Low FT3/FT4 Ratio Is Linked to Poor Prognosis of Acute Myocardial Infarction in Euthyroid Patients with Type 2 Diabetes Mellitus
Abstract
1. Introduction
2. Materials and Methods
2.1. Study Design and Patients
2.2. Demographics Collection and Biochemical Investigation
2.3. Coronary Angiography
2.4. Echocardiography
2.5. Follow-Up and Endpoints
2.6. Statistical Analysis
3. Results
3.1. Patients
3.2. Baseline Characteristics
3.3. Severity of Coronary Artery Disease and FT3/FT4 Ratio
3.4. Clinical Outcomes
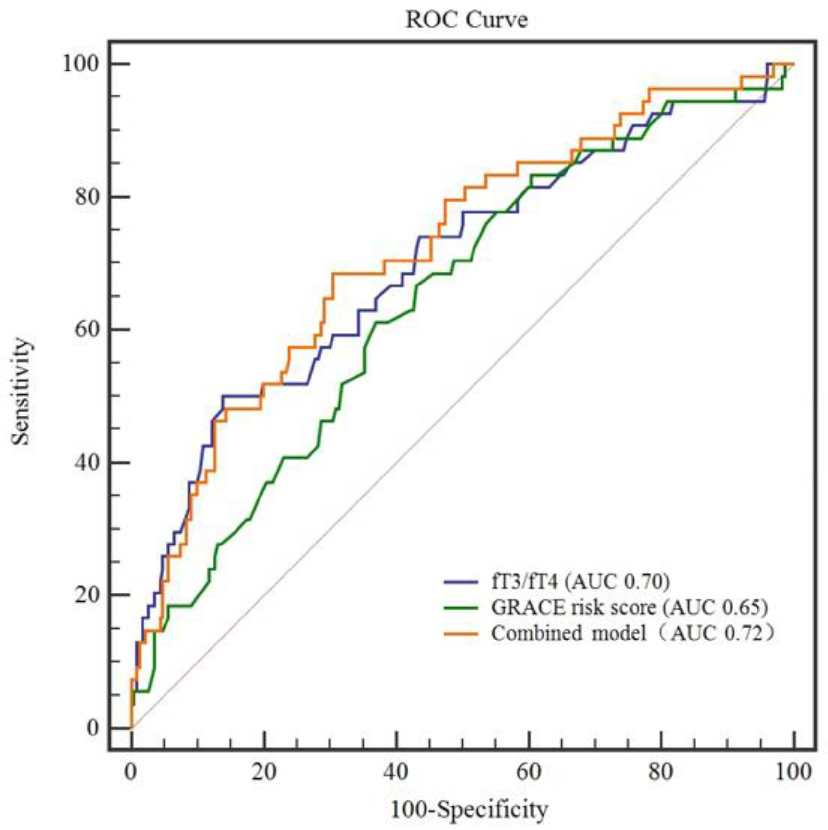
3.5. Ability of FT3/FT4 Ratio and GRACE Risk Score to Predict MACE
4. Discussion
5. Conclusions
Author Contributions
Funding
Institutional Review Board Statement
Informed Consent Statement
Data Availability Statement
Acknowledgments
Conflicts of Interest
References
- Holman, N.; Young, B.; Gadsby, R. Current prevalence of Type 1 and Type 2 diabetes in adults and children in the UK. Diabet. Med. 2015, 32, 1119–1120. [Google Scholar] [CrossRef] [PubMed]
- Ogurtsova, K.; da Rocha Fernandes, J.D.; Huang, Y.; Linnenkamp, U.; Guariguata, L.; Cho, N.H.; Cavan, D.; Shaw, J.E.; Makaroff, L.E. IDF Diabetes Atlas: Global estimates for the prevalence of diabetes for 2015 and 2040. Diabetes Res. Clin. Pract. 2017, 128, 40–50. [Google Scholar] [CrossRef] [PubMed]
- Zheng, Y.; Ley, S.H.; Hu, F.B. Global aetiology and epidemiology of type 2 diabetes mellitus and its complications. Nat. Rev. Endocrinol. 2018, 14, 88–98. [Google Scholar] [CrossRef]
- Milazzo, V.; Cosentino, N.; Genovese, S.; Campodonico, J.; Mazza, M.; De Metrio, M.; Marenzi, G. Diabetes Mellitus and Acute Myocardial Infarction: Impact on Short and Long-Term Mortality. Adv. Exp. Med. Biol. 2021, 1307, 153–169. [Google Scholar] [CrossRef]
- Burgess, S.N.; Juergens, C.P.; Nguyen, T.; Leung, M.; Robledo, K.P.; Thomas, L.; Mussap, C.; Lo, S.T.H.; French, J.K. Diabetes and Incomplete Revascularisation in ST Elevation Myocardial Infarction. Heart Lung Circ. 2021, 30, 471–480. [Google Scholar] [CrossRef] [PubMed]
- Kim, Y.H.; Her, A.Y.; Jeong, M.H.; Kim, B.K.; Hong, S.J.; Park, S.H.; Kim, B.G.; Kim, S.; Ahn, C.M.; Kim, J.S.; et al. Outcomes between prediabetes and type 2 diabetes mellitus in older adults with acute myocardial infarction in the era of newer-generation drug-eluting stents: A retrospective observational study. BMC Geriatr. 2021, 21, 653. [Google Scholar] [CrossRef]
- Norhammar, A.; Lindback, J.; Ryden, L.; Wallentin, L.; Stenestrand, U.; Register, I. Knowledge about Swedish Heart Intensive Care, A. Improved but still high short- and long-term mortality rates after myocardial infarction in patients with diabetes mellitus: A time-trend report from the Swedish Register of Information and Knowledge about Swedish Heart Intensive Care Admission. Heart 2007, 93, 1577–1583. [Google Scholar] [CrossRef]
- Kapur, A.; De Palma, R. Mortality after myocardial infarction in patients with diabetes mellitus. Heart 2007, 93, 1504–1506. [Google Scholar] [CrossRef]
- Klein, I.; Ojamaa, K. Thyroid hormone and the cardiovascular system. N. Engl. J. Med. 2001, 344, 501–509. [Google Scholar] [CrossRef]
- Gao, S.; Ma, W.; Huang, S.; Lin, X.; Yu, M. Predictive Value of Free Triiodothyronine to Free Thyroxine Ratio in Euthyroid Patients With Myocardial Infarction With Nonobstructive Coronary Arteries. Front. Endocrinol. 2021, 12, 708216. [Google Scholar] [CrossRef]
- Yuan, D.; Zhang, C.; Jia, S.; Liu, Y.; Jiang, L.; Xu, L.; Zhang, Y.; Xu, J.; Xu, B.; Hui, R.; et al. Predictive value of free triiodothyronine (FT3) to free thyroxine (FT4) ratio in long-term outcomes of euthyroid patients with three-vessel coronary artery disease. Nutr. Metab. Cardiovasc. Dis. 2021, 31, 579–586. [Google Scholar] [CrossRef] [PubMed]
- Gray, R.S.; Irvine, W.J.; Clarke, B.F. Screening for thyroid dysfunction in diabetics. Br. Med. J. 1979, 2, 1439. [Google Scholar] [CrossRef][Green Version]
- Biondi, B.; Kahaly, G.J.; Robertson, R.P. Thyroid Dysfunction and Diabetes Mellitus: Two Closely Associated Disorders. Endocr. Rev. 2019, 40, 789–824. [Google Scholar] [CrossRef] [PubMed]
- Fox, K.A.; Dabbous, O.H.; Goldberg, R.J.; Pieper, K.S.; Eagle, K.A.; Van de Werf, F.; Avezum, A.; Goodman, S.G.; Flather, M.D.; Anderson, F.A., Jr.; et al. Prediction of risk of death and myocardial infarction in the six months after presentation with acute coronary syndrome: Prospective multinational observational study (GRACE). BMJ 2006, 333, 1091. [Google Scholar] [CrossRef] [PubMed]
- Li, H.L.; Peng, W.H.; Cui, S.T.; Lei, H.; Wei, Y.D.; Li, W.M.; Xu, Y.W. Vaspin plasma concentrations and mRNA expressions in patients with stable and unstable angina pectoris. Clin. Chem. Lab. Med. 2011, 49, 1547–1554. [Google Scholar] [CrossRef] [PubMed]
- Biondi, B. Mechanisms in endocrinology: Heart failure and thyroid dysfunction. Eur. J. Endocrinol. 2012, 167, 609–618. [Google Scholar] [CrossRef] [PubMed]
- Wang, C.; Han, S.; Li, Y.; Tong, F.; Li, Z.; Sun, Z. Value of FT3/FT4 Ratio in Prognosis of Patients With Heart Failure: A Propensity-Matched Study. Front. Cardiovasc. Med. 2022, 9, 859608. [Google Scholar] [CrossRef]
- Yu, T.; Tian, C.; Song, J.; He, D.; Wu, J.; Wen, Z.; Sun, Z.; Sun, Z. Value of the fT3/fT4 ratio and its combination with the GRACE risk score in predicting the prognosis in euthyroid patients with acute myocardial infarction undergoing percutaneous coronary intervention: A prospective cohort study. BMC Cardiovasc. Disord. 2018, 18, 181. [Google Scholar] [CrossRef]
- Yuan, D.; Jia, S.; Zhu, P.; Zhang, C.; Liu, Y.; Liu, R.; Xu, J.; Tang, X.; Zhao, X.; Gao, R.; et al. Usefulness of FT3 to FT4 Ratio to Predict Mortality in Euthyroid Patients With Prior Cardiovascular Events Undergoing PCI: Five-Year Findings From a Large Single-Center Cohort Study. Front. Endocrinol. 2021, 12, 700349. [Google Scholar] [CrossRef]
- Coiro, V.; Volpi, R.; Marchesi, C.; Capretti, L.; Speroni, G.; Caffarri, G.; Chiodera, P. Influence of residual C-peptide secretion on nocturnal serum TSH peak in well-controlled diabetic patients. Clin. Endocrinol. 1997, 47, 305–310. [Google Scholar] [CrossRef]
- D’Adamo, E.; De Leonibus, C.; Giannini, C.; Corazzini, V.; De Remigis, A.; Chiarelli, F.; Mohn, A. Thyroid dysfunction in obese pre-pubertal children: Oxidative stress as a potential pathogenetic mechanism. Free Radic. Res. 2012, 46, 303–309. [Google Scholar] [CrossRef] [PubMed]
- Hage, M.; Zantout, M.S.; Azar, S.T. Thyroid disorders and diabetes mellitus. J. Thyroid. Res. 2011, 2011, 439463. [Google Scholar] [CrossRef]
- Ogbonna, S.U.; Ezeani, I.U.; Okafor, C.I.; Chinenye, S. Association between glycemic status and thyroid dysfunction in patients with type 2 diabetes mellitus. Diabetes Metab. Syndr. Obes. 2019, 12, 1113–1122. [Google Scholar] [CrossRef]
- Rong, F.; Dai, H.; Wu, Y.; Li, J.; Liu, G.; Chen, H.; Zhang, X. Association between thyroid dysfunction and type 2 diabetes: A meta-analysis of prospective observational studies. BMC Med. 2021, 19, 257. [Google Scholar] [CrossRef] [PubMed]
- Gu, L.; Yang, J.; Gong, Y.; Ma, Y.; Yan, S.; Huang, Y.; Wang, Y.; Peng, Y. Lower free thyroid hormone levels are associated with high blood glucose and insulin resistance; these normalize with metabolic improvement of type 2 diabetes. J. Diabetes 2021, 13, 318–329. [Google Scholar] [CrossRef]
- Su, W.; Zhao, X.Q.; Wang, M.; Chen, H.; Li, H.W. Low T3 syndrome improves risk prediction of in-hospital cardiovascular death in patients with acute myocardial infarction. J. Cardiol. 2018, 72, 215–219. [Google Scholar] [CrossRef] [PubMed]
- Zhang, B.; Peng, W.; Wang, C.; Li, W.; Xu, Y. A low fT3 level as a prognostic marker in patients with acute myocardial infarctions. Intern. Med. 2012, 51, 3009–3015. [Google Scholar] [CrossRef]
- Ceremuzynski, L.; Gorecki, A.; Czerwosz, L.; Chamiec, T.; Bartoszewicz, Z.; Herbaczynska-Cedro, K. Low serum triiodothyronine in acute myocardial infarction indicates major heart injury. Kardiol. Pol. 2004, 60, 468–480, discussion 473-464. [Google Scholar]
- Hong, J.; Liu, W.Y.; Hu, X.; Chen, W.W.; Jiang, F.F.; Xu, Z.R.; Shen, F.X.; Zhu, H. Free Triiodothyronine and Free Triiodothyronine to Free Thyroxine Ratio Predict All-Cause Mortality in Patients with Diabetic Foot Ulcers. Diabetes Metab. Syndr. Obes. 2022, 15, 467–476. [Google Scholar] [CrossRef]
- Sun, L.Y.; Gaudino, M.; Chen, R.J.; Bader Eddeen, A.; Ruel, M. Long-term Outcomes in Patients With Severely Reduced Left Ventricular Ejection Fraction Undergoing Percutaneous Coronary Intervention vs Coronary Artery Bypass Grafting. JAMA Cardiol. 2020, 5, 631–641. [Google Scholar] [CrossRef]
- Su, G.; Mi, S.H.; Tao, H.; Li, Z.; Yang, H.X.; Zheng, H.; Zhou, Y.; Tian, L. Impact of admission glycemic variability, glucose, and glycosylated hemoglobin on major adverse cardiac events after acute myocardial infarction. Diabetes Care 2013, 36, 1026–1032. [Google Scholar] [CrossRef]
- Su, G.; Mi, S.H.; Li, Z.; Tao, H.; Yang, H.X.; Zheng, H. Prognostic value of early in-hospital glycemic excursion in elderly patients with acute myocardial infarction. Cardiovasc. Diabetol. 2013, 12, 33. [Google Scholar] [CrossRef]
- Sato, T.; Saito, Y.; Matsumoto, T.; Yamashita, D.; Saito, K.; Wakabayashi, S.; Kitahara, H.; Sano, K.; Kobayashi, Y. Impact of CADILLAC and GRACE risk scores on short- and long-term clinical outcomes in patients with acute myocardial infarction. J. Cardiol. 2021, 78, 201–205. [Google Scholar] [CrossRef]
- Roffi, M.; Patrono, C.; Collet, J.P.; Mueller, C.; Valgimigli, M.; Andreotti, F.; Bax, J.J.; Borger, M.A.; Brotons, C.; Chew, D.P.; et al. 2015 ESC Guidelines for the management of acute coronary syndromes in patients presenting without persistent ST-segment elevation: Task Force for the Management of Acute Coronary Syndromes in Patients Presenting without Persistent ST-Segment Elevation of the European Society of Cardiology (ESC). Eur. Heart J. 2016, 37, 267–315. [Google Scholar] [CrossRef]
- Chang, X.; Zhang, S.; Zhang, M.; Wang, H.; Fan, C.; Gu, Y.; Wei, J.; Qiu, C. Free triiodothyronine and global registry of acute coronary events risk score on predicting long-term major adverse cardiac events in STEMI patients undergoing primary PCI. Lipids Health Dis. 2018, 17, 234. [Google Scholar] [CrossRef]



| Group 1 (n = 98) | Group 2 (n = 98) | Group 3 (n = 98) | p-Value | |
|---|---|---|---|---|
| Age, years | 62.82 ± 11.87 | 66.34 ± 9.61 | 69.24 ± 10.64 | <0.001 |
| Male, n (%) | 78 (79.6%) | 72 (73.5%) | 65 (66.3%) | 0.111 |
| BMI, kg/m2 | 24.86 ± 2.75 | 24.29 ± 2.76 | 24.1 ± 2.74 | 0.134 |
| SBP, mmHg | 131.77 ± 19.94 | 134.33 ± 21.22 | 125.18 ± 24.32 | 0.011 Δ |
| DBP, mmHg | 78.91 ± 12.33 | 80.01 ± 12.67 | 76.51 ± 15.16 | 0.178 |
| Hypertension | 61 (62.2%) | 78 (79.6%) | 76 (77.6%) | 0.011 |
| Previous MI | 3 (3.1%) | 6 (6.1%) | 5 (5.1%) | 0.59 |
| Current/past smoking | 62 (63.3%) | 47 (48%) | 46 (46.9%) | 0.037 |
| Myocardial infarction type | ||||
| STEMI, n (%) | 46 (46.9%) | 44 (44.9%) | 41 (41.8%) | 0.77 |
| NSTEMI, n (%) | 52 (53.1%) | 54 (55.1%) | 57 (58.2%) | 0.77 |
| Killip class ≥ III, n (%) | 2 (2%) | 3 (3.1%) | 13 (13.3%) | <0.001 Δ |
| Laboratory data | ||||
| hsCRP, mg/L | 5.5 (2.13, 12.85) | 6.66 (2.92, 19.9) | 16.3 (5.71, 46.6) | <0.001 Δ |
| NLR | 3.0 (2.23, 4.89) | 3.13 (2.27, 5.6) | 4.63 (3.1, 7.38) | <0.001 Δ |
| Hb, g/L | 139.29 ± 16.77 | 132.27 ± 20.16 | 124.86 ± 18.44 | <0.001 Δ |
| TC, mmol/L | 4.45 ± 1.08 | 4.25 ± 1.25 | 4.24 ± 1.1 | 0.37 |
| HDL-C, mmol/L | 0.95 ± 0.28 | 0.91 ± 0.22 | 0.95 ± 0.26 | 0.51 |
| LDL-C, mmol/L | 2.85 ± 0.95 | 2.79 ± 1.08 | 2.77 ± 0.95 | 0.33 |
| apoA1, g/L | 1.16 ± 0.22 | 1.1 ± 0.22 | 1.05 ± 0.24 | 0.06 |
| apoB, g/L | 1.02 ± 0.36 | 0.95 ± 0.38 | 0.96 ± 0.28 | 0.2 |
| ALB, g/L | 39.02 ± 4.46 | 37.47 ± 4.72 | 35.06 ± 4.21 | <0.001 Δ |
| Glucose, mmol/L | 7.8 (6.59, 10.86) | 8.8 (6.61, 11.63) | 7.9 (6.28, 12.17) | 0.554 |
| HbA1C% | 7.8 (6.8, 9) | 7.65 (7, 8.8) | 8.55 (7.2, 10.1) | 0.021 Δ |
| Cr, umol/L | 73 (61, 90) | 78 (64, 101) | 87 (72, 104.5) | 0.37 |
| TNI, ng/mL | 0.83 (0.23, 6.49) | 1.2 (0.27, 10) | 1.03 (0.33, 7.48) | 0.474 |
| CKMB, IU/L | 23.4 (14.7, 97.7) | 25.3 (16.8, 97.28) | 26.5 (16.2, 53.78) | 0.748 |
| NT-proBNP, pg/mL | 42 (180.75, 1106) | 777.5 (218, 2243) | 2217 (747, 5268) | <0.001 Δ |
| LVEF, % | 55.09 ± 10.82 | 52.92 ± 10.55 | 49.7 ± 11.55 | 0.003 Δ |
| Medications, n (%) | ||||
| DAPT | 96 (98%) | 97 (99%) | 93 (94.9%) | 0.188 |
| Statin | 96 (98%) | 97 (99%) | 93 (94.9%) | 0.188 |
| ACEI/ARB | 66 (67.3%) | 75 (76.5%) | 56 (57.1%) | 0.015 |
| β-blocker | 68 (69.4%) | 80 (81.6%) | 76 (77.6%) | 0.122 |
| Insulin | 21 (21.4%) | 22 (22.4%) | 30 (30.6%) | 0.243 |
| α-glucosidase inhibitor | 61 (62.2%) | 55 (56.1%) | 40 (40.8%) | 0.008 |
| Insulin secretagogues | 46 (46.9%) | 40 (40.8%) | 36 (36.7%) | 0.345 |
| Metformin | 30 (30.6%) | 17 (17.3%) | 16 (16.3%) | 0.025 |
| DPP-4 inhibitor | 2 (2) | 5 (5.1%) | 7 (7.1%) | 0.241 |
| Insulin sensitizer | 29 (29.6%) | 18 (18.4%) | 16 (16.3%) | 0.051 |
| Duration of DM, months | 1.6 (0.19, 4) | 2 (0.43, 4) | 4 (0.8, 6) | 0.075 |
| Grace risk score | 122.08 ± 33.11 | 130.13 ± 29.17 | 155.14 ± 34.02 | <0.001 Δ |
| Hospital stay, days | 8.5 (6.7, 12) | 9 (7, 12) | 11 (8, 15) | 0.004 Δ |
| Hospitalization costs, CNY | 46,336 (38,196, 67,025) | 46,048 (37,559, 72,722) | 54,221 (44,210, 79,362) | 0.016 Δ |
| Group 1 (n = 98) | Group 2 (n = 98) | Group 3 (n = 98) | p-Value | |
|---|---|---|---|---|
| Extent of CAD | <0.001 | |||
| Single-vessel disease | 33 (33.7%) | 30 (30.6%) | 10 (10.2%) | |
| 2-vessel disease | 41 (41.8%) | 42 (42.9%) | 32 (32.7%) | |
| 3-vessel disease | 24 (24.5%) | 26 (26.5%) | 50 (57.1%) | |
| Target vessel | 0.39 | |||
| Left anterior descending artery | 50 (51%) | 43 (43.9%) | 43 (43.9%) | |
| Left circumflex artery | 18 (18.4) | 23 (23.5%) | 15 (15.3%) | |
| Right coronary artery | 30 (30.6%) | 32 (32.6%) | 40 (40.8%) | |
| Left main artery | 4 (4.1%) | 8 (8.2%) | 4 (4.1%) |
| Event | Group 1 (n = 98) | Group 2 (n = 98) | Group 3 (n = 98) | p-Value |
|---|---|---|---|---|
| MACE | 10 (10.2%) | 14 (14.3%) | 30 (30.6%) | <0.001 Δ |
| Nonfatal MI | 4 (4.1%) | 7 (7.1%) | 14 (14.3%) | 0.032 Δ |
| TVR | 4 (4.1%) | 4 (4.1%) | 9 (9.2%) | 0.21 |
| cardiac death | 2 (2%) | 3 (3.1%) | 7 (7.1%) | 0.161 |
| Univariable Analysis | Multivariable Analysis | ||||||
|---|---|---|---|---|---|---|---|
| HR | 95%CI | p Value | HR | 95%CI | p Value | ||
| Age | 1.012 | 0.987–1.038 | 0.343 | ||||
| Male | 0.829 | 0.444–1.548 | 0.556 | ||||
| History of smoking | 1.328 | 0.778–2.267 | 0.299 | ||||
| Hypertension | 0.812 | 0.435–1.515 | 0.512 | ||||
| LVEF | 0.966 | 0.943–0.99 | 0.005 | 0.978 | 0.953–1.004 | 0.102 | |
| Creatine | 1.002 | 0.997–1.004 | 0.923 | ||||
| Total cholesterol | 0.914 | 0.719–1.162 | 0.463 | ||||
| LDL-C | 0.828 | 0.621–1.102 | 0.196 | ||||
| Grace risk sore | 1.011 | 1.004–1.019 | 0.004 | 1.003 | 0.994–1.011 | 0.561 | |
| HbA1C% | 1.154 | 1.023–1.301 | 0.02 | 1.066 | 0.944–1.202 | 0.302 | |
| FT3/FT4 | 0.449 | 0.313–0.646 | <0.001 | 0.526 | 0.347–0.795 | 0.002 | |
| Group 1 | 1 (reference) | 1 (reference) | ... | 1 (reference) | 1 (reference) | ... | |
| Group 2 | 1.374 | 0.61–3.094 | 0.443 | 1.275 | 0.563–2.889 | 0.561 | |
| Group 3 | 3.315 | 1.62–6.784 | 0.01 | 2.456 | 1.105–5.459 | 0.027 | |
Publisher’s Note: MDPI stays neutral with regard to jurisdictional claims in published maps and institutional affiliations. |
© 2022 by the authors. Licensee MDPI, Basel, Switzerland. This article is an open access article distributed under the terms and conditions of the Creative Commons Attribution (CC BY) license (https://creativecommons.org/licenses/by/4.0/).
Share and Cite
He, X.; Gao, R.; Wu, Y.; Wu, K.; Sun, J.; Zhang, X.; Liu, L.; Chen, L. Low FT3/FT4 Ratio Is Linked to Poor Prognosis of Acute Myocardial Infarction in Euthyroid Patients with Type 2 Diabetes Mellitus. J. Clin. Med. 2022, 11, 6530. https://doi.org/10.3390/jcm11216530
He X, Gao R, Wu Y, Wu K, Sun J, Zhang X, Liu L, Chen L. Low FT3/FT4 Ratio Is Linked to Poor Prognosis of Acute Myocardial Infarction in Euthyroid Patients with Type 2 Diabetes Mellitus. Journal of Clinical Medicine. 2022; 11(21):6530. https://doi.org/10.3390/jcm11216530
Chicago/Turabian StyleHe, Xi, Ruonan Gao, Yubin Wu, Kejun Wu, Jianmin Sun, Xintao Zhang, Libin Liu, and Lianglong Chen. 2022. "Low FT3/FT4 Ratio Is Linked to Poor Prognosis of Acute Myocardial Infarction in Euthyroid Patients with Type 2 Diabetes Mellitus" Journal of Clinical Medicine 11, no. 21: 6530. https://doi.org/10.3390/jcm11216530
APA StyleHe, X., Gao, R., Wu, Y., Wu, K., Sun, J., Zhang, X., Liu, L., & Chen, L. (2022). Low FT3/FT4 Ratio Is Linked to Poor Prognosis of Acute Myocardial Infarction in Euthyroid Patients with Type 2 Diabetes Mellitus. Journal of Clinical Medicine, 11(21), 6530. https://doi.org/10.3390/jcm11216530

