Neuromuscular Electrical Stimulation during Hemodialysis Suppresses Postprandial Hyperglycemia in Patients with End-Stage Diabetic Kidney Disease: A Crossover Controlled Trial
Abstract
1. Introduction
2. Materials and Methods
2.1. Participants
2.2. Study Design
2.3. Sample Size
2.4. Neuromuscular Electrical Stimulation Procedure
2.5. Blood Sample and Flash Glucose Monitoring Analysis
2.6. Muscular and Physical Functions
2.7. Experimental Protocol
2.7.1. Stage 1
2.7.2. Stage 2
2.8. Statistical Analyses
3. Results
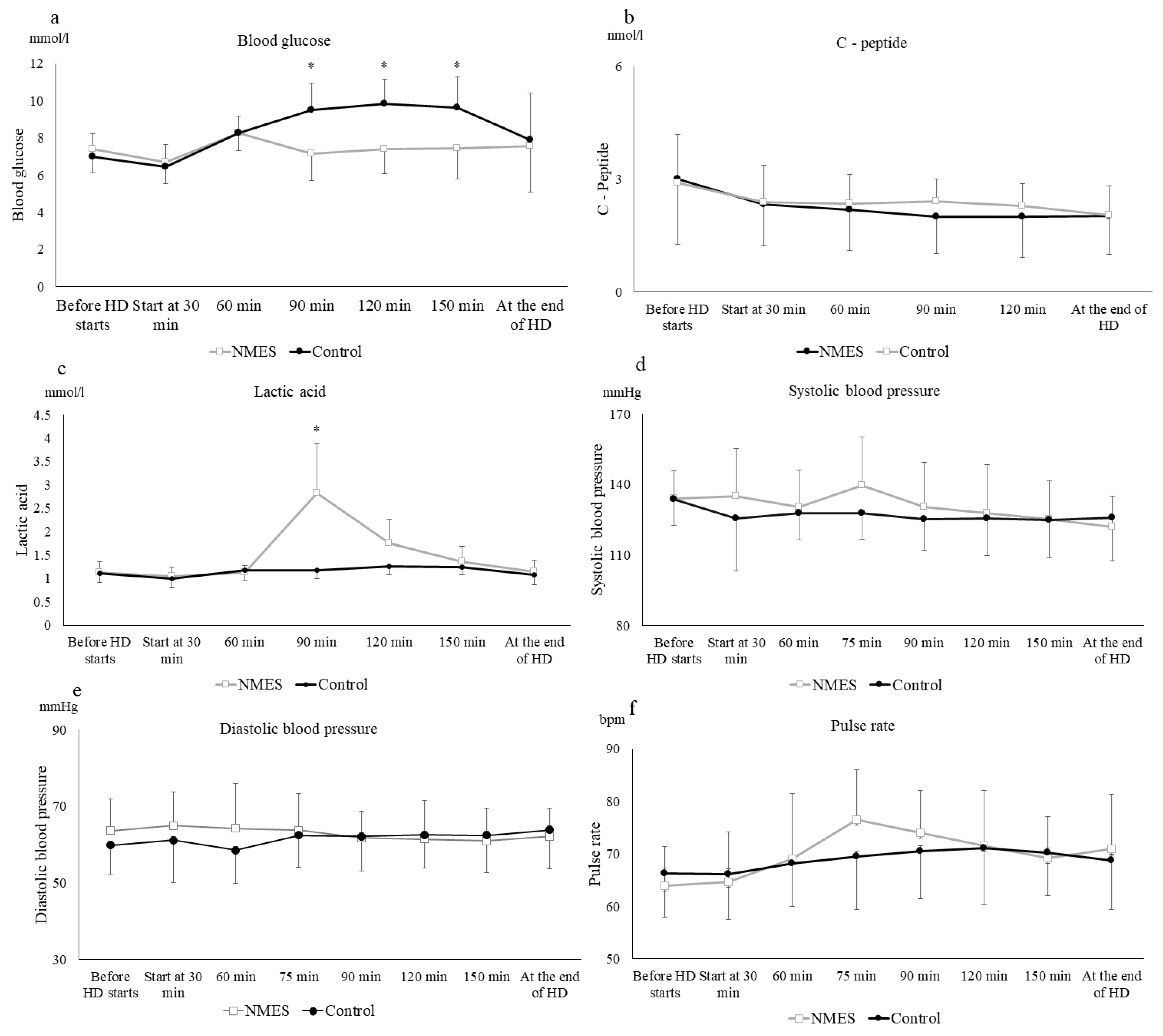
Effect of a Single Bout of NMES
4. Discussion
5. Conclusions
Supplementary Materials
Author Contributions
Funding
Institutional Review Board Statement
Informed Consent Statement
Data Availability Statement
Acknowledgments
Conflicts of Interest
References
- Couser, W.G.; Remuzzi, G.; Mendis, S.; Tonelli, M. The contribution of chronic kidney disease to the global burden of major noncommunicable diseases. Kidney Int. 2011, 80, 1258–1270. [Google Scholar] [CrossRef] [PubMed]
- Fujiwara, M.; Ando, I.; Satoh, K.; Shishido, Y.; Totsune, K.; Sato, H.; Imai, Y. Biochemical evidence of cell starvation in diabetic hemodialysis patients. PLoS ONE 2018, 13, e0204406. [Google Scholar] [CrossRef] [PubMed]
- Hayashi, A.; Shimizu, N.; Suzuki, A.; Matoba, K.; Momozono, A.; Masaki, T.; Ogawa, A.; Moriguchi, I.; Takano, K.; Kobayashi, N.; et al. Hemodialysis-related glycemic disarray proven by continuous glucose monitoring; glycemic markers and hypoglycemia. Diabetes Care 2021, 44, 1647–1656. [Google Scholar] [CrossRef] [PubMed]
- Abe, M.; Kaizu, K.; Matsumoto, K. Evaluation of the hemodialysis-induced changes in plasma glucose and insulin concentrations in diabetic patients: Comparison between the hemodialysis and non-hemodialysis days. Ther. Apher. Dial. 2007, 11, 288–295. [Google Scholar] [CrossRef] [PubMed]
- Su, G.; Mi, S.H.; Tao, H.; Li, Z.; Yang, H.X.; Zheng, H.; Zhou, Y.; Tian, L. Impact of admission glycemic variability, glucose, and glycosylated hemoglobin on major adverse cardiac events after acute myocardial infarction. Diabetes Care 2013, 36, 1026–1032. [Google Scholar] [CrossRef] [PubMed]
- Fouque, D.; Kalantar-Zadeh, K.; Kopple, J.; Cano, N.; Chauveau, P.; Cuppari, L.; Franch, H.; Guarnieri, G.; Ikizler, T.A.; Kaysen, G.; et al. A proposed nomenclature and diagnostic criteria for protein-energy wasting in acute and chronic kidney disease. Kidney Int. 2008, 73, 391–398. [Google Scholar] [CrossRef] [PubMed]
- Carrero, J.J.; Thomas, F.; Nagy, K.; Arogundade, F.; Avesani, C.M.; Chan, M.; Chmielewski, M.; Cordeiro, A.C.; Espinosa-Cuevas, A.; Fiaccadori, E.; et al. Global prevalence of protein-energy wasting in kidney disease: A meta-analysis of contemporary observational studies from the international Society of Renal Nutrition and Metabolism. J. Ren. Nutr. 2018, 28, 380–392. [Google Scholar] [CrossRef] [PubMed]
- Fujiwara, M.; Ando, I.; Takeuchi, K.; Oguma, S.; Sato, H.; Sekino, H.; Sato, K.; Imai, Y. Metabolic responses during hemodialysis determined by quantitative (1)H NMR spectroscopy. J. Pharm. Biomed. Anal. 2015, 111, 159–162. [Google Scholar] [CrossRef]
- Aquilani, R.; Iadarola, P.; Deiana, M.L.; Secci, R.; Cadeddu, M.; Bolasco, P. Differences and effects of metabolic fate of individual amino acid loss in high-efficiency hemodialysis and hemodiafiltration. J. Ren. Nutr. 2020, 30, 440–451. [Google Scholar]
- Moorthi, R.N.; Avin, K.G. Clinical relevance of sarcopenia in chronic kidney disease. Curr. Opin. Nephrol. Hypertens. 2017, 26, 219–228. [Google Scholar] [CrossRef]
- Fahal, I.H. Uraemic sarcopenia: Aetiology and implications. Nephrol. Dial. Transplant. 2014, 29, 1655–1665. [Google Scholar] [CrossRef]
- Isoyama, N.; Qureshi, A.R.; Avesani, C.M.; Lindholm, B.; Bàràny, P.; Heimbürger, O.; Cederholm, T.; Stenvinkel, P.; Carrero, J.J. Comparative associations of muscle mass and muscle strength with mortality in dialysis patients. Clin. J. Am. Soc. Nephrol. 2014, 9, 1720–1728. [Google Scholar] [CrossRef] [PubMed]
- Miyamoto, T.; Fukuda, K.; Kimura, T.; Matsubara, Y.; Tsuda, K.; Moritani, T. Effect of percutaneous electrical muscle stimulation on postprandial hyperglycemia in type 2 diabetes. Diabetes Res. Clin. Pract. 2012, 96, 306–312. [Google Scholar] [CrossRef]
- Galvan, M.J.; Sanchez, M.J.; McAinch, A.J.; Covington, J.D.; Boyle, J.B.; Bajpeyi, S. Four weeks of electrical stimulation improves glucose tolerance in a sedentary overweight or obese Hispanic population. Endocr. Connect. 2022, 11, e210533. [Google Scholar] [CrossRef]
- Wall, B.T.; Dirks, M.L.; Verdijk, L.B.; Snijders, T.; Hansen, D.; Vranckx, P.; Burd, N.A.; Dendale, P.; van Loon, L.J. Neuromuscular electrical stimulation increases muscle protein synthesis in elderly type 2 diabetic men. Am. J. Physiol. Endocrinol. Metab. 2012, 303, E614–E623. [Google Scholar] [CrossRef] [PubMed]
- Valenzuela, P.L.; Morales, J.S.; Ruilope, L.M.; de la Villa, P.; Santos-Lozano, A.; Lucia, A. Intradialytic neuromuscular electrical stimulation improves functional capacity and muscle strength in people receiving haemodialysis: A systematic review. J. Physiother. 2020, 66, 89–96. [Google Scholar] [CrossRef] [PubMed]
- Bolasco, P.; Caria, S.; Cupisti, A.; Secci, R.; Saverio Dioguardi, F. A novel amino acids oral supplementation in hemodialysis patients: A pilot study. Ren. Fail. 2011, 33, 1–5. [Google Scholar] [CrossRef] [PubMed]
- Pescatello, L.S. ACSM’s Guidelines for Exercise Testing and Prescription, 9th ed.; Wolters Kluwer/Lippincott Williams & Wilkins Health: Philadelphia, PA, USA, 2014. [Google Scholar]
- Yamada, K.; Furuya, R.; Takita, T.; Maruyama, Y.; Yamaguchi, Y.; Ohkawa, S.; Kumagai, H. Simplified nutritional screening tools for patients on maintenance hemodialysis. Am. J. Clin. Nutr. 2008, 87, 106–113. [Google Scholar] [CrossRef]
- Hill, N.R.; Oliver, N.S.; Choudhary, P.; Levy, J.C.; Hindmarsh, P.; Matthews, D.R. Normal reference range for mean tissue glucose and glycemic variability derived from continuous glucose monitoring for subjects without diabetes in different ethnic groups. Diabetes Technol. Ther. 2011, 13, 921–928. [Google Scholar] [CrossRef]
- Chen, L.K.; Woo, J.; Assantachai, P.; Auyeung, T.W.; Chou, M.Y.; Iijima, K.; Jang, H.C.; Kang, L.; Kim, M.; Kim, S.; et al. Asian Working Group for Sarcopenia: 2019 Consensus Update on Sarcopenia Diagnosis and Treatment. J. Am. Med. Dir. Assoc. 2020, 21, 300–307.e2. [Google Scholar] [CrossRef]
- Andersen, E.; Høstmark, A.T. Effect of a single bout of resistance exercise on postprandial glucose and insulin response the next day in healthy, strength-trained men. J. Strength Cond. Res. 2007, 21, 487–491. [Google Scholar] [CrossRef] [PubMed]
- Gorgey, A.S.; Graham, Z.A.; Chen, Q.; Rivers, J.; Adler, R.A.; Lesnefsky, E.J.; Cardozo, C.P. Sixteen weeks of testosterone with or without evoked resistance training on protein expression, fiber hypertrophy and mitochondrial health after spinal cord injury. J. Appl. Physiol. 2020, 128, 1487–1496. [Google Scholar] [CrossRef] [PubMed]
- Lauritzen, H.P.; Galbo, H.; Toyoda, T.; Goodyear, L.J. Kinetics of contraction-induced GLUT4 translocation in skeletal muscle fibers from living mice. Diabetes 2010, 59, 2134–2144. [Google Scholar] [CrossRef] [PubMed]
- Hamada, T.; Kimura, T.; Moritani, T. Selective fatigue of fast motor units after electrically elicited muscle contractions. J. Electromyogr. Kinesiol. 2004, 14, 531–538. [Google Scholar] [CrossRef] [PubMed]
- Miyamoto, T.; Iwakura, T.; Matsuoka, N.; Iwamoto, M.; Takenaka, M.; Akamatsu, Y.; Moritani, T. Impact of prolonged neuromuscular electrical stimulation on metabolic profile and cognition-related blood parameters in type 2 diabetes: A randomized controlled cross-over trial. Diabetes Res. Clin. Pract. 2018, 142, 37–45. [Google Scholar] [CrossRef]
- Stock, M.S.; Thompson, B.J. Echo intensity as an indicator of skeletal muscle quality: Applications, methodology, and future directions. Eur. J. Appl. Physiol. 2021, 121, 369–380. [Google Scholar] [CrossRef]
- Esteve, V.; Carneiro, J.; Moreno, F.; Fulquet, M.; Garriga, S.; Pou, M.; Duarte, V.; Saurina, A.; Tapia, I.; Ramírez de Arellano, M. The effect of neuromuscular electrical stimulation on muscle strength, functional capacity and body composition in haemodialysis patients. Nefrologia 2017, 37, 68–77. [Google Scholar] [CrossRef] [PubMed]
- Miura, M.; Hirayama, A.; Oowada, S.; Nishida, A.; Saito, C.; Yamagata, K.; Ito, O.; Hirayama, Y.; Kohzuki, M. Effects of electrical stimulation on muscle power and biochemical markers during hemodialysis in elderly patients: A pilot randomized clinical trial. Ren. Replace. Ther. 2018, 4, 33. [Google Scholar] [CrossRef]


| Parameter | n = 11 |
|---|---|
| Age (years) | 74.0 ± 5.2 |
| Male/female (n) | 7/4 |
| Duration of HD (months) | 32.9 ± 20.0 |
| BMI (kg/m²) | 22.7 ± 3.9 |
| SMI (kg/m²) | 6.9 ± 0.9/5.5 ± 0.3 |
| Glycoalbumin (%) | 18.7 ± 1.7 |
| HDL-cholesterol (mg/dL) | 10.2 ± 2.0 |
| LDL-cholesterol (mg/dL) | 15.4 ± 4.9 |
| Triglyceride (mg/dL) | 13.2 ± 4.8 |
| GNRI | 92.0 ± 4.2 |
| Sarcopenia (n) | 10 |
| Medication | |
| Insulin injection (n) | 3 |
| GLP-1 receptor agonist (n) | 2 |
| DPP-4 inhibitor (n) | 4 |
| α-GI (n) | 4 |
| Control | NMES | Repeated Measures 2-Way ANOVA | ||||||
|---|---|---|---|---|---|---|---|---|
| Pre | Post | Pre | Post | Group | Time | Interaction | ||
| F Value | p Value | |||||||
| Body composition | ||||||||
| Body weight (kg) | 58.5 ± 15.4 | 58.4 ± 15.4 | 58.5 ± 15.3 | 59.0 ± 14.9 | 0.9726 | 0.9507 | 0.0028 | 0.9543 |
| BMI (kg/m²) | 23.8 ± 4.5 | 23.8 ± 4.6 | 23.9 ± 4.5 | 24.1 ± 4.4 | 0.9481 | 0.916 | 0.0073 | 0.9373 |
| SMI (kg/m²) | 6.5 ± 1.0 | 6.5 ± 0.9 | 6.4 ± 1.0 | 6.4 ± 1.0 | 0.8368 | 0.8449 | 0.0327 | 0.9005 |
| Glycemic control | ||||||||
| Glycoalbumin (%) | 18.6 ± 1.3 | 18.4 ± 1.8 | 18.6 ± 1.7 | 17.4 ± 1.4 | 0.1297 | 0.1297 | 1.9478 | 0.1568 |
| Lipids | ||||||||
| HDL-cholesterol (mmol/L) | 1.06 ± 0.26 | 1.15 ± 0.27 | 1.06 ± 0.20 | 1.13 ± 0.30 | 0.3778 | 0.8755 | 0.2844 | 0.8755 |
| LDL-cholesterol (mmol/L) | 1.52 ± 0.48 | 1.45 ± 0.41 | 1.54 ± 0.41 | 1.50 ± 0.42 | 0.7120 | 0.7596 | 0.0940 | 0.8246 |
| Triacylglcerol (mmol/L) | 1.30 ± 0.51 | 1.12 ± 0.47 | 1.26 ± 0.33 | 1.10 ± 0.42 | 0.9279 | 0.2826 | 0.4118 | 0.8707 |
| Nutritional status indicators | ||||||||
| GNRI | 93.1 ± 4.4 | 94.6 ± 2.9 | 93.3 ± 2.9 | 94.0 ± 3.6 | 0.3984 | 0.3871 | 0.5318 | 0.7267 |
| FGM glucose over 24 h | ||||||||
| Mean (mmol/dL) | 6.9 ± 1.6 | 7.0 ± 1.8 | 6.0 ± 1.3 | 6.4 ± 1.2 | 0.2447 | 0.5692 | 0.6961 | 0.5692 |
| MAGE (mmol/dL) | 4.0 ± 1.1 | 5.0 ± 2.2 | 4.2 ± 1.0 | 4.6 ± 1.8 | 0.2225 | 0.8747 | 0.6044 | 0.6437 |
| Oxidative stress | ||||||||
| d-ROMs (U. CARR) | 354.2 ± 24.4 | 350.3 ± 17.9 | 342.7 ± 24.5 | 326.8 ± 17.9 | 0.2040 | 0.288 | 2.5423 | 0.4361 |
| BAP (μmmol/L) | 2647.2 ± 313.2 | 2818.2 ± 200.7 | 2787.6 ± 376.5 | 2761.2 ± 234.9 | 0.4858 | 0.6870 | 0.5313 | 0.3433 |
| Muscle function | ||||||||
| Echo intensity in the rectus femoris | 78.8 ± 11.3 | 80.4 ± 10.7 | 84.1 ± 11.3 | 71.2 ± 11.9 | 0.1732 | 0.6335 | 1.8301 | 0.0798 |
| Quadriceps muscle thickness (cm) | 2.1 ± 0.4 | 2.0 ± 0.3 | 2.1 ± 0.5 | 2.1 ± 0.6 | 0.8884 | 0.9055 | 0.0617 | 0.7007 |
| Grip power (kg) | 20.5 ± 4.8 | 19.8 ± 5.8 | 19.7 ± 4.8 | 21.1 ± 6.2 | 0.9093 | 0.8426 | 0.1157 | 0.5921 |
| Weight bearing index | 0.33 ± 0.11 | 0.31 ± 0.0.8 | 0.30 ± 0.10 | 0.34 ± 0.10 | 0.9430 | 0.5956 | 0.3385 | 0.4026 |
| Physical function | ||||||||
| SPPB (point) | 9.1 ± 3.3 | 9.0 ± 3.5 | 8.6 ± 3.5 | 8.8 ± 3.5 | 0.8015 | 0.9599 | 0.0301 | 0.8801 |
| TUG (s) | 16.0 ± 18.9 | 17.0 ± 18.7 | 16.7 ± 18.0 | 13.3 ± 10.1 | 0.8060 | 0.8404 | 0.0792 | 0.7164 |
| 6WMT (m) | 257.7 ± 148 | 257.9 ± 145.9 | 261.9 ± 148 | 277.4 ± 150.0 | 0.8225 | 0.8824 | 0.0316 | 0.8851 |
| Sarcopenia (n) | 6 (75%) | 7 (88%) | 7 (88%) | 6 (75%) | ||||
Publisher’s Note: MDPI stays neutral with regard to jurisdictional claims in published maps and institutional affiliations. |
© 2022 by the authors. Licensee MDPI, Basel, Switzerland. This article is an open access article distributed under the terms and conditions of the Creative Commons Attribution (CC BY) license (https://creativecommons.org/licenses/by/4.0/).
Share and Cite
Tsurumi, T.; Tamura, Y.; Nakatani, Y.; Furuya, T.; Tamiya, H.; Terashima, M.; Tomoe, T.; Ueno, A.; Shimoyama, M.; Yasu, T. Neuromuscular Electrical Stimulation during Hemodialysis Suppresses Postprandial Hyperglycemia in Patients with End-Stage Diabetic Kidney Disease: A Crossover Controlled Trial. J. Clin. Med. 2022, 11, 6239. https://doi.org/10.3390/jcm11216239
Tsurumi T, Tamura Y, Nakatani Y, Furuya T, Tamiya H, Terashima M, Tomoe T, Ueno A, Shimoyama M, Yasu T. Neuromuscular Electrical Stimulation during Hemodialysis Suppresses Postprandial Hyperglycemia in Patients with End-Stage Diabetic Kidney Disease: A Crossover Controlled Trial. Journal of Clinical Medicine. 2022; 11(21):6239. https://doi.org/10.3390/jcm11216239
Chicago/Turabian StyleTsurumi, Tomoki, Yuma Tamura, Yuki Nakatani, Tomoki Furuya, Hajime Tamiya, Masato Terashima, Takashi Tomoe, Asuka Ueno, Masahiro Shimoyama, and Takanori Yasu. 2022. "Neuromuscular Electrical Stimulation during Hemodialysis Suppresses Postprandial Hyperglycemia in Patients with End-Stage Diabetic Kidney Disease: A Crossover Controlled Trial" Journal of Clinical Medicine 11, no. 21: 6239. https://doi.org/10.3390/jcm11216239
APA StyleTsurumi, T., Tamura, Y., Nakatani, Y., Furuya, T., Tamiya, H., Terashima, M., Tomoe, T., Ueno, A., Shimoyama, M., & Yasu, T. (2022). Neuromuscular Electrical Stimulation during Hemodialysis Suppresses Postprandial Hyperglycemia in Patients with End-Stage Diabetic Kidney Disease: A Crossover Controlled Trial. Journal of Clinical Medicine, 11(21), 6239. https://doi.org/10.3390/jcm11216239

