Long Term Prognostic Value of Contractile Reserve Assessed by Global Longitudinal Strain in Patients with Asymptomatic Severe Aortic Stenosis
Abstract
:1. Introduction
2. Methods
2.1. Study Population
2.2. Resting Echocardiogram
2.3. Exercise Stress Echocardiogram
2.4. Strain Assessment
2.5. Assessment of Contractile Reserve by Global Longitudinal Strain and by Ejection Fraction
2.6. Follow-Up
2.7. Major Events and Outcomes
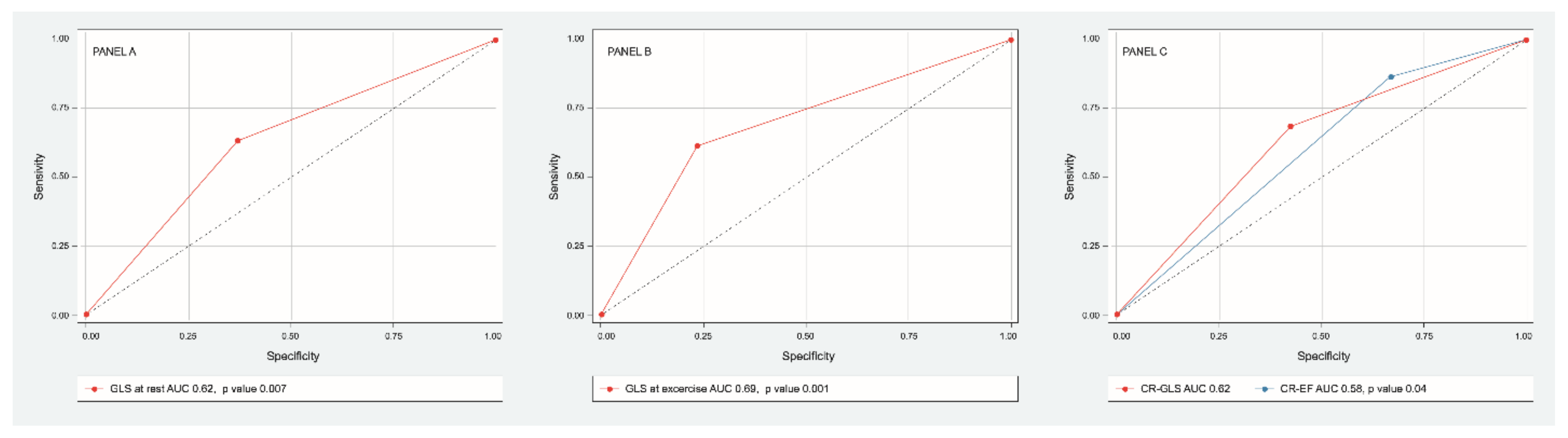
3. Results
3.1. Baseline Echocardiography
3.2. Exercise Stress Echocardiography
3.3. Follow-Up
3.4. Intra- and Inter-Observer Variability of CR-GLS
4. Discussion
4.1. Clinical Implications
4.2. Limitations
5. Conclusions
Author Contributions
Funding
Institutional Review Board Statement
Informed Consent Statement
Data Availability Statement
Conflicts of Interest
References
- Bonow, R.O.; Greenland, P. Population-Wide Trends in Aortic Stenosis Incidence and Outcomes. Circulation 2015, 131, 969–971. [Google Scholar] [CrossRef] [PubMed] [Green Version]
- Nishimura, R.A.; Otto, C.M.; Bonow, R.; Carabello, B.A.; Erwin, J.P.; Fleisher, L.A.; Jneid, H.; Mack, M.J.; McLeod, C.J.; O’Gara, P.T.; et al. 2014 AHA/ACC Guideline for the Management of Patients with Valvular Heart Disease A Report of the American College of Cardiology/American Heart Association Task Force on Practice Guidelines. Circulation 2014, 129, e521–e643. [Google Scholar] [PubMed] [Green Version]
- Baumgartner, H.; Falk, V.; Bax, J.J.; De Bonis, M.; Hamm, C.; Holm, P.J.; Iung, B.; Lancellotti, P.; Lansac, E.; Rodriguez Muñoz, D.; et al. 2017 ESC/EACTS Guidelines for the management of valvular heart disease. The Task Force for the Management of Valvular Heart Disease of the European Society of Cardiology (ESC) and the European Association for Cardio-Thoracic Surgery (EACTS). Eur. Heart J. 2017, 38, 2739–2791. [Google Scholar] [CrossRef] [PubMed]
- Lax, J.; Stutzbach, P. Consensus statement on valvular heart disease (brief version). Argent. J. Cardiol. 2015, 83, 68–80. [Google Scholar]
- Stokke, T.M.; Hasselberg, N.E.; Smedsrud, M.K.; Sarvari, S.I.; Haugaa, K.H.; Smiseth, O.A. Thor Edvardsen, and Espen W. Remme. Geometry as a Confounder When Assessing Ventricular Systolic Function Comparison Between Ejection Fraction and Strain. J. Am. Coll. Cardiol. 2017, 70, 942–954. [Google Scholar] [CrossRef]
- Ito, S.; Miranda, W.R.; Nkomo, V.T.; Connolly, H.M.; Pislaru, S.; Greason, K.L.; Pellikka, P.A.; Lewis, B.R.; Oh, J.K. Reduced Left Ventricular Ejection Fraction in Patients with Aortic Stenosis. J. Am. Coll. Cardiol. 2018, 71, 1313–1321. [Google Scholar] [CrossRef]
- Galli, E.; Lancellotti, P.; Sengupta, P.P.; Donal, E. LV mechanics in mitral and aortic valve diseases: Value of functional assessment beyond ejection fraction. JACC Cardiovasc. Imaging 2014, 7, 1151–1166. [Google Scholar] [CrossRef] [Green Version]
- Lancellotti, P.; Lebois, F.; Simon, M.; Tombeux, C.; Chauvel, C.; Pierard, L.A. Prognostic Importance of Quantitative Exercise Doppler Echocardiography in Asymptomatic Valvular Aortic Stenosis. Circulation 2005, 112, I377–I382. [Google Scholar] [CrossRef]
- Lancellotti, P.; Magne, J.; Donal, E.; O’Connor, K.; Dulgheru, R.; Rosca, M.; Pierard, L.A. Determinants and Prognostic Significance of Exercise Pulmonary Hypertension in Asymptomatic Severe Aortic Stenosis. Circulation 2012, 126, 851–859. [Google Scholar] [CrossRef] [Green Version]
- Goublaire, C.; Melissopoulou, M.; Lobo, D.; Kubota, N.; Verdonk, C.; Cimadevilla, C.; Codogno, I.; Brochet, E.; Vahanian, A.; Messika-Zeitoun, D. Prognostic Value of Exercise-Stress Echocardiography in Asymptomatic Patients with Aortic Valve Stenosis. JACC Cardiovasc. Imaging 2018, 11, 787–795. [Google Scholar] [CrossRef]
- Van Pelt, N.C.; Stewart, R.A.; Legget, M.E.; Whalley, G.A.; Wong, S.P.; Zeng, I.; Oldfield, M.; Kerr, A.J. Longitudinal left ventricular contractile dysfunction after exercise in aortic stenosis. Heart 2007, 93, 732–738. [Google Scholar] [CrossRef] [Green Version]
- Donal, E.; Thebault, C.; O’Connor, K.; Veillard, D.; Rosca, M.; Pierard, L.; Lancellotti, P. Impact of aortic stenosis on longitudinal myocardial deformation during exercise. Eur. J. Echocardiogr. 2011, 12, 235–241. [Google Scholar] [CrossRef] [Green Version]
- Lang, R.M.; Badano, L.P.; Mor-Avi, V.; Afilalo, J.; Armstrong, A.; Ernande, L.; Flachskampf, F.A.; Foster, E.; Goldstein, S.A.; Kuznetsova, T.; et al. Recommendations for Cardiac Chamber Quantification by Echocardiography in Adults: An Update from the American Society of Echocardiography and the European Association of Cardiovascular Imaging. J. Am. Soc. Echocardiogr. 2015, 28, 233–271. [Google Scholar] [CrossRef] [Green Version]
- Picano, E.; Ciampi, Q.; Wierzbowska-Drabik, K.; Urluescu, M.-L.; Morrone, R.; Carpeggiani, C. The new clinical standard of integrated quadruple stress echocardiography with ABCD protocol. Cardiovasc. Ultrasound 2018, 16, 22. [Google Scholar] [CrossRef]
- Konstantinos, E.; Farsalinos, M.D.; Daraban, A.M.; Ünlü, S.; Thomas, J.D.; Badano, L.P.; Voigt, J.-U. Head-to-Head Comparison of Global Longitudinal Strain Measurements among Nine Different Vendors: The EACVI/ASE Inter-Vendor Comparison Study. J. Am. Soc. Echocardiogr. 2015, 28, 1171–1181. [Google Scholar]
- Gastaldello, N.; Merlo, P.; Amor, M.; Alasia, D.; Galello, M.; Caso, N.; Lowenstein, J.; Caniggia, C.; Darú, V.; Rousse, M. Longitudinal Strain at Rest does not Predict Stress Echo Results. Revista Argentina de Cardiología 2016, 84, 330–335. [Google Scholar] [CrossRef]
- Kocabay, G.; Muraru, D.; Peluso, D.; Cucchini, U.; Mihaila, S.; Padayattil-Jose, S.; Gentian, D.; Iliceto, S.; Vinereanu, D.; Badano, L.P. Normal Left Ventricular Mechanics by Two-dimensional Speckle-tracking Echocardiography. Reference Values in Healthy Adults. Revista Española de Cardiología 2014, 67, 651–658. [Google Scholar] [CrossRef]
- Lancellotti, P.; Donal, E.; Magne, J.; Moonen, M.; O’Connor, K.; Daubert, J.-C.; Pierard, L.A. Risk stratification in asymptomatic moderate to severe aortic stenosis: The importance of the valvular, arterial and ventricular interplay. Heart 2010, 96, 1364–1371. [Google Scholar] [CrossRef]
- Smith, L.E.F. Methodology for choosing the optimal cutoff point for continuous covariate dichotomization. Revista Cubana de Genética Comunitaria 2013, 7, 36–42. [Google Scholar]
- Everett, R.J.; Clavel, M.-A.; Pibarot, P.; Dweck, M. Timing of intervention in aortic stenosis: A review of current and future strategies. Heart 2018, 104, 2067–2076. [Google Scholar] [CrossRef] [Green Version]
- Boudoulas, K.D.; Ravi, Y.; Garcia, D.; Saini, U.; Sofowora, G.G.; Gumina, R.J.; Sai-Sudhakar, C.B. Type of Valvular Heart Disease Requiring Surgery in the 21st Century: Mortality and Length-of-Stay Related to Surgery. Open Cardiovasc. Med. J. 2013, 7, 104–109. [Google Scholar] [CrossRef] [PubMed] [Green Version]
- Podlesnikar, T.; Delgado, V.; Bax, J.J. Cardiovascular magnetic resonance imaging to assess myocardial fibrosis in valvular heart disease. Int. J. Cardiovasc. Imaging 2017, 34, 97–112. [Google Scholar] [CrossRef] [PubMed] [Green Version]
- Vollema, E.M.; Sugimoto, T.; Shen, M.; Tastet, L.; Ng, A.C.T.; Abou, R.; Marsan, N.A.; Mertens, B.; Dulgheru, R.; Lancellotti, P. Association of Left Ventricular Global Longitudinal Strain with Asymptomatic Severe Aortic Stenosis Natural Course and Prognostic Value. JAMA Cardiol. 2018, 3, 839–847. [Google Scholar] [CrossRef] [PubMed] [Green Version]
- Barone-Rochette, G.; Piérard, S.; De Meester de Ravenstein, C.; Seldrum, S.; Melchior, J.; Maes, F.; Pouleur, A.-C.; Vancraeynest, D.; Pasquet, A.; Vanoverschelde, J.-L.; et al. Prognostic Significance of LGE by CMR in Aortic Stenosis Patients Undergoing Valve Replacement. J. Am. Coll. Cardiol. 2014, 64, 144–154. [Google Scholar] [CrossRef] [PubMed] [Green Version]
- Laurenzano, C.S.; Chirino Navarta, D.A.; Cerda Jorgi, M.F.; Mosto, H.; Díaz Casale, A. Valor pronóstico del Strain Longitudinal, medido por velocity vector imaging, en la estenosis aórtica grave asintomática con fracción de eyección conservada. Revista Argentina de Cardiología 2019, 87, 6. [Google Scholar]
- Dahl, J.; Magne, J.; Pellikka, P.A.; Donal, E.; Marwick, T.H. Assessment of Subclinical Left Ventricular Dysfunction in Aortic Stenosis. JACC Cardiovasc. Imaging 2019, 12, 163–171. [Google Scholar] [CrossRef]
- Hoffmann, R.; Altiok, E.; Friedman, Z.; Becker, M.; Frick, M. Myocardial Deformation Imaging by Two-Dimensional Speckle-Tracking Echocardiography in Comparison to Late Gadolinium Enhancement Cardiac Magnetic Resonance for Analysis of Myocardial Fibrosis in Severe Aortic Stenosis. Am. J. Cardiol. 2014, 114, 1083–1088. [Google Scholar] [CrossRef]
- Amato, M.C.M.; Moffa, P.J.; Werner, K.E.; Ramires, J.A.F. Treatment decision in asymptomatic aortic valve stenosis: Role of exercise testing. Heart 2001, 86, 381–386. [Google Scholar] [CrossRef] [Green Version]
- Hirasawa, K.; Izumo, M.; Suzuki, K.; Suzuki, T.; Ohara, H.; Watanabe, M.; Sato, Y.; Kamijima, R.; Nobuoka, S.; Akashi, Y. Value of Transvalvular Flow Rate during Exercise in Asymptomatic Patients with Aortic Stenosis. J. Am. Soc. Echocardiogr. 2020, 33, 438–448. [Google Scholar] [CrossRef]
- Levy-Neuman, S.; Meledin, V.; Gandelman, G.; Goland, S.; Zilberman, L.; Edri, O.; Shneider, N.; AbaehRDMSaTaliBdolah-Abram, N.; George, J. The Association Between Longitudinal Strain at Rest and Stress and Out-come in symptomatic Patients with Moderate and Severe Aortic Stenosis. J. Am. Soc. Echocardiogr. 2019, 32, 722–729. [Google Scholar] [CrossRef] [Green Version]
- Lech, A.K.; Dobrowolski, P.P.; Klisiewicz, A.; Hoffman, P. Exercise-induced changes in left ventricular global longi-tudinal strain in asymptomatic severe aortic stenosis. Kardiol. Pol. Pol. Heart J. 2017, 75, 143–149. [Google Scholar] [CrossRef]
- Yingchoncharoen, T.; Gibby, C.; Rodriguez, L.L.; Grimm, R.A.; Marwick, T.H.; Altiok, E.; Hamada, S.; Brehmer, K.; Kuhr, K.; Reith, S.; et al. Association of Myocardial Deformation with Outcome in Asymptomatic Aortic Stenosis with Normal Ejection Fraction. Circ. Cardiovasc. Imaging 2012, 5, 719–725. [Google Scholar] [CrossRef] [Green Version]
- Kappetein, A.P.; Head, S.J.; Généreux, P.; Piazza, M.; van Mieghem, N.M.; Blackstone, E.H.; Brott, T.G.; Cohen, D.J.; Cutlip, D.E.; van Es, G.-A. Updated Standardized Endpoint Definitions for Transcatheter Aortic Valve Implantation. J. Am. Coll. Cardiol. 2012, 60, 1438–1454. [Google Scholar]






| Variables | All Patients (n = 101) | G1: CR-GLS Present (n = 56 pts) | G2: CR-GLS Absent (n = 45 pts) | p Value |
|---|---|---|---|---|
| Age (years) | 69.06 ± 12 | 66.54 ± 14.10 | 72.72 ± 8.52 | 0 |
| Gender (male) | 54 (53.5%) | 33 (58.9%) | 21 (46.7%) | 0.21 |
| HTN | 61 (60.4%) | 30 (53.6%) | 31 (68.9%) | 0.11 |
| Prior MI without dyssynergies | 3 (3%) | 0 (0%) | 3 (6.7%) | 0.051 |
| Prior PCI | 2 (2%) | 0 (0%) | 2 (4.4%) | 0.11 |
| Prior CABG | 10 (9.9%) | 6 (10.7%) | 4 (8.9%) | 0.76 |
| ACE Inh/ARB II | 74 (73.3%) | 41 (73.2%) | 33 (73.3%) | 0.98 |
| Betablockers | 40 (39.6%) | 18 (32.1%) | 22 (48.9%) | 0.087 |
| Calcium antagonists | 40 (39.6%) | 22 (39.3%) | 18 (40%) | 0.94 |
| Statins | 32 (31.7%) | 17 (30.4%) | 15 (33.3%) | 0.74 |
| SBP at rest (mmHg) | 117.47 ± 6.18 | 117.2 ± 6.6 | 117.7 ± 5.59 | 0.66 |
| HR at rest (bpm) | 64 ± 6.15 | 64.6 ± 6.2 | 63.35 ± 6 | 0.29 |
| Bicuspid Ao | 20 (19.8%) | 15 (26.8%) | 5 (11.1%) | 0.049 |
| AVA (cm2) indexed at rest | 0.46 ± 0.39 | 0.49 ± 0.03 | 0.44 ± 0.035 | <0.001 |
| LV Mass (g) | 132 ± 19 | 133 ± 18.5 | 131.5 ± 19.8 | 0.67 |
| Peak Ao velocity at rest (m/s) | 4.58 ± 0.31 | 4.43 ± 0.28 | 4.78 ± 0.22 | <0.001 |
| Peak Ao gradient at rest (mmHg) | 84. 54 ± 11.59 | 78.89 ± 10.6 | 91.58 ± 8.58 | <0.001 |
| Medium Ao gradient at rest (mmHg) | 42.49 ± 5.9 | 39.8 ± 5.7 | 45.8 ± 4.3 | <0.001 |
| LVEF at rest (%) | 63.23 ± 5.8 | 64 ± 5.6 | 62.1 ± 5.9 | 0.77 |
| GLS at rest (%) | −18.79 ± 2.12 | −19.14 ± 2.19 | −18.37 ± 1.98 | 0.70 |
| E/e’ at rest (cm/seg) | 12.5 ± 4.7 | 12.3 ± 5 | 12.86 ± 4.5 | 0.60 |
| PASP at rest (mmHg) | 34.73 ± 7.5 | 34 ± 7.3 | 35.4 ± 7.8 | 0.40 |
| Variables | All Patients (n = 101) | G1: CR-GLS Present (n = 56 pts) | G2: CR-GLS Absent (n = 45 pts) | p Value |
|---|---|---|---|---|
| Peak Ao velocity exercise (m/s) | 4.9 ± 0.36 | 4.88 ± 0.38 | 4.92 ± 0.34 | 0.57 |
| Peak Ao gradient exercise (mmHg) | 102.09 ± 19.2 | 100.7 ± 18 | 103.75 ± 20.5 | 0.43 |
| Medium Ao gradient at exercise (mmHg) | 51.03 ± 9.6 | 50.5 ± 9 | 52 ± 10 | 0.4 |
| LVEF at peak exercise (%) | 69.4 ± 7.22 | 71.5 ± 5.9 | 66.8 ± 7.9 | 0.002 |
| GLS at peak exercise (%) | −20.53 ± 3 | −22.2 ± 2.8 | −18.45 ± 2.4 | <0.001 |
| E/e’ at peak exercise (cm/seg) | 15.26 ± 2.9 | 14.8 ± 3.3 | 15.7 ± 2.5 | 0.12 |
| PASP at peak exercise (mmHg) | 50.71 ± 10.9 | 50.3 ± 11.8 | 51 ± 10 | 0.74 |
| Δ LVEF (peak-rest) | 6.16 ± 4.34 | 7.3 ± 2.9 | 4.7 ± 5.3 | 0.003 |
| Δ Strain (peak-rest) | 1.74 ± 2 | 3.07 ± 0.85 | 0.08 ± 1.9 | <0.001 |
| Present CR-EF (% pts) | 77 (76.2) | 50 (89.3) | 27 (60) | 0.001 |
| Absent CR-EF (% pts) | 24 (23.8) | 6 (10.7) | 18 (40) | 0.001 |
| METS | 5.06 ± 1.7 | 5.6 ± 2 | 4.4 ± 1.1 | 0.002 |
| WATT | 92.16 ± 33.1 | 101.9 ± 35.5 | 80 ± 25 | 0.001 |
| Medium Ao gradient at exercise (mmHg) | 51.03 ± 9.6 | 50.5 ± 9 | 52 ± 10 | 0.4 |
| SBP at peak exercise (mmHg) | 168.94 ± 29.95 | 172.7 ± 32.6 | 164.2 ± 25.7 | 0.15 |
| HR at peak exercise (bpm) | 120 ± 23.3 | 125.5 ± 22.5 | 113 ± 22.6 | 0.008 |
| Events | All Patients (101) | G1: CR-GLS Present (n = 56 pts) | G2: CR-GLS Absent (n = 45 patients) | p Value |
|---|---|---|---|---|
| Combined | 45 (44.6%) | 19 (33.9%) | 26 (57.8%) | 0.017 |
| Aortic Valve Replacement | 31 (29.7%) | 11 (19.6%) | 20 (42.2%) | 0.02 |
| All-Cause Deaths | 13 (12.9%) | 6 (10.7%) | 7 (15.6%) | NS * |
| Myocardial Infarction | 1 (1%) | 1 (1.8%) | 0 (0%) | NS * |
| Stroke | 1 (1%) | 1 (1.8%) | 0 (0%) | NS * |
| Univariate Analysis | ||
| Variable | HR (95% CI) | pValue |
| Age (years) | 1.01 (0.98–1.049) | 0.39 |
| METS | 0.73 (0.53–1.015) | 0.06 |
| KGM | 0.99 (0.99–1.00) | 0.23 |
| Left ventricular mass (gr) | 1.02 (0.99–1.04) | 0.057 |
| Bicuspid aortic valve | 1.23 (0.46–3.4) | 0.69 |
| AVA indexed (cm2) | 0.02 (0.00–5.3) | 0.17 |
| Medium Ao gradient at rest (mmHg) | 1.06 (0.99–1.14) | 0.10 |
| Medium Ao gradient at exercise (mmHg) | 1.01 (0.9–1.37) | 0.15 |
| PSP at rest (mmHg) | 1.06 (0.99–1.13) | 0.09 |
| PSP at exercise (mmHg) | 1.03 (0.99–1.07) | 0.23 |
| FBPR (%) | 0.74 (0.31–1.8) | 0.5 |
| EF at rest (%) | 0.99 (0.93–1.06) | 0.8 |
| EF at exercise (%) | 0.96 (0.91–1.02) | 0.18 |
| GLS at rest (-%) | 0.73 (0.58–0.91) | 0.006 |
| GLS at exercise (-%) | 0.79 (0.68–0.92) | 0.003 |
| CR EF | 2.61 (1.01–6.7) | 0.049 |
| CR GLS | 2.66 (1.18–5.9) | 0.018 |
| Multivariate Analysis | ||
| Variable | HR (95% CI) | pValue |
| METS | 0.88 (0.56–1.22) | 0.36 |
| Left ventricular mass (gr) | 1.03 (0.99–1.06) | 0.96 |
| PSP at rest (mmHg) | 1.01 (0.94–1.08) | 0.84 |
| CR EF | 1.69 (0.90–3.14) | 0.09 |
| CR GLS | 1.97 (1.09–3.58) | 0.025 |
Publisher’s Note: MDPI stays neutral with regard to jurisdictional claims in published maps and institutional affiliations. |
© 2022 by the authors. Licensee MDPI, Basel, Switzerland. This article is an open access article distributed under the terms and conditions of the Creative Commons Attribution (CC BY) license (https://creativecommons.org/licenses/by/4.0/).
Share and Cite
Arbucci, R.; Lowenstein Haber, D.M.; Rousse, M.G.; Saad, A.K.; Martínez Golleti, L.; Gastaldello, N.; Amor, M.; Caniggia, C.; Merlo, P.; Zambrana, G.; et al. Long Term Prognostic Value of Contractile Reserve Assessed by Global Longitudinal Strain in Patients with Asymptomatic Severe Aortic Stenosis. J. Clin. Med. 2022, 11, 689. https://doi.org/10.3390/jcm11030689
Arbucci R, Lowenstein Haber DM, Rousse MG, Saad AK, Martínez Golleti L, Gastaldello N, Amor M, Caniggia C, Merlo P, Zambrana G, et al. Long Term Prognostic Value of Contractile Reserve Assessed by Global Longitudinal Strain in Patients with Asymptomatic Severe Aortic Stenosis. Journal of Clinical Medicine. 2022; 11(3):689. https://doi.org/10.3390/jcm11030689
Chicago/Turabian StyleArbucci, Rosina, Diego M. Lowenstein Haber, María Graciela Rousse, Ariel K. Saad, Liliana Martínez Golleti, Natalio Gastaldello, Miguel Amor, Cristian Caniggia, Pablo Merlo, Gustavo Zambrana, and et al. 2022. "Long Term Prognostic Value of Contractile Reserve Assessed by Global Longitudinal Strain in Patients with Asymptomatic Severe Aortic Stenosis" Journal of Clinical Medicine 11, no. 3: 689. https://doi.org/10.3390/jcm11030689
APA StyleArbucci, R., Lowenstein Haber, D. M., Rousse, M. G., Saad, A. K., Martínez Golleti, L., Gastaldello, N., Amor, M., Caniggia, C., Merlo, P., Zambrana, G., Galello, M., Clos, E., Mora, V., & Lowenstein, J. A. (2022). Long Term Prognostic Value of Contractile Reserve Assessed by Global Longitudinal Strain in Patients with Asymptomatic Severe Aortic Stenosis. Journal of Clinical Medicine, 11(3), 689. https://doi.org/10.3390/jcm11030689

