Early Cellular and Humoral Responses Developed in Oncohematological Patients after Vaccination with One Dose against COVID-19
Abstract
:1. Introduction
2. Materials and Methods
2.1. Study Populations
2.2. Samples Processing and Materials
2.3. Phenotyping of B Lymphocytes
2.4. SARS-CoV-2 Serology
2.5. Pseudotyped SARS-CoV-2 Neutralization Assays
2.6. Antibody-Dependent Cellular Cytotoxicity Assay
2.7. Direct Cellular Cytotoxicity Assay
2.8. Statistical Analysis
3. Results
3.1. Patients’ Cohorts
3.2. Early Serological Response after One Dose of SARS-CoV-2 Vaccine
3.3. Early Changes in B Cell Subpopulations after One Dose of SARS-CoV-2 Vaccine
3.4. Impaired Antibody-Dependent Cellular Cytotoxicity in PBMCs from Individuals with OHD
3.5. Viral Neutralization and Direct Cellular Cytotoxicity against Cells Infected with Pseudotyped SARS-CoV-2
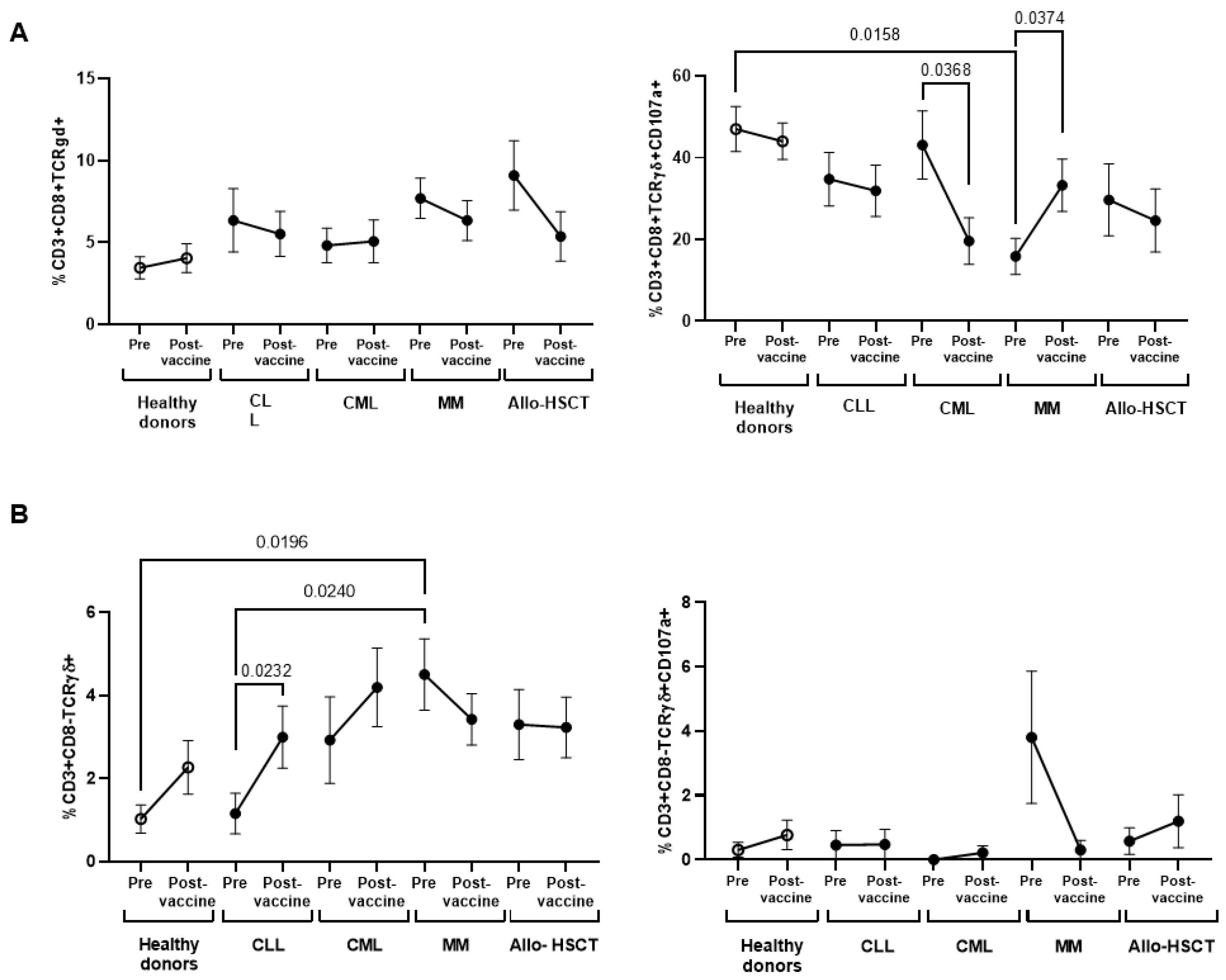
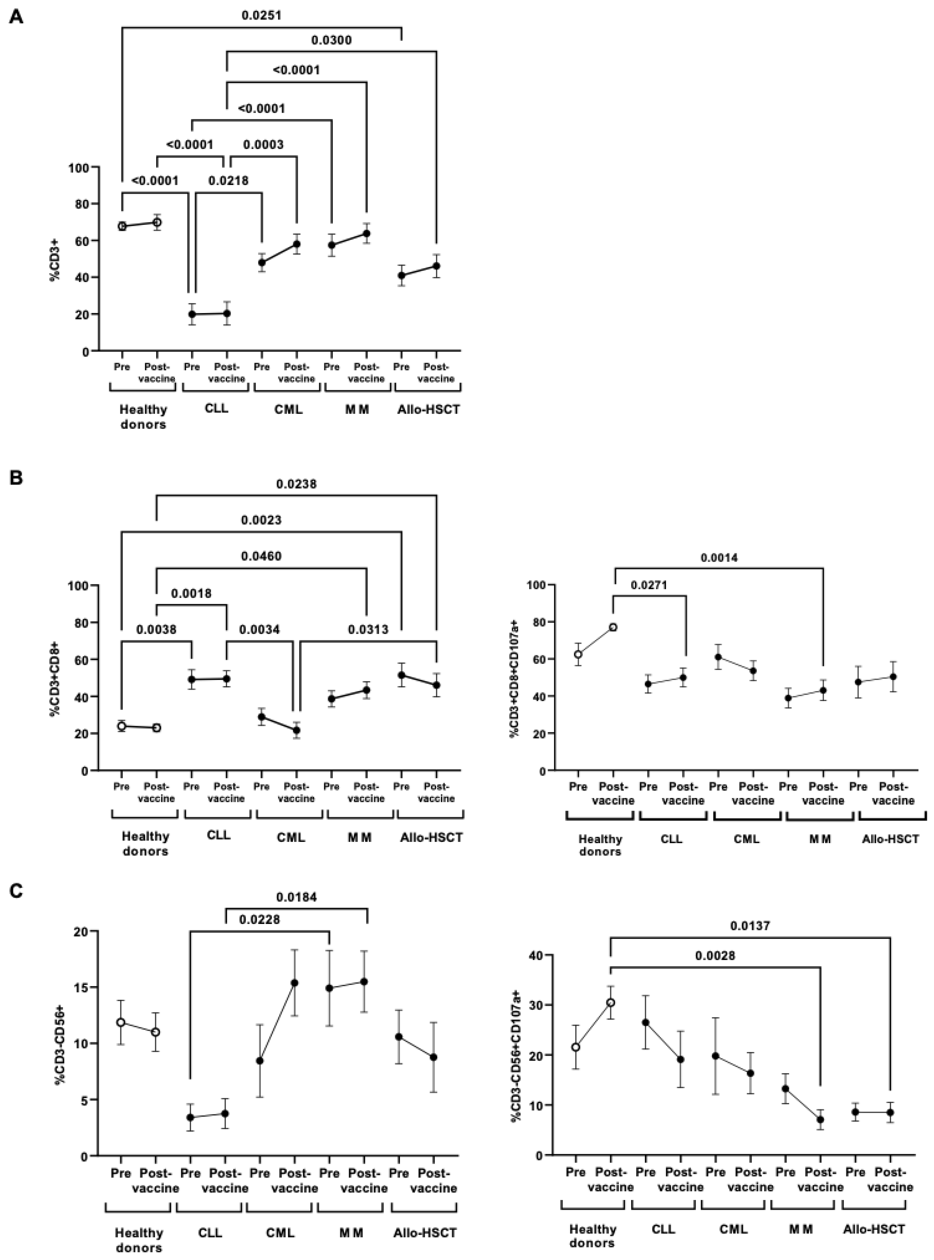
3.6. Characterization of Cellular Cytotoxic Populations
4. Discussion
5. Conclusions
Author Contributions
Funding
Institutional Review Board Statement
Informed Consent Statement
Data Availability Statement
Acknowledgments
Conflicts of Interest
References
- Vijenthira, A.; Gong, I.Y.; Fox, T.A.; Booth, S.; Cook, G.; Fattizzo, B.; Martin-Moro, F.; Razanamahery, J.; Riches, J.C.; Zwicker, J.; et al. Outcomes of patients with hematologic malignancies and COVID-19: A systematic review and meta-analysis of 3377 patients. Blood 2020, 136, 2881–2892. [Google Scholar] [CrossRef] [PubMed]
- He, W.; Chen, L.; Chen, L.; Yuan, G.; Fang, Y.; Chen, W.; Wu, D.; Liang, B.; Lu, X.; Ma, Y.; et al. COVID-19 in persons with haematological cancers. Leukemia 2020, 34, 1637–1645. [Google Scholar] [CrossRef] [PubMed]
- Fung, M.; Babik, J.M. COVID-19 in Immunocompromised Hosts: What We Know So Far. Clin. Infect. Dis. 2021, 72, 340–350. [Google Scholar] [CrossRef] [PubMed]
- Breccia, M.; Abruzzese, E.; Accurso, V.; Attolico, I.; Barulli, S.; Bergamaschi, M.; Binotto, G.; Bocchia, M.; Bonifacio, M.; Caocci, G.; et al. COVID-19 infection in chronic myeloid leukaemia after one year of the pandemic in Italy. A Campus CML report. Br. J. Haematol. 2022, 196, 559–565. [Google Scholar] [CrossRef]
- Garcia-Suarez, J.; de la Cruz, J.; Cedillo, A.; Llamas, P.; Duarte, R.; Jimenez-Yuste, V.; Hernandez-Rivas, J.A.; Gil-Manso, R.; Kwon, M.; Sanchez-Godoy, P.; et al. Impact of hematologic malignancy and type of cancer therapy on COVID-19 severity and mortality: Lessons from a large population-based registry study. J. Hematol. Oncol. 2020, 13, 133. [Google Scholar] [CrossRef]
- Ludwig, H.; Boccadoro, M.; Moreau, P.; San-Miguel, J.; Cavo, M.; Pawlyn, C.; Zweegman, S.; Facon, T.; Driessen, C.; Hajek, R.; et al. Recommendations for vaccination in multiple myeloma: A consensus of the European Myeloma Network. Leukemia 2021, 35, 31–44. [Google Scholar] [CrossRef]
- Scarfo, L.; Chatzikonstantinou, T.; Rigolin, G.M.; Quaresmini, G.; Motta, M.; Vitale, C.; Garcia-Marco, J.A.; Hernandez-Rivas, J.A.; Miras, F.; Baile, M.; et al. COVID-19 severity and mortality in patients with chronic lymphocytic leukemia: A joint study by ERIC, the European Research Initiative on CLL, and CLL Campus. Leukemia 2020, 34, 2354–2363. [Google Scholar] [CrossRef]
- Mato, A.R.; Roeker, L.E.; Lamanna, N.; Allan, J.N.; Leslie, L.; Pagel, J.M.; Patel, K.; Osterborg, A.; Wojenski, D.; Kamdar, M.; et al. Outcomes of COVID-19 in patients with CLL: A multicenter international experience. Blood 2020, 136, 1134–1143. [Google Scholar] [CrossRef]
- Roeker, L.E.; Eyre, T.A.; Thompson, M.C.; Lamanna, N.; Coltoff, A.R.; Davids, M.S.; Baker, P.O.; Leslie, L.; Rogers, K.A.; Allan, J.N.; et al. COVID-19 in patients with CLL: Improved survival outcomes and update on management strategies. Blood 2021, 138, 1768–1773. [Google Scholar] [CrossRef]
- Hultcrantz, M.; Richter, J.; Rosenbaum, C.A.; Patel, D.; Smith, E.L.; Korde, N.; Lu, S.X.; Mailankody, S.; Shah, U.A.; Lesokhin, A.M.; et al. COVID-19 Infections and Clinical Outcomes in Patients with Multiple Myeloma in New York City: A Cohort Study from Five Academic Centers. Blood Cancer Discov. 2020, 1, 234–243. [Google Scholar] [CrossRef]
- Chari, A.; Samur, M.K.; Martinez-Lopez, J.; Cook, G.; Biran, N.; Yong, K.; Hungria, V.; Engelhardt, M.; Gay, F.; Garcia Feria, A.; et al. Clinical features associated with COVID-19 outcome in multiple myeloma: First results from the International Myeloma Society data set. Blood 2020, 136, 3033–3040. [Google Scholar] [CrossRef] [PubMed]
- Ljungman, P.; de la Camara, R.; Mikulska, M.; Tridello, G.; Aguado, B.; Zahrani, M.A.; Apperley, J.; Berceanu, A.; Bofarull, R.M.; Calbacho, M.; et al. COVID-19 and stem cell transplantation; results from an EBMT and GETH multicenter prospective survey. Leukemia 2021, 35, 2885–2894. [Google Scholar] [CrossRef] [PubMed]
- Branagan, A.R.; Duffy, E.; Albrecht, R.A.; Cooper, D.L.; Seropian, S.; Parker, T.L.; Gan, G.; Li, F.; Zelterman, D.; Boddupalli, C.S.; et al. Clinical and Serologic Responses after a Two-dose Series of High-dose Influenza Vaccine in Plasma Cell Disorders: A Prospective, Single-arm Trial. Clin. Lymphoma Myeloma Leuk. 2017, 17, 296–304.e292. [Google Scholar] [CrossRef] [PubMed] [Green Version]
- Shadman, M.; Ujjani, C. Vaccinations in CLL: Implications for COVID-19. Blood 2021, 137, 144–146. [Google Scholar] [CrossRef] [PubMed]
- Pleyer, C.; Ali, M.A.; Cohen, J.I.; Tian, X.; Soto, S.; Ahn, I.E.; Gaglione, E.M.; Nierman, P.; Marti, G.E.; Hesdorffer, C.; et al. Effect of Bruton tyrosine kinase inhibitor on efficacy of adjuvanted recombinant hepatitis B and zoster vaccines. Blood 2021, 137, 185–189. [Google Scholar] [CrossRef]
- Zent, C.S.; Brady, M.T.; Delage, C.; Strawderman, M.; Laniewski, N.; Contant, P.N.; Kanagaiah, P.; Sangster, M.Y.; Barr, P.M.; Chu, C.C.; et al. Short term results of vaccination with adjuvanted recombinant varicella zoster glycoprotein E during initial BTK inhibitor therapy for CLL or lymphoplasmacytic lymphoma. Leukemia 2021, 35, 1788–1791. [Google Scholar] [CrossRef]
- Engelhard, D.; Nagler, A.; Hardan, I.; Morag, A.; Aker, M.; Baciu, H.; Strauss, N.; Parag, G.; Naparstek, E.; Ravid, Z.; et al. Antibody response to a two-dose regimen of influenza vaccine in allogeneic T cell-depleted and autologous BMT recipients. Bone Marrow Transpl. 1993, 11, 1–5. [Google Scholar]
- Pinana, J.L.; Perez, A.; Montoro, J.; Gimenez, E.; Gomez, M.D.; Lorenzo, I.; Madrid, S.; Gonzalez, E.M.; Vinuesa, V.; Hernandez-Boluda, J.C.; et al. Clinical Effectiveness of Influenza Vaccination After Allogeneic Hematopoietic Stem Cell Transplantation: A Cross-sectional, Prospective, Observational Study. Clin. Infect. Dis. 2019, 68, 1894–1903. [Google Scholar] [CrossRef]
- Vigon, L.; Rodriguez-Mora, S.; Luna, A.; Sandonis, V.; Mateos, E.; Bautista, G.; Steegmann, J.L.; Climent, N.; Plana, M.; Perez-Romero, P.; et al. Cytotoxic cell populations developed during treatment with tyrosine kinase inhibitors protect autologous CD4+ T cells from HIV-1 infection. Biochem. Pharm. 2020, 182, 114203. [Google Scholar] [CrossRef]
- Gavriatopoulou, M.; Terpos, E.; Ntanasis-Stathopoulos, I.; Briasoulis, A.; Gumeni, S.; Malandrakis, P.; Fotiou, D.; Migkou, M.; Theodorakakou, F.; Eleutherakis-Papaiakovou, E.; et al. Poor neutralizing antibody responses in 106 patients with WM after vaccination against SARS-CoV-2: A prospective study. Blood Adv. 2021, 5, 4398–4405. [Google Scholar] [CrossRef]
- Ludwig, H.; San-Miguel, J.; Munshi, N.; Sonneveld, P.; Mateos, M.V.; Moreau, P.; Terpos, E. Covid-19 vaccination in patients with multiple myeloma: Focus on immune response. Am. J. Hematol. 2021, 96, 896–900. [Google Scholar] [CrossRef] [PubMed]
- Pimpinelli, F.; Marchesi, F.; Piaggio, G.; Giannarelli, D.; Papa, E.; Falcucci, P.; Pontone, M.; Di Martino, S.; Laquintana, V.; La Malfa, A.; et al. Fifth-week immunogenicity and safety of anti-SARS-CoV-2 BNT162b2 vaccine in patients with multiple myeloma and myeloproliferative malignancies on active treatment: Preliminary data from a single institution. J. Hematol. Oncol. 2021, 14, 81. [Google Scholar] [CrossRef] [PubMed]
- Stampfer, S.D.; Goldwater, M.S.; Jew, S.; Bujarski, S.; Regidor, B.; Daniely, D.; Chen, H.; Xu, N.; Li, M.; Green, T.; et al. Response to mRNA vaccination for COVID-19 among patients with multiple myeloma. Leukemia 2021, 35, 3534–3541. [Google Scholar] [CrossRef]
- Herishanu, Y.; Avivi, I.; Aharon, A.; Shefer, G.; Levi, S.; Bronstein, Y.; Morales, M.; Ziv, T.; Shorer Arbel, Y.; Scarfo, L.; et al. Efficacy of the BNT162b2 mRNA COVID-19 vaccine in patients with chronic lymphocytic leukemia. Blood 2021, 137, 3165–3173. [Google Scholar] [CrossRef] [PubMed]
- Pinana, J.L.; Lopez-Corral, L.; Martino, R.; Montoro, J.; Vazquez, L.; Perez, A.; Martin-Martin, G.; Facal-Malvar, A.; Ferrer, E.; Pascual, M.J.; et al. SARS-CoV-2-reactive antibody detection after SARS-CoV-2 vaccination in hematopoietic stem cell transplant recipients: Prospective survey from the Spanish Hematopoietic Stem Cell Transplantation and Cell Therapy Group. Am. J. Hematol. 2022, 97, 30–42. [Google Scholar] [CrossRef] [PubMed]
- Ansariniya, H.; Seifati, S.M.; Zaker, E.; Zare, F. Comparison of Immune Response between SARS, MERS, and COVID-19 Infection, Perspective on Vaccine Design and Development. BioMed Res. Int. 2021, 2021, 8870425. [Google Scholar] [CrossRef]
- Laing, A.G.; Lorenc, A.; Del Molino Del Barrio, I.; Das, A.; Fish, M.; Monin, L.; Munoz-Ruiz, M.; McKenzie, D.R.; Hayday, T.S.; Francos-Quijorna, I.; et al. A dynamic COVID-19 immune signature includes associations with poor prognosis. Nat. Med. 2020, 26, 1623–1635. [Google Scholar] [CrossRef]
- Harrington, P.; de Lavallade, H.; Doores, K.J.; O’Reilly, A.; Seow, J.; Graham, C.; Lechmere, T.; Radia, D.; Dillon, R.; Shanmugharaj, Y.; et al. Single dose of BNT162b2 mRNA vaccine against SARS-CoV-2 induces high frequency of neutralising antibody and polyfunctional T-cell responses in patients with myeloproliferative neoplasms. Leukemia 2021, 35, 3573–3577. [Google Scholar] [CrossRef]
- Ehmsen, S.; Asmussen, A.; Jeppesen, S.S.; Nilsson, A.C.; Osterlev, S.; Vestergaard, H.; Justesen, U.S.; Johansen, I.S.; Frederiksen, H.; Ditzel, H.J. Antibody and T cell immune responses following mRNA COVID-19 vaccination in patients with cancer. Cancer Cell 2021, 39, 1034–1036. [Google Scholar] [CrossRef]
- Jimenez, M.; Roldan, E.; Fernandez-Naval, C.; Villacampa, G.; Martinez-Gallo, M.; Medina-Gil, D.; Peralta-Garzon, S.; Pujadas, G.; Hernandez, C.; Pages, C.; et al. Cellular and humoral immunogenicity of the mRNA-1273 SARS-CoV-2 vaccine in patients with hematologic malignancies. Blood Adv. 2022, 6, 774–784. [Google Scholar] [CrossRef]
- Moir, S.; Buckner, C.M.; Ho, J.; Wang, W.; Chen, J.; Waldner, A.J.; Posada, J.G.; Kardava, L.; O’Shea, M.A.; Kottilil, S.; et al. B cells in early and chronic HIV infection: Evidence for preservation of immune function associated with early initiation of antiretroviral therapy. Blood 2010, 116, 5571–5579. [Google Scholar] [CrossRef] [PubMed] [Green Version]
- Garcia-Perez, J.; Sanchez-Palomino, S.; Perez-Olmeda, M.; Fernandez, B.; Alcami, J. A new strategy based on recombinant viruses as a tool for assessing drug susceptibility of human immunodeficiency virus type 1. J. Med. Virol. 2007, 79, 127–137. [Google Scholar] [CrossRef] [PubMed]
- Ou, X.; Liu, Y.; Lei, X.; Li, P.; Mi, D.; Ren, L.; Guo, L.; Guo, R.; Chen, T.; Hu, J.; et al. Characterization of spike glycoprotein of SARS-CoV-2 on virus entry and its immune cross-reactivity with SARS-CoV. Nat. Commun. 2020, 11, 1620. [Google Scholar] [CrossRef] [PubMed] [Green Version]
- Borobia, A.M.; Carcas, A.J.; Perez-Olmeda, M.; Castano, L.; Bertran, M.J.; Garcia-Perez, J.; Campins, M.; Portoles, A.; Gonzalez-Perez, M.; Garcia Morales, M.T.; et al. Immunogenicity and reactogenicity of BNT162b2 booster in ChAdOx1-S-primed participants (CombiVacS): A multicentre, open-label, randomised, controlled, phase 2 trial. Lancet 2021, 398, 121–130. [Google Scholar] [CrossRef]
- Vigon, L.; Garcia-Perez, J.; Rodriguez-Mora, S.; Torres, M.; Mateos, E.; Castillo de la Osa, M.; Cervero, M.; Malo De Molina, R.; Navarro, C.; Murciano-Anton, M.A.; et al. Impaired Antibody-Dependent Cellular Cytotoxicity in a Spanish Cohort of Patients With COVID-19 Admitted to the ICU. Front. Immunol. 2021, 12, 742631. [Google Scholar] [CrossRef] [PubMed]
- Diez-Fuertes, F.; Iglesias-Caballero, M.; Garcia-Perez, J.; Monzon, S.; Jimenez, P.; Varona, S.; Cuesta, I.; Zaballos, A.; Jimenez, M.; Checa, L.; et al. A Founder Effect Led Early SARS-CoV-2 Transmission in Spain. J. Virol. 2021, 95. [Google Scholar] [CrossRef]
- Vigon, L.; Fuertes, D.; Garcia-Perez, J.; Torres, M.; Rodriguez-Mora, S.; Mateos, E.; Corona, M.; Saez-Marin, A.J.; Malo, R.; Navarro, C.; et al. Impaired Cytotoxic Response in PBMCs from Patients with COVID-19 Admitted to the ICU: Biomarkers to Predict Disease Severity. Front. Immunol. 2021, 12, 665329. [Google Scholar] [CrossRef]
- Mustafa, S.S.; Shah, D.; Bress, J.; Jamshed, S. Response to PCV13 vaccination in patients with multiple myeloma versus healthy controls. Hum. Vaccin Immunother. 2019, 15, 452–454. [Google Scholar] [CrossRef] [Green Version]
- Sun, C.; Gao, J.; Couzens, L.; Tian, X.; Farooqui, M.Z.; Eichelberger, M.C.; Wiestner, A. Seasonal Influenza Vaccination in Patients with Chronic Lymphocytic Leukemia Treated With Ibrutinib. JAMA Oncol. 2016, 2, 1656–1657. [Google Scholar] [CrossRef] [Green Version]
- de Lavallade, H.; Khoder, A.; Hart, M.; Sarvaria, A.; Sekine, T.; Alsuliman, A.; Mielke, S.; Bazeos, A.; Stringaris, K.; Ali, S.; et al. Tyrosine kinase inhibitors impair B-cell immune responses in CML through off-target inhibition of kinases important for cell signaling. Blood 2013, 122, 227–238. [Google Scholar] [CrossRef] [Green Version]
- Haydu, J.E.; Maron, J.S.; Redd, R.A.; Gallagher, K.M.E.; Fischinger, S.; Barnes, J.A.; Hochberg, E.P.; Johnson, P.C.; Takvorian, R.W.; Katsis, K.; et al. Humoral and cellular immunogenicity of SARS-CoV-2 vaccines in chronic lymphocytic leukemia: A prospective cohort study. Blood Adv. 2022, 6, 1671–1683. [Google Scholar] [CrossRef] [PubMed]
- Ram, R.; Hagin, D.; Kikozashvilli, N.; Freund, T.; Amit, O.; Bar-On, Y.; Beyar-Katz, O.; Shefer, G.; Moshiashvili, M.M.; Karni, C.; et al. Safety and Immunogenicity of the BNT162b2 mRNA COVID-19 Vaccine in Patients after Allogeneic HCT or CD19-based CART therapy-A Single-Center Prospective Cohort Study. Transpl. Cell 2021, 27, 788–794. [Google Scholar] [CrossRef] [PubMed]
- Teh, J.S.K.; Coussement, J.; Neoh, Z.C.F.; Spelman, T.; Lazarakis, S.; Slavin, M.A.; Teh, B.W. Immunogenicity of COVID-19 vaccines in patients with hematological malignancy: A systematic review and meta-analysis. Blood Adv. 2021, 6, 2014–2034. [Google Scholar] [CrossRef] [PubMed]
- Yasuda, H.; Tsukune, Y.; Watanabe, N.; Sugimoto, K.; Uchimura, A.; Tateyama, M.; Miyashita, Y.; Ochi, Y.; Komatsu, N. Persistent COVID-19 Pneumonia and Failure to Develop Anti-SARS-CoV-2 Antibodies during Rituximab Maintenance Therapy for Follicular Lymphoma. Clin. Lymphoma Myeloma Leuk. 2020, 20, 774–776. [Google Scholar] [CrossRef] [PubMed]
- Harrington, P.; Doores, K.J.; Radia, D.; O’Reilly, A.; Lam, H.P.J.; Seow, J.; Graham, C.; Lechmere, T.; McLornan, D.; Dillon, R.; et al. Single dose of BNT162b2 mRNA vaccine against severe acute respiratory syndrome coronavirus-2 (SARS-CoV-2) induces neutralising antibody and polyfunctional T-cell responses in patients with chronic myeloid leukaemia. Br. J. Haematol. 2021, 194, 999–1006. [Google Scholar] [CrossRef] [PubMed]
- Saussele, S.; Richter, J.; Guilhot, J.; Gruber, F.X.; Hjorth-Hansen, H.; Almeida, A.; Janssen, J.; Mayer, J.; Koskenvesa, P.; Panayiotidis, P.; et al. Discontinuation of tyrosine kinase inhibitor therapy in chronic myeloid leukaemia (EURO-SKI): A prespecified interim analysis of a prospective, multicentre, non-randomised, trial. Lancet Oncol. 2018, 19, 747–757. [Google Scholar] [CrossRef] [Green Version]
- Viale, M.; Ferrini, S.; Bacigalupo, A. TCR gamma/delta positive lymphocytes after allogeneic bone marrow transplantation. Bone Marrow Transpl. 1992, 10, 249–253. [Google Scholar]
- Raverdeau, M.; Cunningham, S.P.; Harmon, C.; Lynch, L. gammadelta T cells in cancer: A small population of lymphocytes with big implications. Clin. Transl. Immunol. 2019, 8, e01080. [Google Scholar] [CrossRef]
- Park, J.H.; Lee, H.K. Function of gammadelta T cells in tumor immunology and their application to cancer therapy. Exp. Mol. Med. 2021, 53, 318–327. [Google Scholar] [CrossRef]
- Polack, F.P.; Thomas, S.J.; Kitchin, N.; Absalon, J.; Gurtman, A.; Lockhart, S.; Perez, J.L.; Perez Marc, G.; Moreira, E.D.; Zerbini, C.; et al. Safety and Efficacy of the BNT162b2 mRNA Covid-19 Vaccine. N. Engl. J. Med. 2020, 383, 2603–2615. [Google Scholar] [CrossRef]
- Baden, L.R.; El Sahly, H.M.; Essink, B.; Kotloff, K.; Frey, S.; Novak, R.; Diemert, D.; Spector, S.A.; Rouphael, N.; Creech, C.B.; et al. Efficacy and Safety of the mRNA-1273 SARS-CoV-2 Vaccine. N. Engl. J. Med. 2021, 384, 403–416. [Google Scholar] [CrossRef] [PubMed]
- Voysey, M.; Clemens, S.A.C.; Madhi, S.A.; Weckx, L.Y.; Folegatti, P.M.; Aley, P.K.; Angus, B.; Baillie, V.L.; Barnabas, S.L.; Bhorat, Q.E.; et al. Safety and efficacy of the ChAdOx1 nCoV-19 vaccine (AZD1222) against SARS-CoV-2: An interim analysis of four randomised controlled trials in Brazil, South Africa, and the UK. Lancet 2021, 397, 99–111. [Google Scholar] [CrossRef]
- Brosh-Nissimov, T.; Orenbuch-Harroch, E.; Chowers, M.; Elbaz, M.; Nesher, L.; Stein, M.; Maor, Y.; Cohen, R.; Hussein, K.; Weinberger, M.; et al. BNT162b2 vaccine breakthrough: Clinical characteristics of 152 fully vaccinated hospitalized COVID-19 patients in Israel. Clin. Microbiol. Infect. 2021, 27, 1652–1657. [Google Scholar] [CrossRef]
- Embi, P.J.; Levy, M.E.; Naleway, A.L.; Patel, P.; Gaglani, M.; Natarajan, K.; Dascomb, K.; Ong, T.C.; Klein, N.P.; Liao, I.C.; et al. Effectiveness of 2-Dose Vaccination with mRNA COVID-19 Vaccines against COVID-19-Associated Hospitalizations among Immunocompromised Adults—Nine States, January–September 2021. MMWR Morb. Mortal. Wkly. Rep. 2021, 70, 1553–1559. [Google Scholar] [CrossRef] [PubMed]
- Garcia-Beltran, W.F.; St Denis, K.J.; Hoelzemer, A.; Lam, E.C.; Nitido, A.D.; Sheehan, M.L.; Berrios, C.; Ofoman, O.; Chang, C.C.; Hauser, B.M.; et al. mRNA-based COVID-19 vaccine boosters induce neutralizing immunity against SARS-CoV-2 Omicron variant. Cell 2022, 185, 457–466.e454. [Google Scholar] [CrossRef] [PubMed]
- Bar-On, Y.M.; Goldberg, Y.; Mandel, M.; Bodenheimer, O.; Freedman, L.; Kalkstein, N.; Mizrahi, B.; Alroy-Preis, S.; Ash, N.; Milo, R.; et al. Protection of BNT162b2 Vaccine Booster against Covid-19 in Israel. N. Engl. J. Med. 2021, 385, 1393–1400. [Google Scholar] [CrossRef]
- Barbui, T.; Iurlo, A.; Masciulli, A.; Carobbio, A.; Ghirardi, A.; Carioli, G.; Sobas, M.A.; Elli, E.M.; Rumi, E.; De Stefano, V.; et al. Second versus first wave of COVID-19 in patients with MPN. Leukemia 2022, 36, 897–900. [Google Scholar] [CrossRef] [PubMed]






| CLL (n = 15) | CML (n = 10) | MM (n = 15) | Allo-HSCT (n = 12) | |
|---|---|---|---|---|
| Demographic characteristics | ||||
| Age, median (IQR) | 65.9 (64.5–76.4) | 61.9 (52–76.7) | 72 (59.8–76.9) | 60.1 (46.6–66-1) |
| Sex: male, n (%) | 9 (60) | 7 (70) | 9 (60) | 7 (58.3) |
| Days since first dose vaccination, median (IQR) | 21 (18–33) | 27 (21–28) | 23 (18–27) | 24 (20–28) |
| Treatment: n (%) |
|
|
|
|
| Bone marrow transplant patients | ||||
| Type: n (%) | N/A | N/A | ASCT: 6 (40) | Allo-HSCT: 12 (100) |
| Months since transplant, median (IQR) | N/A | N/A | 32 (23–60) | 36 (21–44) |
| cGvHd, n (%) | N/A | N/A | N/A | 9 (75) |
| Vaccines and analytics parameters | ||||
| Vaccine, n (%) | ||||
| Vaxzevria (AstraZeneca) | 4 (26.7) | 3 (30) | 0 | 0 |
| Spikevax (Moderna) | 7 (46.7) | 6 (60) | 7 (46.7) | 0 |
| COMIRNATY (Pfizer) | 4 (26.7) | 1 (10) | 8 (53.3) | 12 (100) |
| Pre-vaccine, median (IQR) × 109/L | ||||
| Neutrophils | 3.2 (1.6–4.8) | 3.5 (3.1–4) | 2.4 (1.4–2.9) | 2.9 (2.2–4.4) |
| Lymphocytes | 17.7 (1.1–79.8) | 2.6 (1.9–2.9) | 1.7 (1.2–2.4) | 1.9 (1.3–2.9) |
| Monocytes | 0.6 (0.3–0.8) | 0.6 (0.4–0.8) | 0.5 (0.4–0.7) | 0.6 (0.4–0.8) |
| Platelets | 119 (91.2–153) | 241 (188.5–331.5) | 160 (144–199.5) | 197 (121.5–271.5) |
| Post-vaccine, median (IQR) × 109/L | ||||
| Neutrophils | 4 (2–4.9) | 4.6 (1.7–4.6) | 2.3 (1.7–2.6) | 3.2 (2.2–7.2) |
| Lymphocytes | 18.9 (5.3–112.6) | 1.8 (0.1–3.5) | 1.7 (1–2.2) | 1.7 (0.2–7.4) |
| Monocytes | 0.9 (0.7–5.3) | 0.5 (0.4–0.9) | 0.5 (0.4–0.8) | 0.6 (0.1–1) |
| Platelets | 166 (122.7–255) | 199 (134–361) | 166.5 (122.2–203.5) | 262.5 (195–477) |
Publisher’s Note: MDPI stays neutral with regard to jurisdictional claims in published maps and institutional affiliations. |
© 2022 by the authors. Licensee MDPI, Basel, Switzerland. This article is an open access article distributed under the terms and conditions of the Creative Commons Attribution (CC BY) license (https://creativecommons.org/licenses/by/4.0/).
Share and Cite
Rodríguez-Mora, S.; Corona, M.; Torres, M.; Casado-Fernández, G.; García-Pérez, J.; Ramos-Martín, F.; Vigón, L.; Manzanares, M.; Mateos, E.; Martín-Moro, F.; et al. Early Cellular and Humoral Responses Developed in Oncohematological Patients after Vaccination with One Dose against COVID-19. J. Clin. Med. 2022, 11, 2803. https://doi.org/10.3390/jcm11102803
Rodríguez-Mora S, Corona M, Torres M, Casado-Fernández G, García-Pérez J, Ramos-Martín F, Vigón L, Manzanares M, Mateos E, Martín-Moro F, et al. Early Cellular and Humoral Responses Developed in Oncohematological Patients after Vaccination with One Dose against COVID-19. Journal of Clinical Medicine. 2022; 11(10):2803. https://doi.org/10.3390/jcm11102803
Chicago/Turabian StyleRodríguez-Mora, Sara, Magdalena Corona, Montserrat Torres, Guiomar Casado-Fernández, Javier García-Pérez, Fernando Ramos-Martín, Lorena Vigón, Mario Manzanares, Elena Mateos, Fernando Martín-Moro, and et al. 2022. "Early Cellular and Humoral Responses Developed in Oncohematological Patients after Vaccination with One Dose against COVID-19" Journal of Clinical Medicine 11, no. 10: 2803. https://doi.org/10.3390/jcm11102803
APA StyleRodríguez-Mora, S., Corona, M., Torres, M., Casado-Fernández, G., García-Pérez, J., Ramos-Martín, F., Vigón, L., Manzanares, M., Mateos, E., Martín-Moro, F., Zurdo-Castronuño, A., Murciano-Antón, M. A., Alcamí, J., Pérez-Olmeda, M., López-Jiménez, J., García-Gutiérrez, V., Coiras, M., & on behalf of the Multidisciplinary Group of Study of COVID-19 (MGS-COVID). (2022). Early Cellular and Humoral Responses Developed in Oncohematological Patients after Vaccination with One Dose against COVID-19. Journal of Clinical Medicine, 11(10), 2803. https://doi.org/10.3390/jcm11102803

