Appendectomy and Non-Typhoidal Salmonella Infection: A Population-Based Matched Cohort Study
Abstract
1. Introduction
2. Materials and Methods
2.1. Data Source
2.2. Standard Protocol Approvals, Registrations, and Patient Consents
2.3. Study Subjects
2.4. Identification of Main Outcome
2.5. Negative Exposure Control Analysis
2.6. Statistical Analysis
3. Results
3.1. Patient Characteristics
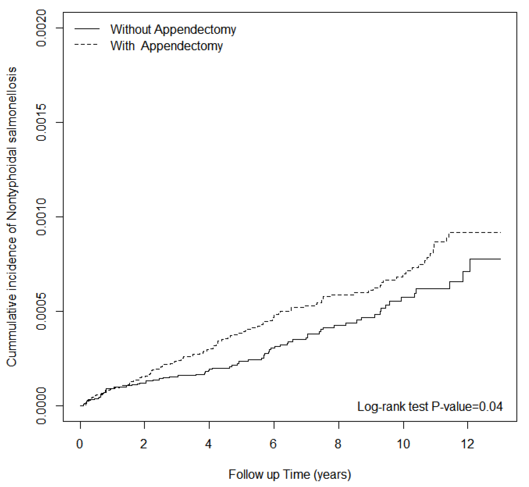
3.2. Outcomes
3.3. Sensitivity Analyses
3.4. Subgroup Analysis
4. Discussion
5. Conclusions
Author Contributions
Funding
Institutional Review Board Statement
Informed Consent Statement
Data Availability Statement
Acknowledgments
Conflicts of Interest
References
- Ferris, M.; Quan, S.; Kaplan, B.S.; Molodecky, N.; Ball, C.G.; Chernoff, G.W.; Bhala, N.; Ghosh, S.; Dixon, E.; Ng, S.; et al. The Global Incidence of Appendicitis: A Systematic Review of Population-based Studies. Ann. Surg. 2017, 266, 237–241. [Google Scholar] [CrossRef]
- Lin, K.B.; Lai, K.R.; Yang, N.P.; Chan, C.L.; Liu, Y.H.; Pan, R.H.; Huang, C.H. Epidemiology and socioeconomic features of appendicitis in Taiwan: A 12-year population-based study. World J. Emerg. Surg. 2015, 10, 42. [Google Scholar] [CrossRef] [PubMed]
- Girard-Madoux, M.J.; de Agüero, M.G.; Ganal-Vonarburg, S.C.; Mooser, C.; Belz, G.T.; Macpherson, A.J.; Vivier, E. The immunological functions of the Appendix: An example of redundancy? Semin. Immunol. 2018, 36, 31–44. [Google Scholar] [CrossRef] [PubMed]
- Kooij, I.A.; Sahami, S.; Meijer, S.L.; Buskens, C.J.; Te Velde, A.A. The immunology of the vermiform appendix: A review of the literature. Clin. Exp. Immunol. 2016, 186, 1–9. [Google Scholar] [CrossRef]
- Im, G.Y.; Modayil, R.J.; Lin, C.T.; Geier, S.J.; Katz, D.S.; Feuerman, M.; Grendell, J.H. The appendix may protect against Clostridium difficile recurrence. Clin. Gastroenterol. Hepatol. Off. Clin. Pract. J. Am. Gastroenterol. Assoc. 2011, 9, 1072–1077. [Google Scholar] [CrossRef] [PubMed]
- Sánchez-Alcoholado, L.; Fernández-García, J.C.; Gutiérrez-Repiso, C.; Bernal-López, M.R.; Ocaña-Wilhelmi, L.; García-Fuentes, E.; Moreno-Indias, I.; Tinahones, F.J. Incidental Prophylactic Appendectomy Is Associated with a Profound Microbial Dysbiosis in the Long-Term. Microorganisms 2020, 8, 609. [Google Scholar] [CrossRef] [PubMed]
- Lamarche, D.; Johnstone, J.; Zytaruk, N.; Clarke, F.; Hand, L.; Loukov, D.; Szamosi, J.C.; Rossi, L.; Schenck, L.P.; Verschoor, C.P.; et al. Microbial dysbiosis and mortality during mechanical ventilation: A prospective observational study. Respir. Res. 2018, 19, 245. [Google Scholar] [CrossRef] [PubMed]
- Lai, S.W.; Lin, C.L.; Liao, K.F.; Tsai, S.M. Increased risk of pulmonary tuberculosis among patients with appendectomy in Taiwan. Eur. J. Clin. Microbiol. Infect. Dis. Off. Publ. Eur. Soc. Clin. Microbiol. 2014, 33, 1573–1577. [Google Scholar] [CrossRef]
- Wu, M.C.; Tsou, H.K.; Lin, C.L.; Wei, J.C. Incidence and risk of sepsis following appendectomy: A nationwide population-based cohort study. Sci. Rep. 2020, 10, 10171. [Google Scholar] [CrossRef]
- World Health Organization. Salmonella (Non-Typhoidal). Available online: https://www.who.int/news-room/fact-sheets/detail/salmonella-(non-typhoidal) (accessed on 25 September 2020).
- Wu, H.H.; Chen, Y.T.; Shih, C.J.; Lee, Y.T.; Kuo, S.C.; Chen, T.L. Association between recent use of proton pump inhibitors and nontyphoid salmonellosis: A nested case-control study. Clin. Infect. Dis. 2014, 59, 1554–1558. [Google Scholar] [CrossRef]
- Steffen, R.; Hill, D.R.; DuPont, H.L. Traveler’s diarrhea: A clinical review. JAMA 2015, 313, 71–80. [Google Scholar] [CrossRef] [PubMed]
- Marzel, A.; Desai, P.T.; Goren, A.; Schorr, Y.I.; Nissan, I.; Porwollik, S.; Valinsky, L.; McClelland, M.; Rahav, G.; Gal-Mor, O. Persistent Infections by Nontyphoidal Salmonella in Humans: Epidemiology and Genetics. Clin. Infect. Dis. 2016, 62, 879–886. [Google Scholar] [CrossRef] [PubMed]
- Haselbeck, A.H.; Panzner, U.; Im, J.; Baker, S.; Meyer, C.G.; Marks, F. Current perspectives on invasive nontyphoidal Salmonella disease. Curr. Opin. Infect. Dis. 2017, 30, 498–503. [Google Scholar] [CrossRef]
- Katiyo, S.; Muller-Pebody, B.; Minaji, M.; Powell, D.; Johnson, A.P.; De Pinna, E.; Day, M.; Harris, R.; Godbole, G. Epidemiology and Outcomes of Nontyphoidal Salmonella Bacteremias from England, 2004 to 2015. J. Clin. Microbiol. 2019, 57, e01189-18. [Google Scholar] [CrossRef]
- Parisi, A.; Crump, J.A.; Stafford, R.; Glass, K.; Howden, B.P.; Kirk, M.D. Increasing incidence of invasive nontyphoidal Salmonella infections in Queensland, Australia, 2007–2016. PLoS Negl. Trop. Dis. 2019, 13, e0007187. [Google Scholar] [CrossRef] [PubMed]
- Gordon, M.A. Salmonella infections in immunocompromised adults. J. Infect. 2008, 56, 413–422. [Google Scholar] [CrossRef]
- Kurtz, J.R.; Goggins, J.A.; McLachlan, J.B. Salmonella infection: Interplay between the bacteria and host immune system. Immunol. Lett. 2017, 190, 42–50. [Google Scholar] [CrossRef]
- Lee, S.C.; Yang, P.H.; Shieh, W.B.; Lasserre, R. Bacteremia due to non-typhi Salmonella: Analysis of 64 cases and review. Clin. Infect. Dis. 1994, 19, 693–696. [Google Scholar] [CrossRef]
- Shimoni, Z.; Pitlik, S.; Leibovici, L.; Samra, Z.; Konigsberger, H.; Drucker, M.; Agmon, V.; Ashkenazi, S.; Weinberger, M. Nontyphoid Salmonella bacteremia: Age-related differences in clinical presentation, bacteriology, and outcome. Clin. Infect. Dis. 1999, 28, 822–827. [Google Scholar] [CrossRef]
- Hohmann, E.L. Nontyphoidal salmonellosis. Clin. Infect. Dis. 2001, 32, 263–269. [Google Scholar] [CrossRef]
- Brown, M.; Eykyn, S.J. Non-typhoidal Salmonella bacteraemia without gastroenteritis: A marker of underlying immunosuppression. Review Of cases at St. Thomas’ Hospital 1970–1999. J. Infect. 2000, 41, 256–259. [Google Scholar] [CrossRef] [PubMed]
- Morpeth, S.C.; Ramadhani, H.O.; Crump, J.A. Invasive non-Typhi Salmonella disease in Africa. Clin. Infect. Dis. 2009, 49, 606–611. [Google Scholar] [CrossRef] [PubMed]
- Kunz, L.J.; Waddell, W.R. Association of Salmonella enteritis with operations on the stomach. N. Engl. J. Med. 1956, 255, 555–559. [Google Scholar] [CrossRef] [PubMed]
- Kolling, G.; Wu, M.; Guerrant, R.L. Enteric pathogens through life stages. Front. Cell. Infect. Microbiol. 2012, 2, 114. [Google Scholar] [CrossRef] [PubMed]
- Wu, C.Y.; Kuo, K.N.; Wu, M.S.; Chen, Y.J.; Wang, C.B.; Lin, J.T. Early Helicobacter pylori eradication decreases risk of gastric cancer in patients with peptic ulcer disease. Gastroenterology 2009, 137, 1641–1648.e2. [Google Scholar] [CrossRef] [PubMed]
- Wei, L.; Ratnayake, L.; Phillips, G.; McGuigan, C.C.; Morant, S.V.; Flynn, R.W.; Mackenzie, I.S.; MacDonald, T.M. Acid-suppression medications and bacterial gastroenteritis: A population-based cohort study. Br. J. Clin. Pharmacol. 2017, 83, 1298–1308. [Google Scholar] [CrossRef] [PubMed]
- Bhangu, A.; Søreide, K.; Di Saverio, S.; Assarsson, J.H.; Drake, F.T. Acute appendicitis: Modern understanding of pathogenesis, diagnosis, and management. Lancet 2015, 386, 1278–1287. [Google Scholar] [CrossRef]
- Yoon, W.J.; Kim, H.N.; Park, E.; Ryu, S.; Chang, Y.; Shin, H.; Kim, H.L.; Yi, S.Y. The Impact of Cholecystectomy on the Gut Microbiota: A Case-Control Study. J. Clin. Med. 2019, 8, 79. [Google Scholar] [CrossRef]
- Grigor’eva, I.N.; Romanova, T.I. Gallstone Disease and Microbiome. Microorganisms 2020, 8, 835. [Google Scholar] [CrossRef]
- Erawijantari, P.P.; Mizutani, S.; Shiroma, H.; Shiba, S.; Nakajima, T.; Sakamoto, T.; Saito, Y.; Fukuda, S.; Yachida, S.; Yamada, T. Influence of gastrectomy for gastric cancer treatment on faecal microbiome and metabolome profiles. Gut 2020, 69, 1404–1415. [Google Scholar] [CrossRef]
- Crommen, S.; Mattes, A.; Simon, M.C. Microbial Adaptation Due to Gastric Bypass Surgery: The Nutritional Impact. Nutrients 2020, 12, 1199. [Google Scholar] [CrossRef] [PubMed]
- Arguello, H.; Estelle, J.; Leonard, F.C.; Crispie, F.; Cotter, P.D.; O’Sullivan, O.; Lynch, H.; Walia, K.; Duffy, G.; Lawlor, P.G.; et al. Influence of the Intestinal Microbiota on Colonization Resistance to Salmonella and the Shedding Pattern of Naturally Exposed Pigs. mSystems 2019, 4, e00021-19. [Google Scholar] [CrossRef] [PubMed]
- Onrust, L.; Baeyen, S.; Haesebrouck, F.; Ducatelle, R.; Van Immerseel, F. Effect of in feed administration of different butyrate formulations on Salmonella Enteritidis colonization and cecal microbiota in broilers. Vet. Res. 2020, 51, 56. [Google Scholar] [CrossRef] [PubMed]
- Boesmans, L.; Valles-Colomer, M.; Wang, J.; Eeckhaut, V.; Falony, G.; Ducatelle, R.; Van Immerseel, F.; Raes, J.; Verbeke, K. Butyrate Producers as Potential Next-Generation Probiotics: Safety Assessment of the Administration of Butyricicoccus pullicaecorum to Healthy Volunteers. mSystems 2018, 3, e00094-18. [Google Scholar] [CrossRef] [PubMed]
- Spahn, T.W.; Kucharzik, T. Modulating the intestinal immune system: The role of lymphotoxin and GALT organs. Gut 2004, 53, 456–465. [Google Scholar] [CrossRef]
- Laurin, M.; Everett, M.L.; Parker, W. The cecal appendix: One more immune component with a function disturbed by post-industrial culture. Anat. Rec. 2011, 294, 567–579. [Google Scholar] [CrossRef]
- Randal Bollinger, R.; Barbas, A.S.; Bush, E.L.; Lin, S.S.; Parker, W. Biofilms in the large bowel suggest an apparent function of the human vermiform appendix. J. Theor. Biol. 2007, 249, 826–831. [Google Scholar] [CrossRef] [PubMed]
- Bazar, K.A.; Lee, P.Y.; Joon Yun, A. An “eye” in the gut: The appendix as a sentinel sensory organ of the immune intelligence network. Med. Hypotheses 2004, 63, 752–758. [Google Scholar] [CrossRef] [PubMed]
- Barlow, A.; Muhleman, M.; Gielecki, J.; Matusz, P.; Tubbs, R.S.; Loukas, M. The vermiform appendix: A review. Clin. Anat. 2013, 26, 833–842. [Google Scholar] [CrossRef]
- Stanaway, J.D.; Parisi, A.; Sarkar, K.; Blacker, B.F.; Reiner, R.C.; Hay, S.I.; Nixon, M.R.; Dolecek, C.; James, S.L.; Mokdad, A.H.; et al. The global burden of non-typhoidal salmonella invasive disease: A systematic analysis for the Global Burden of Disease Study 2017. Lancet Infect. Dis. 2019, 19, 1312–1324. [Google Scholar] [CrossRef]
- Fairweather, D.; Frisancho-Kiss, S.; Rose, N.R. Sex differences in autoimmune disease from a pathological perspective. Am. J. Pathol. 2008, 173, 600–609. [Google Scholar] [CrossRef] [PubMed]
- Kim, Y.S.; Unno, T.; Kim, B.Y.; Park, M.S. Sex Differences in Gut Microbiota. World J. Mens Health 2020, 38, 48–60. [Google Scholar] [CrossRef] [PubMed]
- Hsing, A.W.; Ioannidis, J.P. Nationwide Population Science: Lessons from the Taiwan National Health Insurance Research Database. JAMA Intern. Med. 2015, 175, 1527–1529. [Google Scholar] [CrossRef] [PubMed]
- Copeland, K.T.; Checkoway, H.; McMichael, A.J.; Holbrook, R.H. Bias due to misclassification in the estimation of relative risk. Am. J. Epidemiol. 1977, 105, 488–495. [Google Scholar] [CrossRef] [PubMed]

| Non-Appendectomy | Appendectomy | ||||
|---|---|---|---|---|---|
| (N = 208,585) | (N = 208,585) | ||||
| Variables | n | % | n | % | SMD |
| Gender | 0.004 | ||||
| Female | 101,187 | 49% | 100,762 | 48% | |
| Male | 107,398 | 51% | 107,823 | 52% | |
| Age group | |||||
| 18–30 | 67,712 | 32% | 73,158 | 35% | 0.06 |
| 31–40 | 48,032 | 23% | 51,535 | 25% | 0.04 |
| 41–50 | 38,410 | 18% | 38,985 | 18.5% | 0.007 |
| 51–60 | 23,946 | 12% | 22,957 | 11% | 0.02 |
| 61–70 | 14,661 | 7% | 11,934 | 5.7% | 0.05 |
| 71–80 | 11,166 | 5.4% | 7381 | 3.5% | 0.09 |
| 81–100 | 4658 | 2.2% | 2635 | 1.3% | 0.07 |
| mean, (SD) | 40.8 | (16.7) | 38.8 | (15.2) | 0.13 |
| Occupation | |||||
| white-collar worker | 109,333 | 52% | 114,108 | 55% | 0.046 |
| blue-collar worker | 47,233 | 23% | 48,197 | 23% | 0.011 |
| farmer | 4268 | 2% | 4053 | 2% | 0.007 |
| fisher | 25,437 | 12% | 22,041 | 11% | 0.05 |
| others | 22,314 | 11% | 20,186 | 10% | 0.03 |
| Comorbidities | |||||
| hypertension | 26,344 | 13% | 13,982 | 7% | 0.20 |
| diabetes | 12,891 | 6.2% | 7646 | 3.7% | 0.12 |
| hyperlipidemia | 5811 | 2.8% | 3185 | 1.5% | 0.09 |
| CAD | 8518 | 4.1% | 3908 | 1.9% | 0.13 |
| CVD | 6512 | 3.1% | 3189 | 1.5% | 0.11 |
| CKD | 1492 | 0.7% | 762 | 0.4% | 0.05 |
| COPD | 3235 | 1.6% | 1532 | 0.7% | 0.08 |
| HIV | 105 | 0.1% | 93 | 0.0% | 0.003 |
| Liver cirrhosis | 1036 | 0.5% | 551 | 0.3% | 0.04 |
| SLE | 506 | 0.2% | 233 | 0.1% | 0.03 |
| Crude Analysis | Adjusted Analysis † | ||||||
|---|---|---|---|---|---|---|---|
| Variables | Events | PY | IR | HR | 95% CI | HR | 95% CI |
| Appendectomy | |||||||
| No | 77 | 1,402,999 | 0.55 | 1.00 | (reference) | 1.00 | (reference) |
| Yes | 112 | 1,521,600 | 0.74 | 1.35 | (1.01, 1.8) * | 1.61 | (1.20, 2.17) ** |
| Gender | |||||||
| Female | 96 | 1,426,675 | 0.67 | 1.00 | (reference) | ||
| Male | 93 | 1,497,924 | 0.62 | 0.92 | (0.69, 1.23) | ||
| Age group | |||||||
| 18–30 | 49 | 1,056,867 | 0.46 | 1.00 | (reference) | 1.00 | (reference) |
| 31–40 | 36 | 706,585 | 0.51 | 1.10 | (0.72, 1.69) | 1.05 | (0.68, 1.61) |
| 41–50 | 31 | 550,161 | 0.56 | 1.22 | (0.78, 1.91) | 1.15 | (0.73, 1.80) |
| 51–60 | 15 | 300,584 | 0.49 | 1.09 | (0.61, 1.95) | 0.93 | (0.52, 1.68) |
| 61–70 | 27 | 168,690 | 1.60 | 3.49 | (2.18, 5.59) *** | 2.62 | (1.57, 4.37) *** |
| 71–80 | 19 | 109,128 | 1.74 | 3.84 | (2.25, 6.52) *** | 2.51 | (1.37, 4.60) *** |
| 81–100 | 12 | 32,584 | 3.68 | 8.16 | (4.32, 15.4) *** | 4.50 | (2.16, 9.38) *** |
| Occupation | |||||||
| white-collar worker | 102 | 1,568,790 | 0.65 | 1.00 | (reference) | ||
| blue-collar worker | 47 | 668,814 | 0.70 | 1.08 | (0.77, 1.53) | ||
| farmer | 3 | 59,873 | 0.50 | 0.77 | (0.24, 2.43) | ||
| fisher | 25 | 331,922 | 0.75 | 1.16 | (0.75, 1.80) | ||
| others | 12 | 295,200 | 0.41 | 0.63 | (0.34, 1.14) | ||
| Comorbidities | |||||||
| hypertension | |||||||
| No | 152 | 2,714,893 | 0.56 | 1.00 | (reference) | 1.00 | (reference) |
| Yes | 37 | 209,706 | 1.76 | 3.21 | (2.24, 4.62) *** | 1.12 | (0.67, 1.85) |
| diabetes | |||||||
| No | 166 | 2,813,306 | 0.59 | 1.00 | (reference) | 1.00 | (reference) |
| Yes | 23 | 111,293 | 2.07 | 3.53 | (2.28, 5.48) *** | 1.75 | (1.06, 2.88) * |
| hyperlipidemia | |||||||
| No | 183 | 2,875,027 | 0.64 | 1.00 | (reference) | ||
| Yes | 6 | 49,573 | 1.21 | 1.90 | (0.84, 4.30) | ||
| CAD | |||||||
| No | 171 | 2,857,167 | 0.60 | 1.00 | (reference) | 1.00 | (reference) |
| Yes | 18 | 67,432 | 2.67 | 4.50 | (2.76, 7.32) *** | 1.59 | (0.89, 2.84) |
| CVD | |||||||
| No | 176 | 2,874,382 | 0.61 | 1.00 | (reference) | 1.00 | (reference) |
| Yes | 13 | 50,218 | 2.59 | 4.25 | (2.42, 7.48) *** | 1.53 | (0.80, 2.90) |
| CKD | |||||||
| No | 186 | 2,914,193 | 0.64 | 1.00 | (reference) | 1.00 | (reference) |
| Yes | 3 | 10,406 | 2.88 | 4.50 | (1.44, 14.1) ** | 1.52 | (0.46, 4.89) |
| COPD | |||||||
| No | 178 | 2,899,817 | 0.61 | 1.00 | (reference) | 1.00 | (reference) |
| Yes | 11 | 24,782 | 4.44 | 7.23 | (3.93, 13.31) *** | 2.65 | (1.36, 5.16) ** |
| HIV | |||||||
| No | 188 | 2,923,704 | 0.64 | 1.00 | (reference) | 1.00 | (reference) |
| Yes | 1 | 895 | 11.2 | 17.24 | (2.41, 123.1) ** | 22.8 | (3.18, 163.81) ** |
| Liver cirrhosis | |||||||
| No | 185 | 2,916,568 | 0.63 | 1.00 | (reference) | 1.00 | (reference) |
| Yes | 4 | 8031 | 4.98 | 7.88 | (2.92, 21.23) *** | 4.48 | (1.64, 12.25) ** |
| SLE | |||||||
| No | 183 | 2,919,707 | 0.63 | 1.00 | (reference) | 1.00 | (reference) |
| Yes | 6 | 4893 | 12.3 | 19.3 | (8.58, 43.63) *** | 23.3 | (10.20, 53.06) *** |
| Compared to Patients without Appendectomy | |
|---|---|
| aHR (95% CI) | |
| Model 1 (Main model) | 1.61 (1.20, 2.17) ** |
| Model 2 | 1.58 (1.17, 2.13) ** |
| Model 3 | 1.61 (1.20, 2.16) *** |
| Model 4 | 1.71 (1.26, 2.33) *** |
| Model 5 | 1.24 (1.02, 1.52) * |
| Appendectomy | Crude Analysis | Adjusted Analysis † | |||||||||
|---|---|---|---|---|---|---|---|---|---|---|---|
| No | Yes | p for Interaction | |||||||||
| Variables | Events | PY | IR | Events | PY | IR | HR | 95% CI | HR | 95% CI | |
| Overall | 77 | 1,402,999 | 0.55 | 112 | 1,521,600 | 0.74 | 1.35 | (1.01, 1.8) * | 1.61 | (1.20, 2.17) ** | |
| Gender | 0.82 | ||||||||||
| Female | 36 | 683,410 | 0.53 | 60 | 743,265 | 0.81 | 1.56 | (1.03, 2.36) * | 1.92 | (1.26, 2.93) ** | |
| Male | 41 | 719,589 | 0.57 | 52 | 778,335 | 0.67 | 1.16 | (0.77, 1.75) | 1.33 | (0.88, 2.0) | |
| Age group | 0.10 | ||||||||||
| 18–30 | 13 | 492,561 | 0.26 | 36 | 564,306 | 0.64 | 2.42 | (1.28, 4.57) ** | 2.67 | (1.41, 5.07) ** | |
| 31–40 | 13 | 328,638 | 0.4 | 23 | 377,947 | 0.61 | 1.57 | (0.79, 3.10) | 1.71 | (0.86, 3.40) | |
| 41–50 | 10 | 260,773 | 0.38 | 21 | 289,389 | 0.73 | 1.91 | (0.90, 4.06) | 2.05 | (0.96, 4.38) | |
| 51–60 | 4 | 147,585 | 0.27 | 11 | 153,000 | 0.72 | 2.62 | (0.83, 8.24) | 2.68 | (0.85, 8.47) | |
| 61–70 | 15 | 88,397 | 1.70 | 12 | 80,294 | 1.49 | 0.86 | (0.40, 1.84) | 1.12 | (0.51, 2.45) | |
| 71–80 | 12 | 64,375 | 1.86 | 7 | 44,753 | 1.56 | 0.82 | (0.32, 2.09) | 0.90 | (0.34, 2.35) | |
| 81–100 | 10 | 20,672 | 4.84 | 2 | 11,912 | 1.68 | 0.35 | (0.08, 1.60) | 0.34 | (0.07, 1.63) | |
| Occupation | 0.63 | ||||||||||
| white-collar worker | 38 | 739,180 | 0.51 | 64 | 829,610 | 0.77 | 1.52 | (1.02, 2.27) * | 1.76 | (1.17, 2.65) ** | |
| blue-collar worker | 18 | 315,798 | 0.57 | 29 | 353,016 | 0.82 | 1.42 | (0.79, 2.57) | 1.69 | (0.93, 3.09) | |
| farmer | 2 | 29,308 | 0.68 | 1 | 30,566 | 0.33 | 0.48 | (0.04, 5.30) | 0.43 | (0.04, 4.78) | |
| fisher | 14 | 169,961 | 0.82 | 11 | 161,960 | 0.68 | 0.84 | (0.38, 1.84) | 1.03 | (0.46, 2.32) | |
| others | 5 | 148,751 | 0.34 | 7 | 146,449 | 0.48 | 1.41 | (0.45, 4.46) | 2.13 | (0.64, 7.05) | |
| Comorbidities | |||||||||||
| hypertension | 0.15 | ||||||||||
| No | 53 | 1,269,090 | 0.42 | 99 | 1,445,802 | 0.68 | 1.65 | (1.18, 2.30) ** | 1.77 | (1.26, 2.47) *** | |
| Yes | 24 | 133,909 | 1.79 | 13 | 75,798 | 1.72 | 0.92 | (0.47, 1.82) | 1.13 | (0.57, 2.26) | |
| diabetes | 0.18 | ||||||||||
| No | 62 | 1,335,540 | 0.46 | 104 | 1,477,765 | 0.7 | 1.52 | (1.11, 2.08) ** | 1.72 | (1.25, 2.37) *** | |
| Yes | 15 | 67,459 | 2.22 | 8 | 43,835 | 1.83 | 0.83 | (0.35, 1.97) | 0.95 | (0.4, 2.28) | |
| hyperlipidemia | 0.20 | ||||||||||
| No | 72 | 1,371,739 | 0.52 | 111 | 1,503,288 | 0.74 | 1.41 | (1.05, 1.90) * | 1.65 | (1.22, 2.23) ** | |
| Yes | 5 | 31,260 | 1.6 | 1 | 18,312 | 0.55 | 0.36 | (0.04, 3.10) | 0.49 | (0.06, 4.31) | |
| CAD | 0.48 | ||||||||||
| No | 65 | 1,357,680 | 0.48 | 106 | 1,499,487 | 0.71 | 1.48 | (1.09, 2.02) * | 1.68 | (1.23, 2.3) ** | |
| Yes | 12 | 45,319 | 2.65 | 6 | 22,113 | 2.71 | 0.98 | (0.37, 2.63) | 1.09 | (0.4, 2.97) | |
| CVD | 0.76 | ||||||||||
| No | 69 | 1,370,138 | 0.5 | 107 | 1,504,243 | 0.71 | 1.42 | (1.05, 1.92) * | 1.63 | (1.2, 2.21) ** | |
| Yes | 8 | 32,861 | 2.43 | 5 | 17,357 | 2.88 | 1.16 | (0.38, 3.55) | 1.42 | (0.45, 4.54) | |
| CKD | 0.44 | ||||||||||
| No | 76 | 1,396,400 | 0.54 | 110 | 1,517,792 | 0.72 | 1.34 | (1.00, 1.79) | 1.59 | (1.18, 2.15) ** | |
| Yes | 1 | 6599 | 1.52 | 2 | 3808 | 5.25 | 3.66 | (0.33, 40.56) | 3.68 | (0.32, 42.6) | |
| COPD | 0.13 | ||||||||||
| No | 68 | 1,386,525 | 0.49 | 110 | 1,513,293 | 0.73 | 1.49 | (1.1, 2.01) * | 1.71 | (1.26, 2.33) *** | |
| Yes | 9 | 16,475 | 5.46 | 2 | 8307 | 2.41 | 0.46 | (0.1, 2.11) | 0.46 | (0.1, 2.21) | |
| HIV | 0.97 | ||||||||||
| No | 76 | 1,402,535 | 0.54 | 112 | 1,521,169 | 0.74 | 1.37 | (1.02, 1.83) * | 1.63 | (1.21, 2.19) ** | |
| Yes | 1 | 465 | 21.52 | 0 | 431 | 0 | 0 | (0, Inf) | 0 | (0, 0.) | |
| Liver cirrhosis | 0.81 | ||||||||||
| No | 75 | 1,397,922 | 0.54 | 110 | 1,518,646 | 0.72 | 1.36 | (1.01, 1.82) * | 1.62 | (1.2, 2.18) ** | |
| Yes | 2 | 5077 | 3.94 | 2 | 2954 | 6.77 | 1.84 | (0.26, 13.09) | 1.51 | (0.2, 11.33) | |
| SLE | 0.36 | ||||||||||
| No | 72 | 1,399,487 | 0.51 | 111 | 1,520,219 | 0.73 | 1.43 | (1.06, 1.92) * | 1.67 | (1.24, 2.26) *** | |
| Yes | 5 | 3512 | 14.24 | 1 | 1381 | 7.24 | 0.5 | (0.06, 4.32) | 0.49 | (0.06, 4.22) | |
| Appendectomy | Crude Analysis | Adjusted Analysis † | ||||||||
|---|---|---|---|---|---|---|---|---|---|---|
| No | Yes | |||||||||
| Follow up Time | Events | PY | IR | Events | PY | IR | HR | 95% CI | HR | 95% CI |
| <6 months | 8 | 103,881 | 0.77 | 12 | 103,674 | 1.16 | 1.50 | (0.61, 3.68) | 1.83 | (0.74, 4.53) |
| 6 months–1 year | 11 | 103,081 | 1.07 | 6 | 102,896 | 0.58 | 0.55 | (0.20, 1.48) | 0.68 | (0.25, 1.89) |
| >1 year | 58 | 1,196,037 | 0.48 | 94 | 1,315,030 | 0.71 | 1.47 | (1.06, 2.05) * | 1.74 | (1.25, 2.43) ** |
| NTS | |||||||
|---|---|---|---|---|---|---|---|
| Variables | Events | PY | IR | cHR | 95% CI | aHR | 95% CI † |
| Diverticulitis | |||||||
| No | 4 | 14,099 | 2.84 | 1.00 | - | 1.00 | - |
| Yes | 3 | 13,858 | 2.16 | 0.78 | (0.17, 3.47) | 0.85 | (0.18, 3.95) |
Publisher’s Note: MDPI stays neutral with regard to jurisdictional claims in published maps and institutional affiliations. |
© 2021 by the authors. Licensee MDPI, Basel, Switzerland. This article is an open access article distributed under the terms and conditions of the Creative Commons Attribution (CC BY) license (https://creativecommons.org/licenses/by/4.0/).
Share and Cite
Wu, D.-K.; Yang, K.-S.; Wei, J.C.-C.; Yip, H.-T.; Chang, R.; Hung, Y.-M.; Hung, C.-H. Appendectomy and Non-Typhoidal Salmonella Infection: A Population-Based Matched Cohort Study. J. Clin. Med. 2021, 10, 1466. https://doi.org/10.3390/jcm10071466
Wu D-K, Yang K-S, Wei JC-C, Yip H-T, Chang R, Hung Y-M, Hung C-H. Appendectomy and Non-Typhoidal Salmonella Infection: A Population-Based Matched Cohort Study. Journal of Clinical Medicine. 2021; 10(7):1466. https://doi.org/10.3390/jcm10071466
Chicago/Turabian StyleWu, Den-Ko, Kai-Shan Yang, James Cheng-Chung Wei, Hei-Tung Yip, Renin Chang, Yao-Min Hung, and Chih-Hsin Hung. 2021. "Appendectomy and Non-Typhoidal Salmonella Infection: A Population-Based Matched Cohort Study" Journal of Clinical Medicine 10, no. 7: 1466. https://doi.org/10.3390/jcm10071466
APA StyleWu, D.-K., Yang, K.-S., Wei, J. C.-C., Yip, H.-T., Chang, R., Hung, Y.-M., & Hung, C.-H. (2021). Appendectomy and Non-Typhoidal Salmonella Infection: A Population-Based Matched Cohort Study. Journal of Clinical Medicine, 10(7), 1466. https://doi.org/10.3390/jcm10071466

