Medio-Lateral and Flexion-Extension Gap Imbalances in Mechanically Aligned Total Knee Arthroplasty Using Measured Resection Technique in Korean Patients: 3D Simulation
Abstract
1. Introduction
1.1. Background
1.2. Rationale
2. Patients and Methods
3. Results
3.1. Medio-Lateral Imbalance in Extension
3.2. Medio-Lateral Imbalance in Flexion
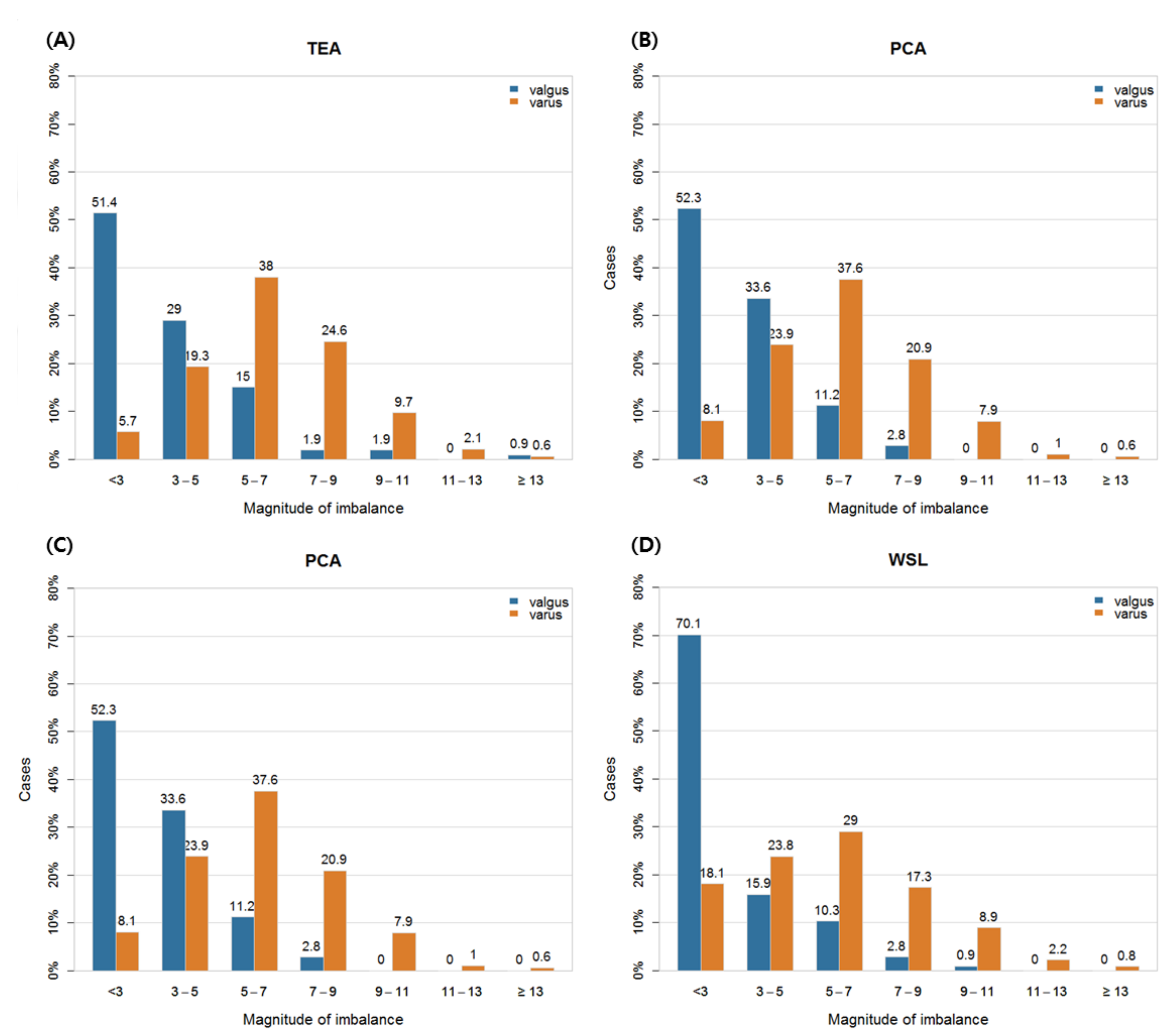
3.3. Flexion-Extension Imbalance
4. Discussion
5. Conclusions
Author Contributions
Funding
Institutional Review Board Statement
Informed Consent Statement
Data Availability Statement
Acknowledgments
Conflicts of Interest
References
- Insall, J.N.; Binazzi, R.; Soudry, M.; Mestriner, L.A. Total knee arthroplasty. Clin. Orthop. Relat. Res. 1985, 192, 13–22. [Google Scholar] [CrossRef]
- Rivière, C.; Iranpour, F.; Auvinet, E.; Aframian, A.; Asare, K.; Harris, S.; Cobb, J.; Parratte, S. Mechanical alignment technique for tka: Are there intrinsic technical limitations? Orthop. Traumatol. Surg. Res. 2017, 103, 1057–1067. [Google Scholar] [CrossRef]
- Dossett, H.G.; Swartz, G.J.; Estrada, N.A.; LeFevre, G.W.; Kwasman, B.G. Kinematically versus mechanically aligned total knee arthroplasty. Orthopedics 2012, 35, e160–e169. [Google Scholar] [CrossRef] [PubMed]
- Anouchi, Y.S.; Whiteside, L.A.; Kaiser, A.D.; Milliano, M.T. The effects of axial rotational alignment of the femoral component on knee stability and patellar tracking in total knee arthroplasty demonstrated on autopsy specimens. Clin. Orthop. Relat. Res. 1993, 287, 170–177. [Google Scholar] [CrossRef]
- Whiteside, L.A.; Arima, J. The anteroposterior axis for femoral rotational alignment in valgus total knee arthroplasty. Clin. Orthop. Relat. Res. 1995, 321, 168–172. [Google Scholar] [CrossRef]
- Dennis, D.A.; Komistek, R.D.; Kim, R.H.; Sharma, A. Gap balancing versus measured resection technique for total knee arthroplasty. Clin. Orthop. Relat. Res. 2010, 468, 102–107. [Google Scholar] [CrossRef] [PubMed]
- Daines, B.K.; Dennis, D.A. Gap balancing vs. Measured resection technique in total knee arthroplasty. Clin. Orthop. Surg. 2014, 6, 1–8. [Google Scholar] [CrossRef] [PubMed]
- Berger, R.A.; Rubash, H.E.; Seel, M.J.; Thompson, W.H.; Crossett, L.S. Determining the rotational alignment of the femoral component in total knee arthroplasty using the epicondylar axis. Clin. Orthop. Relat. Res. 1993, 286, 40–47. [Google Scholar] [CrossRef]
- Hungerford, D.S.; Krackow, K.A. Total joint arthroplasty of the knee. Clin. Orthop. Relat. Res. 1985, 192, 23–33. [Google Scholar] [CrossRef]
- Siston, R.A.; Patel, J.J.; Goodman, S.B.; Delp, S.L.; Giori, N.J. The variability of femoral rotational alignment in total knee arthroplasty. J. Bone Joint Surg. Am. 2005, 87, 2276–2280. [Google Scholar] [PubMed]
- Blakeney, W.; Beaulieu, Y.; Puliero, B.; Kiss, M.O.; Vendittoli, P.A. Bone resection for mechanically aligned total knee arthroplasty creates frequent gap modifications and imbalances. Knee Surg. Sports Traumatol. Arthrosc. 2020, 28, 1532–1541. [Google Scholar] [CrossRef]
- Gu, Y.; Roth, J.D.; Howell, S.M.; Hull, M.L. How frequently do four methods for mechanically aligning a total knee arthroplasty cause collateral ligament imbalance and change alignment from normal in white patients? Aaos exhibit selection. J Bone Joint Surg. Am. 2014, 96, e101. [Google Scholar] [CrossRef]
- Yip, D.K.; Zhu, Y.H.; Chiu, K.Y.; Ng, T.P. Distal rotational alignment of the chinese femur and its relevance in total knee arthroplasty. J. Arthroplast. 2004, 19, 613–619. [Google Scholar] [CrossRef] [PubMed]
- Kwak, D.S.; Surendran, S.; Pengatteeri, Y.H.; Park, S.E.; Choi, K.N.; Gopinathan, P.; Han, S.H.; Han, C.W. Morphometry of the proximal tibia to design the tibial component of total knee arthroplasty for the korean population. Knee 2007, 14, 295–300. [Google Scholar] [CrossRef]
- Hovinga, K.R.; Lerner, A.L. Anatomic variations between japanese and caucasian populations in the healthy young adult knee joint. J. Orthop. Res. 2009, 27, 1191–1196. [Google Scholar] [CrossRef]
- Mahfouz, M.; Abdel Fatah, E.E.; Bowers, L.S.; Scuderi, G. Three-dimensional morphology of the knee reveals ethnic differences. Clin. Orthop. Relat. Res. 2012, 470, 172–185. [Google Scholar] [CrossRef] [PubMed]
- Nunley, R.M.; Ellison, B.S.; Zhu, J.; Ruh, E.L.; Howell, S.M.; Barrack, R.L. Do patient-specific guides improve coronal alignment in total knee arthroplasty? Clin. Orthop. Relat. Res. 2012, 470, 895–902. [Google Scholar] [CrossRef]
- Koh, Y.G.; Nam, J.H.; Chung, H.S.; Lee, H.Y.; Kim, H.J.; Kim, H.J.; Kang, K.T. Gender-related morphological differences in sulcus angle and condylar height for the femoral trochlea using magnetic resonance imaging. Knee Surg. Sports Traumatol. Arthrosc. 2019, 27, 3560–3566. [Google Scholar] [CrossRef]
- Ohmori, T.; Kabata, T.; Kajino, Y.; Taga, T.; Hasegawa, K.; Inoue, D.; Yamamoto, T.; Takagi, T.; Yoshitani, J.; Ueno, T.; et al. The accuracy of the “projected surgical transepicondylar axis” relative to the “true surgical transepicondylar axis” in total knee arthroplasty. Knee 2017, 24, 1428–1434. [Google Scholar] [CrossRef]
- Cohen, D.A.; Gursel, A.C.; Low, A.K. How coronal alignment affects distal femoral anatomy: An mri-based comparison of varus and valgus knees. J. Orthop. Surg. Res. 2019, 14, 92. [Google Scholar] [CrossRef]
- Dimitriou, D.; Zou, D.; Wang, Z.; Helmy, N.; Tsai, T.Y. Anterior cruciate ligament bundle insertions vary between acl-rupture and non-injured knees. Knee Surg. Sports Traumatol. Arthrosc. 2020. [Google Scholar] [CrossRef]
- Hoshino, Y.; Kuroda, R.; Nishizawa, Y.; Nakano, N.; Nagai, K.; Araki, D.; Oka, S.; Kawaguchi, S.; Nagamune, K.; Kurosaka, M. Stress distribution is deviated around the aperture of the femoral tunnel in the anatomic anterior cruciate ligament reconstruction. Knee Surg. Sports Traumatol. Arthrosc. 2018, 26, 1145–1151. [Google Scholar] [CrossRef]
- Krych, A.J.; Johnson, N.R.; Mohan, R.; Dahm, D.L.; Levy, B.A.; Stuart, M.J. Partial meniscectomy provides no benefit for symptomatic degenerative medial meniscus posterior root tears. Knee Surg. Sports Traumatol. Arthrosc. 2018, 26, 1117–1122. [Google Scholar] [PubMed]
- Baker, P.N.; van der Meulen, J.H.; Lewsey, J.; Gregg, P.J. The role of pain and function in determining patient satisfaction after total knee replacement. Data from the national joint registry for england and wales. J Bone Joint Surg. Br. 2007, 89, 893–900. [Google Scholar] [CrossRef]
- Bourne, R.B.; Chesworth, B.M.; Davis, A.M.; Mahomed, N.N.; Charron, K.D. Patient satisfaction after total knee arthroplasty: Who is satisfied and who is not? Clin. Orthop. Relat. Res. 2010, 468, 57–63. [Google Scholar] [CrossRef] [PubMed]
- Nam, D.; Nunley, R.M.; Barrack, R.L. Patient dissatisfaction following total knee replacement: A growing concern? Bone Joint J. 2014, 96, 96–100. [Google Scholar] [CrossRef]
- Gunaratne, R.; Pratt, D.N.; Banda, J.; Fick, D.P.; Khan, R.J.K.; Robertson, B.W. Patient dissatisfaction following total knee arthroplasty: A systematic review of the literature. J. Arthroplast. 2017, 32, 3854–3860. [Google Scholar] [CrossRef]
- Li, G.; Park, S.E.; DeFrate, L.E.; Schutzer, M.E.; Ji, L.; Gill, T.J.; Rubash, H.E. The cartilage thickness distribution in the tibiofemoral joint and its correlation with cartilage-to-cartilage contact. Clin. Biomech. 2005, 20, 736–744. [Google Scholar] [CrossRef] [PubMed]
- Lasam, M.P.; Lee, K.J.; Chang, C.B.; Kang, Y.G.; Kim, T.K. Femoral lateral bowing and varus condylar orientation are prevalent and affect axial alignment of tka in koreans. Clin. Orthop. Relat. Res. 2013, 471, 1472–1483. [Google Scholar] [CrossRef]
- Risitano, S.; Indelli, P.F. Is “symmetric” gap balancing still the gold standard in primary total knee arthroplasty? Ann. Transl. Med. 2017, 5, 325. [Google Scholar] [CrossRef] [PubMed]
- Lee, D.H.; Shin, Y.S.; Jeon, J.H.; Suh, D.W.; Han, S.B. Flexion and extension gaps created by the navigation-assisted gap technique show small acceptable mismatches and close mutual correlations. Knee Surg. Sports Traumatol. Arthrosc. 2014, 22, 1793–1798. [Google Scholar] [CrossRef] [PubMed]
- Chia, Z.Y.; Pang, H.N.; Tan, M.H.; Yeo, S.J. Gap difference in navigated tka: A measure of the imbalanced flexion-extension gap. Sicot J. 2018, 4, 30. [Google Scholar] [CrossRef] [PubMed]
- Winemaker, M.J. Perfect balance in total knee arthroplasty: The elusive compromise. J. Arthroplast. 2002, 17, 2–10. [Google Scholar] [CrossRef] [PubMed]
- Bellemans, J.; Vandenneucker, H.; Vanlauwe, J.; Victor, J. The influence of coronal plane deformity on mediolateral ligament status: An observational study in varus knees. Knee Surg. Sports Traumatol. Arthrosc. 2010, 18, 152–156. [Google Scholar] [CrossRef]
- McAuliffe, M.J.; Roe, J.; Garg, G.; Whitehouse, S.L.; Crawford, R. The varus osteoarthritic knee has no coronal contractures in 90 degrees of flexion. J. Knee Surg. 2017, 30, 297–303. [Google Scholar] [PubMed]
- Koh, Y.G.; Nam, J.H.; Chung, H.S.; Kim, H.J.; Chun, H.J.; Kang, K.T. Gender differences in morphology exist in posterior condylar offsets of the knee in korean population. Knee Surg. Sports Traumatol. Arthrosc. 2019, 27, 1628–1634. [Google Scholar] [CrossRef]




| Parameter | All Patients (n = 738) | Varus (n = 631) | Valgus (n = 107) | p-Value |
|---|---|---|---|---|
| Mean ± SD (Range) | Mean ± SD (Range) | Mean ± SD (Range) | ||
| Age | 70.4 ± 7.2 (0, 87) | 70.2 ± 7.3 (0, 87) | 71.7 ± 6.0 (59, 81) | 0.12 |
| BMI (kg/m2) | 23.1 ± 3.5 | 23.1 ± 3.4 | 22.8 ± 3.9 | 0.53 |
| Male/female | 133/605 | 109/522 | 24/83 | 0.20 |
| Hip–knee–ankle angle | 6.4 ± 5.5 (−15.7, 22.7) | 8.2 ± 3.6 (0.1, 22.7) | −3.9 ± 3.4 (−15.7, 0) | NA |
| Varus | Valgus | p-Value | ||
|---|---|---|---|---|
| Mean ± SD (Range) | Mean ± SD (Range) | |||
| Extension Gap | Imbalance (Lat – Med) | 7.7 ± 3.1 (−9.9, 18.2) | 0.5 ± 3.3 (−10.1, 1.09) | p < 0.001 |
| Med | 9.8 ± 1.8 (2.7, 18) | 13.1 ± 2.2 (8.6, 18) | ||
| Lat | 17.5 ± 1.8 (8.1, 25.6) | 14 ± 1.7 (7.9, 19.5) |
| Flexion Gap | Varus | Valgus | p-Value | |
|---|---|---|---|---|
| Mean ± SD (Range) | Mean ± SD (Range) | |||
| TEA | Imbalance (Lat–Med) | 6.4 ± 2.3 (−6.4, 14.7) | 2.6 ± 3.7 (−4.4, 14.5) | p < 0.001 |
| Med | 10.2 ± 1.5 (9, 18) | 13.3 ± 2.6 (3.5, 18) | ||
| Lat | 16.6 ± 1.4 (9.8, 23.7) | 15.9 ± 1.1 (13.6, 18) | ||
| PCA | Imbalance (Lat–Med) | 6.0 ± 2.3 (−7.2, 14.3) | 2.0 ± 3.1 (−7.2, 8.8) | p < 0.001 |
| Med | 10.2 ± 1.5 (8.2, 18) | 13.4 ± 2.4 (9, 18) | ||
| Lat | 16.2 ± 1.2 (9.8, 23.3) | 15.4 ± 1.3 (8.8, 17.8) | ||
| WSL | Imbalance (Lat–Med) | 5.5 ± 3.1 (−12, 15.2) | 1.2 ± 3.3 (−7.7, 9.8) | p < 0.001 |
| Med | 10.2 ± 1.6 (4.8, 18) | 13.1 ± 2.3 (9, 18) | ||
| Lat | 15.7 ± 2.3 (6, 24.2) | 14.3 ± 2.4 (8.6, 18.8) | ||
| FEA | Imbalance (Lat–Med) | 8.0 ± 3.3 (−6, 20.8) | 3.6 ± 5.1 (−11.2, 12.1) | p < 0.001 |
| Med | 9.5 ± 2 (−2.8, 18) | 12.8 ± 3.1 (7, 18) | ||
| Lat | 17.6 ± 1.9 (8, 26.3) | 16.4 ± 2.5 (6.8, 20.4) |
| Medial Gap | Lateral Gap | |||||||
|---|---|---|---|---|---|---|---|---|
| Extension | Flexion 90° | Delta (Ext–Flex) | p-Value | Extension | Flexion 90° | Delta (Ext–Flex) | p-Value | |
| TEA | ||||||||
| Varus | 9.8 ± 1.8 (2.7, 18) | 10.2 ± 1.5 (9, 18) | −0.4 ± 0.9 (−6.3, 1.9) | <0.001 | 17.5 ± 1.8 (8.1, 25.6) | 16.6 ± 1.4 (9.8, 23.7) | 0.8 ± 1.5 (−5, 3.4) | <0.001 |
| Valgus | 13.1 ± 2.2 (8.6, 18) | 13.3 ± 3 (3.5, 18) | −0.2 ± 1 (-4.1, 6.8) | 0.52 | 14.2 ± 1.9 (7.9, 19.5) | 15.7 ± 1.5 (8.8, 18.7) | −1.5 ± 1.7 (−7, 2.6) | <0.001 |
| PCA | ||||||||
| Varus | 9.8 ± 1.8 (2.7, 18) | 10.2 ± 1.5 (8.2, 18) | −0.4 ± 0.9 (−6.3, 3) | <0.001 | 17.5 ± 1.8 (8.1, 25.6) | 16.2 ± 1.2 (9.8, 23.3) | 1.2 ± 1.3 (−3.8, 3.2) | <0.001 |
| Valgus | 13.1 ± 2.2 (8.6, 18) | 13.4 ± 2.4 (9, 18) | −0.3 ± 0.7 (−4.1, 0.4) | 0.42 | 14.2 ± 1.9 (7.9, 19.5) | 15.4 ± 1.3 (8.8, 17.8) | −1.2 ± 1.6 (−5.6, 2.6) | <0.001 |
| WSL | ||||||||
| Varus | 9.8 ± 1.8 (2.7, 18) | 10.2 ± 1.6 (4.8,18) | −0.3 ± 1.1 (−6.3, 7.5) | <0.001 | 17.5 ± 1.8 (8.1, 25.6) | 15.6 ± 2.3 (6, 24.2) | 1.8 ± 2.6 (−4.9, 10.7) | <0.001 |
| Valgus | 13.1 ± 2.2 (8.6, 18) | 13.1 ± 2.3 (9, 18) | 0 ± 0.9 (−4.8, 3.4) | 0.93 | 14.2 ± 1.9 (7.9, 19.5) | 14.3 ± 2.4 (8.6, 18.8) | −0.1 ± 2.4 (−6.9, 8.2) | 0.67 |
| FEA | ||||||||
| Varus | 9.8 ± 1.8 (2.7, 18) | 9.5 ± 2 (−2.8,18) | 0.3 ± 1.6 (−6, 14) | 0.005 | 17.5 ± 1.8 (8.1, 25.6) | 17.6 ± 1.9 (8, 26.3) | −0.1 ± 1.9 (−5.8, 15.7) | 0.26 |
| Valgus | 13.1 ± 2.2 (8.6, 18) | 12.8 ± 3.1 (7, 18) | 0.3 ± 1.9 (−5.2, 4.7) | 0.40 | 14.2 ± 1.9 (7.9, 19.5) | 16.4 ± 2.5 (6.8, 20.4) | −2.2 ± 2.6 (−7.9, 5.7) | <0.001 |
| Medial and Lateral Side | |||
|---|---|---|---|
| Ext-Flex Imbalance ≤ 1 | Ext-Flex Imbalance ≤ 2 | Ext-Flex Imbalance ≤ 3 | |
| TEA | |||
| Varus | 35.3% | 66.7% | 95.1% |
| Valgus | 29% | 57% | 77.6% |
| WSL | |||
| Varus | 22.7% | 43.6% | 63.2% |
| Valgus | 27.1% | 58.9% | 77.6% |
| FEA | |||
| Varus | 30.6% | 62.3% | 83% |
| Valgus | 13.1% | 24.3% | 43% |
| PCA | |||
| Varus | 30.7% | 59.6% | 96% |
| Valgus | 33.6% | 60.7% | 86.9% |
Publisher’s Note: MDPI stays neutral with regard to jurisdictional claims in published maps and institutional affiliations. |
© 2021 by the authors. Licensee MDPI, Basel, Switzerland. This article is an open access article distributed under the terms and conditions of the Creative Commons Attribution (CC BY) license (http://creativecommons.org/licenses/by/4.0/).
Share and Cite
Cho, B.W.; Nam, J.H.; Koh, Y.G.; Park, K.K.; Kang, K.T. Medio-Lateral and Flexion-Extension Gap Imbalances in Mechanically Aligned Total Knee Arthroplasty Using Measured Resection Technique in Korean Patients: 3D Simulation. J. Clin. Med. 2021, 10, 845. https://doi.org/10.3390/jcm10040845
Cho BW, Nam JH, Koh YG, Park KK, Kang KT. Medio-Lateral and Flexion-Extension Gap Imbalances in Mechanically Aligned Total Knee Arthroplasty Using Measured Resection Technique in Korean Patients: 3D Simulation. Journal of Clinical Medicine. 2021; 10(4):845. https://doi.org/10.3390/jcm10040845
Chicago/Turabian StyleCho, Byung Woo, Ji Hoon Nam, Yong Gon Koh, Kwan Kyu Park, and Kyoung Tak Kang. 2021. "Medio-Lateral and Flexion-Extension Gap Imbalances in Mechanically Aligned Total Knee Arthroplasty Using Measured Resection Technique in Korean Patients: 3D Simulation" Journal of Clinical Medicine 10, no. 4: 845. https://doi.org/10.3390/jcm10040845
APA StyleCho, B. W., Nam, J. H., Koh, Y. G., Park, K. K., & Kang, K. T. (2021). Medio-Lateral and Flexion-Extension Gap Imbalances in Mechanically Aligned Total Knee Arthroplasty Using Measured Resection Technique in Korean Patients: 3D Simulation. Journal of Clinical Medicine, 10(4), 845. https://doi.org/10.3390/jcm10040845

