Prothrombotic and Inflammatory Markers in Elderly Patients with Non-Alcoholic Hepatic Liver Disease before and after Weight Loss: A Pilot Study
Abstract
:1. Introduction
2. Materials and Methods
2.1. Study Population
2.2. Sample Collection and Storage
2.3. Measurements
2.4. Physical Activity Quantification
2.5. Statistical Analysis
3. Results
4. Discussion
5. Conclusions
Author Contributions
Funding
Institutional Review Board Statement
Informed Consent Statement
Data Availability Statement
Conflicts of Interest
References
- Ekstedt, M.; Franzén, L.E.; Mathiesen, U.L.; Thorelius, L.; Holmqvist, M.; Bodemar, G.; Kechagias, S. Long-term follow-up of patients with NAFLD and elevated liver enzymes. Hepatology 2006, 44, 865–873. [Google Scholar] [CrossRef]
- Caldwell, S.H.; Lee, V.D.; Kleiner, D.; Al-Osaimi, A.M.; Argo, C.K.; Northup, P.G.; Berg, C.L. NASH and cryptogenic cirrhosis: A histological analysis. Ann. Hepatol. 2009, 8, 346–352. [Google Scholar] [CrossRef]
- Wang, B.; Zhao, Z.; Liu, S.; Wang, S.; Chen, Y.; Xu, Y.; Xu, M.; Wang, W.; Ning, G.; Li, M.; et al. Impact of diabetes on subclinical atherosclerosis and major cardiovascular events in individuals with and without non-alcoholic fatty liver disease. Diabetes Res. Clin. Pract. 2021, 177, 108873. [Google Scholar] [CrossRef] [PubMed]
- Hsiao, C.-C.; Teng, P.-H.; Wu, Y.-J.; Shen, Y.-W.; Mar, G.-Y.; Wu, F.-Z. Severe, but not mild to moderate, non-alcoholic fatty liver disease associated with increased risk of subclinical coronary atherosclerosis. BMC Cardiovasc. Disord. 2021, 21, 1–9. [Google Scholar] [CrossRef] [PubMed]
- Targher, G.; Tilg, H.; Byrne, C.D. Non-alcoholic fatty liver disease: A multisystem disease requiring a multidisciplinary and holistic approach. Lancet Gastroenterol. Hepatol. 2021, 6, 578–588. [Google Scholar] [CrossRef]
- Tomeno, W.; Imajo, K.; Takayanagi, T.; Ebisawa, Y.; Seita, K.; Takimoto, T.; Honda, K.; Kobayashi, T.; Nogami, A.; Kato, T.; et al. Complications of Non-Alcoholic Fatty Liver Disease in Extrahepatic Organs. Diagnostics 2020, 10, 912. [Google Scholar] [CrossRef] [PubMed]
- Han, A.L. Association of Cardiovascular Risk Factors and Metabolic Syndrome with non-alcoholic and alcoholic fatty liver disease: A retrospective analysis. BMC Endocr. Disord. 2021, 21, 1–8. [Google Scholar] [CrossRef] [PubMed]
- Gilbert, M. Role of skeletal muscle lipids in the pathogenesis of insulin resistance of obesity and type 2 diabetes. J. Diabetes Investig. 2021, 9, 15. [Google Scholar] [CrossRef]
- Hörber, S.; Lehmann, R.; Stefan, N.; Machann, J.; Birkenfeld, A.L.; Wagner, R.; Heni, M.; Häring, H.-U.; Fritsche, A.; Peter, A. Hemostatic alterations linked to body fat distribution, fatty liver, and insulin resistance. Mol. Metab. 2021, 53, 101262. [Google Scholar] [CrossRef] [PubMed]
- Tripodi, A.; Primignani, M.; Mannucci, P.M.; Caldwell, S.H. Changing Concepts of Cirrhotic Coagulopathy. Am. J. Gastroenterol. 2017, 112, 274–281. [Google Scholar] [CrossRef] [PubMed]
- Targher, G.; Zoppini, G.; Moghetti, P.; Day, C.P. Disorders of Coagulation and Hemostasis in Abdominal Obesity: Emerging Role of Fatty Liver. Semin. Thromb. Hemost. 2010, 36, 041–048. [Google Scholar] [CrossRef] [PubMed]
- Tripodi, A.; Fracanzani, A.L.; Primignani, M.; Chantarangkul, V.; Clerici, M.; Mannucci, P.M.; Peyvandi, F.; Bertelli, C.; Valenti, L.; Fargion, S. Procoagulant imbalance in patients with non-alcoholic fatty liver disease. J. Hepatol. 2014, 61, 148–154. [Google Scholar] [CrossRef] [PubMed]
- Targher, G.; Chonchol, M.; Miele, L.; Zoppini, G.; Pichiri, I.; Muggeo, M. Nonalcoholic Fatty Liver Disease as a Contributor to Hypercoagulation and Thrombophilia in the Metabolic Syndrome. Semin. Thromb. Hemost. 2009, 35, 277–287. [Google Scholar] [CrossRef] [PubMed]
- Swift, D.L.; Lavie, C.J.; Johannsen, N.M.; Arena, R.; Earnest, C.; O’Keefe, J.H.; Milani, R.V.; Blair, S.N.; Church, T.S. Physical Activity, Cardiorespiratory Fitness, and Exercise Training in Primary and Secondary Coronary Prevention. Circ. J. 2013, 77, 281–292. [Google Scholar] [CrossRef] [Green Version]
- Blair, S.N.; Brodney, S. Effects of physical inactivity and obesity on morbidity and mortality: Current evidence and research issues. Med. Sci. Sports Exerc. 1999, 31, S646. [Google Scholar] [CrossRef]
- Wei, M.; Kampert, J.B.; Barlow, C.E. Relationship between low cardio respiratory fitness and mortality in normal-weight, over-weight, and obese men. JAMA 1999, 282, 1547–1553. [Google Scholar] [CrossRef]
- Ainsworth, B.E.; Haskell, W.L.; Herrmann, S.D.; Meckes, N.; Bassett, D.R.; Tudor-Locke, C.; Greer, J.L.; Vezina, J.; Whitt-Glover, M.C.; Leon, A.S. 2011 Compendium of Physical Activities. Med. Sci. Sports Exerc. 2011, 43, 1575–1581. [Google Scholar] [CrossRef] [PubMed] [Green Version]
- Li, X.; Weber, N.; Cohn, D.; Hollmann, M.; DeVries, J.; Hermanides, J.; Preckel, B. Effects of Hyperglycemia and Diabetes Mellitus on Coagulation and Hemostasis. J. Clin. Med. 2021, 10, 2419. [Google Scholar] [CrossRef] [PubMed]
- Chalasani, N.; Younossi, Z.; Lavine, J.E.; Diehl, A.M.; Brunt, E.M.; Cusi, K.; Charlton, M.; Sanyal, A.J. The Diagnosis and Management of Non-alcoholic Fatty Liver Disease: Practice Guideline by the American Gastroenterological Association, American Association for the Study of Liver Diseases, and American College of Gastroenterology. Gastroenterology 2012, 142, 1592–1609. [Google Scholar] [CrossRef] [Green Version]
- Friedewald, W.T.; Levy, R.I.; Fredrickson, D.S. Estimation of the concentration of low-density lipoprotein cholesterol in plasma, without use of the preparative ultracentrifuge. Clin. Chem. 1972, 18, 499–502. [Google Scholar] [CrossRef]
- Huy, C.; Schneider, S. Instrument Für Die Erfassung Der Physischen Aktivität Bei Personen Im Mittleren Und Höheren Erwachsenenalter: Entwicklung, Prüfung Und Anwendung Des “German-PAQ-50+”. Z. Gerontol. Geriatr. 2008, 41, 208–216. [Google Scholar] [CrossRef] [PubMed]
- Zocco, M.A.; Di Stasio, E.; De Cristofaro, R.; Novi, M.; Ainora, M.E.; Ponziani, F.R.; Riccardi, L.; Lancellotti, S.; Santoliquido, A.; Flore, R.A.; et al. Thrombotic risk factors in patients with liver cirrhosis: Correlation with MELD scoring system and portal vein thrombosis development. J. Hepatol. 2009, 51, 682–689. [Google Scholar] [CrossRef]
- Dentali, F.; Romualdi, E.; Ageno, W. The metabolic syndrome and the risk of thrombosis. Haematologica 2007, 92, 297–299. [Google Scholar] [CrossRef] [PubMed] [Green Version]
- Cugno, M.; Castelli, R.; Mari, D.; Mozzi, E.; Zappa, M.A.; Boscolo-Anzoletti, M.; Roviaro, G.; Mannucci, P.M. Inflammatory and prothrombotic parameters in normotensive non-diabetic obese women: Effect of weight loss obtained by gastric banding. Intern. Emerg. Med. 2011, 7, 237–242. [Google Scholar] [CrossRef]
- Svendsen, O.L.; Hassager, C.; Christiansen, C.; Nielsen, J.D.; Winther, K. Plasminogen activator inhibitor-1, tissue-type plasminogen activator, and fibrinogen. Effect of dieting with or without exercise in overweight postmenopausal women. Arterioscerl. Thromb. Vasc. Biol. 1996, 16, 381–385. [Google Scholar] [CrossRef]
- Zhang, X.; Gao, B.; Xu, B. Association between plasminogen activator inhibitor-1 (PAI-1) 4G/5G polymorphism and risk of Alzheimer’s disease, metabolic syndrome, and female infertility. Medicine 2020, 99, e23660. [Google Scholar] [CrossRef]
- Juhan-Vague, I.; Alessi, M.-C. PAI-1, Obesity, Insulin Resistance and Risk of Cardiovascular Events. Thromb. Haemost. 1997, 78, 656–660. [Google Scholar] [CrossRef]
- Ciavarella, A.; Gnocchi, D.; Custodero, C.; Lenato, G.M.; Fiore, G.; Sabbà, C.; Mazzocca, A. Translational insight into prothrombotic state and hypercoagulation in nonalcoholic fatty liver disease. Thromb. Res. 2020, 198, 139–150. [Google Scholar] [CrossRef] [PubMed]
- Campbell, P.T.; VanWagner, L.B.; Colangelo, L.A.; Lewis, C.E.; Henkel, A.; Ajmera, V.H.; Lloyd-Jones, D.M.; Vaughan, D.E.; Khan, S.S. Association between plasminogen activator inhibitor-1 in young adulthood and nonalcoholic fatty liver disease in midlife: CARDIA. Liver Int. 2020, 40, 1111–1120. [Google Scholar] [CrossRef]
- Lisman, T.; Leebeek, F.W.G.; Mosnier, L.O.; Bouma, B.N.; Meijers, J.C.M.; Janssen, H.L.A.; Nieuwenhuis, H.K.; De Groot, P.G. Thrombin-Activatable Fibrinolysis Inhibitor Deficiency in Cirrhosis Is Not Associated with Increased Plasma Fibrinolysis. Gastroenterology 2001, 121, 131–139. [Google Scholar] [CrossRef]
- Dumic, I.; Martin, S.; Salfiti, N.; Watson, R.; Alempijevic, T. Deep Venous Thrombosis and Bilateral Pulmonary Embolism Revealing Silent Celiac Disease: Case Report and Review of the Literature. Case Rep. Gastrointest. Med. 2017, 2017, 1–8. [Google Scholar] [CrossRef] [PubMed]
- Cheng, K.; Faye, A.S. Venous thromboembolism in inflammatory bowel disease. World J. Gastroenterol. 2020, 26, 1231–1241. [Google Scholar] [CrossRef] [PubMed]
- Chen, J.; Vitetta, L. Gut Microbiota Metabolites in NAFLD Pathogenesis and Therapeutic Implications. Int. J. Mol. Sci. 2020, 21, 5214. [Google Scholar] [CrossRef] [PubMed]
- Hasan, R.A.; Koh, A.Y.; Zia, A. The gut microbiome and thromboembolism. Thromb. Res. 2020, 189, 77–87. [Google Scholar] [CrossRef]
- Golabi, P.; Paik, J.; Reddy, R.; Bugianesi, E.; Trimble, G.; Younossi, Z.M. Prevalence and long-term outcomes of non-alcoholic fatty liver disease among elderly individuals from the United States. BMC Gastroenterol. 2019, 19, 56. [Google Scholar] [CrossRef]



| Before Weight Loss | After Weight Loss | p Value | |
|---|---|---|---|
| age (years) | 72 (70–73) | ||
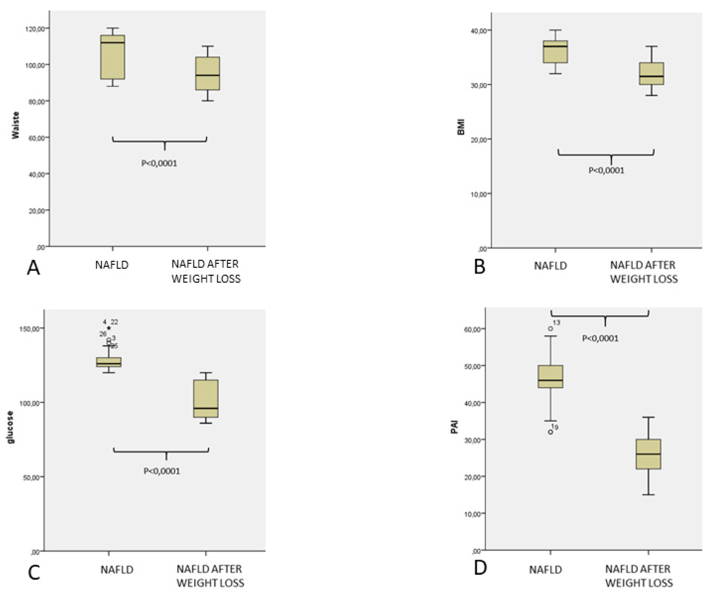
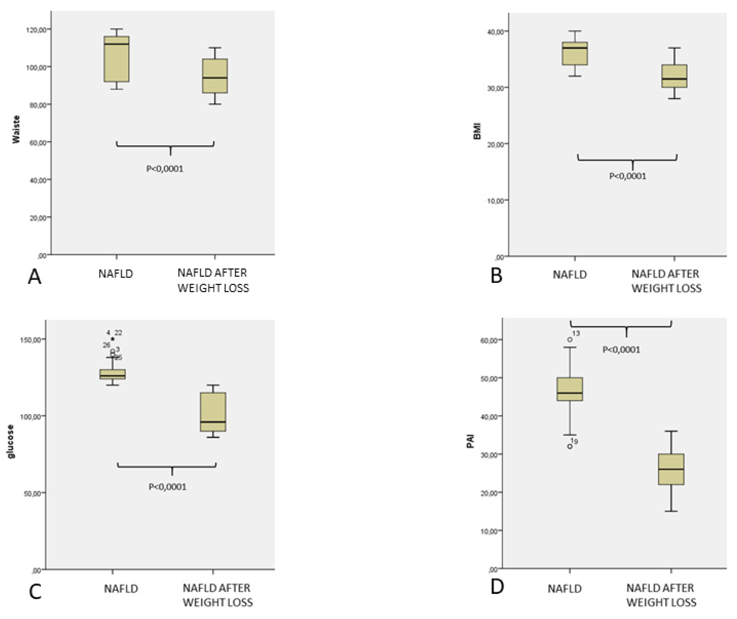
| Waist circumference (cm) | 112.0 (91.5–116.0) | 94.0 (86.0–105.0) | <0.0001 |
| BMI (Kg/m2) | 37.0 (34.0–38.0) | 31.5 (30.0–34.0) | <0.0001 |
| Blood glucose (mg/dL) | 126.00 (124.00–130.00) | 96.00 (90.00–115.75) | <0.0001 |
| OGTT (mg/dL) | 180.00 (180.00–185.00) | 160.00 (145.75–174.00) | <0.0001 |
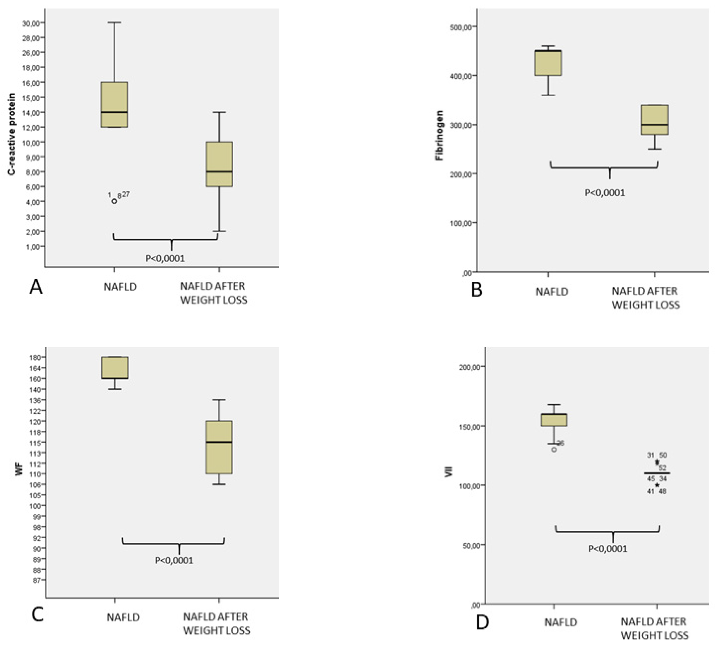
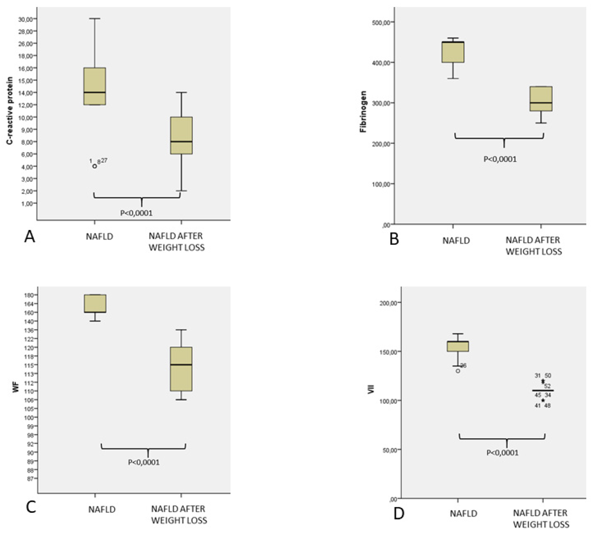
| CRP (mg/dL) | 13.0 (12.0–16.5) | 8.0 (6.0–10.0) | <0.0001 |
| Fibrinogen (mg/dL) | 450 (400–450) | 300 (280–340) | <0.0001 |
| PAI (UI/mL) | 46.0 (44.0–50.0) | 26.0 (21.5–31.5) | <0.0001 |
| vWF (%) | 160 (160–180) | 115 (110–120) | <0.0001 |
| F VII (%) | 160 (150–160) | 110 (110–110) | <0.0001 |
| TAFI (%) | 65.00 (60.00–70.00) | 79.00 (78–82.25) | <0.0001 |
| Homocysteine (µmol/L) | 16 (14–18) | 20 (17–22) | 0.006 |
| Protein S (%) | 45.0 (42.0–46.5) | 48.0 (44.0–48.0) | 0.021 |
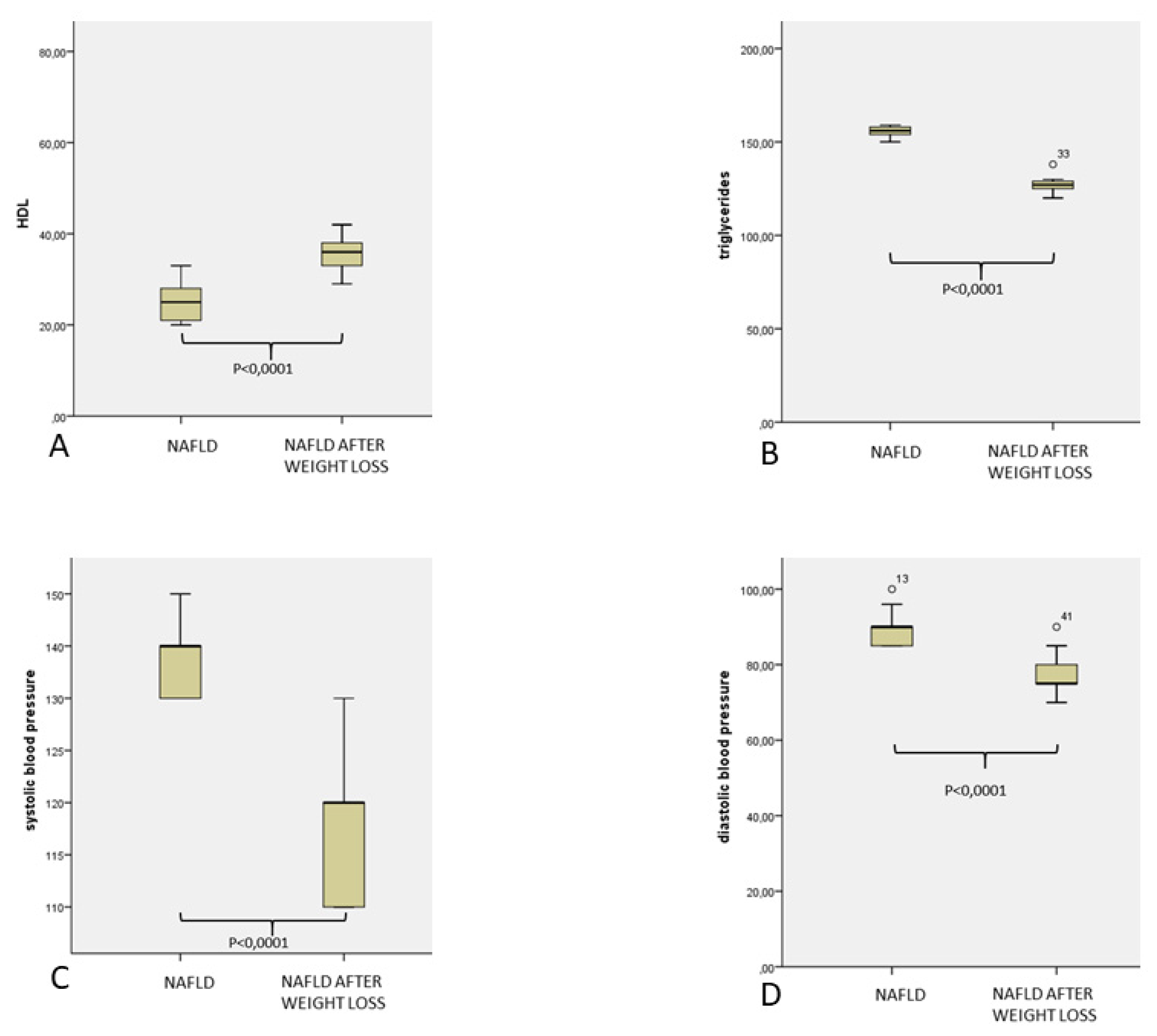
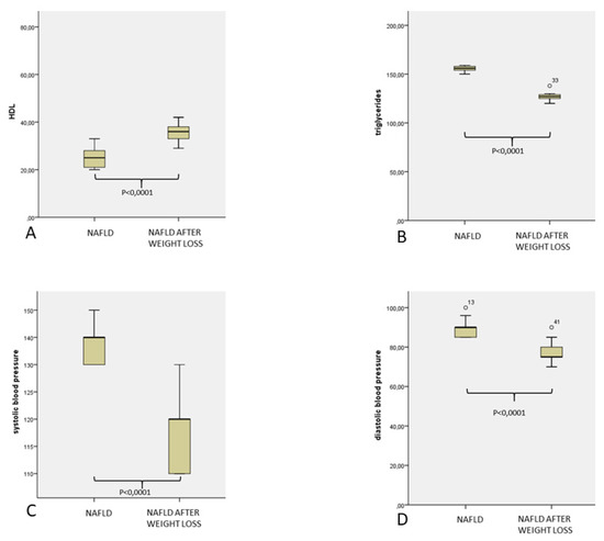
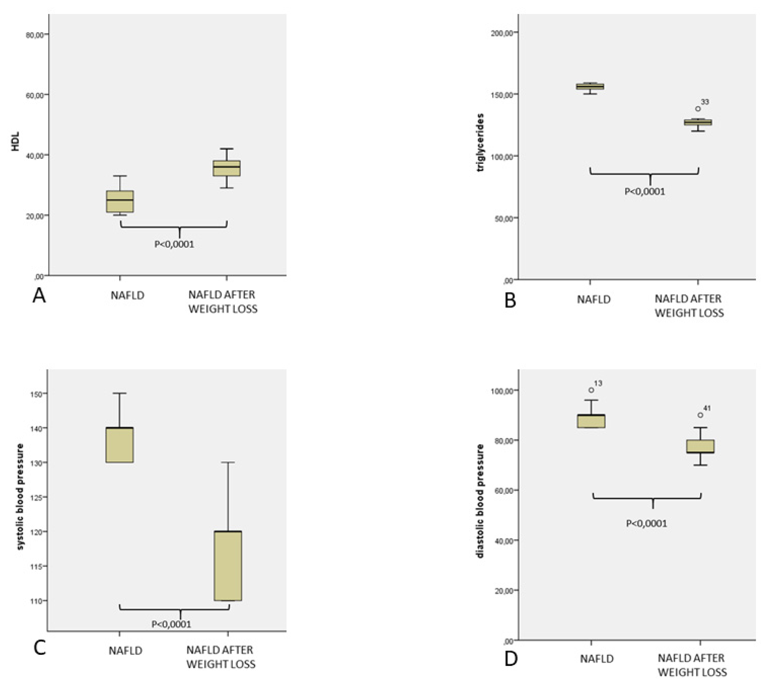
| HDL (mg/dL) | 25.00 (21.00–28.00) | 36.00 (32.75–38.00) | <0.0001 |
| Triglycerides (mg/dL) | 156.00 (153.75–158.00) | 127.00 (125.00–129.00) | <0.0001 |
| PAS (mmHg) | 140 (130–140) | 120 (110–120) | <0.0001 |
| PAD (mmHg) | 90.00 (85.00–91.25) | 75.00 (75.00–80.00) | <0.0001 |
Publisher’s Note: MDPI stays neutral with regard to jurisdictional claims in published maps and institutional affiliations. |
© 2021 by the authors. Licensee MDPI, Basel, Switzerland. This article is an open access article distributed under the terms and conditions of the Creative Commons Attribution (CC BY) license (https://creativecommons.org/licenses/by/4.0/).
Share and Cite
Gidaro, A.; Manetti, R.; Delitala, A.P.; Salvi, E.; Bergamaschini, L.; Vidili, G.; Castelli, R. Prothrombotic and Inflammatory Markers in Elderly Patients with Non-Alcoholic Hepatic Liver Disease before and after Weight Loss: A Pilot Study. J. Clin. Med. 2021, 10, 4906. https://doi.org/10.3390/jcm10214906
Gidaro A, Manetti R, Delitala AP, Salvi E, Bergamaschini L, Vidili G, Castelli R. Prothrombotic and Inflammatory Markers in Elderly Patients with Non-Alcoholic Hepatic Liver Disease before and after Weight Loss: A Pilot Study. Journal of Clinical Medicine. 2021; 10(21):4906. https://doi.org/10.3390/jcm10214906
Chicago/Turabian StyleGidaro, Antonio, Roberto Manetti, Alessandro Palmerio Delitala, Emanuele Salvi, Luigi Bergamaschini, Gianpaolo Vidili, and Roberto Castelli. 2021. "Prothrombotic and Inflammatory Markers in Elderly Patients with Non-Alcoholic Hepatic Liver Disease before and after Weight Loss: A Pilot Study" Journal of Clinical Medicine 10, no. 21: 4906. https://doi.org/10.3390/jcm10214906
APA StyleGidaro, A., Manetti, R., Delitala, A. P., Salvi, E., Bergamaschini, L., Vidili, G., & Castelli, R. (2021). Prothrombotic and Inflammatory Markers in Elderly Patients with Non-Alcoholic Hepatic Liver Disease before and after Weight Loss: A Pilot Study. Journal of Clinical Medicine, 10(21), 4906. https://doi.org/10.3390/jcm10214906

