino, E.G.; Hernandez-Barajas, D.; Villalobos-Gutierrez, L.E.; Jaime-Perez, J.C.; Mancias-Guerra, C.; Gonzalez-Llano, O.; Gonzalez-Cantu, G.A.; Gomez-Almaguer, D.; et al. Lactate/Pyruvate Ratio as an Early Predictor of Mortality in Patients with Sepsis: A Cohort Study. J. Clin. Med. 2024, 13, 5597. https://doi.org/10.3390/jcm13185597
Cantu-Rodriguez OG, Hawing-Zarate JA, Dorsey-Trevino EG, Hernandez-Barajas D, Villalobos-Gutierrez LE, Jaime-Perez JC, Mancias-Guerra C, Gonzalez-Llano O, Gonzalez-Cantu GA, Gomez-Almaguer D, et al. Lactate/Pyruvate Ratio as an Early Predictor of Mortality in Patients with Sepsis: A Cohort Study. Journal of Clinical Medicine. 2024; 13(18):5597. https://doi.org/10.3390/jcm13185597
Chicago/Turabian StyleCantu-Rodriguez, Olga G., Jose A. Hawing-Zarate, Edgar G. Dorsey-Trevino, David Hernandez-Barajas, Leonel E. Villalobos-Gutierrez, Jose Carlos Jaime-Perez, Consuelo Mancias-Guerra, Oscar Gonzalez-Llano, Graciela A. Gonzalez-Cantu, David Gomez-Almaguer, and et al. 2024. "Lactate/Pyruvate Ratio as an Early Predictor of Mortality in Patients with Sepsis: A Cohort Study" Journal of Clinical Medicine 13, no. 18: 5597. https://doi.org/10.3390/jcm13185597
APA StyleCantu-Rodriguez, O. G., Hawing-Zarate, J. A., Dorsey-Trevino, E. G., Hernandez-Barajas, D., Villalobos-Gutierrez, L. E., Jaime-Perez, J. C., Mancias-Guerra, C., Gonzalez-Llano, O., Gonzalez-Cantu, G. A., Gomez-Almaguer, D., & Gutierrez-Aguirre, C. H. (2024). Lactate/Pyruvate Ratio as an Early Predictor of Mortality in Patients with Sepsis: A Cohort Study. Journal of Clinical Medicine, 13(18), 5597. https://doi.org/10.3390/jcm13185597

