Diminished Systemic Amino Acids Metabolome and Lipid Peroxidation in Ureteropelvic Junction Obstruction (UPJO) Infants Requiring Surgery
Abstract
1. Introduction
2. Materials and Methods
2.1. Chemicals, Reagents and Materials
2.2. Study Population and Serum Collection
2.3. Gas Chromatography–Mass Spectrometry Analyses
2.4. Data Handling—Statistical Analyses
3. Results
3.1. Study Serum Concentrations of Amino Acids, Their Metabolites, and Malondialdehyde
3.2. Correlations between Serum Metabolites
3.3. Correlations between Serum Metabolites and Clinical Data
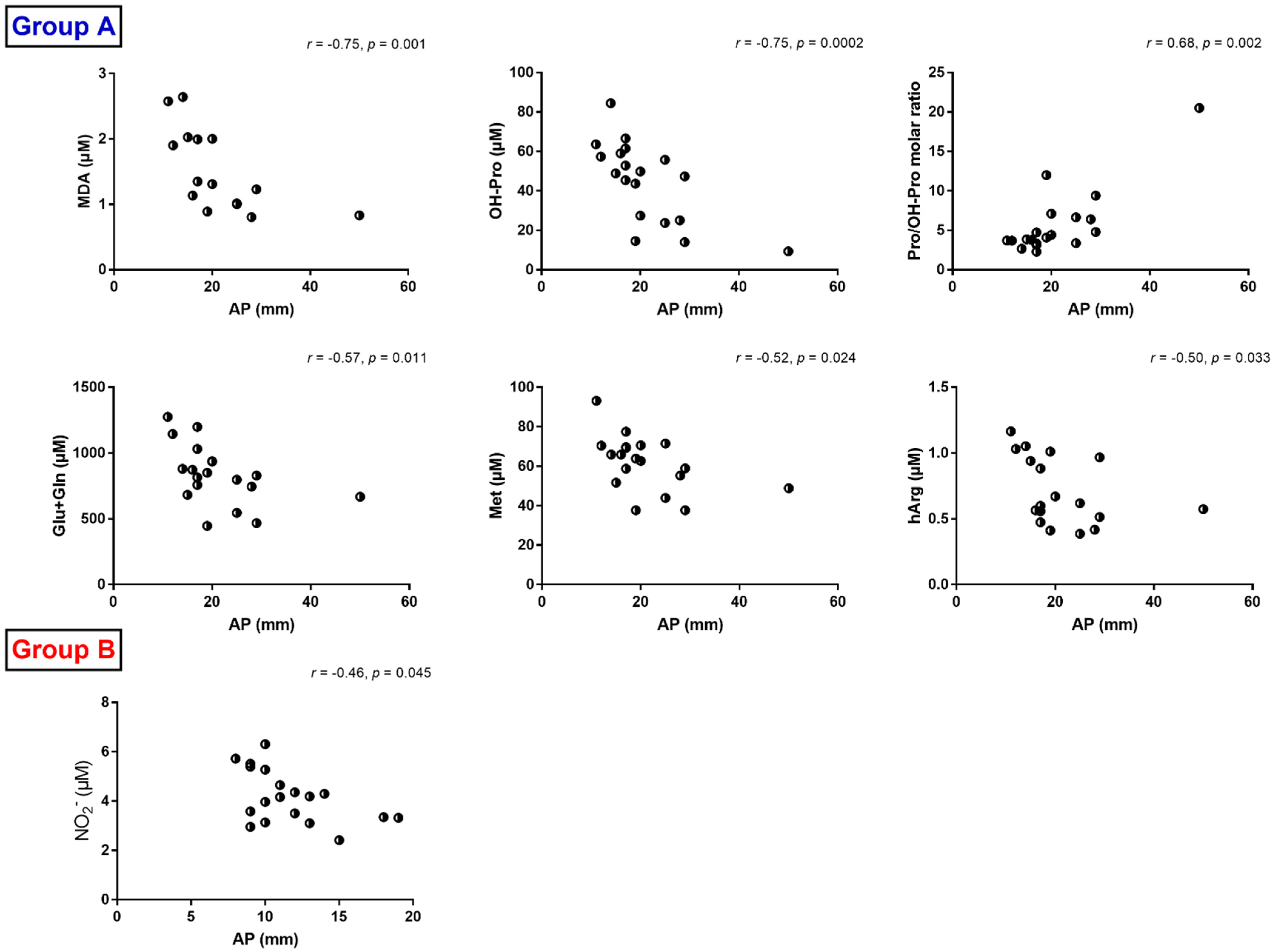
3.4. Correlations between Anterior–Posterior Diameter and Serum Metabolites
4. Discussion
4.1. General Issues
4.2. Homoarginine, Asymmetric Dimethylarginine, Guanidinoacetate and Malondialdehyde
4.3. Nitrite and Nitrate
4.4. Correlation between Metabolomics and Clinical Data
4.5. Comparison between GC-MS and HILIC-MS/MS
4.6. Study Limitations
5. Conclusions and Perspectives
Supplementary Materials
Author Contributions
Funding
Institutional Review Board Statement
Informed Consent Statement
Data Availability Statement
Acknowledgments
Conflicts of Interest
References
- Ficara, A.; Syngelaki, A.; Hammami, A.; Akolekar, R.; Nicolaides, K.H. Value of Routine Ultrasound Examination at 35–37 Weeks’ Gestation in Diagnosis of Fetal Abnormalities. Ultrasound Obstet. Gynecol. 2020, 55, 75–80. [Google Scholar] [CrossRef] [PubMed]
- Nguyen, H.T.; Benson, C.B.; Bromley, B.; Campbell, J.B.; Chow, J.; Coleman, B.; Cooper, C.; Crino, J.; Darge, K.; Anthony Herndon, C.D.; et al. Multidisciplinary Consensus on the Classification of Prenatal and Postnatal Urinary Tract Dilation (UTD Classification System). J. Pediatr. Urol. 2014, 10, 982–998. [Google Scholar] [CrossRef]
- Chevalier, R.L.; Thornhill, B.A.; Forbes, M.S.; Kiley, S.C. Mechanisms of Renal Injury and Progression of Renal Disease in Congenital Obstructive Nephropathy. Pediatr. Nephrol. 2010, 25, 687–697. [Google Scholar] [CrossRef]
- Alberti, C. Congenital Ureteropelvic Junction Obstruction: Physiopathology, Decoupling of Tout Court Pelvic Dilatation-Obstruction Semantic Connection, Biomarkers to Predict Renal Damage Evolution. Eur. Rev. Med. Pharmacol. Sci. 2012, 16, 213–219. [Google Scholar]
- Sidhu, G.; Beyene, J.; Rosenblum, N.D. Outcome of Isolated Antenatal Hydronephrosis: A Systematic Review and Meta-Analysis. Pediatr. Nephrol. 2006, 21, 218–224. [Google Scholar] [CrossRef] [PubMed]
- Timberlake, M.D.; Herndon, C.D.A. Mild to Moderate Postnatal Hydronephrosis—Grading Systems and Management. Nat. Rev. Urol. 2013, 10, 649–656. [Google Scholar] [CrossRef] [PubMed]
- Passoni, N.M.; Peters, C.A. Managing Ureteropelvic Junction Obstruction in the Young Infant. Front. Pediatr. 2020, 8, 242. [Google Scholar] [CrossRef] [PubMed]
- Chevalier, R.L. Prognostic Factors and Biomarkers of Congenital Obstructive Nephropathy. Pediatr. Nephrol. 2016, 31, 1411–1420. [Google Scholar] [CrossRef]
- Boizard, F.; Brunchault, V.; Moulos, P.; Breuil, B.; Klein, J.; Lounis, N.; Caubet, C.; Tellier, S.; Bascands, J.-L.; Decramer, S.; et al. A Capillary Electrophoresis Coupled to Mass Spectrometry Pipeline for Long Term Comparable Assessment of the Urinary Metabolome. Sci. Rep. 2016, 6, 34453. [Google Scholar] [CrossRef]
- Pavlaki, A.; Begou, O.; Deda, O.; Farmaki, E.; Dotis, J.; Gika, H.; Taparkou, A.; Raikos, N.; Papachristou, F.; Theodoridis, G.; et al. Serum-Targeted HILIC-MS Metabolomics-Based Analysis in Infants with Ureteropelvic Junction Obstruction. J. Proteome Res. 2020, 19, 2294–2303. [Google Scholar] [CrossRef]
- Zhang, H.; Jia, J.; Cheng, J.; Ye, F.; Li, X.; Gao, H. 1H NMR-Based Metabonomics Study on Serum of Renal Interstitial Fibrosis Rats Induced by Unilateral Ureteral Obstruction. Mol. Biosyst. 2012, 8, 595–601. [Google Scholar] [CrossRef]
- MacLellan, D.L.; Mataija, D.; Doucette, A.; Huang, W.; Langlois, C.; Trottier, G.; Burton, I.W.; Walter, J.A.; Karakach, T.K. Alterations in Urinary Metabolites Due to Unilateral Ureteral Obstruction in a Rodent Model. Mol. BioSyst. 2011, 7, 2181. [Google Scholar] [CrossRef]
- Xiang, Z.; Sun, H.; Cai, X.; Chen, D. The Study on Serum and Urine of Renal Interstitial Fibrosis Rats Induced by Unilateral Ureteral Obstruction Based on Metabonomics and Network Analysis Methods. Anal. Bioanal. Chem. 2016, 408, 2607–2619. [Google Scholar] [CrossRef]
- Li, Z.; Li, A.; Gao, J.; Li, H.; Qin, X. Kidney Tissue Targeted Metabolic Profiling of Unilateral Ureteral Obstruction Rats by NMR. Front. Pharmacol. 2016, 7, 307. [Google Scholar] [CrossRef] [PubMed]
- Zhang, Z.-H.; He, J.-Q.; Qin, W.-W.; Zhao, Y.-Y.; Tan, N.-H. Biomarkers of Obstructive Nephropathy Using a Metabolomics Approach in Rat. Chem.-Biol. Interact. 2018, 296, 229–239. [Google Scholar] [CrossRef] [PubMed]
- Zhao, L.; Dong, M.; Liao, S.; Du, Y.; Zhou, Q.; Zheng, H.; Chen, M.; Ji, J.; Gao, H. Identification of Key Metabolic Changes in Renal Interstitial Fibrosis Rats Using Metabonomics and Pharmacology. Sci. Rep. 2016, 6, 27194. [Google Scholar] [CrossRef]
- Chen, L.; Chen, D.-Q.; Liu, J.-R.; Zhang, J.; Vaziri, N.D.; Zhuang, S.; Chen, H.; Feng, Y.-L.; Guo, Y.; Zhao, Y.-Y. Unilateral Ureteral Obstruction Causes Gut Microbial Dysbiosis and Metabolome Disorders Contributing to Tubulointerstitial Fibrosis. Exp. Mol. Med. 2019, 51, 1–18. [Google Scholar] [CrossRef] [PubMed]
- Fang, J.; Wang, W.; Sun, S.; Wang, Y.; Li, Q.; Lu, X.; Qiu, M.; Zhang, Y. Metabolomics Study of Renal Fibrosis and Intervention Effects of Total Aglycone Extracts of Scutellaria Baicalensis in Unilateral Ureteral Obstruction Rats. J. Ethnopharmacol. 2016, 192, 20–29. [Google Scholar] [CrossRef] [PubMed]
- Vallés, P.G.; Pascual, L.; Manucha, W.; Carrizo, L.; Rüttler, M. Role of Endogenous Nitric Oxide in Unilateral Ureteropelvic Junction Obstruction in Children. Kidney Int. 2003, 63, 1104–1115. [Google Scholar] [CrossRef][Green Version]
- Knerr, I.; Dittrich, K.; Miller, J.; Kummer, W.; Rösch, W.; Weidner, W.; Rascher, W. Alteration of Neuronal and Endothelial Nitric Oxide Synthase and Neuropeptide Y in Congenital Ureteropelvic Junction Obstruction. Urol. Res. 2001, 29, 134–140. [Google Scholar] [CrossRef]
- Vallés, P.G.; Manucha, W.; Carrizo, L.; Vega Perugorria, J.; Seltzer, A.; Ruete, C. Renal Caveolin-1 Expression in Children with Unilateral Ureteropelvic Junction Obstruction. Pediatr. Nephrol. 2007, 22, 237–248. [Google Scholar] [CrossRef] [PubMed]
- Tsikas, D. Assessment of Lipid Peroxidation by Measuring Malondialdehyde (MDA) and Relatives in Biological Samples: Analytical and Biological Challenges. Anal. Biochem. 2017, 524, 13–30. [Google Scholar] [CrossRef] [PubMed]
- Tsikas, D.; Rothmann, S.; Schneider, J.Y.; Suchy, M.-T.; Trettin, A.; Modun, D.; Stuke, N.; Maassen, N.; Frölich, J.C. Development, Validation and Biomedical Applications of Stable-Isotope Dilution GC-MS and GC-MS/MS Techniques for Circulating Malondialdehyde (MDA) after Pentafluorobenzyl Bromide Derivatization: MDA as a Biomarker of Oxidative Stress and Its Relation to 15(S)-8-Iso-Prostaglandin F2α and Nitric Oxide (NO). J. Chromatogr. B Analyt. Technol. Biomed. Life Sci. 2016, 1019, 95–111. [Google Scholar] [CrossRef] [PubMed]
- Pavlaki, A.; Printza, N.; Farmaki, E.; Stabouli, S.; Taparkou, A.; Sterpi, M.; Dotis, J.; Papachristou, F. The Role of Urinary NGAL and Serum Cystatin C in Assessing the Severity of Ureteropelvic Junction Obstruction in Infants. Pediatr. Nephrol. 2020, 35, 163–170. [Google Scholar] [CrossRef]
- Pavlaki, A.; Printza, N.; Farmaki, E.; Stabouli, S.; Taparkou, A.; Dotis, J.; Papachristou, F. Matrix Metalloproteinases in Ureteropelvic Junction Obstruction. Hippokratia 2017, 21, 136–139. [Google Scholar] [PubMed]
- Fernbach, S.K.; Maizels, M.; Conway, J.J. Ultrasound Grading of Hydronephrosis: Introduction to the System Used by the Society for Fetal Urology. Pediatr. Radiol. 1993, 23, 478–480. [Google Scholar] [CrossRef]
- Heinlen, J.E.; Manatt, C.S.; Bright, B.C.; Kropp, B.P.; Campbell, J.B.; Frimberger, D. Operative versus Nonoperative Management of Ureteropelvic Junction Obstruction in Children. Urology 2009, 73, 521–525; discussion 525. [Google Scholar] [CrossRef]
- Hanff, E.; Eisenga, M.F.; Beckmann, B.; Bakker, S.J.L.; Tsikas, D. Simultaneous Pentafluorobenzyl Derivatization and GC-ECNICI-MS Measurement of Nitrite and Malondialdehyde in Human Urine: Close Positive Correlation between These Disparate Oxidative Stress Biomarkers. J. Chromatogr. B Analyt. Technol. Biomed. Life Sci. 2017, 1043, 167–175. [Google Scholar] [CrossRef]
- Hanff, E.; Ruben, S.; Kreuzer, M.; Bollenbach, A.; Kayacelebi, A.A.; Das, A.M.; von Versen-Höynck, F.; von Kaisenberg, C.S.; Haffner, D.; Ückert, S.; et al. Development and Validation of GC–MS Methods for the Comprehensive Analysis of Amino Acids in Plasma and Urine and Applications to the HELLP Syndrome and Pediatric Kidney Transplantation: Evidence of Altered Methylation, Transamidination, and Arginase Activity. Amino Acids 2019, 51, 529–547. [Google Scholar] [CrossRef]
- Gika, H.G.; Zisi, C.; Theodoridis, G.; Wilson, I.D. Protocol for Quality Control in Metabolic Profiling of Biological Fluids by U(H)PLC-MS. J. Chromatogr. B Analyt. Technol. Biomed. Life Sci. 2016, 1008, 15–25. [Google Scholar] [CrossRef] [PubMed]
- Begou, O.; Gika, H.G.; Theodoridis, G.A.; Wilson, I.D. Quality Control and Validation Issues in LC-MS Metabolomics. Methods Mol. Biol. 2018, 1738, 15–26. [Google Scholar] [CrossRef] [PubMed]
- Tsikas, D. A Critical Review and Discussion of Analytical Methods in the L-Arginine/Nitric Oxide Area of Basic and Clinical Research. Anal. Biochem. 2008, 379, 139–163. [Google Scholar] [CrossRef] [PubMed]
- Wu, G. Important Roles of Dietary Taurine, Creatine, Carnosine, Anserine and 4-Hydroxyproline in Human Nutrition and Health. Amino Acids 2020, 52, 329–360. [Google Scholar] [CrossRef] [PubMed]
- McLeod, D.J.; Ching, C.B.; Sebastião, Y.V.; Greenberg, J.H.; Furth, S.L.; McHugh, K.M.; Becknell, B. Common Clinical Markers Predict End-Stage Renal Disease in Children with Obstructive Uropathy. Pediatr. Nephrol. 2019, 34, 443–448. [Google Scholar] [CrossRef]
- Papachristou, F.; Pavlaki, A.; Printza, N. Urinary and Serum Biomarkers in Ureteropelvic Junction Obstruction: A Systematic Review. Biomarkers 2014, 19, 531–540. [Google Scholar] [CrossRef]
- Magalhães, P.; Schanstra, J.P.; Carrick, E.; Mischak, H.; Zürbig, P. Urinary Biomarkers for Renal Tract Malformations. Exp. Rev. Proteom. 2016, 13, 1121–1129. [Google Scholar] [CrossRef]
- Kostic, D.; Beozzo, G.P.N.S.; do Couto, S.B.; Kato, A.H.T.; Lima, L.; Palmeira, P.; Krebs, V.L.J.; Bunduki, V.; Francisco, R.P.V.; Zugaib, M.; et al. The Role of Renal Biomarkers to Predict the Need of Surgery in Congenital Urinary Tract Obstruction in Infants. J. Pediatr. Urol. 2019, 15, 242.e1–242.e9. [Google Scholar] [CrossRef]
- Lee, H.; Jang, H.B.; Yoo, M.-G.; Park, S.I.; Lee, H.-J. Amino Acid Metabolites Associated with Chronic Kidney Disease: An Eight-Year Follow-Up Korean Epidemiology Study. Biomedicines 2020, 8, 222. [Google Scholar] [CrossRef]
- Walker, V.; Mills, G.A. Quantitative Methods for Amino Acid Analysis in Biological Fluids. Ann. Clin. Biochem. 1995, 32, 28–57. [Google Scholar] [CrossRef]
- Drechsler, C.; Kollerits, B.; Meinitzer, A.; März, W.; Ritz, E.; König, P.; Neyer, U.; Pilz, S.; Wanner, C.; Kronenberg, F.; et al. Homoarginine and Progression of Chronic Kidney Disease: Results from the Mild to Moderate Kidney Disease Study. PLoS ONE 2013, 8, e63560. [Google Scholar] [CrossRef]
- Frenay, A.-R.S.; Kayacelebi, A.A.; Beckmann, B.; Soedamah-Muhtu, S.S.; de Borst, M.H.; van den Berg, E.; van Goor, H.; Bakker, S.J.L.; Tsikas, D. High Urinary Homoarginine Excretion Is Associated with Low Rates of All-Cause Mortality and Graft Failure in Renal Transplant Recipients. Amino Acids 2015, 47, 1827–1836. [Google Scholar] [CrossRef] [PubMed]
- Kayacelebi, A.A.; Minović, I.; Hanff, E.; Frenay, A.-R.S.; de Borst, M.H.; Feelisch, M.; van Goor, H.; Bakker, S.J.L.; Tsikas, D. Low Plasma Homoarginine Concentration Is Associated with High Rates of All-Cause Mortality in Renal Transplant Recipients. Amino Acids 2017, 49, 1193–1202. [Google Scholar] [CrossRef] [PubMed]
- Hanff, E.; Said, M.Y.; Kayacelebi, A.A.; Post, A.; Minovic, I.; van den Berg, E.; de Borst, M.H.; van Goor, H.; Bakker, S.J.L.; Tsikas, D. High Plasma Guanidinoacetate-to-Homoarginine Ratio Is Associated with High All-Cause and Cardiovascular Mortality Rate in Adult Renal Transplant Recipients. Amino Acids 2019, 51, 1485–1499. [Google Scholar] [CrossRef] [PubMed]
- Buck, A.; Kayacelebi, A.A.; Chobanyan-Jürgens, K.; Illsinger, S.; Bohnhorst, B.; Beckmann, B.; Hanff, E.; Das, A.M.; Tsikas, D.; Lücke, T. Comprehensive Analysis of the L-Arginine/L-Homoarginine/Nitric Oxide Pathway in Preterm Neonates: Potential Roles for Homoarginine and Asymmetric Dimethylarginine in Foetal Growth. Amino Acids 2017, 49, 783–794. [Google Scholar] [CrossRef] [PubMed]
- Hörster, I.; Weigt-Usinger, K.; Carmann, C.; Chobanyan-Jürgens, K.; Köhler, C.; Schara, U.; Kayacelebi, A.A.; Beckmann, B.; Tsikas, D.; Lücke, T. The L-Arginine/NO Pathway and Homoarginine Are Altered in Duchenne Muscular Dystrophy and Improved by Glucocorticoids. Amino Acids 2015, 47, 1853–1863. [Google Scholar] [CrossRef]
- Lücke, T.; Kanzelmeyer, N.; Kemper, M.J.; Tsikas, D.; Das, A.M. Developmental Changes in the L-Arginine/Nitric Oxide Pathway from Infancy to Adulthood: Plasma Asymmetric Dimethylarginine Levels Decrease with Age. Clin. Chem. Lab. Med. 2007, 45, 1525–1530. [Google Scholar] [CrossRef]
- Tsikas, D. Urinary Dimethylamine (DMA) and Its Precursor Asymmetric Dimethylarginine (ADMA) in Clinical Medicine, in the Context of Nitric Oxide (NO) and Beyond. J. Clin. Med. 2020, 9, 1843. [Google Scholar] [CrossRef]
- Van de Poll, M.C.G.; Soeters, P.B.; Deutz, N.E.P.; Fearon, K.C.H.; Dejong, C.H.C. Renal Metabolism of Amino Acids: Its Role in Interorgan Amino Acid Exchange. Am. J. Clin. Nutr. 2004, 79, 185–197. [Google Scholar] [CrossRef]
- Böger, R.H. Asymmetric Dimethylarginine, an Endogenous Inhibitor of Nitric Oxide Synthase, Explains the “L-Arginine Paradox” and Acts as a Novel Cardiovascular Risk Factor. J. Nutr. 2004, 134, 2842S–2847S; discussion 2853S. [Google Scholar] [CrossRef]
- Zeisel, S.H.; DaCosta, K.A.; Fox, J.G. Endogenous Formation of Dimethylamine. Biochem. J. 1985, 232, 403–408. [Google Scholar] [CrossRef]
- Nielsen, F.; Mikkelsen, B.B.; Nielsen, J.B.; Andersen, H.R.; Grandjean, P. Plasma Malondialdehyde as Biomarker for Oxidative Stress: Reference Interval and Effects of Life-Style Factors. Clin. Chem. 1997, 43, 1209–1214. [Google Scholar] [CrossRef]
- D’souza, D.; Subhas, B.G.; Shetty, S.R.; Balan, P. Estimation of Serum Malondialdehyde in Potentially Malignant Disorders and Post-Antioxidant Treated Patients: A Biochemical Study. Contemp. Clin. Dent. 2012, 3, 448–451. [Google Scholar] [CrossRef] [PubMed]
- Ayala, A.; Muñoz, M.F.; Argüelles, S. Lipid Peroxidation: Production, Metabolism, and Signaling Mechanisms of Malondialdehyde and 4-Hydroxy-2-Nonenal. Oxid. Med. Cell Longev. 2014, 2014, 360438. [Google Scholar] [CrossRef] [PubMed]
- Ozbek, E. Induction of Oxidative Stress in Kidney. Int. J. Nephrol. 2012, 2012, 465897. [Google Scholar] [CrossRef] [PubMed]
- Tsikas, D. Circulating and Excretory Nitrite and Nitrate: Their Value as Measures of Nitric Oxide Synthesis, Bioavailability and Activity Is Inherently Limited. Nitric Oxide 2015, 45, 1–3. [Google Scholar] [CrossRef]
- Lustgarten, M.S.; Fielding, R.A. Metabolites Related to Renal Function, Immune Activation, and Carbamylation Are Associated with Muscle Composition in Older Adults. Exp. Gerontol. 2017, 100, 1–10. [Google Scholar] [CrossRef] [PubMed]
- Lieberman, M.; Marks, A.D. Marks’ Basic Medical Biochemistry: A Clinical Approach; Lippincott Williams & Wilkins: Philadelphia, PA, USA, 2009; ISBN 978-0-7817-7022-4. [Google Scholar]
- Xue, Y.; Daniels, L.B.; Maisel, A.S.; Iqbal, N. Cardiac Biomarkers. In Reference Module in Biomedical Sciences; Elsevier: Amsterdam, The Netherlands, 2014; ISBN 978-0-12-801238-3. [Google Scholar]
- Salazar, J.H. Overview of Urea and Creatinine. Lab. Med. 2014, 45, e19–e20. [Google Scholar] [CrossRef]
- Wiedeman, A.M.; Barr, S.I.; Green, T.J.; Xu, Z.; Innis, S.M.; Kitts, D.D. Dietary Choline Intake: Current State of Knowledge Across the Life Cycle. Nutrients 2018, 10, 1513. [Google Scholar] [CrossRef]
- González, R. Editorial: Ureteropelvic Junction Obstruction (UPJO) in Infants. Front. Pediatr. 2017, 5. [Google Scholar] [CrossRef]
- Tsikas, D. Simultaneous Derivatization and Quantification of the Nitric Oxide Metabolites Nitrite and Nitrate in Biological Fluids by Gas Chromatography/Mass Spectrometry. Anal. Chem. 2000, 72, 4064–4072. [Google Scholar] [CrossRef]
- Tsikas, D.; Kayacelebi, A.A. Do Homoarginine and Asymmetric Dimethylarginine Act Antagonistically in the Cardiovascular System? Circ. J. 2014, 78, 2094–2095. [Google Scholar] [CrossRef] [PubMed]
- Tsikas, D.; Wu, G. Homoarginine, Arginine, and Relatives: Analysis, Metabolism, Transport, Physiology, and Pathology. Amino Acids 2015, 47, 1697–1702. [Google Scholar] [CrossRef] [PubMed]
- Savvidou, M.D.; Hingorani, A.D.; Tsikas, D.; Frölich, J.C.; Vallance, P.; Nicolaides, K.H. Endothelial Dysfunction and Raised Plasma Concentrations of Asymmetric Dimethylarginine in Pregnant Women Who Subsequently Develop Pre-Eclampsia. Lancet 2003, 361, 1511–1517. [Google Scholar] [CrossRef]
- Khalil, A.A.; Tsikas, D.; Akolekar, R.; Jordan, J.; Nicolaides, K.H. Asymmetric Dimethylarginine, Arginine and Homoarginine at 11-13 Weeks’ Gestation and Preeclampsia: A Case-Control Study. J. Hum. Hypertens. 2013, 27, 38–43. [Google Scholar] [CrossRef]
- Tsikas, D.; Bollenbach, A.; Savvidou, M.D. Inverse Correlation between Maternal Plasma Asymmetric Dimethylarginine (ADMA) and Birthweight Percentile in Women with Impaired Placental Perfusion: Circulating ADMA as an NO-Independent Indicator of Fetal Growth Restriction? Amino Acids 2018, 50, 341–351. [Google Scholar] [CrossRef] [PubMed]





| Characteristics | Group A (n = 21) | Group B (n = 21) | Group C (n = 19) | p Value |
|---|---|---|---|---|
| Gender (male/female) | 19/2 | 16/5 | 11/8 | N.A. |
| Laterality (right/left) | 10/11 | 1/20 | N.A. | N.A. |
| Diagnosis (pre-/postnatally) | 20/1 | 21/0 | N.A. | N.A. |
| Age at admission in the study (months) (median (interquartile range)) | 2 (1–5.3) | 2 (2–6) | 2 (1–2.5) | 0.89 |
| Preoperative anterior–posterior (AP) renal pelvic diameter (mm) (median (interquartile range)) | 18 (16.8–25) | 11.5 (9.8–13) | N.A. | 0.02 |
| Preoperative anterior–posterior (AP) renal pelvic diameter (SFU grade) | grade 3:9 grade 4:12 | grade 1:4 grade 2:17 | N.A. | N.A. |
| Serum creatinine (SCr) (mg/dL) (median (interquartile range)) | 0.49 (0.45–0.53) | 0.48 (0.43–0.50) | 0.52 (0.44–0.55) | 0.09 |
| Blood urea nitrogen (BUN) (mg/dL) (median (interquartile range)) | 20 (15.5–24.5) | 15 (11.5–17.5) | 13 (11–25) | 0.32 |
| MAG-3 | ||||
| T1/2 > 20 min T1/2: 15—20 min T1/2 < 15 min | 16 5 0 | 0 0 21 | N.A. | N.A. |
| Analyte | Group A (n = 21) | Group B (n = 21) | Group C (n = 19) | A vs. B (q Value) | A vs. C (q Value) | B vs. C (q Value) |
|---|---|---|---|---|---|---|
| Alanine (Ala) | 407 (378–481) | 515 (416–654) | 416 (345–534) | 0.102 | 0.999 | 0.102 |
| Threonine (Thr) | 217 (167–239) | 241 (199–297) | 286 (178–395) | 0.275 | 0.129 | 0.519 |
| Glycine (Gly) | 301 ± 62.8 | 316 ± 107 | 325 ± 167 | 0.999 | 0.999 | 0.999 |
| Valine (Val) | 263 ± 51.4 | 300 ± 95.2 | 293 ± 144 | 0.602 | 0.602 | 0.885 |
| Serine (Ser) | 212 (200–234) | 230 (183–308) | 231 (192–786) | 0.444 | 0.444 | 0.768 |
| Sarcosine | 1.09 (0.92–1.76) | 1.47 (0.97–1.94) | 1.32 (1.12–2.0) | 0.373 | 0.373 | 0.999 |
| Leucine + Isoleucine (Leu + Ile) | 250 (226–294) | 278 (224–319) | 246 (226–349) | 0.752 | 0.752 | 0.752 |
| Guanidino acetate (GAA) | 1.09 (1.02–1.15) | 1.33 (0.85–1.67) | 1.01 (0.81–1.23) | 0.397 | 0.397 | 0.236 |
| Aspartate + Asparagine (Asp + Asn) | 74.5 (66.5–91.8) | 76.2 (59.4–102) | 77.6 (65.9–112) | 0.903 | 0.903 | 0.903 |
| 4-hydroxy-proline (OH-Pro) | 48.9 (26.3–58.2) | 41.7 (32.1–67.7) | 44.2 (20.0–71.8) | 0.901 | 0.901 | 0.901 |
| Proline (Pro) | 192 (171–218) | 227 (174–273) | 234 (169–267) | 0.165 | 0.165 | 0.935 |
| Methionine (Met) | 61.8 ± 13.5 | 71.9 ± 15.0 | 67.0 ± 19.1 | 0.186 | 0.367 | 0.367 |
| Glutamate + Glutamine (Glu + Gln) | 829 (714–937) | 963 (790–1236) | 939 (728–1264) | 0.261 | 0.437 | 0.552 |
| Ornithine + Citrouline (Orn + Cit) | 109 (91.2–148) | 116 (85.1–212) | 132 (71.1–185) | 0.839 | 0.839 | 0.890 |
| Phenylalanine (Phe) | 99.1 ± 20.8 | 111 ± 43.1 | 106 ± 56.5 | 0.763 | 0.763 | 0.763 |
| Tyrosine (Tyr) | 101 ± 25.4 | 125 ± 49.7 | 109 ± 56.7 | 0.377 | 0.629 | 0.474 |
| Lysine (Lys) | 209 (169–240) | 224 (172–281) | 198 (159–302) | 0.851 | 0.851 | 0.851 |
| Arginine (Arg) | 130 ± 40.8 | 141 ± 49.5 | 112 ± 64.1 | 0.560 | 0.486 | 0.318 |
| homoarginine (hArg) | 0.67 ± 0.22 | 1.05 ± 0.43 | 0.76 ± 0.29 | 0.006 | 0.261 | 0.014 |
| Asymmetric dimethylarginine (ADMA) | 0.85 ± 0.17 | 1.29 ± 0.71 | 1.20 ± 0.64 | 0.050 | 0.140 | 0.650 |
| Nitrate | 69.1 (64.7–80.3) | 75.6 (62.8–87.0) | 71.9 (67.1–95.9) | 0.437 | 0.437 | 0.941 |
| Nitrite | 4.3 (3.0–5.9) | 4.2 (3.3–4.8) | 4.3 (3.4–5.7) | 0.865 | 0.865 | 0.865 |
| Malondialdehyde (MDA) | 1.5 ± 0.6 | 3.4 ± 3.2 | 2.4 ± 1.4 | 0.022 | 0.188 | 0.188 |
| Pro/OH-Pro | 4.1 (3.5–6.5) | 4.0 (3.2–7.6) | 4.9 (2.3–6.3) | 0.999 | 0.999 | 0.999 |
| hArg/ADMA | 0.74 ± 0.22 | 1.1 ± 0.65 | 0.74 ± 0.37 | 0.064 | 0.909 | 0.065 |
| A vs. B | B vs. C | |||
|---|---|---|---|---|
| AUC (95% CI) | log2FC | AUC (95% CI) | log2FC | |
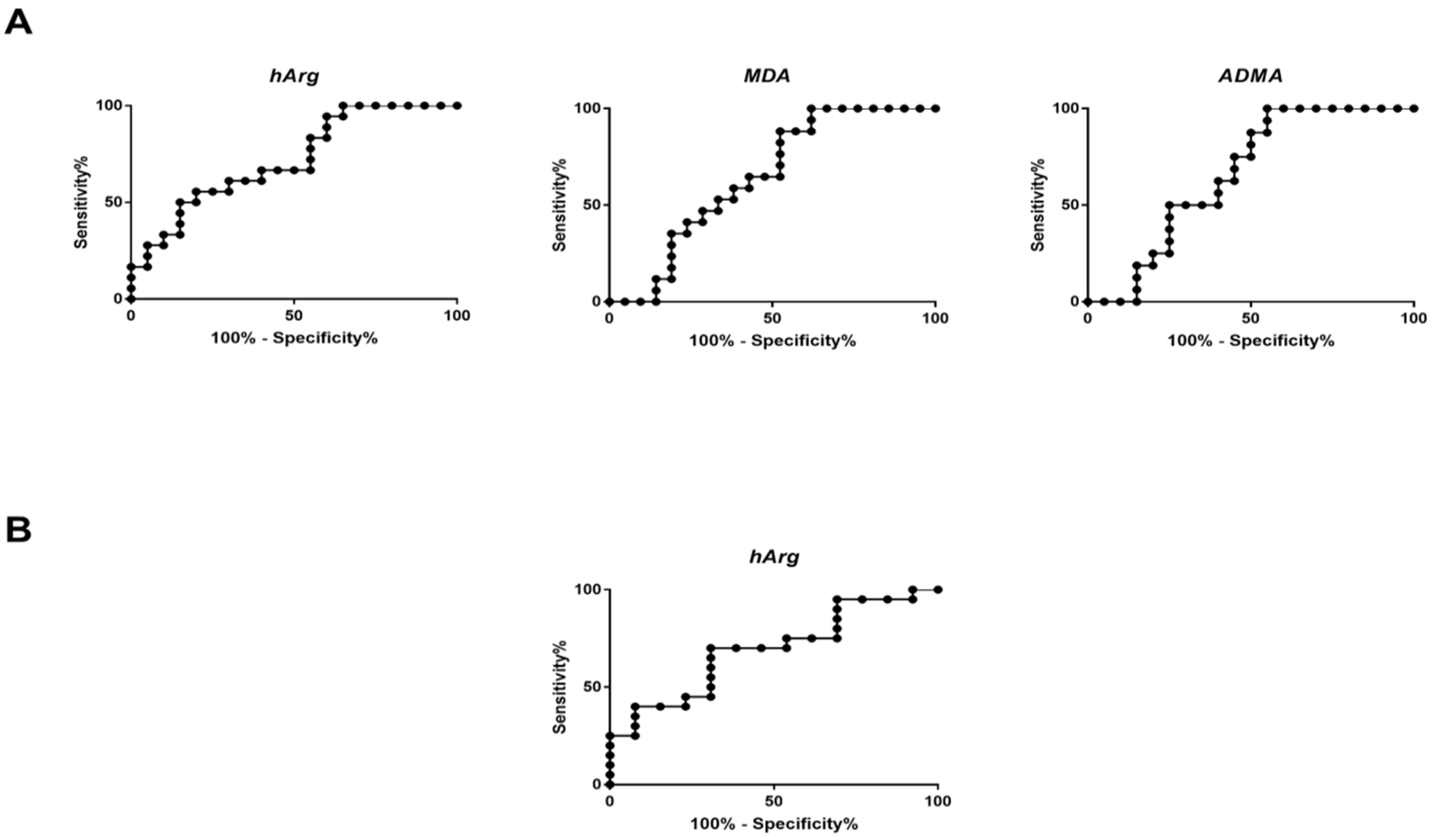
| ADMA | 0.66 (0.48–0.84) | 0.6 | – | |
| hArg | 0.72 (0.56–0.88) | 0.65 | 0.68 (0.51–0.87) | −0.47 |
| MDA | 0.64 (0.47–0.82) | 1.21 | – | |
Publisher’s Note: MDPI stays neutral with regard to jurisdictional claims in published maps and institutional affiliations. |
© 2021 by the authors. Licensee MDPI, Basel, Switzerland. This article is an open access article distributed under the terms and conditions of the Creative Commons Attribution (CC BY) license (https://creativecommons.org/licenses/by/4.0/).
Share and Cite
Begou, O.; Pavlaki, A.; Deda, O.; Bollenbach, A.; Drabert, K.; Gika, H.; Farmaki, E.; Dotis, J.; Printza, N.; Theodoridis, G.; et al. Diminished Systemic Amino Acids Metabolome and Lipid Peroxidation in Ureteropelvic Junction Obstruction (UPJO) Infants Requiring Surgery. J. Clin. Med. 2021, 10, 1467. https://doi.org/10.3390/jcm10071467
Begou O, Pavlaki A, Deda O, Bollenbach A, Drabert K, Gika H, Farmaki E, Dotis J, Printza N, Theodoridis G, et al. Diminished Systemic Amino Acids Metabolome and Lipid Peroxidation in Ureteropelvic Junction Obstruction (UPJO) Infants Requiring Surgery. Journal of Clinical Medicine. 2021; 10(7):1467. https://doi.org/10.3390/jcm10071467
Chicago/Turabian StyleBegou, Olga, Antigoni Pavlaki, Olga Deda, Alexander Bollenbach, Kathrin Drabert, Helen Gika, Evangelia Farmaki, John Dotis, Nikoleta Printza, Georgios Theodoridis, and et al. 2021. "Diminished Systemic Amino Acids Metabolome and Lipid Peroxidation in Ureteropelvic Junction Obstruction (UPJO) Infants Requiring Surgery" Journal of Clinical Medicine 10, no. 7: 1467. https://doi.org/10.3390/jcm10071467
APA StyleBegou, O., Pavlaki, A., Deda, O., Bollenbach, A., Drabert, K., Gika, H., Farmaki, E., Dotis, J., Printza, N., Theodoridis, G., & Tsikas, D. (2021). Diminished Systemic Amino Acids Metabolome and Lipid Peroxidation in Ureteropelvic Junction Obstruction (UPJO) Infants Requiring Surgery. Journal of Clinical Medicine, 10(7), 1467. https://doi.org/10.3390/jcm10071467

