The Influence of Coordinative Skills on the Oral Health of Children and Adolescents in Permanent Dentition
Abstract
1. Introduction
2. Materials and Methods
2.1. Participants and Data Collection
2.2. Coordination Tests
2.3. Sociodemographic Predictors
2.4. Clinical Examinations
2.5. Statistical Analysis
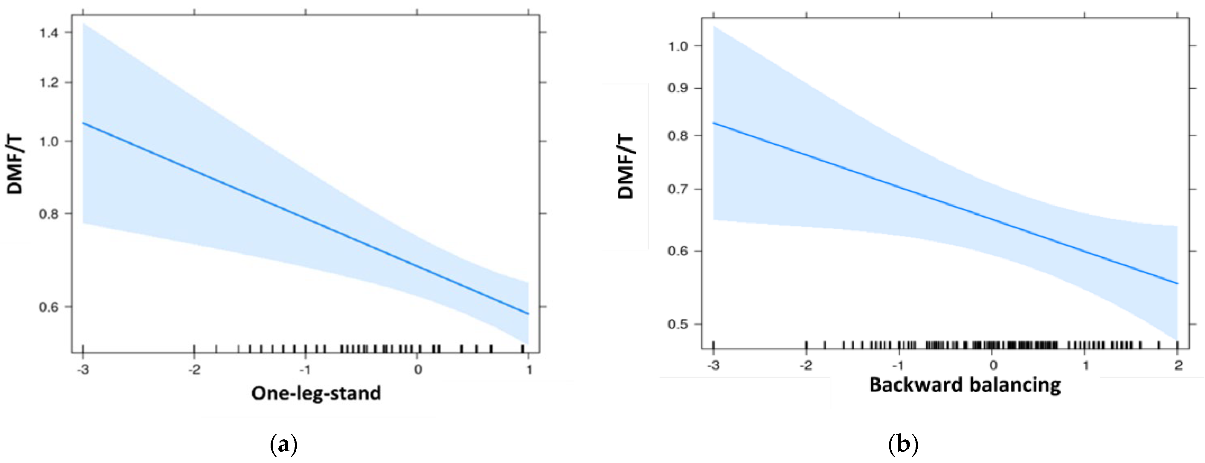
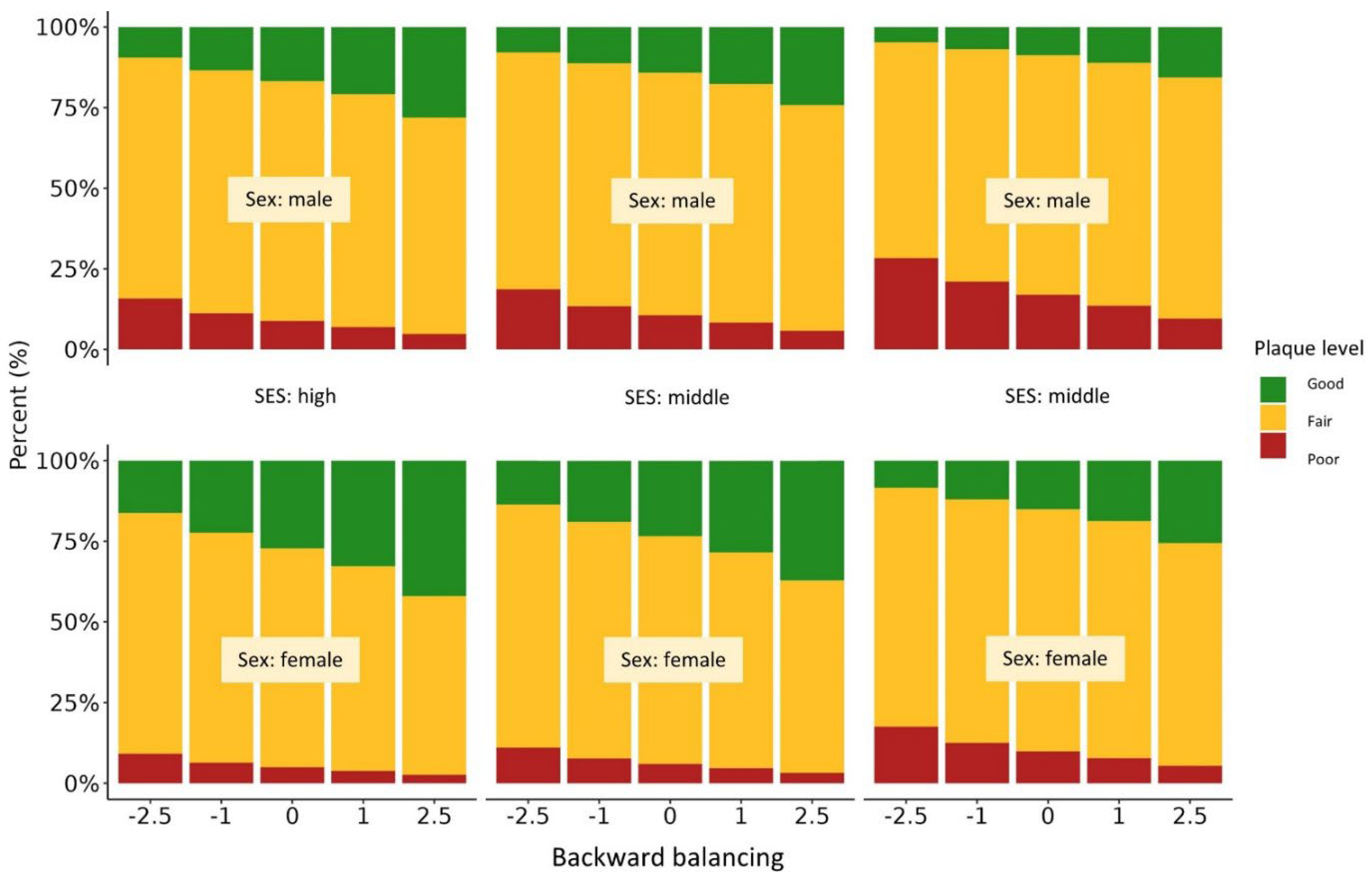
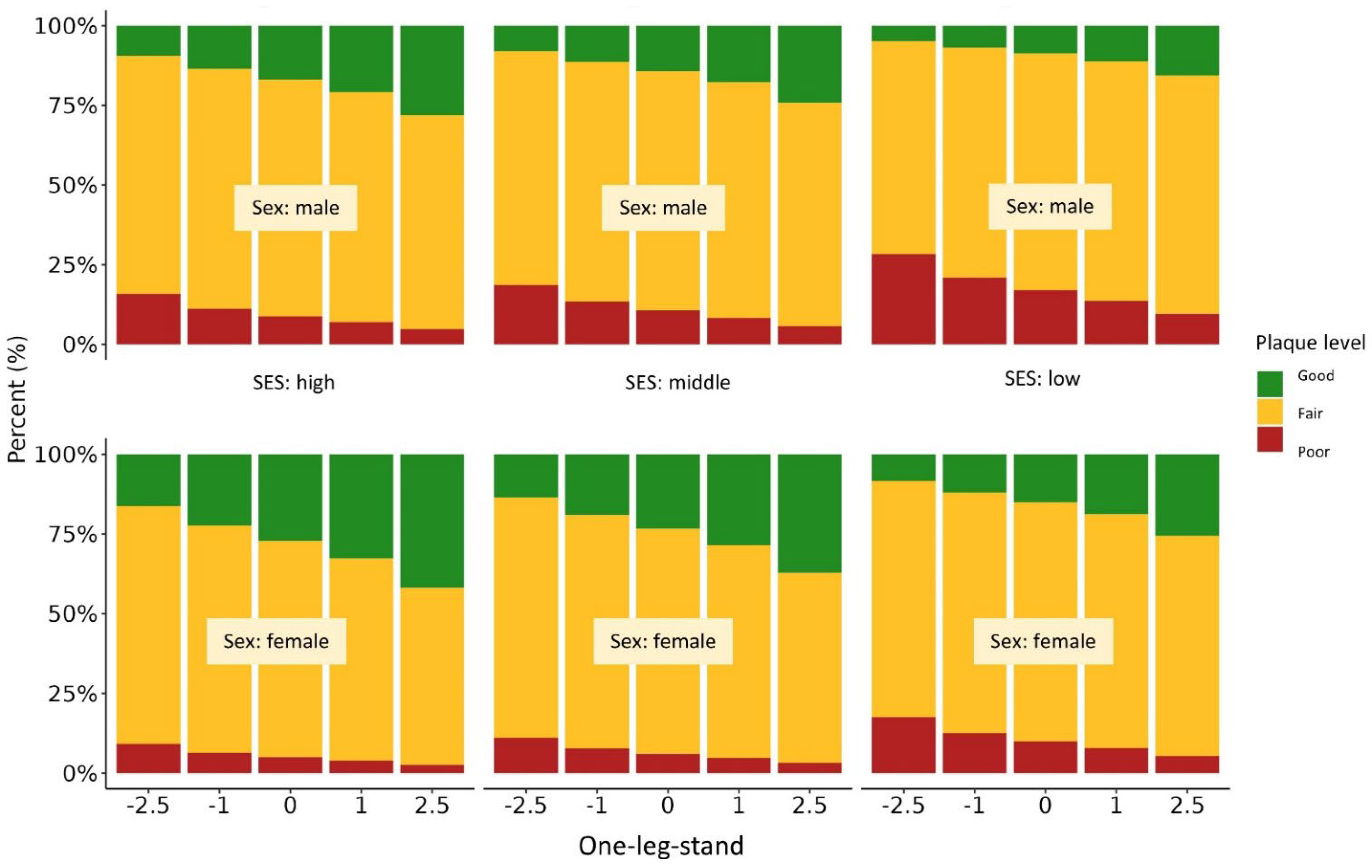
3. Results
3.1. Study Population
3.2. Multivariate Analyses
3.3. Mediation Analysis
4. Discussion
5. Conclusions
Author Contributions
Funding
Institutional Review Board Statement
Informed Consent Statement
Acknowledgments
Conflicts of Interest
References
- Müller, L.K.; Jungbauer, G.; Jungbauer, R.; Wolf, M.; Deschner, J. Biofilm and Orthodontic Therapy. In Oral Biofilms, 1st ed.; Eick, S., Ed.; Karger: Basel, Switzerland, 2020; pp. 201–213. [Google Scholar] [CrossRef]
- Thavarajah, R.; Kumar, M.; Mohandoss, A.A.; Vernon, L.T. Drilling Deeper into tooth brushing skills: Is proactive interference an under-recognized factor in oral hygiene behavior change? Curr. Oral Health Rep. 2015, 2, 123–128. [Google Scholar] [CrossRef] [PubMed][Green Version]
- Jackson, S.L.; Vann, W.F.; Kotch, J.B.; Pahel, B.T.; Lee, J.Y. Impact of poor oral health on children’s school attendance and performance. Am. J. Public Health 2011, 101, 1900–1906. [Google Scholar] [CrossRef] [PubMed]
- Benjamin, R.M. Oral health: The silent epidemic. Public Health Rep. 2010, 125, 158–159. [Google Scholar] [CrossRef]
- Qadri, G.; Alkilzy, M.; Feng, Y.-S.; Splieth, C. Overweight and dental caries: The association among German children. Int. J. Paediatr. Dent. 2015, 25, 174–182. [Google Scholar] [CrossRef] [PubMed]
- Deutsche Arbeitsgemeinschaft für Jugendzahnpflege (DAJ). Epidemiologische Begleituntersuchungen zur Gruppenprophylaxe 2016. Bonn. 2017. Available online: https://www.daj.de/fileadmin/user_upload/PDF_Downloads/Epi_2016/Epi_final_BB1801_final.pdf (accessed on 16 August 2022).
- Thomson, W.M.; Poulton, R.; Milne, B.J.; Caspi, A.; Broughton, J.R.; Ayers, K.M.S. Socioeconomic inequalities in oral health in childhood and adulthood in a birth cohort. Commun. Dent. Oral Epidemiol. 2004, 32, 345–353. [Google Scholar] [CrossRef]
- Reisine, S.T.; Psoter, W. Socioeconomic status and selected behavioral determinants as risk factors for dental caries. J. Dent. Educ. 2001, 65, 1009–1016. [Google Scholar] [CrossRef]
- Schlueter, N.; Klimek, J.; Ganss, C. Relationship between plaque score and video-monitored brushing performance after repeated instruction—A controlled, randomised clinical trial. Clin. Oral Investig. 2013, 17, 659–667. [Google Scholar] [CrossRef]
- Jong-Lenters, M.D.; L’Hoir, M.; Polak, E.; Duijster, D. Promoting parenting strategies to improve tooth brushing in children: Design of a non-randomised cluster-controlled trial. BMC Oral Health. 2019, 19, 210. [Google Scholar] [CrossRef]
- Löe, H. Oral hygiene in the prevention of caries and periodontal disease. Int. Dent. J. 2000, 50, 129–139. [Google Scholar] [CrossRef]
- Inada, E.; Saitoh, I.; Yu, Y.; Tomiyama, D.; Murakami, D.; Takemoto, Y.; Morizono, K.; Iwasaki, T.; Yamasaki, Y. Quantitative evaluation of toothbrush and arm-joint motion during tooth brushing. Clin. Oral Investig. 2015, 19, 1451–1462. [Google Scholar] [CrossRef]
- Uenoyama, A.; Inada, J. Muscle activities in the hand and arm during tooth brushing and the regulation of brushing movements by oral sensory perception. J. Osaka Dent. Univ. 1990, 24, 87–120. [Google Scholar] [PubMed]
- Kruis, I. Advies Cariëspreventie: Praktische Handleiding Voor Wie Professionele Adviezen Geeft over Preventie Mondzorg. Zoetermeer. 2011. Available online: http://www.dentagon.nl/wp-content/uploads/2012/02/Advies-Cari%C3%ABspreventie-.pdf (accessed on 20 September 2022).
- Mahmoodi, P.; Salimi, P.; Ashtiyani, R.D.; Valaii, N.; Azarshab, M.; Shafizadeh, N. Assessment of Fine Motor Skills and Tooth Brushing Skills in 5–6 Year Olds in Tehran. J. Dent. Res. 2014, 11, 176–181. [Google Scholar]
- Youcharoen, K.; Thomngam, N.; Aranya, N.; Wongphanthuset, Y.; Rungruangpattana, M.; Kaewsutha, N. Plaque Removal Efficacy of Triple-Headed Toothbrush in 4–6-Year-Old Children: A Randomized Crossover Study. J. Int. Soc. Prev. Commun. Dent. 2021, 11, 546–552. [Google Scholar] [CrossRef]
- Makuch, A.; Reschke, K. Orales Gesundheitsverhalten—Ein wichtiges Feld der Prävention und Gesundheitsförderung. In Prävention und Gesundheitsförderung: Mit 169 Abbildungen und 117 Tabellen; Tiemann, M., Mohokum, M., Eds.; Springer: Berlin/Heidelberg, Germany, 2021; pp. 561–576. [Google Scholar] [CrossRef]
- Robinson, P.G.; Deacon, S.A.; Deery, C.; Heanue, M.; Walmsley, A.D.; Worthington, H.V.; Glenny, A.-M. Manual versus powered toothbrushing for oral health. Cochrane Database Syst. Rev. 2005, 2, CD002281. [Google Scholar] [CrossRef]
- Poyato-Ferrera, M.; Segura-Egea, J.J.; Bullón-Fernández, P. Comparison of modified Bass technique with normal toothbrushing practices for efficacy in supragingival plaque removal. Int. J. Dent. Hyg. 2003, 1, 110–114. [Google Scholar] [CrossRef]
- Werner, H.; Hakeberg, M.; Dahlström, L.; Eriksson, M.; Sjögren, P.; Strandell, A.; Svanberg, T.; Svensson, L.; Wide Boman, U. Psychological Interventions for Poor Oral Health: A Systematic Review. J. Dent. Res. 2016, 95, 506–514. [Google Scholar] [CrossRef]
- Hitz Lindenmüller, I.; Lambrecht, J. Oral Care. In Topical Applications and the Mucosa: 27 Tables; Surber, C., Ed.; Karger: Basel, Switzerland, 2011; pp. 107–115. [Google Scholar] [CrossRef]
- Piek, J.P.; Baynam, G.B.; Barrett, N.C. The relationship between fine and gross motor ability, self-perceptions and self-worth in children and adolescents. Hum. Mov. Sci. 2006, 25, 65–75. [Google Scholar] [CrossRef]
- Cantell, M.H.; Smyth, M.M.; Ahonen, T.P. Clumsiness in Adolescence: Educational, Motor, and Social Outcomes of Motor Delay Detected at 5 Years. Adapt. Phys. Act. Q. 1994, 11, 115–129. [Google Scholar] [CrossRef]
- Schmidt, J.; Guder, U.; Kreuz, M.; Löffler, M.; Kiess, W.; Hirsch, C.; Ziebolz, D.; Haak, R. aMMP-8 in correlation to caries and periodontal condition in adolescents-results of the epidemiologic LIFE child study. Clin. Oral. Investig. 2018, 22, 449–460. [Google Scholar] [CrossRef]
- Poulain, T.; Vogel, M.; Sobek, C.; Hilbert, A.; Körner, A.; Kiess, W. Associations between Socio-Economic Status and Child Health: Findings of a Large German Cohort Study. Int. J. Environ. Res. Public Health 2019, 16, 677. [Google Scholar] [CrossRef]
- Quante, M.; Hesse, M.; Döhnert, M.; Fuchs, M.; Hirsch, C.; Sergeyev, E.; Casprzig, N.; Geserick, M.; Naumann, S.; Koch, C.; et al. The LIFE child study: A life course approach to disease and health. BMC Public Health 2012, 12, 1021. [Google Scholar] [CrossRef] [PubMed]
- Elger, W.; Kiess, W.; Körner, A.; Schrock, A.; Vogel, M.; Hirsch, C. Influence of overweight/obesity, socioeconomic status, and oral hygiene on caries in primary dentition. J. Investig. Clin. Dent. 2019, 10, e12394. [Google Scholar] [CrossRef] [PubMed]
- Bös, K.; Worth, A.; Opper, E.; Oberger, J.; Rohman, N.; Wagner, M. Motorik-Modul: Eine Studie zur motorischen Leistungsfähigkeit und körperlich-sportlichen Aktivität von Kindern und Jugendlichen in Deutschland. In Abschlussbericht zum Forschungsprojekt, 1st ed.; Publikationsversand der Bundesregierung: Baden-Baden, Germany, 2009. [Google Scholar]
- Wagner, M.O.; Bös, K.; Jekauc, D.; Karger, C.; Mewes, N.; Oberger, J.; Reimers, A.K.; Schlenker, L.; Worth, A.; Woll, A. Cohort profile: The Motorik-Modul Longitudinal Study: Physical fitness and physical activity as determinants of health development in German children and adolescents. Int. J. Epidemiol. 2014, 43, 1410–1416. [Google Scholar] [CrossRef] [PubMed]
- Opper, E.; Worth, A.; Wagner, M.; Bös, K. Motorik-Modul (MoMo) im Rahmen des Kinder- und Jugendgesundheitssurveys (KiGGS). Motorische Leistungsfähigkeit und körperlich-sportliche Aktivität von Kindern und Jugendlichen in Deutschland. [The module “Motorik” in the German Health Interview and Examination Survey for Children and Adolescents (KiGGS). Motor fitness and physical activity of children and young people]. Bundesgesundheitsblatt Gesundh. Gesundh. 2007, 50, 879–888. [Google Scholar] [CrossRef]
- Woll, A.; Kurth, B.-M.; Opper, E.; Worth, A.; Bös, K. The ‘Motorik-Modul’ (MoMo): Physical fitness and physical activity in German children and adolescents. Eur. J. Pediatr. 2011, 170, 1129–1142. [Google Scholar] [CrossRef] [PubMed]
- Schilling, W.; Baedke, D. Screening-Test fuer den motorischen Bereich bei der Einschulung. Motorik 1980, 3, 84–86. [Google Scholar]
- Kiphard, E.J.; Schilling, F. Körperkoordinationstest für Kinder: 2. Überarb; Testzentrale: Goettingen, Germany, 2007. [Google Scholar]
- Möller, S.; Poulain, T.; Körner, A.; Meigen, C.; Jurkutat, A.; Vogel, M.; Wessela, S.; Hiemisch, A.; Grafe, N.; Kiess, W. Motor skills in relation to body-mass index, physical activity, TV-watching, and socioeconomic status in German four-to-17-year-old children. PLoS ONE 2021, 16, e0251738. [Google Scholar] [CrossRef]
- Winkler, J.; Stolzenberg, H. Adjustierung des Sozialen-Schicht-Index für die Anwendung im Kinder- und Jugendgesundheitssurvey (KiGGS); Hochschule Wismar: Wismar, Germany, 2009. [Google Scholar]
- Greene, J.C.; Vermillion, J.R. The Simplified Oral Hygiene Index. J. Am. Dent. Assoc. 1964, 68, 7–13. [Google Scholar] [CrossRef]
- R Core Team. R: A Language and Environment for Statistical Computing; R Foundation for Statistical Computing: Vienna, Austria, 2022. [Google Scholar]
- Brant, R. Assessing Proportionality in the Proportional Odds Model for Ordinal Logistic Regression. Biometrics 1990, 46, 1171. [Google Scholar] [CrossRef]
- Tangnuntachai, N.; Smutkeeree, A.; Jirarattanasopha, V.; Leelataweewud, P. Visual pedagogy-guided toothbrushing training to enhance fine motor skills in individuals with intellectual disabilities and impaired fine motor skills. Special care in dentistry: Official publication of the American Association of Hospital Dentists, the Academy of Dentistry for the Handicapped, and the American Society for Geriatric Dentistry. Spec. Care Dent. 2021, 41, 579–587. [Google Scholar] [CrossRef]
- Diamanti, I.; Berdouses, E.D.; Kavvadia, K.; Arapostathis, K.N.; Polychronopoulou, A.; Oulis, C.J. Oral hygiene and periodontal condition of 12- and 15-year-old Greek adolescents. Socio-behavioural risk indicators, self- rated oral health and changes in 10 years. Eur. J. Paediatr. Dent. 2021, 22, 98–106. [Google Scholar] [CrossRef] [PubMed]
- Kudirkaite, I.; Lopatiene, K.; Zubiene, J.; Saldunaite, K. Age and gender influence on oral hygiene among adolescents with fixed orthodontic appliances. Stomatologija 2016, 18, 61–65. [Google Scholar] [PubMed]
- Jordan, A.R.; Micheelis, W.; Cholmakow-Bodechtel, C. (Eds.) Fünfte Deutsche Mundgesundheitsstudie (DMS V); Deutscher Zahnärzte Verlag DÄV: Köln, Germany, 2016. [Google Scholar]
- Vadiakas, G.; Oulis, C.J.; Tsinidou, K.; Mamai-Homata, E.; Polychronopoulou, A. Oral hygiene and periodontal status of 12 and 15-year-old Greek adolescents. A national pathfinder survey. Eur. Arch. Paediatr. Dent. 2012, 13, 11–20. [Google Scholar] [CrossRef] [PubMed]
- Das, U.M.; Singhal, P. Tooth brushing skills for the children aged 3–11 years. J. Indian Soc. Pedod. Prev. Dent. 2009, 27, 104–107. [Google Scholar] [CrossRef]
- Meyer-Lückel, H.; Paris, S.; Ekstrand, K.R.; Alkilzy, M.; Effenberger, S.; Lackner, C. (Eds.) Karies: Wissenschaft und Klinische Praxis; Thieme: Stuttgart, Germany, 2012. [Google Scholar]
- Reich, E.; Lussi, A.; Newbrun, E. Caries-risk assessment. Int. Dent. J. 1999, 49, 15–26. [Google Scholar] [CrossRef]
- Schwendicke, F.; Dörfer, C.E.; Schlattmann, P.; Foster Page, L.; Thomson, W.M.; Paris, S. Socioeconomic inequality and caries: A systematic review and meta-analysis. J. Dent. Res. 2015, 94, 10–18. [Google Scholar] [CrossRef]
- Lancet, T. Oral health: Prevention is key. Lancet 2009, 373, 1. [Google Scholar] [CrossRef]
- Choi, Y.Y. Relationship between orthodontic treatment and dental caries: Results from a national survey. Int. Dent. J. 2020, 70, 38–44. [Google Scholar] [CrossRef]
- Cave, V.; Hutchison, C. Does orthodontic treatment affect caries levels? Evid. Based Dent. 2020, 21, 102–103. [Google Scholar] [CrossRef]
- Walsh, L.J.; Healey, D.L. Prevention and caries risk management in teenage and orthodontic patients. Aust. Dent. J. 2019, 64 (Suppl. S1), S37–S45. [Google Scholar] [CrossRef]





| Oral Hygiene | Total | p-Value | ||
|---|---|---|---|---|
| Good | Fair/poor | |||
| Total | 24.5% (N = 244) | 75.5% (N = 752) | 100% (N = 996) | |
| Mean age (±SD) yrs. ++ | 13.05 (±2.16) | 12.63 (±2.06) | 12.73 (±2.09) | 0.007 |
| Sex % (N) * | ||||
| Male | 38.5 (94) | 52.7 (396) | 49.2 (490) | |
| Female | 61.5 (150) | 47.3 (356) | 50.8 (506) | <0.001 |
| SES % (N) * | ||||
| Medium/high | 92.2 (225) | 85.2 (641) | 86.9 (866) | |
| Low | 7.8 (19) | 14.8 (111) | 13.1 (130) | 0.005 |
| DMF/T % (N) * | ||||
| 0 | 80.7 (197) | 65.0 (489) | 68.9 (686) | |
| >0 | 19.3 (47) | 35.0 (263) | 31.1 (310) | <0.001 |
| Orthodontics % (N) * | ||||
| No | 76.2 (523) | 78.4 (243) | 76.9 (766) | |
| Yes | 24.2 (59) | 22.7 (171) | 23.1 (230) | 0.643 |
| Coordination test ~ (Mean ± SD) ++ | ||||
| Backward balancing | 0.53 (±0.88) | 0.34 (±1.05) | 0.39 (±1.01) | 0.006 |
| One-leg-stand | 0.69 (±0.70) | 0.51 (±0.81) | 0.55 (±0.79) | <0.001 |
| Jumping side-to-side | 0.24 (±1.18) | 0.29 (±1.16) | 0.28 (±1.16) | 0.533 |
| DMF/T | Total | p-Value | ||
|---|---|---|---|---|
| 0 | >0 | |||
| Total | 68.9% (N = 686) | 31.1% (N = 310) | 100% (N = 996) | |
| Mean age (±SD) yrs. ++ | 12.47 (±1.99) | 13.31 (±2.18) | 12.73 (±2.09) | <0.001 |
| Sex % (N) * | ||||
| Male | 49.7 (341) | 48.1 (149) | 49.2 (490) | |
| Female | 50.3 (345) | 51.9 (161) | 50.8 (506) | 0.631 |
| SES % (N) * | ||||
| Medium/high | 90.4 (620) | 79.4 (246) | 86.9 (866) | |
| Low | 9.6 (66) | 20.6 (64) | 13.1 (130) | <0.001 |
| Orthodontics % (N) * | ||||
| No | 76.2 (523) | 78.4 (243) | 76.9 (766) | |
| Yes | 23.8 (163) | 21.6 (67) | 23.1 (230) | 0.456 |
| Oral Hygiene % (N) * | ||||
| Good | 28.7 (197) | 15.2 (47) | 24.5 (244) | |
| Fair/Poor | 71.3 (489) | 84.8 (263) | 75.5 (752) | <0.001 |
| Coordination test ~ (Mean ± SD) ++ | ||||
| Balancing backwards | 0.45 (±0.99) | 0.25 (±1.05) | 0.39 (±1.01) | 0.005 |
| One-leg-stand | 0.60 (±0.76) | 0.45 (±0.84) | 0.55 (±0.79) | 0.009 |
| Jumping side-to-side | 0.31 (±1.15) | 0.21 (1.20) | 0.28 (±1.16) | 0.180 |
| DMF/T | Oral Hygiene * | |||||||
|---|---|---|---|---|---|---|---|---|
| Odds Ratio | 95%CI | p-Value | Odds Ratio | 95%CI | p-Value | |||
| Lowest | Highest | Lowest | Highest | |||||
| Age | 1.25–1.26 § | 1.13–1.14 § | 1.38–1.40 § | <0.001 | 0.90–0.91 § | 0.84–0.85 § | 0.97–0.98 § | 0.004–0.009 § |
| Female gender | 1.03 | 0.74 | 1.42–1.43 § | 0.855–0.878 § | 0.57 | 0.42 | 0.76–0.77 § | 0.001–0.008 § |
| Low SES | 1.65–1.86 § | 0.94–1.05 § | 2.92–3.23 § | 0.032–0.082 § | 2.18–2.58 § | 1.23–1.47 § | 3.98–4.70 § | 0.001–0.008 § |
| Orthodontics # | 1.65–1.67 § | 0.93–0.95 § | 2.86–2.91 § | 0.072–0.081 § | 0.94–0.96 § | 0.67–0.68 § | 1.34–1.37 § | 0.785–0.829 § |
| Plaque level + | ||||||||
| 2 + | 2.08–2.13 § | 1.37–1.39 § | 3.27–3.34 § | <0.001 | - | - | - | - |
| 3 + | 6.88–7.14 § | 3.44–3.58 § | 14.08–14.56 § | <0.001 | - | - | - | - |
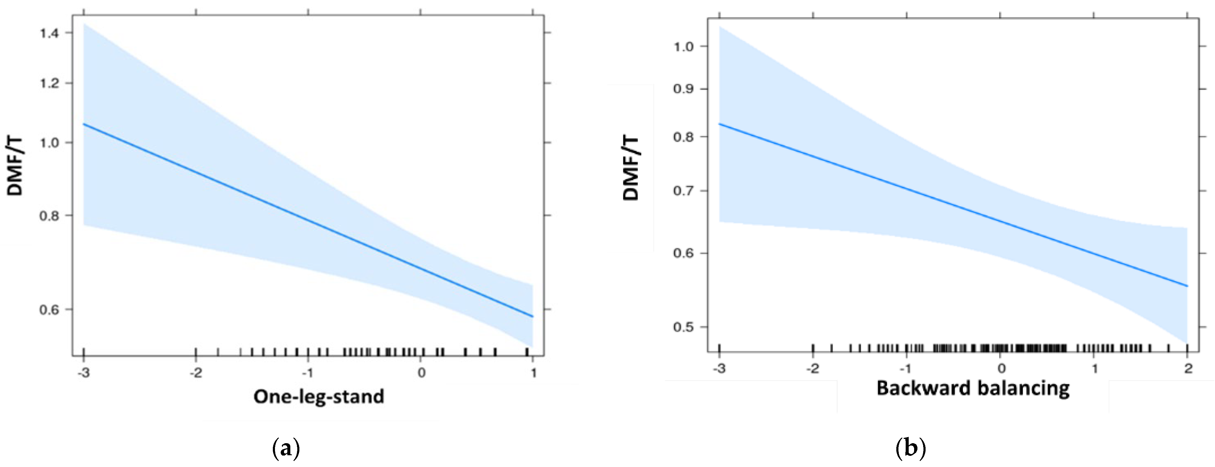
| One-leg-stand | 0.81 | 0.66 | 0.99 | 0.037 | 0.78 | 0.63 | 0.96 | 0.018 |
| Backward balancing | 0.88 | 0.75 | 1.03 | 0.111 | 0.86 | 0.73 | 0.99 | 0.051 |
| Jumping side-to-side | 0.97 | 0.85 | 1.12 | 0.709 | 1.06 | 0.93 | 1.20 | 0.387 |
| DMF/T | ||||
|---|---|---|---|---|
| Exp (β) | 95%CI | p-Value | ||
| Lowest | Highest | |||
| Age | 1.22–1.23 § | 1.16–1.17 § | 1.29–1.30 § | <0.001 |
| Female gender | 1.11–1.12 § | 0.93–0.94 § | 1.33–1.34 § | 0.216–0.245 § |
| Low SES | 2.31–2.50 § | 1.67–1.81 § | 3.21–3.46 § | <0.001 |
| Orthodontics past | 1.45–1.49 § | 1.11–1.12 § | 1.92–1.93 § | 0.004–0.006 § |
| Plaque + | ||||
| 2 + | 2.16–2.20 § | 1.64–1.67 § | 2.90–2.96 § | <0.001 |
| 3 + | 4.35–4.57 § | 3.06–3.21 § | 6.24–6.54 § | <0.001 |
| One-leg-stand | 0.82 | 0.74 | 0.91 | <0.001 |
| Backward balancing | 0.94 | 0.87 | 1.02 | 0.132 |
| Jumping side-to-side | 0.94 | 0.88 | 1.02 | 0.125 |
| Oral Hygiene * | ||||
|---|---|---|---|---|
| Odds Ratio | 95%CI | p-Value | ||
| Lowest | Highest | |||
| Age | 0.92–0.93 § | 0.86–0.87 § | 0.98–0.99 § | 0.014–0.023 § |
| Female gender | 0.53–0.54 § | 0.41–0.41 § | 0.71–0.72 § | <0.001 |
| Low SES | 2.11–2.48 § | 1.29–1.53 § | 3.44–4.03 § | <0.001–0.002 § |
| Orthodontics now | 1.09–1.19 § | 0.79–0.80 § | 1.50–1.53 § | 0.528–0.614 § |
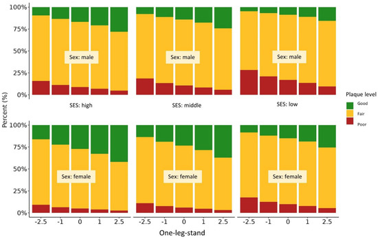
| One-leg-stand | 0.77 | 0.64 | 0.92 | 0.003 |
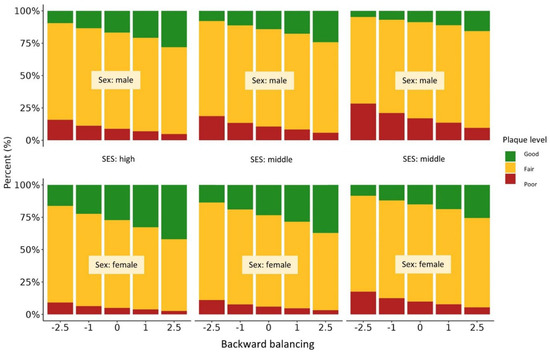
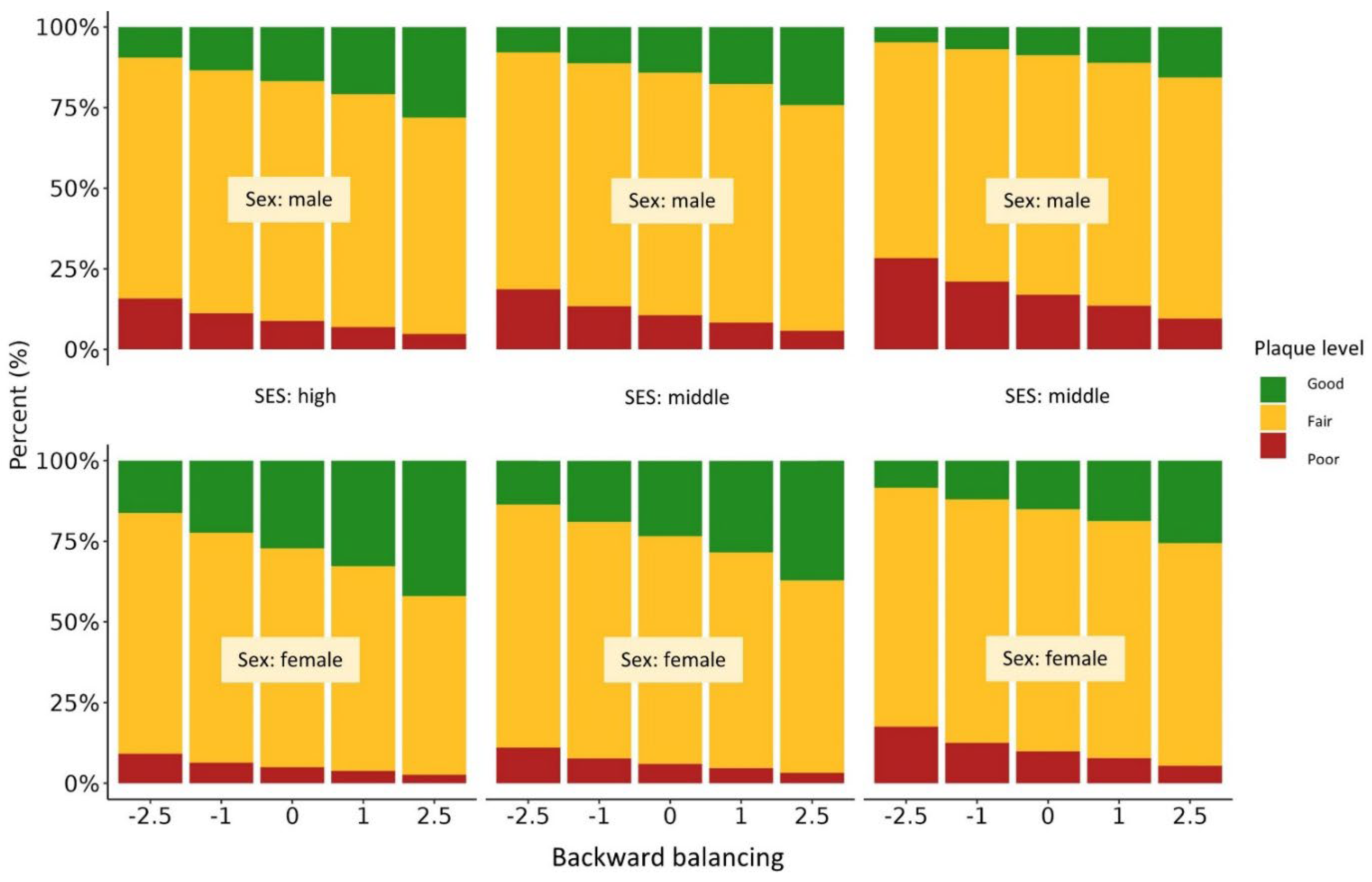
| Backward balancing | 0.86 | 0.75 | 0.99 | 0.037 |
| Jumping side-to-side | 1.00 | 0.89 | 1.13 | 0.935 |
Publisher’s Note: MDPI stays neutral with regard to jurisdictional claims in published maps and institutional affiliations. |
© 2022 by the authors. Licensee MDPI, Basel, Switzerland. This article is an open access article distributed under the terms and conditions of the Creative Commons Attribution (CC BY) license (https://creativecommons.org/licenses/by/4.0/).
Share and Cite
Kolbow, H.; Kiess, W.; Hirsch, C.; Vogel, M.; Schrock, A.; Elger, W. The Influence of Coordinative Skills on the Oral Health of Children and Adolescents in Permanent Dentition. J. Clin. Med. 2022, 11, 6472. https://doi.org/10.3390/jcm11216472
Kolbow H, Kiess W, Hirsch C, Vogel M, Schrock A, Elger W. The Influence of Coordinative Skills on the Oral Health of Children and Adolescents in Permanent Dentition. Journal of Clinical Medicine. 2022; 11(21):6472. https://doi.org/10.3390/jcm11216472
Chicago/Turabian StyleKolbow, Henrike, Wieland Kiess, Christian Hirsch, Mandy Vogel, Annett Schrock, and Wieland Elger. 2022. "The Influence of Coordinative Skills on the Oral Health of Children and Adolescents in Permanent Dentition" Journal of Clinical Medicine 11, no. 21: 6472. https://doi.org/10.3390/jcm11216472
APA StyleKolbow, H., Kiess, W., Hirsch, C., Vogel, M., Schrock, A., & Elger, W. (2022). The Influence of Coordinative Skills on the Oral Health of Children and Adolescents in Permanent Dentition. Journal of Clinical Medicine, 11(21), 6472. https://doi.org/10.3390/jcm11216472

