Comparative Analysis of Morbidity and Mortality Outcomes in Elderly and Nonelderly Patients Undergoing Elective TEVAR: A Systematic Review and Meta-Analysis
Abstract
1. Introduction
2. Materials and Methods
2.1. Literature Search
2.2. Data Extraction
2.3. Patient Characteristics
2.4. Endpoints of Interest
2.4.1. Primary Endpoint
2.4.2. Secondary Endpoint
2.5. Subgroup Analysis: Elective vs. Emergency
2.6. Statistical and Sensitivity Analysis
3. Results
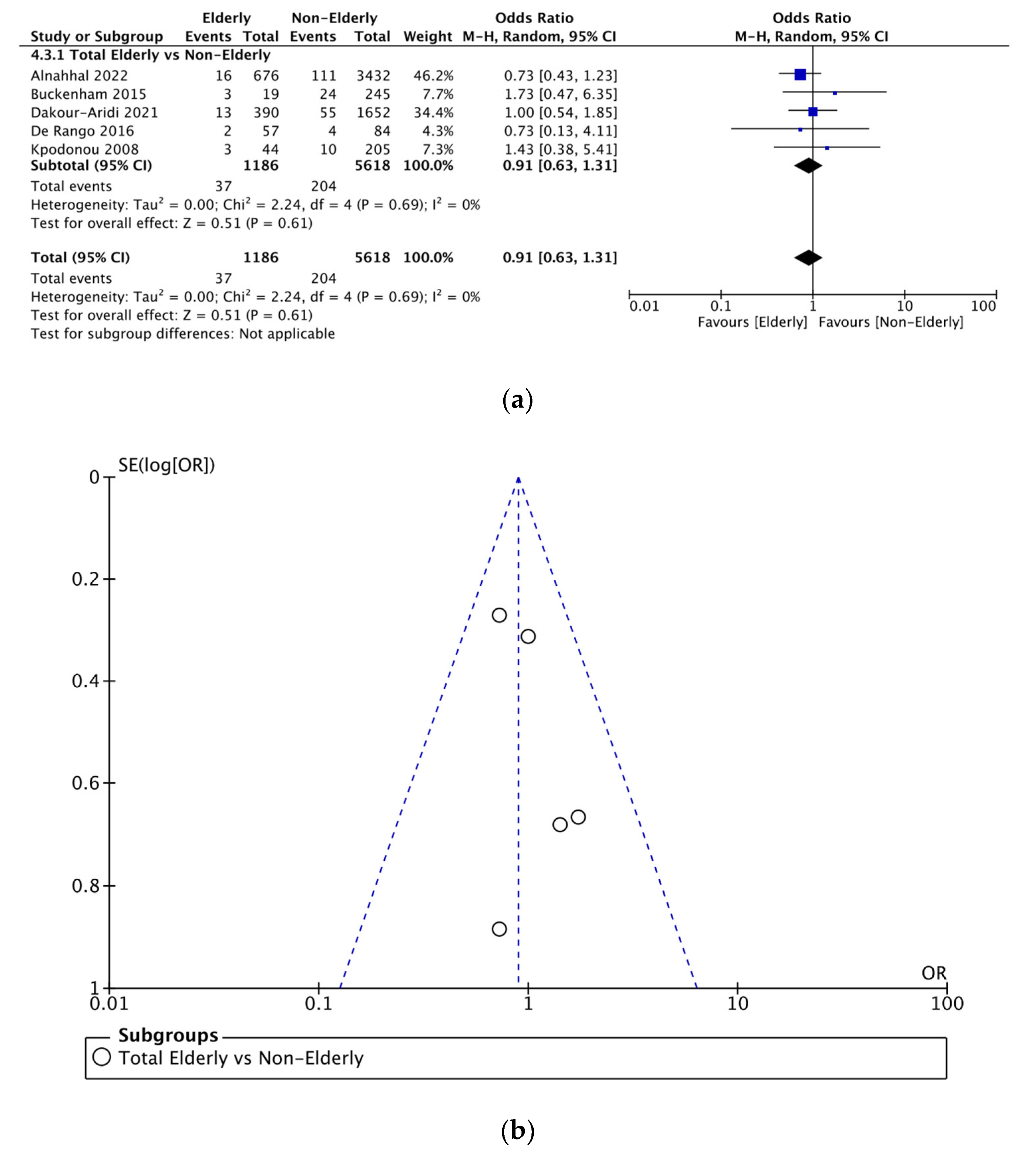
3.1. Primary Endpoint—Morbidity
3.1.1. Neurological Complications
3.1.2. Endoleaks
3.1.3. Respiratory Complications
3.2. Length of Hospital Stay
3.3. Secondary Endpoint
Short-Term Mortality
3.4. Secondary Endpoint
Overall Survival
3.5. Sensitivity Analysis
4. Discussion
5. Conclusions
Author Contributions
Funding
Institutional Review Board Statement
Informed Consent Statement
Data Availability Statement
Conflicts of Interest
References
- Nation, D.; Wang, G. TEVAR: Endovascular Repair of the Thoracic Aorta. Semin. Interv. Radiol. 2015, 32, 265–271. [Google Scholar] [CrossRef] [PubMed]
- Liu, J.; Xia, J.; Yan, G.; Zhang, Y.; Ge, J.; Cao, L. Thoracic endovascular aortic repair versus open chest surgical repair for patients with type B aortic dissection: A systematic review and meta-analysis. Ann. Med. 2019, 51, 360–370. [Google Scholar] [CrossRef] [PubMed]
- Czerny, M.; Funovics, M.; Ehrlich, M.; Hoebartner, M.; Sodeck, G.; Dumfarth, J.; Schoder, M.; Juraszek, A.; Dziodzio, T.; Loewe, C.; et al. Risk Factors of Mortality in Different Age Groups After Thoracic Endovascular Aortic Repair. Ann. Thorac. Surg. 2010, 90, 534–538. [Google Scholar] [CrossRef]
- Jonker, F.; Verhagen, H.; Heijmen, R.; Lin, P.; Trimarchi, S.; Lee, W.; Moll, F.; Athamneh, H.; Muhs, B. Endovascular Treatment of Ruptured Thoracic Aortic Aneurysm in Patients Older than 75 Years. Eur. J. Vasc. Endovasc. Surg. 2011, 41, 48–53. [Google Scholar] [CrossRef] [PubMed]
- Jonker, F.H.; Verhagen, H.J.; Heijmen, R.H.; Lin, P.H.; Trimarchi, S.; Lee, W.A.; Moll, F.L.; Athamneh, H.; Muhs, B.E. Endovascular Repair of Ruptured Thoracic Aortic Aneurysms: Predictors of Procedure-Related Stroke. Ann. Vasc. Surg. 2011, 25, 3–8. [Google Scholar] [CrossRef]
- Dakour-Aridi, H.; Yin, K.; Hussain, F.; Locham, S.; Azizzadeh, A.; Malas, M.B. Outcomes of intact thoracic endovascular aortic repair in octogenarians. J. Vasc. Surg. 2021, 74, 882–892.e1. [Google Scholar] [CrossRef]
- De Rango, P.; Isernia, G.; Simonte, G.; Cieri, E.; Marucchini, A.; Farchioni, L.; Verzini, F.; Lenti, M. Impact of age and urgency on survival after thoracic endovascular aortic repair. J. Vasc. Surg. 2016, 64, 25–32. [Google Scholar] [CrossRef]
- LeMaire, S.A.; Russell, L. Epidemiology of thoracic aortic dissection. Nat. Rev. Cardiol. 2011, 8, 103–113. [Google Scholar] [CrossRef]
- Howard, D.P.J.; Sideso, E.; Handa, A.; Rothwell, P.M. Incidence, risk factors, outcome and projected future burden of acute aortic dissection. Ann. Cardiothorac. Surg. 2014, 3, 278–284. [Google Scholar] [CrossRef]
- Page, M.J.; McKenzie, J.E.; Bossuyt, P.M.; Boutron, I.; Hoffmann, T.C.; Mulrow, C.D.; Moher, D. The PRISMA 2020 statement: An updated guideline for reporting systematic reviews. Int. J. Surg. 2021, 88, 105906. [Google Scholar] [CrossRef]
- Karimi, A.; McCord, M.R.; Beaver, T.M.; Martin, T.D.; Hess, P.J.; Beck, A.W.; Feezor, R.J.; Klodell, C.T. Operative and Mid-Term Outcomes of Thoracic Aortic Operation in Octogenarians and Beyond. J. Card. Surg. 2016, 31, 334–340. [Google Scholar] [CrossRef]
- Kpodonu, J.; Preventza, O.; Ramaiah, V.G.; Shennib, H.; Wheatley, G.H., III; Rodriquez-Lopez, J.A.; Williams, J.; Diethrich, E.B. Endovascular repair of the thoracic aorta in octogenarians. Eur. J. Cardiothorac Surg. 2008, 34, 630–634. [Google Scholar] [CrossRef]
- Preventza, O.; Bavaria, J.; Ramaiah, V.; Moser, G.W.; Szeto, W.; Wheatley, G.; Moeller, P.; Rodriquez-Lopez, J.; Diethrich, E. Thoracic Endo-grafting is a Viable Option for the Octogenarian. Ann. Thorac. Surg. 2010, 90, 78–82. [Google Scholar] [CrossRef] [PubMed]
- Buckenham, T.; Pearch, B.; Wright, I. Endoluminal thoracic aortic repair in the octogenarian and nonagenarian: The New Zealand experience. J. Med. Imaging Radiat. Oncol. 2015, 59, 39–46. [Google Scholar] [CrossRef]
- Yamauchi, T.; Kubota, S.; Hasegawa, K.; Ueda, H. Clinical results and medical costs of thoracic endovascular aortic repair in pa-tients over 80 years of age. J. Artif. Organs 2019, 22, 61–67. [Google Scholar] [CrossRef]
- Alnahhal, K.I.; Narayanan, M.K.; Lingutla, R.; Parikh, S.; Iafrati, M.; Kumar, S.; Salehi, P. Outcomes of Thoracic Endovascular Aortic Repair in Octogenarians. Vasc. Endovasc. Surg. 2022, 56, 158–165. [Google Scholar] [CrossRef]
- Akhmerov, A.; Shah, A.S.; Gupta, N.; Tulloch, A.W.; Gewertz, B.; Azizzadeh, A. Thoracic Endovascular Aortic Repair in Octogenarians and Nonagenarians. Ann. Vasc. Surg. 2020, 68, 299–304. [Google Scholar] [CrossRef]
- Kern, J.A.; Matsumoto, A.H.; Tribble, C.G.; Gazoni, L.M.; Peeler, B.B.; Harthun, N.L.; Chong, T.; Cherry, K.J.; Dake, M.D.; Angle, J.S.; et al. Thoracic Aortic Endografting Is the Treatment of Choice for Elderly Patients with Thoracic Aortic Disease. Ann. Surg. 2006, 243, 815–823. [Google Scholar] [CrossRef] [PubMed]
- Patel, H.J.; Williams, D.M.; Upchurch, G.R.; Dasika, N.L.; Passow, M.C.; Prager, R.L.; Deeb, G.M. A Comparison of Open and Endovascular Descending Thoracic Aortic Repair in Patients Older Than 75 Years of Age. Ann. Thorac. Surg. 2008, 85, 1597–1604. [Google Scholar] [CrossRef] [PubMed]
- Dettori, J.R.; Norvell, D.C.; Chapman, J.R. Fixed-Effect vs Random-Effects Models for Meta-Analysis: 3 Points to Consider. Glob. Spine J. 2022, 12, 1624–1626. [Google Scholar] [CrossRef]
- Sterne, J.A.; Hernán, M.A.; Reeves, B.C.; Savović, J.; Berkman, N.D.; Viswanathan, M.; Higgins, J.P. ROBINS-I: A tool for assessing risk of bias in non-randomized studies of interven-tions. BMJ 2016, 355, i4919. [Google Scholar] [CrossRef]
- Liu, N.; Zhou, Y.; Lee, J.J. IPDfromKM: Reconstruct individual patient data from published Kaplan-Meier survival curves. BMC Med. Res. Methodol. 2021, 21, 111. [Google Scholar] [CrossRef] [PubMed]
- Buth, J.; Harris, P.L.; Hobo, R.; van Eps, R.; Cuypers, P.; Duijm, L.; Tielbeek, X. Neurologic complications associated with endovascular repair of thoracic aortic pathology: Incidence and risk factors. A study from the European Collaborators on Stent/Graft Techniques for Aortic Aneurysm Repair (EUROSTAR) Registry. J. Vasc. Surg. 2007, 46, 1103–1111. [Google Scholar] [CrossRef] [PubMed]
- Reutersberg, B.; Gleason, T.; Desai, N.; Ehrlich, M.; Evangelista, A.; Braverman, A.; Myrmel, T.; Chen, E.P.; Estrera, A.; Schermerhorn, M.; et al. Neurological event rates and associated risk factors in acute type B aortic dissections treated by thoracic aortic endovascular repair. J. Thorac. Cardiovasc. Surg. 2022. online ahead of print. [Google Scholar] [CrossRef]
- Piazza, M.; Squizzato, F.; Milan, L.; Miccoli, T.; Grego, F.; Antonello, M. Incidence and predictors of neurological complications following thoracic endovascular aneurysm repair in the global registry for endovascular aortic treatment. Eur. J. Vasc. Endovasc. Surg. 2019, 58, 512–519. [Google Scholar] [CrossRef] [PubMed]
- Morales, J.P.; Greenberg, R.K.; Lu, Q.; Cury, M.; Hernandez, A.V.; Mohabbat, W.; Moon, M.C.; Morales, C.A.; Bathurst, S.; Schoenhagen, P. Endoleaks Following Endovascular Repair of Thoracic Aortic Aneurysm: Etiology and Outcomes. J. Endovasc. Ther. 2008, 15, 631–638. [Google Scholar] [CrossRef]
- Bischoff, M.S.; Geisbüsch, P.; Kotelis, D.; Müller-Eschner, M.; Hyhlik-Dürr, A.; Böckler, D. Clinical significance of type II endoleaks after thoracic endovascular aortic repair. J. Vasc. Surg. 2013, 58, 643–650. [Google Scholar] [CrossRef]
- Biancari, F.; Mariscalco, G.; Mariani, S.; Saari, P.; Satta, J.; Juvonen, T. Endovascular Treatment of Degenerative Aneurysms Involving Only the Descending Thoracic Aorta. J. Endovasc. Ther. 2016, 23, 387–392. [Google Scholar] [CrossRef]
- Mustafa, S.T.; Sadat, U.; Majeed, M.U.; Wong, C.M.; Michaels, J.; Thomas, S.M. Endovascular Repair of Nonruptured Thoracic Aortic Aneurysms: Systematic Review. Vascular 2010, 18, 28–33. [Google Scholar] [CrossRef]
- Hughes, K.; Guerrier, J.; Obirieze, A.; Ngwang, D.; Rose, D.; Tran, D.; Cornwell, E.; Obisesan, T.; Preventza, O. Open versus endovascular repair of thoracic aortic an-eurysms. Vasc. Endovasc. Surg. 2014, 48, 383–387. [Google Scholar] [CrossRef]
- Boitano, L.T.; Iannuzzi, J.C.; Tanious, A.; Mohebali, J.; Schwartz, S.I.; Chang, D.C.; Clouse, W.D.; Conrad, M.F. Preoperative Predictors of Discharge Destination after Endovascular Repair of Abdominal Aortic Aneurysms. Ann. Vasc. Surg. 2019, 57, 109–117. [Google Scholar] [CrossRef]
- Belkin, N.; Jackson, B.M.; Foley, P.J.; Damrauer, S.M.; Kalapatapu, V.; Golden, M.A.; Fairman, R.M.; Kelz, R.R.; Wang, G.J. Length of Stay after Thoracic Endovascular Aortic Repair Depends on Indication and Acuity. Ann. Vasc. Surg. 2019, 55, 157–165. [Google Scholar] [CrossRef]
- Hellgren, T.; Beck, A.W.; Behrendt, C.-A.; Becker, D.; Beiles, B.; Boyle, J.R.; Jormalainen, M.; Koncar, I.; Espada, C.L.; Setacci, C.; et al. Thoracic Endovascular Aortic Repair Practice in 13 Countries. Ann. Surg. 2020, 276, e598–e604. [Google Scholar] [CrossRef]
- Naazie, I.N.; Das Gupta, J.; Azizzadeh, A.; Arbabi, C.; Zarkowsky, D.; Malas, M.B. Risk calculator predicts 30-day mortality after thoracic endovascular aortic repair for intact descending thoracic aortic aneurysms in the Vascular Quality Initiative. J. Vasc. Surg. 2022, 75, 833–841. [Google Scholar] [CrossRef] [PubMed]
- Costantino, S.; Paneni, F.; Cosentino, F. Ageing, metabolism and cardiovascular disease. J. Physiol. 2016, 594, 2061–2073. [Google Scholar] [CrossRef]
- Ultee, K.H.; Zettervall, S.L.; Soden, P.A.; Buck, D.B.; Deery, S.E.; Shean, K.E.; Verhagen, H.J.; Schermerhorn, M.L. The impact of endovascular repair on management and outcome of ruptured thoracic aortic aneurysms. J. Vasc. Surg. 2017, 66, 343–352. [Google Scholar] [CrossRef] [PubMed]
- Jarral, O.A.; Kidher, E.; Patel, V.M.; Nguyen, B.; Pepper, J.; Athanasiou, T. Quality of life after intervention on the thoracic aorta. Eur. J. Cardio-Thorac. Surg. 2015, 49, 369–389. [Google Scholar] [CrossRef]
- Clough, R.E.; Patel, A.S.; Lyons, O.T.; Bell, R.E.; Zayed, H.A.; Carrell, T.W.; Taylor, P.R. Pathology specific early outcome after thoracic endo-vascular aortic repair. Eur. J. Vasc. Endovasc. Surg. 2014, 48, 268–275. [Google Scholar] [CrossRef] [PubMed][Green Version]
- Gallo, M.; Berg, J.C.v.D.; Torre, T.; Riggi, M.; Demertzis, S.; Ferrari, E. Long-Term Outcomes and Risk Factors Analysis for Patients Undergoing Thoracic Endovascular Aorta Repair (TEVAR), According to the Aortic Pathologies. Ann. Vasc. Surg. 2023. online ahead of print. [Google Scholar] [CrossRef]
- Haji-Zeinali, A.M.; Mansouri, P.; Hosseini, N.R.; Abbasi, K.; Shirzad, M.; Jameie, M.; Haji-Zeinali, M.M. Five-Year Survival and Complications of Thoracic Endovascular Aortic Repair (TEVAR): A Single Tertiary Center Registry for All-Comers Patients. Cardiovasc. Revascularization Med. 2023, 51, 23–30. [Google Scholar] [CrossRef]
- Patterson, B.; Holt, P.; Nienaber, C.; Cambria, R.; Fairman, R.; Thompson, M. Aortic pathology determines midterm outcome after endovascular repair of the thoracic aorta: Report from the Medtronic thoracic endovascular registry (MOTHER) database. Circulation 2013, 127, 24–32. [Google Scholar] [CrossRef] [PubMed]
- Schaffer, J.M.; Lingala, B.; Miller, D.C.; Woo, Y.J.; Mitchell, R.S.; Dake, M.D. Midterm survival after thoracic endovascular aortic repair in more than 10,000 Medicare patients. J. Thorac. Cardiovasc. Surg. 2015, 149, 808–823. [Google Scholar] [CrossRef] [PubMed]
- Fiorucci, B.; Kölbel, T.; Rohlffs, F.; Heidemann, F.; Carpenter, S.W.; Debus, E.S.; Tsilimparis, N. The role of thoracic endovascular repair in elective, symptomatic and ruptured thoracic aortic diseases. Eur. J. Cardio-Thorac. Surg. 2019, 56, 197–203. [Google Scholar] [CrossRef] [PubMed]









| Preoperative Baseline Patient Characteristics | ||||||||||||||||||||
|---|---|---|---|---|---|---|---|---|---|---|---|---|---|---|---|---|---|---|---|---|
| n | Age, yrs | Male (%) | HTN (%) | CVD (%) | DM (%) | CKD (%) | Smoking (%) | COPD (%) | CAD (%) | |||||||||||
| E | NE | E | NE | E | NE | E | NE | E | NE | E | NE | E | NE | E | NE | E | NE | E | NE | |
| Alnahhal 2022 [16] | 676 | 3432 | 83 (80–86) | 64 (54–72) | 333 (49) | 2132 (62) | 597 (88) | 2707 (79) | 77 (11) | 315 (9) | 109 (16) | 531 (15) | 137 (20) | 600 (17) | 292 (43) | 137 (20) | 163 (24) | 708 (21) | 300 (44) | 901 (26) |
| Dakour-Aridi 2021 [6] | 390 | 1652 | 83 (81–86) | 68 (60–74) | 251 (51) | 984 (60) | 360 (92) | 1,475 (89) | 42 (11) | 204 (12) | 63 (16) | 262 (16) | 186 (49) | 549 (35) | 231 (59) | 720 (44) | 123 (32) | 500 (30) | 74 (19) | 312 (19) |
| Akhmerov 2021 [17] | 25 | ND | 84.8 ± 3.7 | ND | 16 (64) | ND | 24 (96) | ND | ND | ND | 4 (16) | ND | ND | ND | 18 (72) | ND | 2 (8) | ND | ND | ND |
| Yamauchi 2019 [15] | 57 | ND | 84.1 ± 3.4 | ND | 29 (51) | ND | 46 (81) | ND | 3 (5) | ND | 8 (14) | ND | 3 (5) | ND | ND | ND | 8 (14) | ND | 12 (21) | ND |
| Buckenham 2015 [14] | 19 | 245 | 84.0 ± 3.1 | 59 ± 17.2 | 11 (58) | 164 (67) | 13 (68) | 151 (62) | 3 (16) | 17 (7) | 1 (5) | 20 (8) | 0 (0) | 24 (10) | 7 (37) | 140 (57) | ND | ND | ND | ND |
| Preventza 2010 [13] | 101 | ND | 83.6 ± 3.1 | ND | 61 (60) | ND | 85 (84) | ND | 2 (2) | ND | 23 (23) | ND | 24 (24) | ND | 76 (75) | ND | 33 (33) | ND | 12 (12) | ND |
| Kpodonou 2008 [12] | 44 | 205 | 84.0 ± 2.7 | 66.0 ± 11.0 | 27 (61) | 120 (59) | 34 (77) | 155 (76) | 1 (2) | 12 (6) | ND | ND | 15 (34) | 45 (21) | 38 (86) | 150 (73) | 4 (9) | 40 (20) | 4 (9) | 17 (8) |
| De Rango 2016 [7] | 57 | 84 | 67.3 ± 16.7 | 30 (53) | 71 (85) | 43 (75) | 52 (62) | 1 (2) | 6 (7) | 4 (7) | 7 (8) | 10 (18) | 10 (12) | ND | ND | 21 (37) | 28 (33) | ND | ND | |
| Kern 2006 [18] | 18 | 24 | 78.6 | 62 ± 2.8 | 67 | 21 | 15 (83) | 14(58) | 5(28) | 3 (13) | ND | ND | 2 (11) | 3 (13) | ND | ND | 6 (33) | 8 (33) | 6 (33) | 8 (33) |
| Czerny 2010 [3] | 56 | 170 | 67 | ND | 39 (70) | 53 (72) | ND | ND | ND | ND | 3 (5) | 13 (8) | ND | ND | ND | ND | 26 (46) | 51 (30) | 15 (27) | 39 (23) |
| Patel 2008 [19] | 52 | ND | 80.6 ± 4.0 | ND | 26 (50) | ND | 41 (79) | ND | ND | ND | 7 (14) | ND | ND | ND | 33 (64) | ND | 21 (40) | ND | 29 (56) | ND |
| Karimi 2016 [11] | 41 | ND | 83.0 ± 3.0 | ND | 24 (59) | ND | 39 (95) | ND | 6 (15) | ND | 7 (18) | ND | 11 (27) | ND | 31 (76) | ND | 13 (32) | ND | 8 (20) | ND |
| E | NE | Total | |||||||
|---|---|---|---|---|---|---|---|---|---|
| Study | TAA | AD | Other | TAA | AD | Other | TAA | AD | Other |
| Alnahhal 2022 [16] | 415 | 169 | 92 | 1328 | 1244 | 860 | 1743 | 1413 | 952 |
| Dakour-Aridi 2021 [6] | 336 | 54 | 0 | 1063 | 589 | 0 | 1399 | 643 | 0 |
| Akhmerov 2021 [17] | 15 | 7 | 3 | N/A | N/A | N/A | 15 | 7 | 3 |
| Yamauchi 2019 [15] | 50 | 6 | 1 | N/A | N/A | N/A | 50 | 6 | 1 |
| Buckenham 2015 [14] | N/A | N/A | N/A | N/A | N/A | N/A | 132 | 77 | 55 |
| Preventza 2010 [13] | 75 | 11 | 15 | N/A | N/A | N/A | 75 | 11 | 15 |
| Kpodonou 2008 [12] | 26 | 9 | 9 | 84 | 58 | 34 | 110 | 67 | 43 |
| De Rango 2016 [7] | 38 | 5 | 13 | 35 | 23 | 26 | 73 | 28 | 38 |
| Kern 2006 [18] | N/A | N/A | N/A | N/A | N/A | N/A | N/A | N/A | N/A |
| Czerny 2010 [3] | N/A | N/A | N/A | N/A | N/A | N/A | 100 | 57 | 69 |
| Patel 2008 [19] | 24 | 7 | 19 | N/A | N/A | N/A | 24 | 7 | 19 |
| Karimi 2016 [11] | 24 | 0 | 17 | N/A | N/A | N/A | 24 | 0 | 17 |
Disclaimer/Publisher’s Note: The statements, opinions and data contained in all publications are solely those of the individual author(s) and contributor(s) and not of MDPI and/or the editor(s). MDPI and/or the editor(s) disclaim responsibility for any injury to people or property resulting from any ideas, methods, instructions or products referred to in the content. |
© 2023 by the authors. Licensee MDPI, Basel, Switzerland. This article is an open access article distributed under the terms and conditions of the Creative Commons Attribution (CC BY) license (https://creativecommons.org/licenses/by/4.0/).
Share and Cite
Frisiras, A.; Giannas, E.; Bobotis, S.; Kanella, I.; Arjomandi Rad, A.; Viviano, A.; Spiliopoulos, K.; Magouliotis, D.E.; Athanasiou, T. Comparative Analysis of Morbidity and Mortality Outcomes in Elderly and Nonelderly Patients Undergoing Elective TEVAR: A Systematic Review and Meta-Analysis. J. Clin. Med. 2023, 12, 5001. https://doi.org/10.3390/jcm12155001
Frisiras A, Giannas E, Bobotis S, Kanella I, Arjomandi Rad A, Viviano A, Spiliopoulos K, Magouliotis DE, Athanasiou T. Comparative Analysis of Morbidity and Mortality Outcomes in Elderly and Nonelderly Patients Undergoing Elective TEVAR: A Systematic Review and Meta-Analysis. Journal of Clinical Medicine. 2023; 12(15):5001. https://doi.org/10.3390/jcm12155001
Chicago/Turabian StyleFrisiras, Angelos, Emmanuel Giannas, Stergios Bobotis, Ilektra Kanella, Arian Arjomandi Rad, Alessandro Viviano, Kyriakos Spiliopoulos, Dimitrios E. Magouliotis, and Thanos Athanasiou. 2023. "Comparative Analysis of Morbidity and Mortality Outcomes in Elderly and Nonelderly Patients Undergoing Elective TEVAR: A Systematic Review and Meta-Analysis" Journal of Clinical Medicine 12, no. 15: 5001. https://doi.org/10.3390/jcm12155001
APA StyleFrisiras, A., Giannas, E., Bobotis, S., Kanella, I., Arjomandi Rad, A., Viviano, A., Spiliopoulos, K., Magouliotis, D. E., & Athanasiou, T. (2023). Comparative Analysis of Morbidity and Mortality Outcomes in Elderly and Nonelderly Patients Undergoing Elective TEVAR: A Systematic Review and Meta-Analysis. Journal of Clinical Medicine, 12(15), 5001. https://doi.org/10.3390/jcm12155001

