Factors Affecting Wound Healing after the Wide Surgical Excision of Hidradenitis Suppurativa Lesions
Abstract
1. Introduction
2. Materials and Methods
2.1. Ethical Approval
2.2. Statistical Analysis
3. Results
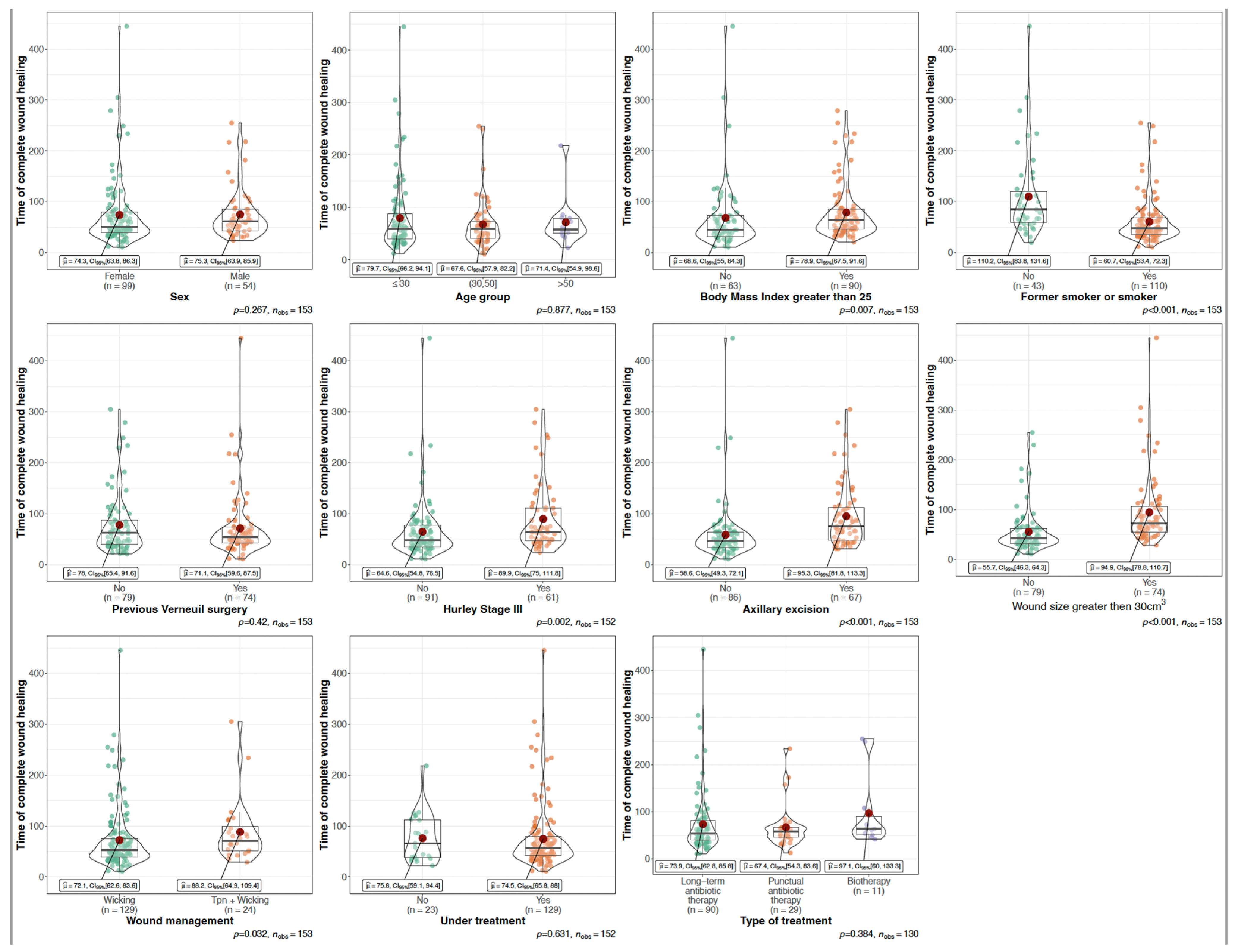
3.1. Patient Characteristics
3.2. Analysis According to Healing Time
3.3. Analysis at 90 Days
4. Discussion
5. Conclusions
Author Contributions
Funding
Institutional Review Board Statement
Informed Consent Statement
Data Availability Statement
Acknowledgments
Conflicts of Interest
References
- Zouboulis, C.C.; Desai, N.; Emtestam, L.; Hunger, R.E.; Ioannides, D.; Juhász, I.; Lapins, J.; Matusiak, L.; Prens, E.P.; Revuz, J.; et al. European S1 guideline for the treatment of hidradenitis suppurativa/acne inversa. J. Eur. Acad. Dermatol. Venereol. 2015, 29, 619–644. [Google Scholar] [CrossRef] [PubMed]
- Mintoff, D.; Pace, N.P.; Bauer, P.; Borg, I. A novel c.671_682del NCSTN variant in a family with hidradenitis suppurativa: A pilot study. Clin. Exp. Dermatol. 2021, 46, 1306–1308. [Google Scholar] [CrossRef] [PubMed]
- Goldburg, S.R.; Strober, B.E.; Payette, M.J. Hidradenitis suppurativa: Epidemiology, clinical presentation, and pathogenesis. J. Am. Acad. Dermatol. 2020, 82, 1045–1058. [Google Scholar] [CrossRef]
- Garg, A.; Malviya, N.; Strunk, A.; Wright, S.; Alavi, A.; Alhusayen, R.; Alikhan, A.; Daveluy, S.D.; Delorme, I.; Goldfarb, N.; et al. Comorbidity screening in hidradenitis suppurativa: Evidence-based recommendations from the US and Canadian Hidradenitis Suppurativa Foundations. J. Am. Acad. Dermatol. 2022, 86, 1092–1101. [Google Scholar] [CrossRef]
- Sabat, R.; Jemec, G.B.E.; Matusiak, Ł.; Kimball, A.B.; Prens, E.; Wolk, K. Hidradenitis suppurativa. Nat. Rev. Dis. Primers 2020, 6, 18. [Google Scholar] [CrossRef] [PubMed]
- Frings, V.G.; Bauer, B.; Schuster, R.; Goebeler, M.; Presser, D.; Kerstan, A. Differences in anatomical area-specific wound healing in hidradenitis suppurativa/acne inversa after surgery. Eur. J. Dermatol. 2021, 31, 623–629. [Google Scholar] [CrossRef]
- Tzellos, T.; Zouboulis, C.C. Review of Comorbidities of Hidradenitis Suppurativa: Implications for Daily Clinical Practice. Dermatol. Ther. 2020, 10, 63–71. [Google Scholar] [CrossRef]
- Bechara, F.G.; Podda, M.; Prens, E.P.; Horváth, B.; Giamarellos-Bourboulis, E.J.; Alavi, A.; Szepietowski, J.C.; Kirby, J.; Geng, Z.; Jean, C.; et al. Efficacy and Safety of Adalimumab in Conjunction with Surgery in Moderate to Severe Hidradenitis Suppurativa: The SHARPS Randomized Clinical Trial. JAMA Surg. 2021, 156, 1001–1009. [Google Scholar] [CrossRef] [PubMed]
- Humphries, L.S.; Kueberuwa, E.; Beederman, M.; Gottlieb, L.J. Wide excision and healing by secondary intent for the surgical treatment of hidradenitis suppurativa: A single-center experience. J. Plast. Reconstr. Aesthet. Surg. 2016, 69, 554–566. [Google Scholar] [CrossRef]
- Shukla, R.; Karagaiah, P.; Patil, A.; Farnbach, K.; Ortega-Loayza, A.G.; Tzellos, T.; Szepietowski, J.C.; Giulini, M.; Schepler, H.; Grabbe, S.; et al. Surgical Treatment in Hidradenitis Suppurativa. J. Clin. Med. 2022, 11, 2311. [Google Scholar] [CrossRef]
- Worden, A.; Yoho, D.J.; Houin, H.; Moquin, K.; Hamzavi, I.; Saab, I.; Siddiqui, A. Factors Affecting Healing in the Treatment of Hidradenitis Suppurativa. Ann. Plast. Surg. 2020, 84, 436–440. [Google Scholar] [CrossRef] [PubMed]
- Hurley, H. Dermatological Surgery: Principles and Practice; Marcel Dekker: New York, NY, USA, 1989. [Google Scholar]
- Janse, I.; Bieniek, A.; Horváth, B.; Matusiak, Ł. Surgical Procedures in Hidradenitis Suppurativa. Dermatol. Clin. 2016, 34, 97–109. [Google Scholar] [CrossRef] [PubMed]
- Gill, J.F.; Yu, S.S.; Neuhaus, I.M. Tobacco smoking and dermatologic surgery. J. Am. Acad. Dermatol. 2013, 68, 167–172. [Google Scholar] [CrossRef] [PubMed]
- Ahn, C.; Mulligan, P.; Salcido, R.S. Smoking-the bane of wound healing: Biomedical interventions and social influences. Adv. Skin Wound Care 2008, 21, 227–236; quiz 237–238. [Google Scholar] [CrossRef]
- Dixon, A.J.; Dixon, M.P.; Dixon, J.B.; Del Mar, C.B. Prospective study of skin surgery in smokers vs. nonsmokers. Br. J. Dermatol. 2009, 160, 365–367. [Google Scholar] [CrossRef]
- Sørensen, L.T. Wound healing and infection in surgery: The pathophysiological impact of smoking, smoking cessation, and nicotine replacement therapy: A systematic review. Ann. Surg. 2012, 255, 1069–1079. [Google Scholar] [CrossRef]
- Zhang, W.; Lin, H.; Zou, M.; Yuan, Q.; Huang, Z.; Pan, X.; Zhang, W. Nicotine in Inflammatory Diseases: Anti-Inflammatory and Pro-Inflammatory Effects. Front. Immunol. 2022, 13, 826889. [Google Scholar] [CrossRef]
- Prens, L.M.; Huizinga, J.; Janse, I.C.; Horváth, B. Surgical outcomes and the impact of major surgery on quality of life, activity impairment and sexual health in hidradenitis suppurativa patients: A prospective single centre study. J. Eur. Acad. Dermatol. Venereol. 2019, 33, 1941–1946. [Google Scholar] [CrossRef]
- Sørensen, L.T.; Jørgensen, S.; Petersen, L.J.; Hemmingsen, U.; Bülow, J.; Loft, S.; Gottrup, F. Acute effects of nicotine and smoking on blood flow, tissue oxygen, and aerobe metabolism of the skin and subcutis. J. Surg. Res. 2009, 152, 224–230. [Google Scholar] [CrossRef]
- Jacobi, J.; Jang, J.J.; Sundram, U.; Dayoub, H.; Fajardo, L.F.; Cooke, J.P. Nicotine accelerates angiogenesis and wound healing in genetically diabetic mice. Am. J. Pathol. 2002, 161, 97–104. [Google Scholar] [CrossRef]
- Adams, K.F.; Schatzkin, A.; Harris, T.B.; Kipnis, V.; Mouw, T.; Ballard-Barbash, R.; Hollenbeck, A.; Leitzmann, M.F. Overweight, obesity, and mortality in a large prospective cohort of persons 50 to 71 years old. N. Engl. J. Med. 2006, 355, 763–778. [Google Scholar] [CrossRef] [PubMed]
- Mullen, J.T.; Davenport, D.L.; Hutter, M.M.; Hosokawa, P.W.; Henderson, W.G.; Khuri, S.F.; Moorman, D.W. Impact of body mass index on perioperative outcomes in patients undergoing major intra-abdominal cancer surgery. Ann. Surg. Oncol. 2008, 15, 2164–2172. [Google Scholar] [CrossRef] [PubMed]
- Dindo, D.; Muller, M.K.; Weber, M.; Clavien, P.A. Obesity in general elective surgery. Lancet 2003, 361, 2032–2035. [Google Scholar] [CrossRef] [PubMed]
- Mullen, J.T.; Moorman, D.W.; Davenport, D.L. The obesity paradox: Body mass index and outcomes in patients undergoing nonbariatric general surgery. Ann. Surg. 2009, 250, 166–172. [Google Scholar] [CrossRef]
- Pierpont, Y.N.; Dinh, T.P.; Salas, R.E.; Johnson, E.L.; Wright, T.G.; Robson, M.C.; Payne, W.G. Obesity and surgical wound healing: A current review. ISRN Obes. 2014, 2014, 638936. [Google Scholar] [CrossRef]
- Chen, W.T.; Chi, C.C. Association of Hidradenitis Suppurativa With Inflammatory Bowel Disease. JAMA Dermatol. 2019, 155, 1022–1027. [Google Scholar] [CrossRef]
- Barrientos, S.; Stojadinovic, O.; Golinko, M.S.; Brem, H.; Tomic-Canic, M. Growth factors and cytokines in wound healing. Wound Repair. Regen. 2008, 16, 585–601. [Google Scholar] [CrossRef]
- Kurayev, A.; Ashkar, H.; Saraiya, A.; Gottlieb, A.B. Hidradenitis Suppurativa: Review of the Pathogenesis and Treatment. J. Drugs Dermatol. 2016, 15, 1017–1022. [Google Scholar] [PubMed]
- Zouboulis, C.C.; Bechara, F.G.; Fritz, K.; Goebeler, M.; Hetzer, F.H.; Just, E.; Kirsten, N.; Kokolakis, G.; Kurzen, H.; Nikolakis, G.; et al. S2k guideline for the treatment of hidradenitis suppurativa/acne in versa—Short version. J. Dtsch. Dermatol. Ges. 2024, 22, 868–889. [Google Scholar]
- Vinkel, C.; Thomsen, S.F. Hidradenitis Suppurativa: Causes, Features, and Current Treatments. J. Clin. Aesthet. Dermatol. 2018, 11, 17–23. [Google Scholar]
- Wang, B.; Yang, W.; Wen, W.; Sun, J.; Su, B.; Liu, B.; Ma, D.; Lv, D.; Wen, Y.; Qu, T.; et al. Gamma-secretase gene mutations in familial acne inversa. Science 2010, 330, 1065. [Google Scholar] [CrossRef] [PubMed]
- Ezanno, A.C.; Fougerousse, A.C.; Guillem, P.; GEM Resoverneuil. The role of negative-pressure wound therapy in the management of axillary hidradenitis suppurativa. Int. Wound J. 2022, 19, 802–810. [Google Scholar] [CrossRef] [PubMed]


| Variable | n (%) | 95% CI a |
|---|---|---|
| Sex | ||
| Female | 103 (64.4) | [56.6–72.1] |
| Male | 57 (35.6) | [27.9–43.4] |
| Age (years), mean (SD b) | 32.5 (11.1) | [30.8–34.3] |
| Age group | ||
| ≤30 | 86 (53.8) | [45.7–61.8] |
| (30, 50] | 59 (36.9) | [29.1–44.7] |
| >50 | 15 (9.4) | [4.5–14.2] |
| BMI c, mean (SD b) | 27.1 (5.7) | [26.3–28] |
| BMI c group | ||
| <25 | 64 (40.0) | [32.1–47.9] |
| [25, 30) | 51 (31.9) | [24.3–39.4] |
| ≥30 | 45 (28.1) | [20.8–35.4] |
| Smoker d | ||
| No | 46 (28.7) | [21.4–36.1] |
| Yes | 114 (71.2) | [63.9–78.6] |
| Diabetes mellitus | ||
| No | 153 (95.6) | [92.1–99.1] |
| Yes | 7 (4.4) | [0.9–7.9] |
| Inflammatory disease e | ||
| No | 150 (93.8) | [89.7–97.8] |
| Yes | 10 (6.2) | [2.2–10.3] |
| Cardiovascular disease | ||
| No | 156 (97.5) | [94.8–100] |
| Yes | 4 (2.5) | [0–5.2] |
| Hurley stage III f | ||
| No | 95 (60.1) | [52.2–68.1] |
| Yes | 63 (39.9) | [31.9–47.8] |
| ASA Status | ||
| 1 | 34 (21.2) | [14.6–27.9] |
| 2 | 120 (75.0) | [68.0–82.0] |
| 3 | 6 (3.8) | [0.5–7.0] |
| Medical treatment | ||
| No | 26 (16.4) | [10.3–22.4] |
| Yes | 133 (83.6) | [77.6–89.7] |
| Type of treatment | ||
| Background antibiotherapy | 93 (69.9) | [61.8–78.1] |
| Antibiotherapy in case of flare-up | 29 (21.8) | [14.4–29.2] |
| Biologics | 11 (8.3) | [3.2–13.3] |
| Localization excision | ||
| Inguinal/anogenital | 73 (45.6) | [37.6–53.7] |
| Axillary | 70 (43.8) | [35.8–51.7] |
| Gluteal | 15 (9.4) | [4.5–14.2] |
| Other | 2 (1.2) | [0.0–3.3] |
| Wound size (cm3) | ||
| ≤30 | 83 (51.9) | [43.8–59.9] |
| >30 | 77 (48.1) | [40.1–56.2] |
| Time of complete healing > 90 days | ||
| No | 122 (79.7) | [73.0–86.4] |
| Yes | 31 (20.3) | [13.6–27.0] |
| Time to Complete Healing under 90 Days | |||||
|---|---|---|---|---|---|
| No | Yes | ||||
| n (%) | 95% CI a | n (%) | 95% CI a | p | |
| Sex | 0.858 | ||||
| Female | 24 (23.3) | [14.7–32.0] | 79 (76.7) | [68.0–85.3] | |
| Male | 14 (24.6) | [12.5–36.6] | 43 (75.4) | [63.4–87.5] | |
| Age group | 0.854 | ||||
| ≤30 | 22 (25.6) | [15.8–35.4] | 64 (74.4) | [64.6–84.2] | |
| (30, 50] | 13 (22.0) | [10.6–33.5] | 46 (78.0) | [66.5–89.4] | |
| >50 | 3 (20.0) | [0.0–43.6] | 12 (80.0) | [56.4–100] | |
| BMI b ≥ 25 kg/m2—overweight | 0.404 | ||||
| No | 13 (20.3) | [9.7–31.0] | 51 (79.7) | [69.0–90.3] | |
| Yes | 25 (26.0) | [16.7–35.3] | 71 (74.0) | [64.7–83.3] | |
| BMI b > 30 kg/m2—obesity | 0.267 | ||||
| No | 30 (26.1) | [17.6–34.5] | 85 (73.9) | [65.5–82.4] | |
| Yes | 8 (17.8) | [5.5–30.1] | 37 (82.2) | [69.9–94.5] | |
| Smoker | <0.001 | ||||
| No | 22 (47.8) | [32.3–63.3] | 24 (52.2) | [36.7–67.7] | |
| Yes | 16 (14.0) | [7.2–20.8] | 98 (86.0) | [79.2–92.8] | |
| Inflammatory disease | 0.058 | ||||
| No | 33 (22.0) | [15.0–29.0] | 117 (78.0) | [71.0–85.0] | |
| Yes | 5 (50.0) | [14.0–86.0] | 5 (50.0) | [14.0–86.0] | |
| Localization wide excision | <0.001 | ||||
| Other | 10 (11.1) | [4.1–18.2] | 80 (88.9) | [81.8–95.9] | |
| Axillary | 28 (40.0) | [27.8–52.2] | 42 (60.0) | [47.8–72.2] | |
| Wound size (cm3), mean (sd c) | 99.6 (120.3) | [60–139.1] | 41.4 (56.4) | [31.3–51.5] | <0.001 |
| Wound size (cm3) | 0.004 | ||||
| ≤30 | 12 (14.5) | [6.3–22.6] | 71 (85.5) | [77.4–93.7] | |
| >30 | 26 (33.8) | [22.6–45.0] | 51 (66.2) | [55–77.4] | |
| Post-operative wound management | 0.291 | ||||
| Wound healing by dressing | 30 (22.2) | [14.8–29.6] | 105 (77.8) | [70.4–85.2] | |
| NPWT (15 days) following by dressing for wound healing | 8 (32) | [11.7–52.3] | 17 (68) | [47.7–88.3] | |
| Hurley stage III | 0.017 | ||||
| No | 16 (16.8) | [8.8–24.9] | 79 (83.2) | [75.1–91.2] | |
| Yes | 21 (33.3) | [20.9–45.8] | 42 (66.7) | [54.2–79.1] | |
| Medical treatment | 0.057 | ||||
| No | 10 (38.5) | [17.8–59.1] | 16 (61.5) | [40.9–82.2] | |
| Yes | 28 (21.1) | [13.7–28.4] | 105 (78.9) | [71.6–86.3] | |
| Type of treatment | 0.245 | ||||
| Background antibiotherapy | 22 (23.4) | [14.3–32.5] | 72 (76.6) | [67.5–85.7] | |
| Antibiotherapy in case of flare | 3 (10.3) | [0–23.2] | 26 (89.7) | [76.8–100] | |
| Biologics | 3 (27.3) | [0–58.1] | 8 (72.7) | [41.9–100] | |
| Bivariate Analysis | Multivariate Analysis | ||||||
|---|---|---|---|---|---|---|---|
| OR | 95% CI a | p | OR | 95% CI a | p | ||
| Smoker | No | - | - | - | - | - | - |
| Yes | 5.61 | [2.59–12.51] | <0.001 | 5.18 | [2.19–12.82] | <0.001 | |
| Inflammatory disease | No | - | - | - | - | - | - |
| Yes | 0.28 | [0.07–1.07] | 0.056 | 0.17 | [0.04–0.73] | 0.017 | |
| Localization wide excision | Other | - | - | - | - | - | - |
| Axillary | 0.19 | [0.08–0.41] | <0.001 | 0.20 | [0.08–0.49] | 0.001 | |
| Wound size (cm3) | mean (SD b) | 0.99 | [0.99–1.00] | 0.001 | - | - | - |
| Hurley stage III | No | - | - | - | - | - | - |
| Yes | 0.41 | [0.19–0.85] | 0.018 | - | - | - | |
| Medical treatment | No | - | - | - | - | - | - |
| Yes | 2.34 | [0.94–5.68] | 0.062 | 4.09 | [1.39–12.36] | 0.011 | |
Disclaimer/Publisher’s Note: The statements, opinions and data contained in all publications are solely those of the individual author(s) and contributor(s) and not of MDPI and/or the editor(s). MDPI and/or the editor(s) disclaim responsibility for any injury to people or property resulting from any ideas, methods, instructions or products referred to in the content. |
© 2024 by the authors. Licensee MDPI, Basel, Switzerland. This article is an open access article distributed under the terms and conditions of the Creative Commons Attribution (CC BY) license (https://creativecommons.org/licenses/by/4.0/).
Share and Cite
Ezanno, A.-C.; Texier, G.; Marchi, J.; Fougerousse, A.-C. Factors Affecting Wound Healing after the Wide Surgical Excision of Hidradenitis Suppurativa Lesions. J. Clin. Med. 2024, 13, 5598. https://doi.org/10.3390/jcm13185598
Ezanno A-C, Texier G, Marchi J, Fougerousse A-C. Factors Affecting Wound Healing after the Wide Surgical Excision of Hidradenitis Suppurativa Lesions. Journal of Clinical Medicine. 2024; 13(18):5598. https://doi.org/10.3390/jcm13185598
Chicago/Turabian StyleEzanno, Anne-Cecile, Gaëtan Texier, Joffrey Marchi, and Anne-Claire Fougerousse. 2024. "Factors Affecting Wound Healing after the Wide Surgical Excision of Hidradenitis Suppurativa Lesions" Journal of Clinical Medicine 13, no. 18: 5598. https://doi.org/10.3390/jcm13185598
APA StyleEzanno, A.-C., Texier, G., Marchi, J., & Fougerousse, A.-C. (2024). Factors Affecting Wound Healing after the Wide Surgical Excision of Hidradenitis Suppurativa Lesions. Journal of Clinical Medicine, 13(18), 5598. https://doi.org/10.3390/jcm13185598

