Declining Course of Humoral Immune Response in Initially Responding Kidney Transplant Recipients after Repeated SARS-CoV-2 Vaccination
Abstract
:1. Introduction
2. Materials and Methods
- An anti-SARS-CoV-2 enzyme-linked immunosorbent assays (ELISA) for the detection of IgG antibodies against the S1 domain of the SARS-CoV-2 spike (S) protein in serum according to the instructions of the manufacturer (Anti-SARS-CoV-2-ELISA (IgG), EUROIMMUN Medizinische Labordiagnostika AG, Lübeck, Germany) [20]. Processing and measurement were done using the fully automated ‘Immunomat’ (Institut Virion\Serion GmbH, Würzburg, Germany). Results were determined by comparing the obtained signals of the patient samples with the previously obtained cut-off value of the calibrator. As suggested by the manufacturer, we considered samples with a cut-off index ≥ 1.1 positive for IgG and IgA.
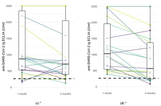
- An electrochemiluminescence immunoassay (ECLIA, Elecsys, Anti-SARS-CoV-2, Roche Diagnostics GmbH, Mannheim, Germany) for the detection of human immunoglobulins, including IgG, IgA, and IgM against the spike receptor binding (RBD) domain protein. Results were determined by comparing the obtained signals of the patient samples with the previously obtained cut-off value of the calibrator. As suggested by the manufacturer and as recommended by Caillard et al [18], we considered samples with a cut-off index ≥ 264 U/mL positive. The standard maximum level determined was >2500 U/mL. With regard to the following analyses, we defined the maximum measurement of >2500 U/mL as equal to 2500 U/mL and removed measurements that were only performed to a maximum dilution of >250 U/mL from the dataset.
3. Results
3.1. Course of Anti-SARS-CoV-2 Ig after SARS-CoV-2 Vaccination in Paired Samples
3.2. Correlation of Anti-SARS-CoV-2 IgG ELISA and Ig ECLIA
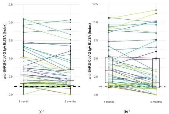
3.3. Course of Anti-SARS-CoV-2 IgA after SARS-CoV-2 Vaccination in Paired Samples
3.4. Correlation of Anti-SARS-CoV-2 IgG and IgA
4. Discussion
5. Conclusions
Supplementary Materials
Author Contributions
Funding
Institutional Review Board Statement
Informed Consent Statement
Data Availability Statement
Acknowledgments
Conflicts of Interest
References
- Andrews, N.; Tessier, E.; Stowe, J.; Gower, C.; Kirsebom, F.; Simmons, R.; Gallagher, E.; Thelwall, S.; Groves, N.; Dabrera, G.; et al. Duration of Protection against Mild and Severe Disease by COVID-19 Vaccines. N. Engl. J. Med. 2022, 386, 340–350. [Google Scholar] [CrossRef] [PubMed]
- Gilbert, P.B.; Montefiori, D.C.; McDermott, A.B.; Fong, Y.; Benkeser, D.; Deng, W.; Zhou, H.; Houchens, C.R.; Martins, K.; Jayashankar, L.; et al. Immune correlates analysis of the mRNA-1273 COVID-19 vaccine efficacy clinical trial. Science 2022, 375, 43–50. [Google Scholar] [CrossRef] [PubMed]
- Feng, S.; Phillips, D.J.; White, T.; Sayal, H.; Aley, P.K.; Bibi, S.; Dold, C.; Fuskova, M.; Gilbert, S.C.; Hirsch, I.; et al. Correlates of protection against symptomatic and asymptomatic SARS-CoV-2 infection. Nat. Med. 2021, 27, 2032–2040. Available online: https://www.nature.com/articles/s41591-021-01540-1 (accessed on 18 February 2022). [CrossRef] [PubMed]
- Khoury, D.S.; Cromer, D.; Reynaldi, A.; Schlub, T.E.; Wheatley, A.K.; Juno, J.A.; Subbarao, K.; Kent, S.J.; Triccas, J.A.; Davenport, M.P. Neutralizing antibody levels are highly predictive of immune protection from symptomatic SARS-CoV-2 infection. Nat. Med. 2021, 27, 1205–1211. Available online: https://www.nature.com/articles/s41591-021-01377-8 (accessed on 18 February 2022). [CrossRef] [PubMed]
- Gruell, H.; Vanshylla, K.; Tober-Lau, P.; Hillus, D.; Schommers, P.; Lehmann, C.; Kurth, F.; Sander, L.E.; Klein, F. mRNA booster immunization elicits potent neutralizing serum activity against the SARS-CoV-2 Omicron variant. Nat. Med. 2022, 28, 477–480. Available online: https://www.nature.com/articles/s41591-021-01676-0 (accessed on 1 March 2022).
- Phadke, V.K.; Scanlon, N.; Jordan, S.C.; Rouphael, N.G. Immune Responses to SARS-CoV-2 in Solid Organ Transplant Recipients. Curr. Transplant. Rep. 2021, 8, 127–139. Available online: https://pubmed.ncbi.nlm.nih.gov/33688459/ (accessed on 18 February 2022). [CrossRef]
- Steiger, S.; Rossaint, J.; Zarbock, A.; Anders, H.J. Secondary Immunodeficiency Related to Kidney Disease (SIDKD)—Definition, Unmet Need, and Mechanisms. J. Am. Soc. Nephrol. 2022, 33, 259–278. Available online: https://jasn.asnjournals.org/content/33/2/259 (accessed on 3 March 2022). [CrossRef]
- Boyarsky, B.J.; Werbel, W.A.; Avery, R.K.; Tobian, A.A.; Massie, A.B.; Segev, D.L.; Garonzik-Wang, J.M. Antibody Response to 2-Dose SARS-CoV-2 mRNA Vaccine Series in Solid Organ Transplant Recipients. JAMA 2021, 325, 2204–2206. Available online: https://jamanetwork.com/journals/jama/fullarticle/2779852 (accessed on 18 February 2022). [CrossRef]
- Schrezenmeier, E.; Rincon-Arevalo, H.; Stefanski, A.L.; Potekhin, A.; Staub-Hohenbleicher, H.; Choi, M.; Bachmann, F.; Proβ, V.; Hammett, C.; Schrezenmeier, H.; et al. B and t cell responses after a third dose of SARS-CoV-2 vaccine in kidney transplant recipients. J. Am. Soc. Nephrol. 2021, 32, 3027–3033. Available online: https://jasn.asnjournals.org/content/32/12/3027 (accessed on 18 February 2022). [CrossRef]
- Stumpf, J.; Siepmann, T.; Lindner, T.; Karger, C.; Schwöbel, J.; Anders, L.; Faulhaber-Walter, R.; Schewe, J.; Martin, H.; Schirutschke, H.; et al. Humoral and cellular immunity to SARS-CoV-2 vaccination in renal transplant versus dialysis patients: A prospective, multicenter observational study using mRNA-1273 or BNT162b2 mRNA vaccine. Lancet Reg. Health-Eur. 2021, 9, 100178. [Google Scholar] [CrossRef]
- Fujieda, K.; Tanaka, A.; Kikuchi, R.; Takai, N.; Saito, S.; Yasuda, Y.; Fujita, T.; Kato, M.; Furuhashi, K.; Maruyama, S. Antibody response to double SARS-CoV-2 mRNA vaccination in Japanese kidney transplant recipients. Sci. Rep. 2022, 12, 6850. Available online: https://www.nature.com/articles/s41598-022-10510-7 (accessed on 1 June 2022). [CrossRef] [PubMed]
- Osmanodja, B.; Ronicke, S.; Budde, K.; Jens, A.; Hammett, C.; Koch, N.; Seelow, E.; Waiser, J.; Zukunft, B.; Bachmann, F.; et al. Serological Response to Three, Four and Five Doses of SARS-CoV-2 Vaccine in Kidney Transplant Recipients. J. Clin. Med. 2022, 11, 2565. [Google Scholar] [CrossRef] [PubMed]
- Reindl-Schwaighofer, R.; Heinzel, A.; Mayrdorfer, M.; Jabbour, R.; Hofbauer, T.M.; Merrelaar, A.; Eder, M.; Regele, F.; Doberer, K.; Spechtl, P.; et al. Comparison of SARS-CoV-2 Antibody Response 4 Weeks After Homologous vs Heterologous Third Vaccine Dose in Kidney Transplant Recipients: A Randomized Clinical Trial. JAMA Intern. Med. 2022, 182, 165–171. Available online: https://jamanetwork.com/journals/jamainternalmedicine/fullarticle/2787200 (accessed on 1 June 2022). [CrossRef] [PubMed]
- Reischig, T.; Kacer, M.; Vlas, T.; Drenko, P.; Kielberger, L.; Machova, J.; Topolcan, O.; Kucera, R.; Kormunda, S. Insufficient response to mRNA SARS-CoV-2 vaccine and high incidence of severe COVID-19 in kidney transplant recipients during pandemic. Am. J. Transplant. 2022, 22, 801–812. [Google Scholar] [CrossRef] [PubMed]
- Osmanodja, B.; Mayrdorfer, M.; Halleck, F.; Choi, M.; Budde, K. Undoubtedly, kidney transplant recipients have a higher mortality due to COVID-19 disease compared to the general population. Transpl. Int. 2021, 34, 769–771. [Google Scholar] [CrossRef]
- Kamar, N.; Abravanel, F.; Marion, O.; Couat, C.; Izopet, J.; Del Bello, A. Three Doses of an mRNA COVID-19 Vaccine in Solid-Organ Transplant Recipients. N. Engl. J. Med. 2021, 385, 661–662. [Google Scholar] [CrossRef]
- Schrezenmeier, E.; Rincon-Arevalo, H.; Jens, A.; Stefanski, A.L.; Hammett, C.; Osmanodja, B.; Koch, N.; Zukunft, B.; Beck, J.; Oellerich, M.; et al. Temporary hold of mycophenolate boosts SARS-CoV-2 vaccination-specific humoral and cellular immunity in kidney transplant recipients. medRxiv 2022. [CrossRef]
- Caillard, S.; Thaunat, O. COVID-19 vaccination in kidney transplant recipients. Nat. Rev. Nephrol. 2021, 17, 785–787. Available online: https://www.nature.com/articles/s41581-021-00491-7 (accessed on 18 February 2022). [CrossRef]
- Stumpf, J.; Schwöbel, J.; Lindner, T.; Anders, L.; Siepmann, T.; Karger, C.; Hüther, J.; Martin, H.; Müller, P.; Faulhaber-Walter, R.; et al. Risk of strong antibody decline in dialysis and transplant patients after SARS-CoV-2mRNA vaccination: Six months data from the observational Dia-Vacc study. Lancet Reg. Health–Eur. 2022, 17, 100371. Available online: http://www.thelancet.com/article/S2666776222000643/fulltext (accessed on 18 February 2022). [CrossRef]
- Jahrsdörfer, B.; Kroschel, J.; Ludwig, C.; Corman, V.M.; Schwarz, T.; Körper, S.; Rojewski, M.; Lotfi, R.; Weinstock, C.; Drosten, C.; et al. Independent Side-by-Side Validation and Comparison of 4 Serological Platforms for SARS-CoV-2 Antibody Testing. J. Infect. Dis. 2021, 223, 796–801. Available online: https://academic.oup.com/jid/article/223/5/796/5926414 (accessed on 18 February 2022). [CrossRef]
- Kantauskaite, M.; Mueller, L.; Hillebrandt, J.; Lamberti, J.L.; Fischer, S.; Kolb, T.; Ivens, K.; Koch, M.; Andree, M.; Lübke, N.; et al. Immune response to third SARS-CoV-2 vaccination in seronegative kidney transplant recipients: Possible improvement by mycophenolate mofetil reduction. medRxiv 2022. [CrossRef]
- Doria-Rose, N.; Suthar, M.S.; Makowski, M.; O’Connell, S.; McDermott, A.B.; Flach, B.; Ledgerwood, J.E.; Mascola, J.R.; Graham, B.S.; Lin, B.C.; et al. Antibody Persistence through 6 Months after the Second Dose of mRNA-1273 Vaccine for Covid-19. N. Engl. J. Med. 2021, 384, 2259–2261. [Google Scholar] [CrossRef] [PubMed]
- Tober-Lau, P.; Schwarz, T.; Vanshylla, K.; Hillus, D.; Gruell, H.; Suttorp, N.; Landgraf, I.; Kappert, K.; Seybold, J.; Drosten, C.; et al. Long-term immunogenicity of BNT162b2 vaccination in older people and younger health-care workers. Lancet Respir. Med. 2021, 9, e104–e105. [Google Scholar] [CrossRef]
- Weigert, A.; Bergman, M.-L.; Gonçalves, L.A.; Godinho, I.; Duarte, N.; Abrantes, R.; Borges, P.; Brennand, A.; Malheiro, V.; Matoso, P.; et al. Longitudinal Analysis of Antibody Responses to the mRNA BNT162b2 Vaccine in Patients Undergoing Maintenance Hemodialysis: A 6-Month Follow-Up. Front. Med. 2021, 8, 2623. [Google Scholar] [CrossRef]
- Sterlin, D.; Mathian, A.; Miyara, M.; Mohr, A.; Anna, F.; Claër, L.; Quentric, P.; Fadlallah, J.; Devilliers, H.; Ghillani, P.; et al. IgA dominates the early neutralizing antibody response to SARS-CoV-2. Sci. Transl. Med. 2021, 13, 2223. [Google Scholar] [CrossRef]
- Sheikh-Mohamed, S.; Isho, B.; Chao, G.Y.; Zuo, M.; Cohen, C.; Lustig, Y.; Nahass, G.R.; Salomon-Shulman, R.E.; Blacker, G.; Fazel-Zarandi, M.; et al. Systemic and mucosal IgA responses are variably induced in response to SARS-CoV-2 mRNA vaccination and are associated with protection against subsequent infection. Mucosal. Immunol. 2022. [CrossRef]







| Patient Characteristics | |
| Total patients | 644 |
| Female/male patients | 237/407 (36.8%/63.2%) |
| Median age in years (IQR) | 59.1 (48.4–67.8) |
| Median transplant age in years (IQR) | 8.2 (3.1–13.7) |
| Diabetes | 134 (20.8%) |
| Body mass index kg/m2 (mean) | 25.4 |
| Number of immunosuppressive drugs (mean) | 2.60 |
| Tacrolimus | 460 (71.4%) |
| Cyclosporine A | 112 (17.4%) |
| Mycophenolic acid | 575 (89.3%) |
| Steroids | 415 (64.4%) |
| Belatacept | 52 (8.1%) |
| Azathioprin | 4 (0.6%) |
| mTORi * | 7 (1.1%) |
| low positive antibodies at baseline ** | 70 (7.6%) |
| Vaccination Characteristics | |
| Total vaccinations | 925 |
| Basic immunizations | 48 (5.2%) |
| Third vaccinations | 586 (63.4%) |
| Fourth vaccinations | 254 (27.5%) |
| Fifth vaccinations | 37 (4.0%) |
| BNT162b2 *** | 571 (61.7%) |
| mRNA-1273 *** | 159 (17.2%) |
| ChAdOx1-S *** | 159 (17.2%) |
| Ad26.COV2.S *** | 36 (3.9%) |
| Assay | 1 Month | 2 Months | 4 Months |
|---|---|---|---|
| Anti-SARS-CoV-2 IgG ELISA | |||
| Number of samples | 228 | 134 | 112 |
| Median time after vaccination, days (IQR) | 31 (28–35) | 57 (48–70) | 116 (98–144) |
| Mean IgG level, index (±sd) | 4.26 (±2.25) | 3.65 (±2.15) | 3.66 (±2.21) |
| Anti-SARS-CoV-2 Ig ECLIA | |||
| Number of samples | 119 | 75 | 89 |
| Median time after vaccination, days (IQR) | 31 (28–35) | 61 (52–71) | 123 (99–147) |
| Mean Ig level, U/mL (±sd) | 1548 (±881) | 1202 (±889) | 1145 (±818) |
| Anti-SARS-CoV-2 IgA ELISA | |||
| Number of samples | 218 | 109 | 91 |
| Median time after vaccination, days (IQR) | 31 (28–35) | 60 (50–71) | 112 (99–138) |
| Mean IgA level, index (±sd) | 3.87 (±2.72) | 3.34 (±2.85) | 3.21 (±3.09) |
| Patient Characteristics | Increasing Ig Level | Decreasing Ig Level | p-Value |
|---|---|---|---|
| Number of patients | 22 | 47 | - |
| Female/male patients | 15/7 (68%/32%) | 26/21 (55%/45%) | - |
| Median age in years (IQR) | 41.1 (33.3–54.4) | 60.2 (49.5–71.1) | <0.001 * |
| Median transplant age in years (IQR) | 5.7 (3.7–8.5) | 7.0 (3.4–11.2) | 0.15 |
| Diabetes | 3 (13.6%) | 11 (23.4%) | 0.32 |
| Body mass index (mean) | 24.5 | 25.5 | 0.54 |
| Number of immunosuppressive drugs (mean) | 2.5 | 2.2 | 0.059 |
| Tacrolimus | 17 (77.3%) | 35 (74.5%) | 0.80 |
| Cyclosporine A | 2 (9.1%) | 9 (19.1%) | 0.24 |
| Mycophenolic acid | 21 (95.5%) | 21 (44.6%) | <0.001 * |
| Steroids | 11 (50.0%) | 37 (78.7%) | 0.027 * |
| Belatacept | 2 (9.1%) | 2 (4.2%) | 0.49 |
| Assay | IgG ELISA | |||
|---|---|---|---|---|
| Positive | Negative | Total | ||
| Ig ECLIA | positive | 260 | 2 | 262 |
| negative | 97 | 392 | 489 | |
| total | 357 | 394 | 751 | |
| Assay | IgG ELISA | |||
|---|---|---|---|---|
| Positive | Negative | Total | ||
| IgA ELISA | positive | 298 | 96 | 394 |
| negative | 174 | 605 | 779 | |
| total | 472 | 701 | 1173 | |
Publisher’s Note: MDPI stays neutral with regard to jurisdictional claims in published maps and institutional affiliations. |
© 2022 by the authors. Licensee MDPI, Basel, Switzerland. This article is an open access article distributed under the terms and conditions of the Creative Commons Attribution (CC BY) license (https://creativecommons.org/licenses/by/4.0/).
Share and Cite
Ronicke, S.; Osmanodja, B.; Budde, K.; Jens, A.; Hammett, C.; Koch, N.; Zukunft, B.; Bachmann, F.; Choi, M.; Weber, U.; et al. Declining Course of Humoral Immune Response in Initially Responding Kidney Transplant Recipients after Repeated SARS-CoV-2 Vaccination. J. Clin. Med. 2022, 11, 3291. https://doi.org/10.3390/jcm11123291
Ronicke S, Osmanodja B, Budde K, Jens A, Hammett C, Koch N, Zukunft B, Bachmann F, Choi M, Weber U, et al. Declining Course of Humoral Immune Response in Initially Responding Kidney Transplant Recipients after Repeated SARS-CoV-2 Vaccination. Journal of Clinical Medicine. 2022; 11(12):3291. https://doi.org/10.3390/jcm11123291
Chicago/Turabian StyleRonicke, Simon, Bilgin Osmanodja, Klemens Budde, Annika Jens, Charlotte Hammett, Nadine Koch, Bianca Zukunft, Friederike Bachmann, Mira Choi, Ulrike Weber, and et al. 2022. "Declining Course of Humoral Immune Response in Initially Responding Kidney Transplant Recipients after Repeated SARS-CoV-2 Vaccination" Journal of Clinical Medicine 11, no. 12: 3291. https://doi.org/10.3390/jcm11123291
APA StyleRonicke, S., Osmanodja, B., Budde, K., Jens, A., Hammett, C., Koch, N., Zukunft, B., Bachmann, F., Choi, M., Weber, U., Eberspächer, B., Hofmann, J., Grunow, F., Mikhailov, M., Halleck, F., & Schrezenmeier, E. (2022). Declining Course of Humoral Immune Response in Initially Responding Kidney Transplant Recipients after Repeated SARS-CoV-2 Vaccination. Journal of Clinical Medicine, 11(12), 3291. https://doi.org/10.3390/jcm11123291

