Effectiveness and Safety of Pharmacopuncture on Inpatients with Tension Headache Caused by Traffic Accidents: A Pragmatic Randomized Controlled Trial
Abstract
1. Introduction
2. Methods
2.1. Study Protocol
2.2. Study Design
2.3. Participants
2.3.1. Inclusion Criteria
- (1)
- Male and female patients ages 19–69 years
- (2)
- Patients with acute tension headache that occurred within 7 days after a TA
- (3)
- Inpatients for treatment of TA injuries
- (4)
- Patients with Numeric Rating Scale (NRS) score ≥ 5 for headache
- (5)
- Patients who provide voluntary consent to participate in the trial and return the signed informed consent form
2.3.2. Exclusion Criteria
- (1)
- Diagnosis of a specific critical condition that may cause headache, such as malignancy, cerebral hemorrhage, epidural or subdural hematoma, subarachnoid hemorrhage, and so on
- (2)
- Progressive neurological deficits or severe neurological symptoms
- (3)
- The cause of pain is because of a problem of the nervous system and not the suboccipital muscles, trigeminal neuralgia, glossopharyngeal neuralgia, postherpetic neuralgia, and so on
- (4)
- Patients who have had head surgery or procedures within the last 3 weeks
- (5)
- Other chronic conditions that may interfere with the interpretation of the therapeutic effects or results, including cardiovascular disease, kidney disease, diabetic neuropathy, dementia, epilepsy, and so on
- (6)
- Currently taking steroids, immunosuppressants, medication for mental illness, or other drugs that may affect the results of the study
- (7)
- When administration of pharmacopuncture is inadequate or unsafe: patients with hemorrhagic diseases, those on anticoagulants, those with severe diabetes with a risk of infection, and those with severe cardiovascular disease
- (8)
- Pregnant or planning to become pregnant
- (9)
- Participating in clinical trials other than observational studies without therapeutic intervention
- (10)
- Patients with difficulties in signing the informed consent form
- (11)
- Other patients whose participation in the trial is deemed problematic by the researcher
2.4. Randomization and Blinding
2.5. Interventions
2.5.1. Treatment Course
2.5.2. Comparison Group: IKM Treatment Group
2.5.3. Pharmacopuncture Group: A Group with an Add-On Therapy of Pharmacopuncture on Suboccipital Muscles (Suboccipital Muscles Pharmacopuncture + IKM Treatment)
2.6. Outcomes Measures
2.6.1. Primary Outcome
2.6.2. Secondary Outcomes
- (1)
- NRS for neck pain
- (2)
- Headache Disability Index (HDI)
- (3)
- Headache impact test-6 (HIT-6)
- (4)
- Quality of life: EuroQol 5-Dimension (EQ-5D)
- (5)
- Patient Global Impression of Change (PGIC)
2.7. Sample Size Calculation
2.8. Adverse Events
2.9. Statistical Analysis
3. Results
3.1. Participants and Their Baseline Characteristics
3.2. Treatment
3.3. Outcome Comparison between the Two Groups
3.4. Survival Analysis
3.5. Adverse Events
4. Discussion
Supplementary Materials
Author Contributions
Funding
Institutional Review Board Statement
Informed Consent Statement
Data Availability Statement
Conflicts of Interest
References
- Anarte-Lazo, E.; Abichandani, D.; Rodriguez-Blanco, C.; Bernal-Utrera, C.; Falla, D. Headache features in people with whiplash associated disorders: A scoping review. Musculoskelet. Sci. Pract. 2023, 66, 102802. [Google Scholar] [CrossRef] [PubMed]
- Al-Khazali, H.M.; Ashina, H.; Iljazi, A.; Lipton, R.B.; Ashina, M.; Ashina, S.; Schytz, H.W. Neck pain and headache after whiplash injury: A systematic review and meta-analysis. Pain 2020, 161, 880–888. [Google Scholar] [CrossRef]
- Sjaastad, O.; Fredriksen, T.A.; Bakketeig, L.S. Headache subsequent to whiplash. Curr. Pain Headache Rep. 2009, 13, 52–58. [Google Scholar] [CrossRef] [PubMed]
- Jeong, J.-H.; Ku, J.; Hwang, J.H. A single-center retrospective study on the effects of Korean medicine in 342 traffic accident cases. J. Pharmacopunct. 2021, 24, 122. [Google Scholar] [CrossRef]
- Ludvigsson, M.L.; Peterson, G.; Widh, S.; Peolsson, A. Exercise, headache, and factors associated with headache in chronic whiplash: Analysis of a randomized clinical trial. Medicine 2019, 98, e18130. [Google Scholar] [CrossRef]
- Shin, B.C.; Kim, J.C.K.W.; Ha, I.H.; Kim, M.R.; Park, K.S.; Hwang, E.H.; Hwang, M.S.; Heo, I.; Park, S.Y.; Lee, S.H.; et al. Traffic Injuries—Clinical Practice Guideline of Korean Medicine. 2021. Available online: https://nikom.or.kr/nckm/module/practiceGuide/view.do?guide_idx=143&progress=E&mds_code=&disease_code=&gubun=&code_gubun=mds&agency=&continent=&sortField=&sortType=&language=kor&country=%2C&continent_str=&search_type=all&search_text=&viewPage=1&guide_idx=&progress_jq=&title=%EA%B5%90%ED%86%B5%EC%82%AC%EA%B3%A0&disease_code_etc1=&agency_jq=&country=&cert_yn=&release_date=&menu_idx=14 (accessed on 8 November 2023).
- Jull, G.; Kenardy, J.; Hendrikz, J.; Cohen, M.; Sterling, M. Management of acute whiplash: A randomized controlled trial of multidisciplinary stratified treatments. PAIN® 2013, 154, 1798–1806. [Google Scholar] [CrossRef] [PubMed]
- Ginszt, M.; Szkutnik, J.; Zieliński, G.; Bakalczuk, M.; Stodółkiewicz, M.; Litko-Rola, M.; Ginszt, A.; Rahnama, M.; Majcher, P. Cervical Myofascial Pain is Associated with an imbalance of Masticatory muscle activity. Int. J. Environ. Res. Public Health 2022, 19, 1577. [Google Scholar] [CrossRef]
- Yamauchi, M.; Yamamoto, M.; Kitamura, K.; Morita, S.; Nagakura, R.; Matsunaga, S.; Abe, S. Morphological classification and comparison of suboccipital muscle fiber characteristics. Anat. Cell Biol. 2017, 50, 247–254. [Google Scholar] [CrossRef] [PubMed]
- Espí-López, G.V.; Gómez-Conesa, A.; Gómez, A.A.; Martínez, J.B.; Pascual-Vaca, Á.O.; Blanco, C.R. Treatment of tension-type headache with articulatory and suboccipital soft tissue therapy: A double-blind, randomized, placebo-controlled clinical trial. J. Bodyw. Mov. Ther. 2014, 18, 576–585. [Google Scholar] [CrossRef]
- Sedighi, A.; Ansari, N.N.; Naghdi, S. Comparison of acute effects of superficial and deep dry needling into trigger points of suboccipital and upper trapezius muscles in patients with cervicogenic headache. J. Bodyw. Mov. Ther. 2017, 21, 810–814. [Google Scholar] [CrossRef]
- Jiang, W.; Li, Z.; Wei, N.; Chang, W.; Chen, W.; Sui, H.-J. Effectiveness of physical therapy on the suboccipital area of patients with tension-type headache: A meta-analysis of randomized controlled trials. Medicine 2019, 98, e15487. [Google Scholar] [CrossRef]
- Sait, A.; Mitsikostas, D.D.; Ji, L.M.; Nooshin, Y.; Shuu-Jiun, W.; Messina, R.; Håkan, A.; Buse, D.C.; Pozo-Rosich, P.; Jensen, R.H. Tension-type headache (Primer). Nat. Rev. Dis. Primers 2021, 7, 24. [Google Scholar]
- Venugopal, P.; Manoharlal, M.A.; Rajaram, Y. Effects of suboccipital inhibition versus soft tissue manipulation on pain intensity and disability in tension-type headache among undergraduate physiotherapy students. Bull. Fac. Phys. Ther. 2024, 29, 35. [Google Scholar] [CrossRef]
- Pérez-Llanes, R.; Ruiz-Cárdenas, J.; Meroño-Gallut, A.; Fernández-Calero, M.; Ríos-Díaz, J. Effectiveness of suboccipital muscle inhibition combined with interferential current in patients with chronic tension-type headache: A randomised controlled clinical trial. Neurol. Engl. Ed. 2022, 37, 717–725. [Google Scholar] [CrossRef]
- Kim, M.R.; Lee, S.; Lee, Y.; Ha, I. Clinical research on pharmacopuncture in Korea: A scoping review. Perspect. Integr. Med. 2023, 2, 8–23. [Google Scholar]
- Park, K.S.; Kim, C.; Kim, J.W.; Kim, S.D.; Lee, J.Y.; Lee, Y.J.; Lee, J.; Kim, M.J.; Choi, Y.E.; Yang, C. A Pragmatic Randomized Controlled Trial on the Effectiveness and Safety of Pharmacopuncture for Chronic Lower Back Pain. J. Pain Res. 2023, 16, 2697–2712. [Google Scholar] [CrossRef]
- Byun, D.-Y.; Kim, H.; Han, S.-H.; Kim, K.-W.; Lee, J.-H.; Chung, W.-S.; Song, M.-Y.; Cho, J.-H. Pharmacopuncture for lumbar herniated intervertebral disc: A systematic review and meta-analysis. Complement. Ther. Clin. Pract. 2021, 43, 101369. [Google Scholar] [CrossRef]
- Lee, S.; Jo, D.-H.; Kim, K.H. Acupuncture for treating whiplash-associated disorder: A systematic review and meta-analysis protocol. Medicine 2018, 97, e12654. [Google Scholar] [CrossRef] [PubMed]
- Kim, N.H.; Lee, Y.J.; Suh, C.Y.; Lee, G.B.; Yang, K.J.; Kim, T.-G.; Gi, Y.-M.; Kwon, M.; Ha, I.-H. A Cross-Sectional Satisfaction Survey of 845 Traffic Accident Patients Treated with Korean Medicine. J. Acupunct. Res. 2018, 35, 69–74. [Google Scholar] [CrossRef][Green Version]
- Hu, N.-J.; Li, C.-H.; Wang, P.; Wu, G.-W.; Ma, L.-X.; Zhu, J. Influence of Psychological Factors in Primary Dysmenorrhea Patients on De qi: A Secondary Analysis of a Randomized Controlled Trial. J. Acupunct. Meridian Stud. 2023, 16, 20–29. [Google Scholar] [CrossRef] [PubMed]
- Kim, B.-J.; Park, A.-L.; Hwang, M.-S.; Heo, I.; Park, S.-Y.; Cho, J.-H.; Kim, K.-W.; Lee, J.-H.; Ha, I.-H.; Park, K.-S. Comparative effectiveness and safety of concomitant treatment with Chuna manual therapy and usual care for whiplash injuries: A multicenter randomized controlled trial. Int. J. Environ. Res. Public Health 2022, 19, 10678. [Google Scholar] [CrossRef]
- Kim, D.; Baek, G.G.; Shin, B.-C. An Umbrella Review of Systematic Reviews for Chuna (or Tuina) Manual Therapy on Musculoskeletal Disorders. Perspect. Integr. Med. 2023, 2, 142–154. [Google Scholar] [CrossRef]
- Jacobson, G.P.; Ramadan, N.M.; Aggarwal, S.K.; Newman, C.W. The Henry Ford hospital headache disability inventory (HDI). Neurology 1994, 44, 837. [Google Scholar] [CrossRef]
- Chu, M.-K.; Im, H.-J.; Ju, Y.-S.; Yu, K.-H.; Kim, Y.-J.; Kim, J.; Lee, B.-C. Validity and reliability assessment of Korean headache impact test-6 (HIT-6). J. Korean Neurol. Assoc. 2009, 1–6. Available online: https://www.riss.kr/link?id=A101609693 (accessed on 8 November 2023).
- Kim, S.-H.; Ahn, J.; Ock, M.; Shin, S.; Park, J.; Luo, N.; Jo, M.-W. The EQ-5D-5L valuation study in Korea. Qual. Life Res. 2016, 25, 1845–1852. [Google Scholar] [CrossRef]
- Farrar, J.T.; Young, J.P., Jr.; LaMoreaux, L.; Werth, J.L.; Poole, R.M. Clinical importance of changes in chronic pain intensity measured on an 11-point numerical pain rating scale. Pain 2001, 94, 149–158. [Google Scholar] [CrossRef]
- Lewis, M.; Bromley, K.; Sutton, C.J.; McCray, G.; Myers, H.L.; Lancaster, G.A. Determining sample size for progression criteria for pragmatic pilot RCTs: The hypothesis test strikes back! Pilot Feasibility Stud. 2021, 7, 40. [Google Scholar] [CrossRef]
- Spilker, B. Guide to Clinical Trials; Ravan Press: New York, NY, USA, 1992; p. 1156. [Google Scholar]
- Rehan, H.; Chopra, D.; Kakkar, A.K. Causality assessment of spontaneously reported adverse drug events: Comparison of WHO-UMC criteria and Naranjo probability scale. Int. J. Risk Saf. Med. 2007, 19, 223–227. [Google Scholar]
- Kim, D.; Park, K.-S.; Lee, J.-H.; Ryu, W.-H.; Moon, H.; Park, J.; Jeon, Y.-H.; Seo, J.-Y.; Moon, Y.-J.; Namgoong, J. Intensive motion style acupuncture treatment (MSAT) is effective for patients with acute whiplash injury: A randomized controlled trial. J. Clin. Med. 2020, 9, 2079. [Google Scholar] [CrossRef]
- Ford, I.; Norrie, J. Pragmatic trials. N. Engl. J. Med. 2016, 375, 454–463. [Google Scholar] [CrossRef]
- Jung, K.Y.; Lee, M.H.; Choi, Y.K.; Lee, C.Y.; Park, J.H.; Jeon, C.Y. Study on the Proposals for Clinical Research in Korean Medicine Worldwide-Future Clinical Research Strategy II. J. Physiol. Pathol. Korean Med. 2015, 29, 115–126. [Google Scholar] [CrossRef]
- Nicholls, S.G.; Zwarenstein, M.; Hey, S.P.; Giraudeau, B.; Campbell, M.K.; Taljaard, M. The importance of decision intent within descriptions of pragmatic trials. J. Clin. Epidemiol. 2020, 125, 30–37. [Google Scholar] [CrossRef]
- Salaffi, F.; Stancati, A.; Silvestri, C.A.; Ciapetti, A.; Grassi, W. Minimal clinically important changes in chronic musculoskeletal pain intensity measured on a numerical rating scale. Eur. J. Pain 2004, 8, 283–291. [Google Scholar] [CrossRef]
- Castien, R.F.; Blankenstein, A.H.; Windt, D.A.v.d.; Dekker, J. Minimal clinically important change on the Headache Impact Test-6 questionnaire in patients with chronic tension-type headache. Cephalalgia 2012, 32, 710–714. [Google Scholar] [CrossRef]
- Chung, A.S.; Copay, A.G.; Olmscheid, N.; Campbell, D.; Walker, J.B.; Chutkan, N. Minimum clinically important difference: Current trends in the spine literature. Spine 2017, 42, 1096–1105. [Google Scholar] [CrossRef]
- Kim, E.-J.; Jung, C.-Y.; Jang, M.-G.; Yoon, E.-H.; Nam, D.-W.; Kang, J.-W.; Lee, J.-D.; Lee, S.-D.; Kim, K.-S. Review study of headache measurement tools-mainly on reliability and validity. J. Acupunct. Res. 2010, 27, 51–64. [Google Scholar]
- Yang, M.; Rendas-Baum, R.; Varon, S.F.; Kosinski, M. Validation of the Headache Impact Test (HIT-6™) across episodic and chronic migraine. Cephalalgia 2011, 31, 357–367. [Google Scholar] [CrossRef]
- Cho, S.H. The effect of suboccipital muscle inhibition and posture correction exercises on chronic tension-type headaches. J. Back Musculoskelet. Rehabil. 2021, 34, 989–996. [Google Scholar] [CrossRef]
- Palacios-Ceña, M.; Castaldo, M.; Wang, K.; Catena, A.; Torelli, P.; Arendt-Nielsen, L.; Fernández-de-Las-Peñas, C. Relationship of active trigger points with related disability and anxiety in people with tension-type headache. Medicine 2017, 96, e6548. [Google Scholar] [CrossRef]
- Castaldo, M.; Ge, H.-Y.; Chiarotto, A.; Villafane, J.H.; Arendt-Nielsen, L. Myofascial trigger points in patients with whiplash-associated disorders and mechanical neck pain. Pain Med. 2014, 15, 842–849. [Google Scholar] [CrossRef]
- Zhang, B.; Shi, H.; Cao, S.; Xie, L.; Ren, P.; Wang, J.; Shi, B. Revealing the magic of acupuncture based on biological mechanisms: A literature review. Biosci. Trends 2022, 16, 73–90. [Google Scholar] [CrossRef] [PubMed]
- Kim, D.-Y.; Hong, S.-H.; Han, S.-Y.; Kim, W.-Y.; Oh, S.-H.; Lee, H.-W.; Woo, H.-S. The research trends of pharmacopuncture therapy on cervical pain caused by traffic accidents. J. Pharmacopunct. 2020, 23, 201. [Google Scholar] [CrossRef] [PubMed]
- Lee, J.; Shin, J.-S.; Lee, Y.J.; Kim, M.-R.; Ahn, Y.-J.; Park, K.B.; Kropf, M.A.; Shin, B.-C.; Lee, M.S.; Ha, I.-H. Effects of Shinbaro pharmacopuncture in sciatic pain patients with lumbar disc herniation: Study protocol for a randomized controlled trial. Trials 2015, 16, 455. [Google Scholar] [CrossRef] [PubMed]
- Yeongmin, K.; Yunhee, H.; Seungkwan, C.; Jungho, J.; Byeonghyeon, J.; Hyeonjun, W.; Wonbae, H.; Junghan, L. Domestic clinical research trends of Shinbaro pharmacopuncture: Scoping review. J. Korean Med. 2023, 33. Available online: https://www.riss.kr/link?id=A108816599 (accessed on 8 November 2023).
- Chang, S.-Y.; Cha, J.-H.; Jung, K.-H.; Lee, T.-H.; Hwang, H.-S.; Yoo, J.-S.; Lee, E.-Y.; Roh, J.-D. The clinical study of herbal acupuncture for neck pain caused by whiplash injury. J. Acupunct. Res. 2007, 24, 35–41. [Google Scholar]
- Seol, H.; Song, B.-R.; Sin, M.-S.; Yook, T.-H. Effects of jungsongouhyul herbal acupuncture (JSO) multi-treatment for whiplash injury by traffic accident. J. Pharmacopunct. 2005, 8, 59–65. [Google Scholar]
- KangHW, L.; Jang, H. ClinicalStudiesonHwangryunhaedoktang HerbalAcupunctureTherapyonHeadache. J. Pharmacopunct. 2003, 6, 52–60. [Google Scholar]




| Total | Pharmacopuncture Group | Comparison Group | p Value | |
|---|---|---|---|---|
| N = 80 | N = 40 | N = 40 | ||
| Age | ||||
| The mean ± SD | 42.33 ± 14.85 | 43.10 ± 14.05 | 41.55 ± 15.74 | 0.644 |
| <30 | 19 (23.8) | 8 (20.0) | 11 (27.5) | 0.613 |
| 30–39 | 17 (21.2) | 7 (17.5) | 10 (25.0) | |
| 40–49 | 15 (18.8) | 9 (22.5) | 6 (15.0) | |
| 50–59 | 16 (20.0) | 10 (25.0) | 6 (15.0) | |
| ≥60 | 13 (16.2) | 6 (15.0) | 7 (17.5) | |
| Sex | ||||
| Male | 47 (58.8) | 23 (57.5) | 24 (60.0) | 1.000 |
| Female | 33 (41.2) | 17 (42.5) | 16 (40.0) | |
| Height (cm, the mean ± SD) | 168.18 ± 8.21 | 168.05 ± 8.15 | 168.30 ± 8.37 | 0.893 |
| Weight (kg, the mean ± SD) | 69.01 ± 13.85 | 69.80 ± 15.40 | 68.22 ± 12.24 | 0.614 |
| BMI | ||||
| the mean ± SD | 24.30 ± 3.97 | 24.61 ± 4.58 | 23.99 ± 3.28 | 0.489 |
| <25 | 46 (57.5) | 23 (57.5) | 23 (57.5) | 1.000 |
| ≥25 | 34 (42.5) | 17 (42.5) | 17 (42.5) | |
| Alcohol consumption | ||||
| Yes | 19 (23.8) | 12 (30.0) | 7 (17.5) | 0.293 |
| No | 61 (76.2) | 28 (70.0) | 33 (82.5) | |
| Smoking | ||||
| Never-smoker | 58 (72.5) | 27 (67.5) | 31 (77.5) | 0.453 |
| Former smoker | - | - | - | |
| Current smoker | 22 (27.5) | 13 (32.5) | 9 (22.5) | |
| Occupation type | ||||
| Managers | - | - | - | 0.395 |
| Professionals and related occupations | 7 (8.8) | 4 (10.0) | 3 (7.5) | |
| Office workers (clerical) | 19 (23.8) | 7 (17.5) | 12 (30.0) | |
| Service and sales workers | 13 (16.2) | 8 (20.0) | 5 (12.5) | |
| Skilled agricultural, forestry, and fishery workers | - | - | - | |
| Craft and related trades | 3 (3.8) | 3 (7.5) | - | |
| Plan and machine operators and assemblers | - | - | - | |
| Elementary occupations | 11 (13.8) | 6 (15.0) | 5 (12.5) | |
| Armed forces | - | - | - | |
| No occupation (Including housewives and students) | 27 (33.8) | 12 (30.0) | 15 (37.5) | |
| Onset type | ||||
| In car TA | 74 (92.5) | 36 (90.0) | 38 (95.0) | 0.675 |
| out car TA | 6 (7.5) | 4 (10.0) | 2 (5.0) | |
| Disease history | ||||
| Yes | 35 (43.8) | 17 (42.5) | 18 (45.0) | 1 |
| No | 45 (56.2) | 23 (57.5) | 22 (55.0) | |
| Baseline outcomes (the mean ± SD) | ||||
| Baseline NRS (Headache) (N = 79) | 6.91 ± 0.40 | 6.97 ± 0.28 | 6.85 ± 0.49 | 0.156 |
| Baseline NRS (Neck pain) (N = 79) | 5.11 ± 0.39 | 5.12 ± 0.40 | 5.10 ± 0.38 | 0.801 |
| Baseline HDI | 61.81 ± 4.83 | 61.98 ± 4.89 | 61.65 ± 4.82 | 0.766 |
| Baseline HIT-6 | 64.20 ± 3.07 | 64.05 ± 2.75 | 64.35 ± 3.40 | 0.665 |
| Baseline EQ-5D | 0.56 ± 0.13 | 0.54 ± 0.12 | 0.58 ± 0.13 | 0.110 |
| Baseline Hospitalization Day 2 (Before) | Hospitalization Day 2 (After) | Hospitalization Day 3 (Before) | Hospitalization Day 3 (After) | Hospitalization Day 4 (Before) | Hospitalization Day 4 (After) | Discharge | 2 Months ±10 Days after Enrollment | ||
|---|---|---|---|---|---|---|---|---|---|
| Visit 2 (Before) | Visit 2 (After) | Visit 3 (Before) | Visit 3 (After) | Visit 4 (Before) | Visit 4 (After) | Visit 5 | Visit 6 | ||
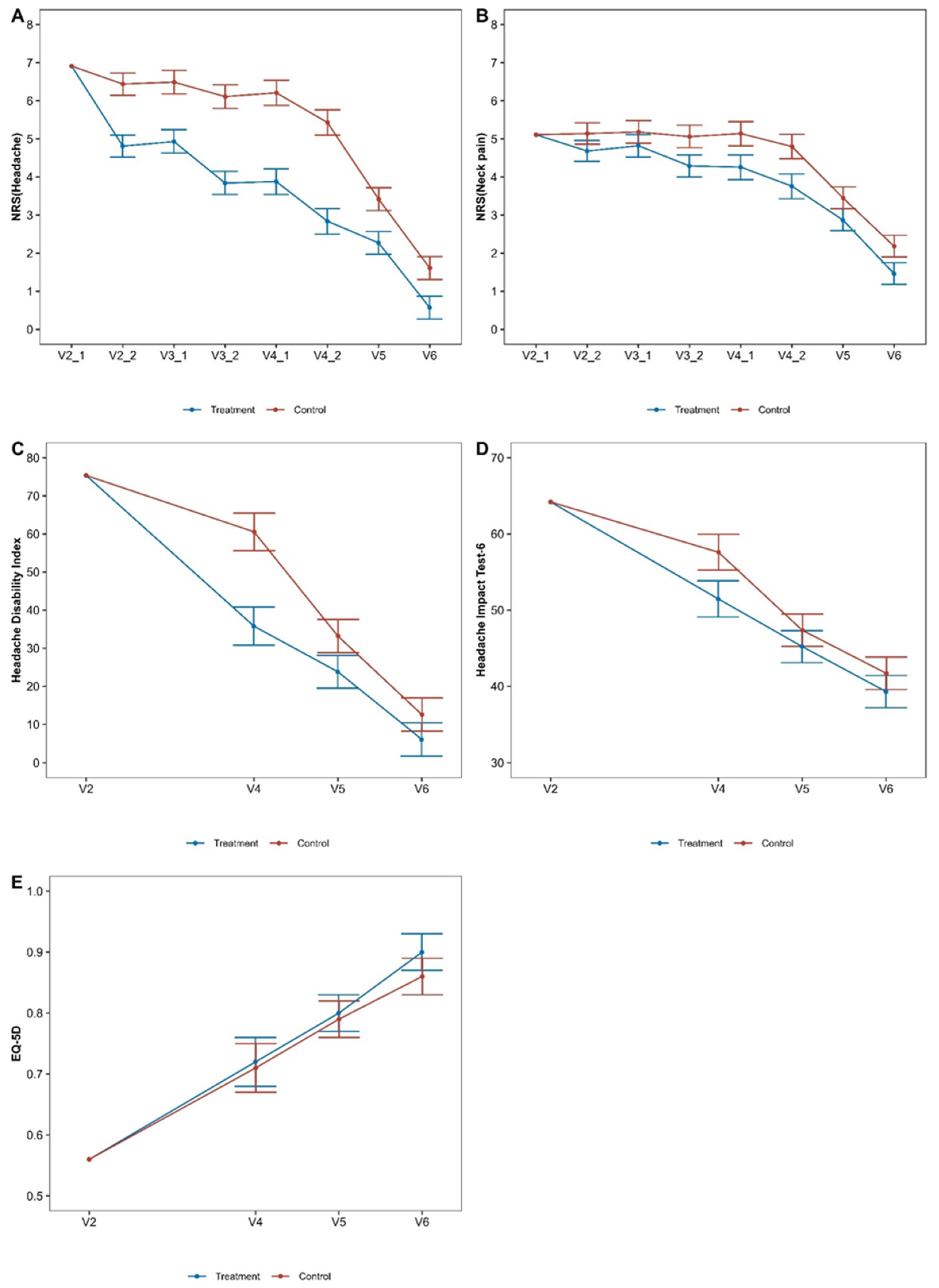
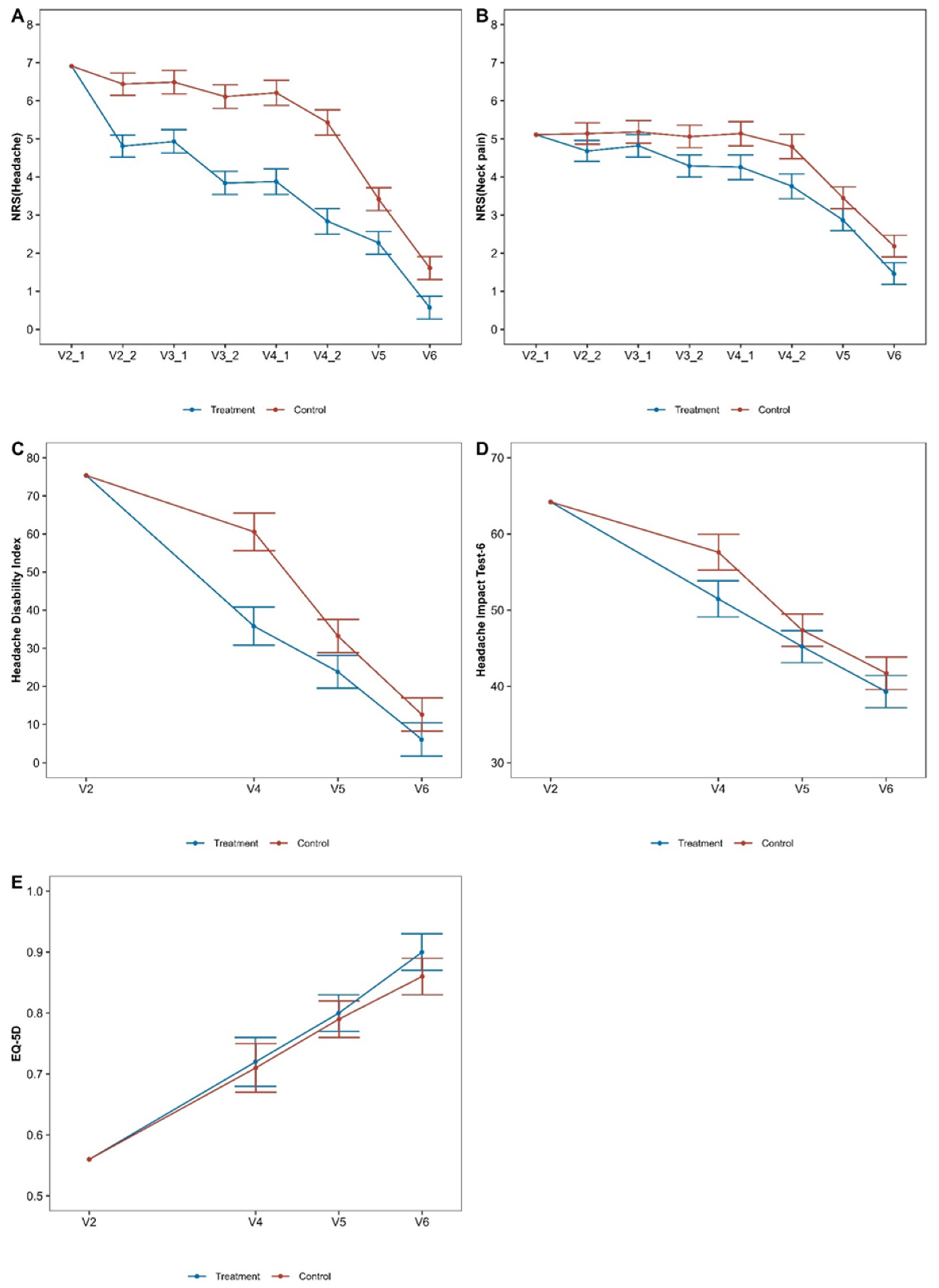
| NRS (Headache) | Pharmacopuncture group | 6.91 (6.82 to 7.00) | 4.81 (4.52 to 5.10) | 4.93 (4.63 to 5.24) | 3.84 (3.54 to 4.15) | 3.88 (3.54 to 4.21) | 2.84 (2.50 to 3.17) | 2.27 (1.97 to 2.57) | 0.57 (0.27 to 0.87) |
| Comparison group | 6.44 (6.14 to 6.73) | 6.49 (6.18 to 6.80) | 6.11 (5.80 to 6.42) | 6.21 (5.88 to 6.54) | 5.43 (5.10 to 5.76) | 3.42 (3.12 to 3.72) | 1.61 (1.31 to 1.91) | ||
| Difference | — | −1.62 (−2.04 to −1.21) | −1.56 (−1.99 to −1.12) | −2.26 (−2.70 to −1.83) | −2.33 (−2.80 to −1.86) | −2.59 (−3.06 to −2.12) | −1.15 (−1.57 to −0.73) | −1.03 (−1.46 to −0.61) | |
| p value | — | <0.001 *** | <0.001 *** | <0.001 *** | <0.001 *** | <0.001 *** | <0.001 *** | <0.001 *** | |
| Cohen’s d | — | 1.15 | 1.15 | 1.39 | 1.48 | 1.94 | 3.16 | 4.68 | |
| NRS (Neck pain) | Pharmacopuncture group | 5.11 (5.03 to 5.20) | 4.68 (4.41 to 4.96) | 4.82 (4.52 to 5.11) | 4.29 (4.00 to 4.58) | 4.26 (3.93 to 4.58) | 3.76 (3.43 to 4.08) | 2.87 (2.59 to 3.16) | 1.46 (1.18 to 1.75) |
| Comparison group | 5.14 (4.86 to 5.42) | 5.18 (4.89 to 5.48) | 5.06 (4.77 to 5.36) | 5.14 (4.82 to 5.45) | 4.80 (4.48 to 5.12) | 3.45 (3.17 to 3.74) | 2.18 (1.90 to 2.47) | ||
| Difference | — | −0.46 (−0.85 to −0.07) | −0.37 (−0.78 to 0.05) | −0.78 (−1.19 to −0.36) | −0.88 (−1.33 to −0.43) | −1.05 (−1.50 to −0.59) | −0.58 (−0.98 to −0.18) | −0.72 (−1.12 to −0.32) | |
| p value | — | 0.022 * | 0.083 | <0.001 *** | <0.001 *** | <0.001 *** | 0.005 ** | <0.001 *** | |
| Cohen’s d | — | 0.38 | 0.43 | 0.69 | 0.68 | 0.97 | 1.75 | 2.18 | |
| HDI | Pharmacopuncture group | 75.35 (73.75 to 76.95) | 35.78 (30.77 to 40.79) | 23.82 (19.51 to 28.13) | 6.09 (1.73 to 10.44) | ||||
| Comparison group | 60.56 (55.62 to 65.49) | 33.19 (28.83 to 37.55) | 12.59 (8.23 to 16.96) | ||||||
| Difference | — | −24.78 (−31.79 to −17.76) | −9.37 (−15.48 to −3.26) | −6.51 (−12.65 to −0.37) | |||||
| p value | — | <0.001 *** | 0.003 ** | 0.038 * | |||||
| Cohen’s d | — | 1.59 | 2.66 | 5.65 | |||||
| HIT-6 | Pharmacopuncture group | 64.20 (63.53 to 64.87) | 51.47 (49.09 to 53.86) | 45.21 (43.11 to 47.30) | 39.30 (37.19 to 41.41) | ||||
| Comparison group | 57.60 (55.25 to 59.95) | 47.36 (45.24 to 49.48) | 41.71 (39.59 to 43.83) | ||||||
| Difference | — | −6.13 (−9.47 to −2.78) | −2.15 (−5.12 to 0.81) | −2.41 (−5.39 to 0.57) | |||||
| p value | — | <0.001 *** | 0.154 | 0.111 | |||||
| Cohen’s d | — | 1.52 | 2.30 | 4.51 | |||||
| EQ−5D | Pharmacopuncture group | 0.56 (0.53 to 0.59) | 0.72 (0.68 to 0.76) | 0.80 (0.77 to 0.83) | 0.90 (0.87 to 0.93) | ||||
| Comparison group | 0.71 (0.67 to 0.75) | 0.79 (0.76 to 0.82) | 0.86 (0.83 to 0.89) | ||||||
| Difference | — | 0.01 (−0.04 to 0.06) | 0.01 (−0.03 to 0.06) | 0.05 (0.00 to 0.09) | |||||
| p value | — | 0.688 | 0.582 | 0.047 * | |||||
| Cohen’s d | — | −1.56 | −1.68 | −2.05 | |||||
| PGIC | Pharmacopuncture group | 3.22 (2.92 to 3.52) | 2.34 (2.09 to 2.60) | 2.06 (1.80 to 2.32) | |||||
| Comparison group | 3.40 (3.10 to 3.70) | 2.33 (2.07 to 2.58) | 2.62 (2.36 to 2.88) | ||||||
| Difference | — | 0.18 (−0.25 to 0.61) | −0.02 (−0.38 to 0.35) | 0.57 (0.20 to 0.93) | |||||
| p value | — | 0.407 | 0.927 | 0.003 ** | |||||
| Cohen’s d | — | −0.27 | 0.03 | −0.66 |
| Pharmacopuncture Group | Comparison Group | Difference (95% CI) | p Value | Cohen’s d | |
|---|---|---|---|---|---|
| NRS (Headache) | 100.76 (82.31 to 119.22) | 163.24 (144.53 to 181.95) | −62.47 (−88.80 to −36.15) | <0.001 *** | 1.10 |
| NRS (Neck pain) | 143.20 (123.39 to 163.01) | 176.96 (156.87 to 197.06) | −33.76 (−61.76 to −5.77) | 0.019 * | 0.57 |
| HDI | 1029.29 (818.04 to 1240.53) | 1499.77 (1282.76 to 1716.77) | −470.48 (−773.79 to −167.17) | 0.003 ** | 0.74 |
| HIT-6 | 2611.98 (2504.32 to 2719.64) | 2743.06 (2633.25 to 2852.86) | −131.08 (−284.70 to 22.55) | 0.093 | 0.42 |
| EQ5D | 51.63 (49.99 to 53.27) | 50.13 (48.48 to 51.77) | 1.50 (−0.82 to 3.82) | 0.201 | −0.17 |
| Pharmacopuncture Group (N = 40) | Comparison Group(N = 40) | |
|---|---|---|
| Total cases of adverse events | 7 | 7 |
| Possibility of a causal relationship | 1 | 0 |
| Redness at the site of intervention | 1 | 0 |
| No possibility of a causal relationship | 6 | 7 |
| Muscle cramps | 1 | 3 |
| Sore throat | 2 | 2 |
| Dyspepsia and nausea | 1 | 2 |
| Insomnia/sleep disturbance | 2 | 0 |
| Serious adverse events | 0 | 0 |
Disclaimer/Publisher’s Note: The statements, opinions and data contained in all publications are solely those of the individual author(s) and contributor(s) and not of MDPI and/or the editor(s). MDPI and/or the editor(s) disclaim responsibility for any injury to people or property resulting from any ideas, methods, instructions or products referred to in the content. |
© 2024 by the authors. Licensee MDPI, Basel, Switzerland. This article is an open access article distributed under the terms and conditions of the Creative Commons Attribution (CC BY) license (https://creativecommons.org/licenses/by/4.0/).
Share and Cite
Son, J.-Y.; Goo, K.; Kim, N.-y.; Yang, S.-G.; Lee, D.H.; Im, Y.-R.; Kwon, O.B.; Cho, H.-W.; Kim, S.D.; Kim, D.; et al. Effectiveness and Safety of Pharmacopuncture on Inpatients with Tension Headache Caused by Traffic Accidents: A Pragmatic Randomized Controlled Trial. J. Clin. Med. 2024, 13, 4457. https://doi.org/10.3390/jcm13154457
Son J-Y, Goo K, Kim N-y, Yang S-G, Lee DH, Im Y-R, Kwon OB, Cho H-W, Kim SD, Kim D, et al. Effectiveness and Safety of Pharmacopuncture on Inpatients with Tension Headache Caused by Traffic Accidents: A Pragmatic Randomized Controlled Trial. Journal of Clinical Medicine. 2024; 13(15):4457. https://doi.org/10.3390/jcm13154457
Chicago/Turabian StyleSon, Ja-Yean, Kangmoo Goo, Na-young Kim, Seok-Gyu Yang, Dong Hwan Lee, Yu-Ra Im, Oh Bin Kwon, Hyun-Woo Cho, Sang Don Kim, Doori Kim, and et al. 2024. "Effectiveness and Safety of Pharmacopuncture on Inpatients with Tension Headache Caused by Traffic Accidents: A Pragmatic Randomized Controlled Trial" Journal of Clinical Medicine 13, no. 15: 4457. https://doi.org/10.3390/jcm13154457
APA StyleSon, J.-Y., Goo, K., Kim, N.-y., Yang, S.-G., Lee, D. H., Im, Y.-R., Kwon, O. B., Cho, H.-W., Kim, S. D., Kim, D., & Ha, I.-H. (2024). Effectiveness and Safety of Pharmacopuncture on Inpatients with Tension Headache Caused by Traffic Accidents: A Pragmatic Randomized Controlled Trial. Journal of Clinical Medicine, 13(15), 4457. https://doi.org/10.3390/jcm13154457

