Routine and Advanced Laboratory Tests for Hemostasis Disorders in COVID-19 Patients: A Prospective Cohort Study
Abstract
:1. Introduction
2. Materials and Methods
2.1. Study Design and Patients
2.2. Endpoints
2.3. Blood Samples
2.4. Assays
- Fibrinogen (STA-Liquid Fib, Diagnostica Stago, Asnières-sur-Seine, France)
- Von Willebrand activity was evaluated with vWF:GPIb-binding activity (InnovanceVWAc, Siemens Healthcare, Marburg, Germany), assayed on the BCS XP (Siemens Healthcare, Marburg, Germany). The assay evaluated the capacity of the von Willebrand factor to bind glycoprotein Ib. The agglutination of coated bead was quantified by turbidimetry and expressed as UI/dL.
- Prothrombin fragments 1 + 2 were assayed with an enzyme-linked immunosorbent assay (Enzygnost F1 + 2, Siemens Healthcare, Marburg, Germany) using a Diasorin EtiMax.
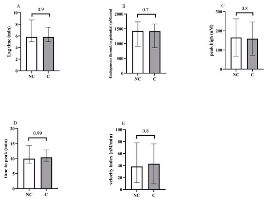
- Thrombin generation assay (TGA) was triggered by a PPP reagent (5 pM of tissue factor) (Diagnostica Stago, Asnières-sur-Seine, France). TGA was measured by calibrated automated thrombography and the Fluorocan Ascent Fluorometer (Thermo Scientific Lab Systems, Helsinki, Finland). Five parameters were evaluated with TGA: the time to observe the first thrombin trace (lag time), the time to have the maximal thrombin generated (time to peak (TTP)), the maximal thrombin generation (thrombin peak) and the speed at which it forms (velocity). In a second time, a physiological inhibitor of coagulation was involved, and the global thrombin formation was calculated (endogenous thrombin potential (ETP)).
2.5. Viscoelastic Test
2.6. Data and Statistical Analysis
3. Results
3.1. Association between Clinical-Biological Parameters and Clinical Outcome
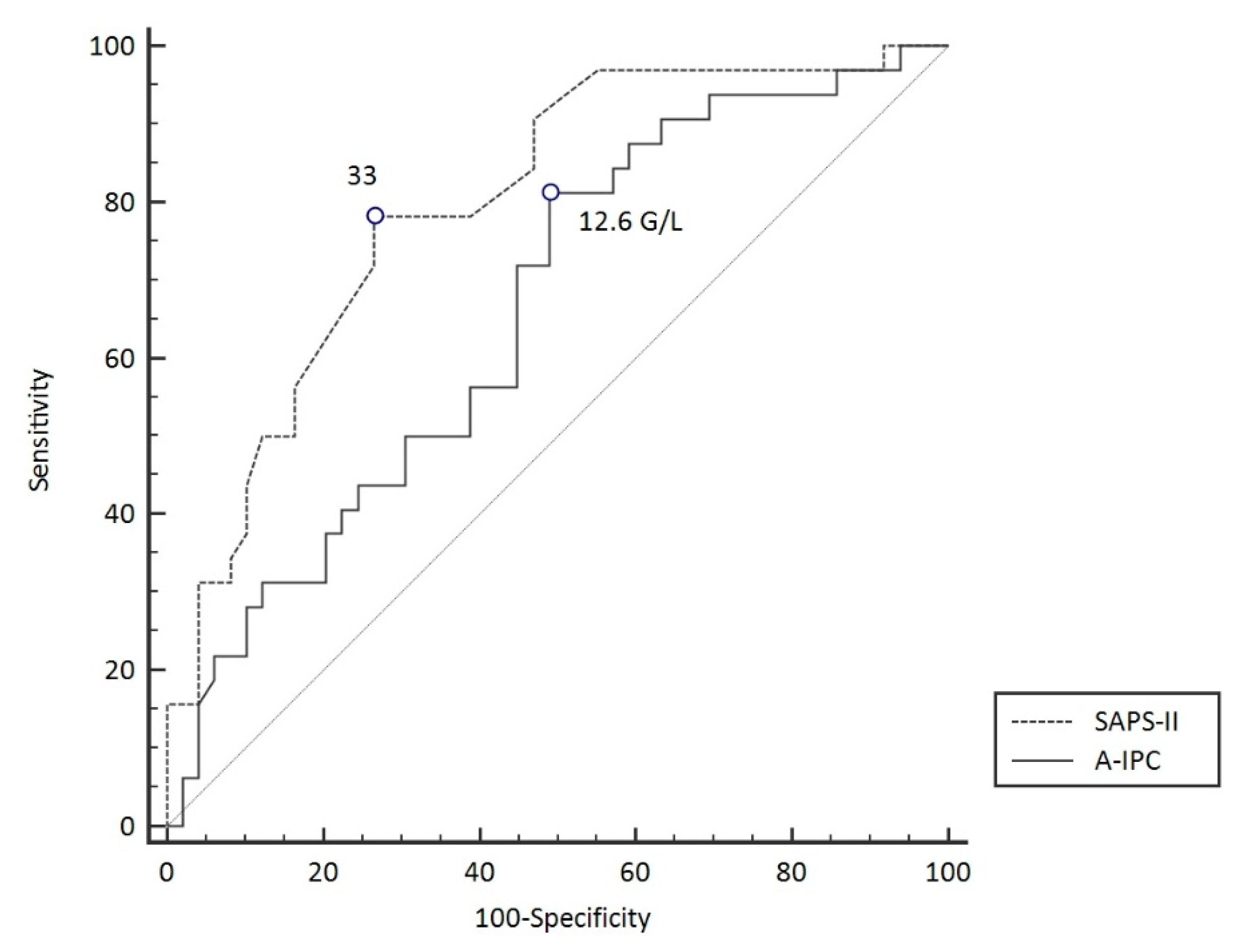
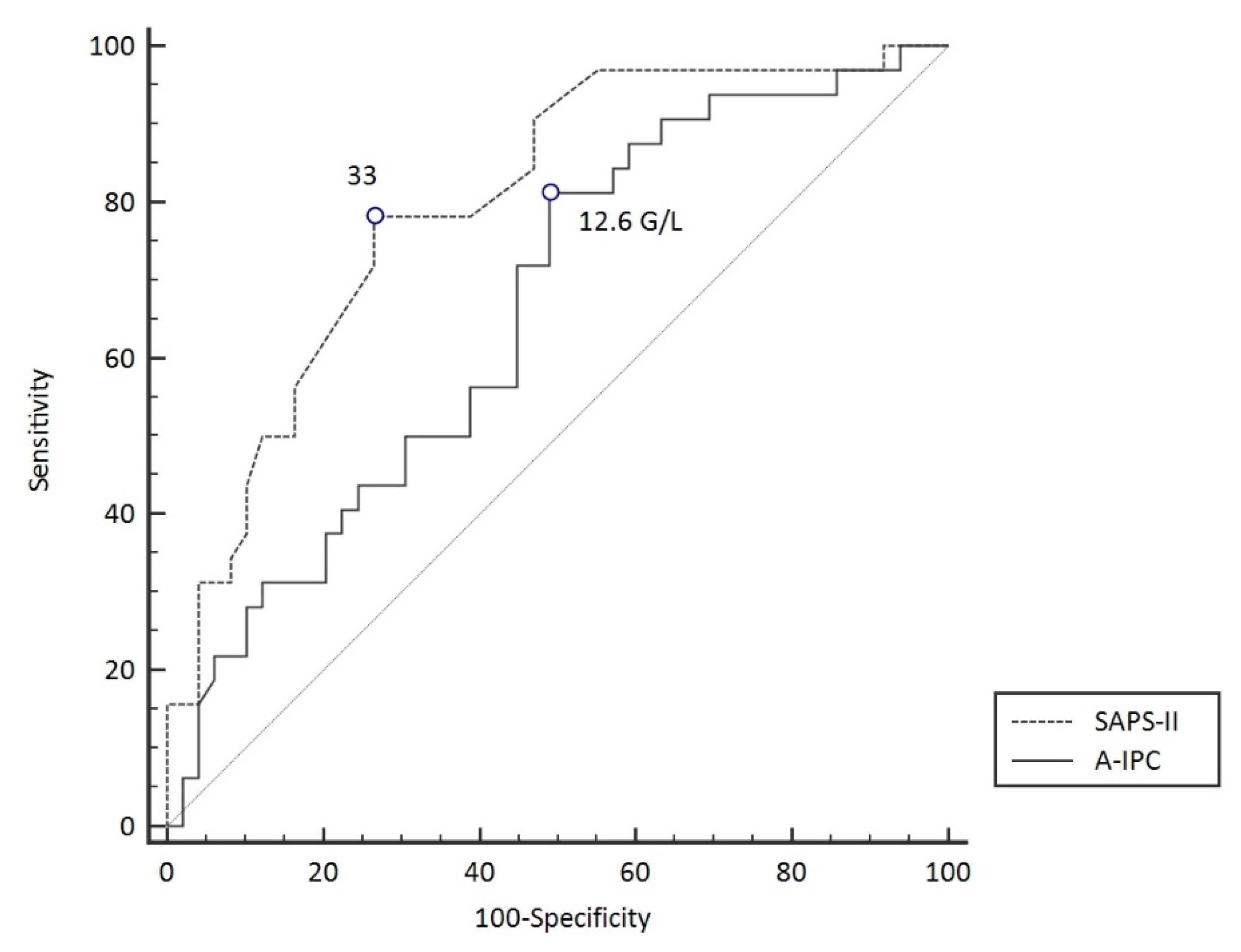
3.2. ROC Curves Analyses
4. Discussion
5. Conclusions
Supplementary Materials
Author Contributions
Funding
Institutional Review Board Statement
Informed Consent Statement
Data Availability Statement
Acknowledgments
Conflicts of Interest
References
- WHO Coronavirus (COVID-19) Dashboard. Available online: https://covid19.who.int (accessed on 28 February 2022).
- Gavriatopoulou, M.; Korompoki, E.; Fotiou, D.; Ntanasis-Stathopoulos, I.; Psaltopoulou, T.; Kastritis, E.; Terpos, E.; Dimopoulos, M.A. Organ-specific manifestations of COVID-19 infection. Clin. Exp. Med. 2020, 20, 493–506. [Google Scholar] [CrossRef]
- Levy, J.H.; Iba, T.; Olson, L.B.; Corey, K.M.; Ghadimi, K.; Connors, J.M. COVID-19: Thrombosis, Thromboinflammation, and Anticoagulation Considerations. Int. J. Lab. Hematol. 2021, 43 (Suppl. 1), 29–35. [Google Scholar] [CrossRef] [PubMed]
- Chauhan, A.J.; Wiffen, L.J.; Brown, T.P. COVID-19: A Collision of Complement, Coagulation and Inflammatory Pathways. J. Thromb. Haemost. 2020, 18, 2110–2117. [Google Scholar] [CrossRef] [PubMed]
- Wichmann, D.; Sperhake, J.-P.; Lütgehetmann, M.; Steurer, S.; Edler, C.; Heinemann, A.; Heinrich, F.; Mushumba, H.; Kniep, I.; Schröder, A.S.; et al. Autopsy Findings and Venous Thromboembolism in Patients with COVID-19: A Prospective Cohort Study. Ann. Intern. Med. 2020, 173, 268–277. [Google Scholar] [CrossRef]
- Romanova, E.S.; Vasilyev, V.V.; Startseva, G.; Karev, V.; Rybakova, M.G.; Platonov, P.G. Cause of Death Based on Systematic Post-Mortem Studies in Patients with Positive SARS-CoV-2 Tissue PCR during the COVID-19 Pandemic. J. Intern. Med. 2021, 290, 655–665. [Google Scholar] [CrossRef] [PubMed]
- Gris, J.-C.; Quéré, I.; Pérez-Martin, A.; Lefrant, J.-Y.; Sotto, A. Uncertainties on the Prognostic Value of D-Dimers in COVID-19 Patients. J. Thromb. Haemost. 2020, 18, 2066–2067. [Google Scholar] [CrossRef] [PubMed]
- Slomka, A.; Kowalewski, M.; Zekanowska, E. Hemostasis in Coronavirus Disease 2019—Lesson from Viscoelastic Methods: A Systematic Review. Thromb. Haemost. 2021, 121, 1181–1192. [Google Scholar] [CrossRef]
- Mitrovic, M.; Sabljic, N.; Cvetkovic, Z.; Pantic, N.; Zivkovic Dakic, A.; Bukumiric, Z.; Libek, V.; Savic, N.; Milenkovic, B.; Virijevic, M.; et al. Rotational Thromboelastometry (ROTEM) Profiling of COVID-19 Patients. Platelets 2021, 32, 690–696. [Google Scholar] [CrossRef]
- Boss, K.; Kribben, A.; Tyczynski, B. Pathological Findings in Rotation Thromboelastometry Associated with Thromboembolic Events in COVID-19 Patients. Thromb. J. 2021, 19, 10. [Google Scholar] [CrossRef]
- Gönenli, M.G.; Komesli, Z.; İncir, S.; Yalçın, Ö.; Akay, O.M. Rotational Thromboelastometry Reveals Distinct Coagulation Profiles for Patients with COVID-19 Depending on Disease Severity. Clin. Appl. Thromb. Hemost. 2021, 27, 10760296211027652. [Google Scholar] [CrossRef]
- Al-Samkari, H.; Song, F.; Van Cott, E.M.; Kuter, D.J.; Rosovsky, R. Evaluation of the Prothrombin Fragment 1.2 in Patients with Coronavirus Disease 2019 (COVID-19). Am. J. Hematol. 2020, 95, 1479–1485. [Google Scholar] [CrossRef] [PubMed]
- Buttarello, M.; Mezzapelle, G.; Freguglia, F.; Plebani, M. Reticulated Platelets and Immature Platelet Fraction: Clinical Applications and Method Limitations. Int. J. Lab. Hematol. 2020, 42, 363–370. [Google Scholar] [CrossRef] [PubMed] [Green Version]
- De Blasi, R.A.; Cardelli, P.; Costante, A.; Sandri, M.; Mercieri, M.; Arcioni, R. Immature Platelet Fraction in Predicting Sepsis in Critically Ill Patients. Intensive Care Med. 2013, 39, 636–643. [Google Scholar] [CrossRef] [PubMed]
- Welder, D.; Jeon-Slaughter, H.; Ashraf, B.; Choi, S.-H.; Chen, W.; Ibrahim, I.; Bat, T. Immature Platelets as a Biomarker for Disease Severity and Mortality in COVID-19 Patients. Br. J. Haematol. 2021, 194, 530–536. [Google Scholar] [CrossRef]
- Billoir, P.; Feugray, G.; Chrétien, M.H.; Duchez, V.L.C. Thrombin Generation Assay Is a Useful Pre-Operative Tool to Predict Non-Bleeding Risk in a Patient with Mild Factor V Deficiency. Transfus. Med. 2020, 30, 408–409. [Google Scholar] [CrossRef]
- Billoir, P.; Duflot, T.; Fresel, M.; Chrétien, M.H.; Barbay, V.; Le Cam Duchez, V. Thrombin Generation Profile in Non-Thrombotic Factor V Leiden Carriers. J. Thromb. Thrombolysis 2019, 47, 473–477. [Google Scholar] [CrossRef]
- Billoir, P.; Alexandre, K.; Duflot, T.; Roger, M.; Miranda, S.; Goria, O.; Joly, L.M.; Demeyere, M.; Feugray, G.; Brunel, V.; et al. Investigation of Coagulation Biomarkers to Assess Clinical Deterioration in SARS-CoV-2 Infection. Front. Med. 2021, 8, 670694. [Google Scholar] [CrossRef]
- Toulouse, E.; Lafont, B.; Granier, S.; Mcgurk, G.; Bazin, J.-E. French Legal Approach to Patient Consent in Clinical Research. Anaesth. Crit. Care Pain Med. 2020, 39, 883–885. [Google Scholar] [CrossRef]
- Guérin, P.J.; McLean, A.R.D.; Rashan, S.; Lawal, A.; Watson, J.A.; Strub-Wourgaft, N.; White, N.J. Definitions Matter: Heterogeneity of COVID-19 Disease Severity Criteria and Incomplete Reporting Compromise Meta-Analysis. medRxiv 2021. [Google Scholar] [CrossRef]
- National Institutes of Health. Clinical Spectrum of SARS-CoV-2 Infection—COVID-19 Treatment Guidelines. 2021. Available online: https://www.covid19treatmentguidelines.nih.gov/overview/clinical-spectrum/ (accessed on 28 February 2022).
- Ferreira, F.L.B.; Colella, M.P.; Medina, S.S.; Costa-Lima, C.; Fiusa, M.M.L.; Costa, L.N.G.; Orsi, F.A.; Annichino-Bizzacchi, J.M.; Fertrin, K.Y.; Gilberti, M.F.P.; et al. Evaluation of the Immature Platelet Fraction Contribute to the Differential Diagnosis of Hereditary, Immune and Other Acquired Thrombocytopenias. Sci. Rep. 2017, 7, 3355. [Google Scholar] [CrossRef]
- Reeves, H.M.; Maitta, R.W. Immature Platelet Dynamics in Immune-Mediated Thrombocytopenic States. Front. Med. 2020, 975. [Google Scholar] [CrossRef] [PubMed]
- Yahud, E.; Schilo, T.; Nevzorov, R.; Asher, E.; Bryk, G.; Laish-Farkash, A.; Lev, E.I. Immature Platelet Fraction over Time and Clinical Outcomes in Patients with Acute Myocardial Infarction. Int. J. Lab. Hematol. 2021, 43, 966–972. [Google Scholar] [CrossRef] [PubMed]
- Thorup, C.V.; Christensen, S.; Hvas, A.-M. Immature Platelets as a Predictor of Disease Severity and Mortality in Sepsis and Septic Shock: A Systematic Review. Semin. Thromb. Hemost. 2020, 46, 320–327. [Google Scholar] [CrossRef] [PubMed]
- Hong, K.H.; Kim, H.K.; Kim, J.-E.; Jung, J.S.; Han, K.-S.; Cho, H.-I. Prognostic Value of Immature Platelet Fraction and Plasma Thrombopoietin in Disseminated Intravascular Coagulation. Blood Coagul. Fibrinolysis 2009, 20, 409–414. [Google Scholar] [CrossRef]
- Koyama, K.; Katayama, S.; Muronoi, T.; Tonai, K.; Goto, Y.; Koinuma, T.; Shima, J.; Nunomiya, S. Time Course of Immature Platelet Count and Its Relation to Thrombocytopenia and Mortality in Patients with Sepsis. PLoS ONE 2018, 13, e0192064. [Google Scholar] [CrossRef] [Green Version]
- Cohen, A.; Harari, E.; Cipok, M.; Laish-Farkash, A.; Bryk, G.; Yahud, E.; Sela, Y.; Lador, N.K.; Mann, T.; Mayo, A.; et al. Immature Platelets in Patients Hospitalized with COVID-19. J. Thromb. Thrombolysis 2021, 51, 608–616. [Google Scholar] [CrossRef]
- Kaser, A.; Brandacher, G.; Steurer, W.; Kaser, S.; Offner, F.A.; Zoller, H.; Theurl, I.; Widder, W.; Molnar, C.; Ludwiczek, O.; et al. Interleukin-6 Stimulates Thrombopoiesis through Thrombopoietin: Role in Inflammatory Thrombocytosis. Blood 2001, 98, 2720–2725. [Google Scholar] [CrossRef] [Green Version]
- Bomhof, G.; Mutsaers, P.G.N.J.; Leebeek, F.W.G.; Te Boekhorst, P.A.W.; Hofland, J.; Croles, F.N.; Jansen, A.J.G. COVID-19-Associated Immune Thrombocytopenia. Br. J. Haematol. 2020, 190, e61–e64. [Google Scholar] [CrossRef]
- Liu, Y.; Sun, W.; Guo, Y.; Chen, L.; Zhang, L.; Zhao, S.; Long, D.; Yu, L. Association between Platelet Parameters and Mortality in Coronavirus Disease 2019: Retrospective Cohort Study. Platelets 2020, 31, 490–496. [Google Scholar] [CrossRef] [Green Version]
- Xu, P.; Zhou, Q.; Xu, J. Mechanism of Thrombocytopenia in COVID-19 Patients. Ann. Hematol. 2020, 99, 1205–1208. [Google Scholar] [CrossRef] [Green Version]
- Annane, D.; Sébille, V.; Troché, G.; Raphaël, J.C.; Gajdos, P.; Bellissant, E. A 3-Level Prognostic Classification in Septic Shock Based on Cortisol Levels and Cortisol Response to Corticotropin. JAMA 2000, 283, 1038–1045. [Google Scholar] [CrossRef] [PubMed]
- Zhang, L.; Yan, X.; Fan, Q.; Liu, H.; Liu, X.; Liu, Z.; Zhang, Z. D-Dimer Levels on Admission to Predict in-Hospital Mortality in Patients with COVID-19. J. Thromb. Haemost. 2020, 18, 1324–1329. [Google Scholar] [CrossRef] [PubMed]
- Naymagon, L.; Zubizarreta, N.; Feld, J.; van Gerwen, M.; Alsen, M.; Thibaud, S.; Kessler, A.; Venugopal, S.; Makki, I.; Qin, Q.; et al. Admission D-Dimer Levels, D-Dimer Trends, and Outcomes in COVID-19. Thromb. Res. 2020, 196, 99–105. [Google Scholar] [CrossRef] [PubMed]
- Hoechter, D.J.; Becker-Pennrich, A.; Langrehr, J.; Bruegel, M.; Zwissler, B.; Schaefer, S.; Spannagl, M.; Hinske, L.C.; Zoller, M. Higher Procoagulatory Potential but Lower DIC Score in COVID-19 ARDS Patients Compared to Non-COVID-19 ARDS Patients. Thromb. Res. 2020, 196, 186–192. [Google Scholar] [CrossRef]
- Ranucci, M.; Ballotta, A.; Di Dedda, U.; Baryshnikova, E.; Dei Poli, M.; Resta, M.; Falco, M.; Albano, G.; Menicanti, L. The Procoagulant Pattern of Patients with COVID-19 Acute Respiratory Distress Syndrome. J. Thromb. Haemost. 2020, 18, 1747–1751. [Google Scholar] [CrossRef]
- Wright, F.L.; Vogler, T.O.; Moore, E.E.; Moore, H.B.; Wohlauer, M.V.; Urban, S.; Nydam, T.L.; Moore, P.K.; McIntyre, R.C. Fibrinolysis Shutdown Correlation with Thromboembolic Events in Severe COVID-19 Infection. J. Am. Coll. Surg. 2020, 231, 193–203.e1. [Google Scholar] [CrossRef]
- Ranucci, M.; Sitzia, C.; Baryshnikova, E.; Di Dedda, U.; Cardani, R.; Martelli, F.; Corsi Romanelli, M. COVID-19-Associated Coagulopathy: Biomarkers of Thrombin Generation and Fibrinolysis Leading the Outcome. J. Clin. Med. 2020, 9, 3487. [Google Scholar] [CrossRef]
- Mancini, I.; Baronciani, L.; Artoni, A.; Colpani, P.; Biganzoli, M.; Cozzi, G.; Novembrino, C.; Boscolo Anzoletti, M.; De Zan, V.; Pagliari, M.T.; et al. The ADAMTS13-von Willebrand Factor Axis in COVID-19 Patients. J. Thromb. Haemost. 2021, 19, 513–521. [Google Scholar] [CrossRef]
- Maharaj, S.; Xue, R.; Rojan, A. Thrombotic Thrombocytopenic Purpura (TTP) Response Following COVID-19 Infection: Implications for the ADAMTS-13-von Willebrand Factor Axis. J. Thromb. Haemost. 2021, 19, 1130–1132. [Google Scholar] [CrossRef]
- Hyseni, A.; Kemperman, H.; de Lange, D.W.; Kesecioglu, J.; de Groot, P.G.; Roest, M. Active von Willebrand Factor Predicts 28-Day Mortality in Patients with Systemic Inflammatory Response Syndrome. Blood 2014, 123, 2153–2156. [Google Scholar] [CrossRef]
- Joly, B.S.; Darmon, M.; Dekimpe, C.; Dupont, T.; Dumas, G.; Yvin, E.; Beranger, N.; Vanhoorelbeke, K.; Azoulay, E.; Veyradier, A. Imbalanced of von Willebrand Factor and ADAMTS13 Axis Is Rather a Biomarker of Strong Inflammation and Endothelial Damage than a Cause of Thrombotic Process in Critically-Ill COVID-19 Patients. J. Thromb. Haemost. 2021, 19, 2193–2198. [Google Scholar] [CrossRef] [PubMed]




| Parameters | All (n = 85) | Non-Critical (n = 52) | Critical (n = 33) | p-Value |
|---|---|---|---|---|
| Age (years) | 67 [58.0–72.5] | 60.5 [53.3–70.8] | 70 [64.0–74.5] | <0.001 |
| Male | 58 (68.2%) | 35 (67.3) | 23 (69.7%) | >0.99 |
| BMI (kg/m2) | 28.8 [25.1–34.2] | 29.3 [25.2–35.6] | 28.1 [24.8–32.6] | 0.3 |
| Obesity (BMI ≥ 30 kg/m2) (n, %) | 38 (44.7%) | 24 (46.2%) | 14 (42.4%) | 0.8 |
| Underlying comorbidity (n, %) | ||||
| Chronic obstructive pulmonary disease | 10 (11.7%) | 6 (11.5%) | 4 (12.1%) | 0.8 |
| Asthma | 13 (15.3%) | 10 (19.2%) | 3 (9.1%) | 0.2 |
| Diabetes | 36 (42.4%) | 20 (38.5%) | 16 (48.5%) | 0.4 |
| Hypertension | 50 (58.8%) | 30 (57.7%) | 20 (60.6%) | 0.8 |
| Peripheral arterial disease | 2 (2.4%) | 0 (0%) | 2 (6.1%) | 0.1 |
| Coronaropathy | 8 (9.4%) | 4 (7.7%) | 4 (12.1%) | 0.7 |
| Smoking history | 2 (2.4%) | 1 (1.9%) | 1 (3.0%) | >0.99 |
| Active neoplasia | 6 (7.1%) | 5 (9.6%) | 1 (3.0%) | 0.4 |
| eGFR at admission (mL/min/m2) | 66.0 [51.5–85.9] | 63.5 [52.0–80.5] | 72.5 [46.5–98.1] | 0.4 |
| COVID-19 related treatment at admission (n, %) | ||||
| Corticosteroid | 81 (95.3%) | 51 (98.1%) | 30 (90.9%) | 0.29 |
| Remdesivir | 14 (16.5%) | 11 (21.2%) | 3 (9.1%) | 0.2 |
| Lopinavir/ritonavir | 6 (7.1%) | 4 (7.7%) | 2 (6.1%) | >0.99 |
| Tocilizumab | 0 (0%) | 0 (0%) | 0 (0%) | NA |
| Anticoagulation therapy (n, %) | 81 (95.3%) | 49 (96.2%) | 29 (87.9%) | 0.4 |
| Prophylactic intensity | 6 (7.1%) | 3 (5.8%) | 3 (9%) | 0.7 |
| Intermediate intensity | 58 (68.2%) | 40 (76.9%) | 18 (54.5%) | 0.055 |
| Therapeutic intensity | 14 (16.5%) | 6 (11.5%) | 8 (24.2%) | 0.1 |
| ICU transfer since the onset of symptoms (days) | 9.0 [6.0–10.0] | 9.0 [7.0–11.0] | 8.0 [4.5–10.0] | 0.043 |
| SAPS-II score | 32 [25–40] | 27 [22–34.5] | 40 [34–53.5] | <0.001 |
| SOFA score | 2 [1–4] | 2 [1–3] | 3 [2–5] | <0.001 |
| Non-invasive respiratory support (HFNC or NIV) (n, %) | 80 (94.1%) | 51 (98.1%) | 29 (87.9%] | 0.07 |
| PaO2/FiO2 ratio (n = 83) | 136 [92–168] | 149 [110–168] | 115 [77–169] | 0.06 |
| Biological parameters | ||||
| Urea (mmol/L) | 6.7 [4.7–9.1] | 5.5 [4.5–7.9] | 8.6 [5.9–12.2] | 0.002 |
| C Reactive Protein (n = 83) (mg/L) | 122 [71–196] | 122 [76–204] | 131 [63–190] | 0.8 |
| High-sensitive troponin (n = 75) (ng/L) | 13 [7–22] | 10 [6–17] | 16 [9–37] | 0.004 |
| NT-pro-BNP (n = 74) (ng/L) | 199 [76–609] | 169 [63–419] | 261 [114–1061] | 0.04 |
| Lactatemia (mmol/L) | 1.4 [1.0–1.7] | 1.3 [0.9–1.7] | 1.4 [1.1–1.7] | 0.3 |
| Parameters | All (n = 85) | Non-Critical (n = 52) | Critical (n = 33) | p-Value |
|---|---|---|---|---|
| Prognostic score | ||||
| SOFAD0 | 2 [1–4] | 2 [1–3] | 3 [2–5] | <0.001 |
| SOFAD3 | 2 [2–4] | 2 [0–2] | 6 [2–8] | <0.001 |
| SOFAD7 | 1 [0–3] | 0 [0–1] | 4 [3–6] | <0.001 |
| Invasive mechanical ventilation (n, %) | 31 (36.5%] | 0 (0%) | 31 (93.9%) | NA |
| Duration of invasive ventilation (days) | 0 | 12 [6–21] | NA | |
| KDIGO score ≥ 1 (n, %) | 43 (50.6%) | 16 (30.8%) | 27 (81.8%) | <0.001 |
| Renal Replacement Therapy | 1 (1,2%) | 0 (0%) | 1 (3%) | NA |
| Norepinephrine use (n, %) | 24 (28.2%) | 0 (0%) | 24 (72.7%) | NA |
| Thrombosis | 9 (10.6%) | 3 (5.8%) | 6 (18.2%) | 0.051 |
| Length of ICU stay (days) | 9 [5–23] | 6 [4–9] | 27 [16–28] | <0.001 |
| Mortality (n, %) | 10 (11.8%) | 0 (0%) | 10 (30%) | NA |
| Parameters | All (n = 85) | Non-Critical (n = 52) | Critical (n = 33) | p-Value |
|---|---|---|---|---|
| Hemoglobin (g/dL) | 12.8 [11.7–13.9] | 12.8 [11.7–13.9] | 12.9 [10.1–13.8] | 0.7 |
| Reticulocytes (n = 78) (G/L) | 30.1 [22.5–42.5] | 31.7 [24.2–44.7] | 28.1 [21.4–39.9] | 0.1 |
| Platelets (G/L) | 283 [215–365] | 300 [224–374] | 264 [187–332] | 0.1 |
| A-IPC (n = 80) (G/L) | 10.3 [7.6–15.5] | 12.3 [8.3–20.7] | 9.6 [6.4–12.5] | 0.02 |
| Leukocytes (G/L) | 8.3 [6.1–11.5] | 7.5 [6.0–10.6] | 8.5 [6.1–12.1] | 0.5 |
| Neutrophils (G/L) | 6.9 [4.7–9.6] | 6.4 [4.7–8.8] | 7.8 [5.1–11.0] | 0.3 |
| Lymphocytes (G/L) | 0.62 [0.43–0.98] | 0.67 [0.52–1.09] | 0.54 [0.34–0.79] | 0.01 |
| Monocytes (G/L) | 0.30 [0.19–0.43] | 0.29 [0.17–0.43] | 0.30 [0.21–0.46] | 0.3 |
| Neutrophils/lymphocytes ratio | 12.4 [6.6–17.6] | 10.1 [4.7–15.6] | 14.1 [8.0–23.0] | 0.01 |
| Neutrophils/monocytes ratio | 21.5 [14.8–34.7] | 22.3 [13.2–35.0] | 20.4 [15.8–25.7] | 0.8 |
| Neutrophils/platelets ratio | 0.02 [0.02–0.03] | 0.02 [0.02–0.03] | 0.03 [0.02–0.04] | 0.01 |
| Fibrinogen (g/L) | 6.4 [5.6–7.3] | 6.2 [5.4–6.9] | 6.9 [6.1–7.7] | 0.03 |
| D-Dimers (n = 80) (µg/L) | 1128 [801–1914] | 1022 [752–1407] | 1341 [932–2679] | 0.07 |
| vWF: GP1b-binding activity (UI/dL) | 280 [224–346] | 268 [216–326] | 286 [265–389] | 0.03 |
| vWF activity > 250 UI/dL (n, %) | 55 (64.7%) | 27 (54.0%) | 28 (84.9%) | 0.004 |
| Prothrombin Fragment 1 + 2 (pM) | 179 [134–323] | 155 [129–248] | 226 [151–578] | 0.01 |
| Prothrombin Fragment 1 + 2 > 500 pM (n, %) | 14 (16.5%) | 5 (9.6%) | 9 (27.3%) | 0.04 |
| Prothrombin time ratio (%) | 99 [90–100] | 97 [89–100] | 99 [90–100] | 0.7 |
| aPTT ratio | 1.18 [0.98–1.35] | 1.12 [1.01–1.27] | 1.18 [0.98–1.36] | 0.6 |
| Parameters | All Covid Patients (n = 85) | Non-Critical (n = 52) | Critical (n = 33) | “Control” Patients (n = 25) | p “Control” vs. Covid Patients | p-Value Non-Critical vs. Critical Covid Patients |
|---|---|---|---|---|---|---|
| CTH (s) | 128 [113–137.5] | 129 [112–140] | 125 [116–133] | 143 [132–147] | <0.0001 | 0.6 |
| CS (hPa) | 32.1 [24.1–25.5] | 31.9 [24.3–22.5] | 32.6 [22.5–40.6] | 19.4 [17.6–25.5] | <0.0001 | 0.9 |
| PCS (hPa) | 24.5 [19.7–31.6] | 24.5 [19.5–33.1] | 24.5 [20.0–29.3] | 17.3 [15.3–22.5] | 0.0002 | 0.8 |
| FCS (hPa) | 7.4 [4.5–10.0] | 6.6 [4.3–5.3] | 8.4 [5.3–10.4] | 2.1 [1.6–2.9] | <0.0001 | 0.2 |
| Variable | Univariable Analysis | Logistic Regression Full Model a | Logistic Regression Final Model b | |||
|---|---|---|---|---|---|---|
| OR [95%CI] | p | OR [95%CI] | p | OR [95%CI] | p | |
| Age (per 5 years) | 1.56 [1.21–2.09] | 0.001 | 1.23 [0.90–1.75] | 0.2 | ||
| BMI (per kg·m−2) | 0.97 [0.90–1.03] | 0.3 | ||||
| SAPS-II score | 1.09 [1.04–1.14] | 0.0003 | 1.09 [1.04–1.17] | 0.002 | 1.11 [1.06–1.17] | <0.0001 |
| Corticosteroid | 0.20 [0.01–1.61] | 0.2 | ||||
| Anticoagulation | 0.44 [0.08–2.15] | 0.3 | ||||
| A-IPC (per 5 G/L) | 0.72 [0.51–0.96] | 0.04 | 0.46 [0.24–0.77] | 0.009 | 0.47 [0.25–0.76] | 0.007 |
| NLR (per 10%) | 1.60 [1.08–2.49] | 0.03 | 0.97 [0.52–1.80] | 0.9 | ||
| NPR (per unit) | 0.35 [0.01–60.18] | 0.7 | ||||
| Fibrinogen (per g/L) | 1.34 [0.98–1.89] | 0.08 | 1.45 [0.91–2.47] | 0.1 | ||
| vWF activity (per 50 UI/dL) | 1.29 [1.03–1.66] | 0.04 | 1.08 [0.80–1.48] | 0.6 | ||
| Prothrombin F1 + 2 (per 50 pM) | 1.12 [1.02–1.24] | 0.02 | 1.07 [0.94–1.22] | 0.3 | ||
| D-Dimer (µg/L) | 1.00 [0.99–1.00] | 0.3 | ||||
Publisher’s Note: MDPI stays neutral with regard to jurisdictional claims in published maps and institutional affiliations. |
© 2022 by the authors. Licensee MDPI, Basel, Switzerland. This article is an open access article distributed under the terms and conditions of the Creative Commons Attribution (CC BY) license (https://creativecommons.org/licenses/by/4.0/).
Share and Cite
Billoir, P.; Leprêtre, P.; Thill, C.; Bellien, J.; Le Cam Duchez, V.; Selim, J.; Tamion, F.; Clavier, T.; Besnier, E. Routine and Advanced Laboratory Tests for Hemostasis Disorders in COVID-19 Patients: A Prospective Cohort Study. J. Clin. Med. 2022, 11, 1383. https://doi.org/10.3390/jcm11051383
Billoir P, Leprêtre P, Thill C, Bellien J, Le Cam Duchez V, Selim J, Tamion F, Clavier T, Besnier E. Routine and Advanced Laboratory Tests for Hemostasis Disorders in COVID-19 Patients: A Prospective Cohort Study. Journal of Clinical Medicine. 2022; 11(5):1383. https://doi.org/10.3390/jcm11051383
Chicago/Turabian StyleBilloir, Paul, Perrine Leprêtre, Caroline Thill, Jeremy Bellien, Veronique Le Cam Duchez, Jean Selim, Fabienne Tamion, Thomas Clavier, and Emmanuel Besnier. 2022. "Routine and Advanced Laboratory Tests for Hemostasis Disorders in COVID-19 Patients: A Prospective Cohort Study" Journal of Clinical Medicine 11, no. 5: 1383. https://doi.org/10.3390/jcm11051383
APA StyleBilloir, P., Leprêtre, P., Thill, C., Bellien, J., Le Cam Duchez, V., Selim, J., Tamion, F., Clavier, T., & Besnier, E. (2022). Routine and Advanced Laboratory Tests for Hemostasis Disorders in COVID-19 Patients: A Prospective Cohort Study. Journal of Clinical Medicine, 11(5), 1383. https://doi.org/10.3390/jcm11051383

