Agricultural Residues as Raw Materials for Pulp and Paper Production: Overview and Applications on Membrane Fabrication
Abstract
1. Introduction to Agricultural Residues within the Pulp Industry
2. Characteristics of Agricultural Residues and Their Pulping Process
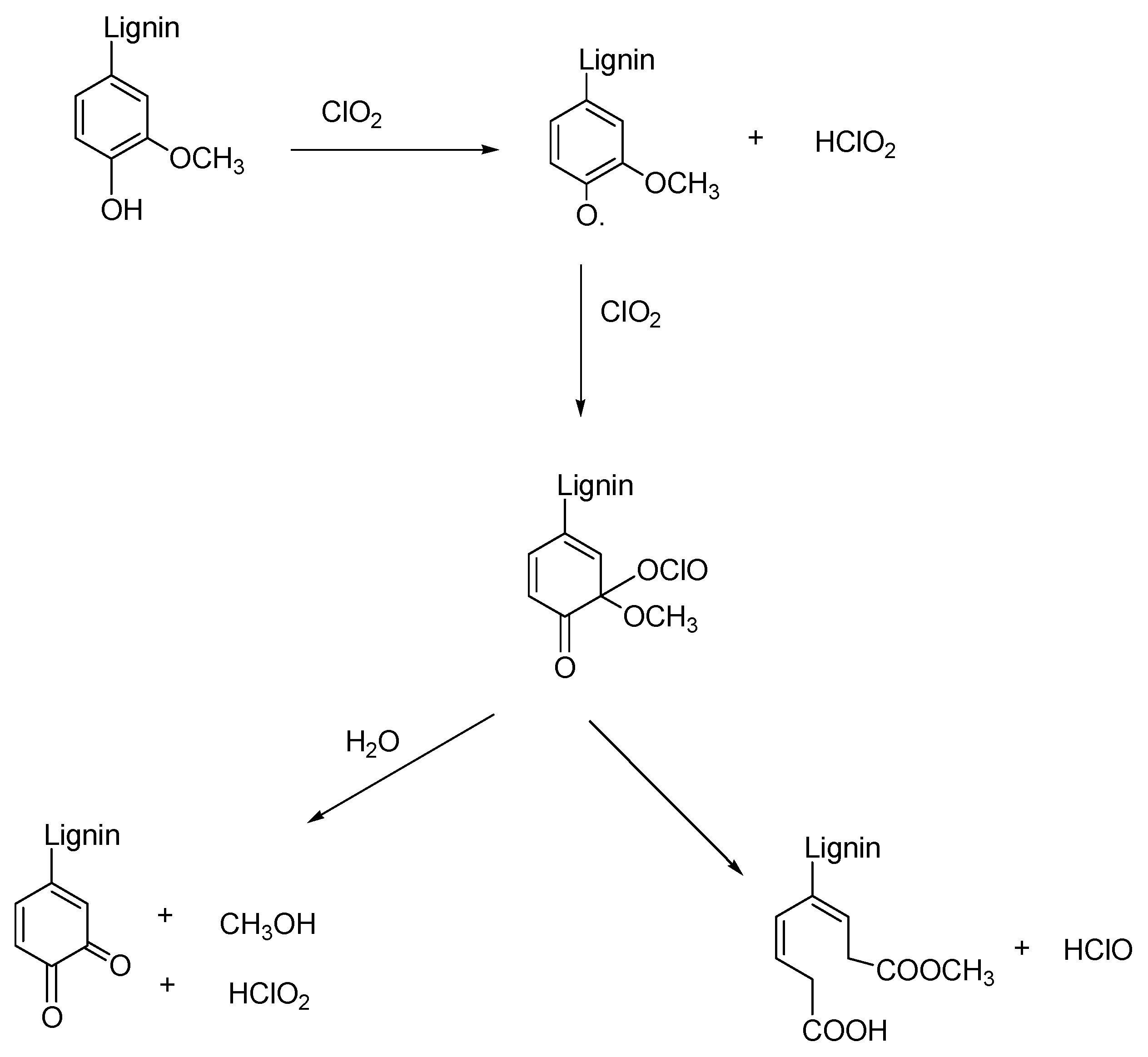
3. Bleaching of Fibrous Agricultural Residues
4. Application to the Development of Membranes and Their Use
5. Conclusions and Prospects
Author Contributions
Funding
Institutional Review Board Statement
Data Availability Statement
Conflicts of Interest
References
- Latta, G.S.; Plantinga, A.J.; Sloggy, M.R. The Effects of Internet Use on Global Demand for Paper Products. J. For. 2015, 114, 433–440. [Google Scholar] [CrossRef]
- Adel, A.M.; El-Gendy, A.A.; Diab, M.A.; Abou-Zeid, R.E.; El-Zawawy, W.K.; Dufresne, A. Microfibrillated cellulose from agricultural residues. Part I: Papermaking application. Ind. Crops Prod. 2016, 93, 161–174. [Google Scholar] [CrossRef]
- Mazhari Mousavi, S.M.; Hosseini, S.Z.; Resalati, H.; Mahdavi, S.; Rasooly Garmaroody, E. Papermaking potential of rapeseed straw, a new agricultural-based fiber source. J. Clean. Prod. 2013, 52, 420–424. [Google Scholar] [CrossRef]
- Yadav, K.K.; Patil, P.B.; Kumaraswamy, H.H.; Kashyap, B.K. Ligninolytic Microbes and Their Role in Effluent Management of Pulp and Paper Industry. In Waste to Energy: Prospects and Applications; Kashyap, B.K., Solanki, M.K., Kamboj, D.V., Pandey, A.K., Eds.; Springer Singapore: Singapore, 2020; pp. 309–350. [Google Scholar] [CrossRef]
- Ashrafi, O.; Yerushalmi, L.; Haghighat, F. Wastewater treatment in the pulp-and-paper industry: A review of treatment processes and the associated greenhouse gas emission. J. Environ. Manag. 2015, 158, 146–157. [Google Scholar] [CrossRef]
- Rodrigues, M.A.M.; Pinto, P.; Bezerra, R.M.F.; Dias, A.A.; Guedes, C.V.M.; Cardoso, V.M.G.; Cone, J.W.; Ferreira, L.M.M.; Colaço, J.; Sequeira, C.A. Effect of enzyme extracts isolated from white-rot fungi on chemical composition and in vitro digestibility of wheat straw. Anim. Feed Sci. Technol. 2008, 141, 326–338. [Google Scholar] [CrossRef]
- Zhong, L.; Huimei, W.; Lanfeng, H. Pulping and Papermaking of Non-Wood Fibers. In Pulp and Paper Processing; Salim Newaz, K., Ed.; IntechOpen: Rijeka, Croatia, 2018; p. Ch. 1. [Google Scholar] [CrossRef]
- Jiménez, L.; Ramos, E.; Rodríguez, A.; De la Torre, M.J.; Ferrer, J.L. Optimization of pulping conditions of abaca. An alternative raw material for producing cellulose pulp. Bioresour. Technol. 2005, 96, 977–983. [Google Scholar] [CrossRef]
- Kumar, P.; Barrett, D.M.; Delwiche, M.J.; Stroeve, P. Methods for Pretreatment of Lignocellulosic Biomass for Efficient Hydrolysis and Biofuel Production. Ind. Eng. Chem. Res. 2009, 48, 3713–3729. [Google Scholar] [CrossRef]
- Jiménez, L.; Rodríguez, A.; Pérez, A.; Moral, A.; Serrano, L. Alternative raw materials and pulping process using clean technologies. Ind. Crops Prod. 2008, 28, 11–16. [Google Scholar] [CrossRef]
- Kissinger, M.; Fix, J.; Rees, W.E. Wood and non-wood pulp production: Comparative ecological footprinting on the Canadian prairies. Ecol. Econ. 2007, 62, 552–558. [Google Scholar] [CrossRef]
- Kadam, K.L.; Forrest, L.H.; Jacobson, W.A. Rice straw as a lignocellulosic resource: Collection, processing, transportation, and environmental aspects. Biomass Bioenergy 2000, 18, 369–389. [Google Scholar] [CrossRef]
- Pan, G.X.; Leary, G.J. The bleachability of wheat straw alkaline peroxide mechanical pulp. Cellul. Chem. Technol. 2000, 34, 537–547. [Google Scholar]
- Laftah, W.A.; Wan Abdul Rahman, W.A. Pulping Process and the Potential of Using Non-Wood Pineapple Leaves Fiber for Pulp and Paper Production: A Review. J. Nat. Fibers 2016, 13, 85–102. [Google Scholar] [CrossRef]
- Ali, M.; Sreekrishnan, T.R. Aquatic toxicity from pulp and paper mill effluents: A review. Adv. Environ. Res. 2001, 5, 175–196. [Google Scholar] [CrossRef]
- Walia, A.; Guleria, S.; Mehta, P.; Chauhan, A.; Parkash, J. Microbial xylanases and their industrial application in pulp and paper biobleaching: A review. 3 Biotech 2017, 7, 11. [Google Scholar] [CrossRef]
- Sharma, N.; Bhardwaj, N.K.; Singh, R.B.P. Environmental issues of pulp bleaching and prospects of peracetic acid pulp bleaching: A review. J. Clean. Prod. 2020, 256, 120338. [Google Scholar] [CrossRef]
- Gullichsen, J. Process Internal Measures to Reduce Pulp Mill Pollution Load. Water Sci. Technol. 1991, 24, 45–53. [Google Scholar] [CrossRef]
- Ghosh, U.K. Short sequence environmental friendly bleaching of wheat straw pulp. J. Sci. Ind. Res. 2006, 65, 68–71. [Google Scholar]
- Gangwar, A.K.; Prakash, N.T.; Prakash, R. Applicability of microbial xylanases in paper pulp bleaching: A review. BioResources 2014, 9, 3733–3754. [Google Scholar] [CrossRef]
- Dixon, P.G.; Ahvenainen, P.; Aijazi, A.N.; Chen, S.H.; Lin, S.; Augusciak, P.K.; Borrega, M.; Svedström, K.; Gibson, L.J. Comparison of the structure and flexural properties of Moso, Guadua and Tre Gai bamboo. Constr. Build. Mater. 2015, 90, 11–17. [Google Scholar] [CrossRef]
- Abd El-Sayed, E.S.; El-Sakhawy, M.; El-Sakhawy, M.A.-M. Non-wood fibers as raw material for pulp and paper industry. Nord. Pulp Pap. Res. J. 2020, 35, 215–230. [Google Scholar] [CrossRef]
- Peng, F.; Sirnonson, R. High-yield chemimechanical pulping of bagasse. Nord. Pulp Pap. Res. J. 1991, 6, 170–176. [Google Scholar] [CrossRef]
- Ashori, A. Nonwood Fibers—A Potential Source of Raw Material in Papermaking. Polym.-Plast. Technol. Eng. 2006, 45, 1133–1136. [Google Scholar] [CrossRef]
- Samariha, A.; Khakifirooz, A.J.B. Application of NSSC pulping to sugarcane bagasse. BioResources 2011, 6, 3313–3323. [Google Scholar]
- Ogunsile, B.O.; Oladeji, T.G. Utilization of banana stalk fiber as reinforcement in low density polyethylene composite. Matéria (Rio De Jan.) 2016, 21, 953–963. [Google Scholar] [CrossRef]
- Tsalagkas, D.; Börcsök, Z.; Pásztory, Z.; Gryc, V.; Csóka, L.; Giagli, K.J.B. A Comparative Fiber Morphological Analysis of Major Agricultural Residues (Used or Investigated) as Feedstock in the Pulp and Paper Industry. BioResources 2021, 16, 7935–7952. [Google Scholar] [CrossRef]
- Yousefi, H. Canola straw as a bio-waste resource for medium density fiberboard (MDF) manufacture. Waste Manag. 2009, 29, 2644–2648. [Google Scholar] [CrossRef]
- Van Dam, J.E.G.; van den Oever, M.J.A.; Keijsers, E.R.P.; van der Putten, J.C.; Anayron, C.; Josol, F.; Peralta, A. Process for production of high density/high performance binderless boards from whole coconut husk: Part 2: Coconut husk morphology, composition and properties. Ind. Crops Prod. 2006, 24, 96–104. [Google Scholar] [CrossRef]
- Main, N.M.; Talib, R.A.; Ibrahim, R.; Rahman, R.A.; Mohamed, A.Z. Suitability of Coir Fibers as Pulp and Paper. Agric. Agric. Sci. Procedia 2014, 2, 304–311. [Google Scholar] [CrossRef]
- Majid, K.; Ahmad, S.; Jafar, E.K. Characterization of biometry and the chemical and morphological properties of fibers from bagasse, corn, sunflower, rice and rapeseed residues in Iran. Afr. J. Agric. Res. 2011, 6, 3762–3767. [Google Scholar]
- Rudi, H.; Resalati, H.; Eshkiki, R.B.; Kermanian, H. Sunflower stalk neutral sulfite semi-chemical pulp: An alternative fiber source for production of fluting paper. J. Clean. Prod. 2016, 127, 562–566. [Google Scholar] [CrossRef]
- Ververis, C.; Georghiou, K.; Christodoulakis, N.; Santas, P.; Santas, R. Fiber dimensions, lignin and cellulose content of various plant materials and their suitability for paper production. Ind. Crops Prod. 2004, 19, 245–254. [Google Scholar] [CrossRef]
- Thiruchitrambalam, M.; Alavudeen, A.; Venkateshwaran, N. Review on kenaf fiber composites. Rev. Adv. Mater. 2012, 32, 106–112. [Google Scholar]
- Garay, R.M.M.; Rallo, M.d.l.B.; Carmona, R.C.; Araya, J.C. Characterization of anatomical, chemical, and biodegradable properties of fibers from corn, wheat, and rice residues. Chil. J. Agric. Res. 2009, 69, 406–415. [Google Scholar] [CrossRef]
- Ekhuemelo, D.O.; Tor, K. Assessment of fibre characteristics and suitability of maize husk and stalk for pulp and paper production. J. Res. For. Wildl. Environ. 2013, 5, 41–49. [Google Scholar]
- Enayati, A.A.; Hamzeh, Y.; Mirshokraiei, S.A.; Molaii, M. Papermaking potential of canola stalks. BioResources 2009, 4, 245–256. [Google Scholar]
- Tofanica, B.M.; Cappelletto, E.; Gavrilescu, D.; Mueller, K. Properties of Rapeseed (Brassica napus) Stalks Fibers. J. Nat. Fibers 2011, 8, 241–262. [Google Scholar] [CrossRef]
- Ferdous, T.; Ni, Y.; Quaiyyum, M.A.; Uddin, M.N.; Jahan, M.S. Non-Wood Fibers: Relationships of Fiber Properties with Pulp Properties. ACS Omega 2021, 6, 21613–21622. [Google Scholar] [CrossRef] [PubMed]
- Hemmasi, A.H.; Samariha, A.; Tabei, A.; Nemati, M.; Khakifirooz, A. Study of morphological and chemical composition of fibers from Iranian sugarcane bagasse. Am.-Eurasian J. Agric. Environ. Sci 2011, 11, 478–481. [Google Scholar]
- Khristova, P.; Kordsachia, O.; Patt, R.; Karar, I.; Khider, T. Environmentally friendly pulping and bleaching of bagasse. Ind. Crops Prod. 2006, 23, 131–139. [Google Scholar] [CrossRef]
- Agnihotri, S.; Dutt, D.; Tyagi, C.H. Complete characterization of bagasse of early species of Saccharum officinerum-Co 89003 for pulp and paper making. BioResources 2010, 5, 1197–1214. [Google Scholar]
- Deniz, İ.; Kırcı, H.; Ates, S. Optimisation of wheat straw Triticum drum kraft pulping. Ind. Crops Prod. 2004, 19, 237–243. [Google Scholar] [CrossRef]
- AteŞ, S.; Deniz, I.; Kirci, H.; Atik, C.; Okan, O.T. Comparison of pulping and bleaching behaviors of some agricultural residues. Turk. J. Agric. For. 2015, 39, 144–153. [Google Scholar] [CrossRef]
- Daud, Z.; Mohd Hatta, M.Z.; Abdul Latiff, A.A.; Awang, H. Corn stalk fiber material by chemical pulping process for pulp and paper industry. In Advanced Materials Research; Trans Tech Publications Ltd.: Wollerau, Switzerland, 2016; pp. 608–611. [Google Scholar]
- Khalil, H.A. Vermicomposting of different types of oil palm fibre waste using Eudrilus eugeniae: A comparative study. J. Oil Palm Res. 2011, 23, 979–989. [Google Scholar]
- Tian, H.; Lu, Q.; Gopaluni, R.B.; Zavala, V.M.; Olson, J.A. An economic model predictive control framework for mechanical pulping processes. Control Eng. Pract. 2019, 85, 100–109. [Google Scholar] [CrossRef]
- Sandberg, C.; Hill, J.; Jackson, M. On the development of the refiner mechanical pulping process–A review. Nord. Pulp Pap. Res. J. 2020, 35, 1–17. [Google Scholar] [CrossRef]
- Fearon, O.; Kuitunen, S.; Ruuttunen, K.; Alopaeus, V.; Vuorinen, T. Detailed Modeling of Kraft Pulping Chemistry. Delignification. Ind. Eng. Chem. Res. 2020, 59, 12977–12985. [Google Scholar] [CrossRef]
- Alvira, P.; Tomás-Pejó, E.; Ballesteros, M.; Negro, M.J. Pretreatment technologies for an efficient bioethanol production process based on enzymatic hydrolysis: A review. Bioresour. Technol. 2010, 101, 4851–4861. [Google Scholar] [CrossRef] [PubMed]
- Brosse, N.; Hussin, M.H.; Rahim, A.A. Organosolv Processes. In Biorefineries; Wagemann, K., Tippkötter, N., Eds.; Springer International Publishing: Berlin/Heidelberg, Germany, 2019; pp. 153–176. [Google Scholar] [CrossRef]
- Thoresen, P.P.; Matsakas, L.; Rova, U.; Christakopoulos, P. Recent advances in organosolv fractionation: Towards biomass fractionation technology of the future. Bioresour. Technol. 2020, 306, 123189. [Google Scholar] [CrossRef] [PubMed]
- Cybulska, I.; Brudecki, G.P.; Zembrzuska, J.; Schmidt, J.E.; Lopez, C.G.-B.; Thomsen, M.H. Organosolv delignification of agricultural residues (date palm fronds, Phoenix dactylifera L.) of the United Arab Emirates. Appl. Energy 2017, 185, 1040–1050. [Google Scholar] [CrossRef]
- Rodríguez, A.; Serrano, L.; Moral, A.; Jiménez, L. Pulping of rice straw with high-boiling point organosolv solvents. Biochem. Eng. J. 2008, 42, 243–247. [Google Scholar] [CrossRef]
- Deykun, I.; Halysh, V.; Barbash, V. Rapeseed straw as an alternative for pulping and papermaking. Cellul. Chem. Technol. 2018, 52, 833–839. [Google Scholar]
- Halysh, V.; Skiba, M.; Nesterenko, A.; Kulik, T.; Palianytsia, B. Structural characterization of by-product lignins from organosolv rapeseed straw pulping and their application as biosorbents. J. Polym. Res. 2022, 29, 510. [Google Scholar] [CrossRef]
- Jiménez, L.; Serrano, L.; Rodríguez, A.; Sánchez, R. Soda-anthraquinone pulping of palm oil empty fruit bunches and beating of the resulting pulp. Bioresour. Technol. 2009, 100, 1262–1267. [Google Scholar] [CrossRef]
- Sarwar Jahan, M.; Shamsuzzaman, M.; Rahman, M.M.; Iqbal Moeiz, S.M.; Ni, Y. Effect of pre-extraction on soda-anthraquinone (AQ) pulping of rice straw. Ind. Crops Prod. 2012, 37, 164–169. [Google Scholar] [CrossRef]
- Khristova, P.; Gabir, S.; Bentcheva, S.; Dafalla, S. Soda-anthraquinone pulping of sunflower stalks. Ind. Crops Prod. 1998, 9, 9–17. [Google Scholar] [CrossRef]
- Saeed, H.A.; Liu, Y.; Chen, H.; Lucia, L.A. Suitable approach using agricultural residues for pulp and paper manufacturing. Nord. Pulp Pap. Res. J. 2017, 32, 674–682. [Google Scholar] [CrossRef]
- Salehi, K.; Kordsachia, O.; Patt, R. Comparison of MEA/AQ, soda and soda/AQ pulping of wheat and rye straw. Ind. Crops Prod. 2014, 52, 603–610. [Google Scholar] [CrossRef]
- Omer, S.H.; Khider, T.O.; Elzaki, O.T.; Mohieldin, S.D.; Shomeina, S.K. Application of soda-AQ pulping to agricultural waste (okra stalks) from Sudan. BMC Chem. Eng. 2019, 1, 6. [Google Scholar] [CrossRef]
- González-García, S.; Teresa Moreira, M.; Artal, G.; Maldonado, L.; Feijoo, G. Environmental impact assessment of non-wood based pulp production by soda-anthraquinone pulping process. J. Clean. Prod. 2010, 18, 137–145. [Google Scholar] [CrossRef]
- Mboowa, D. A review of the traditional pulping methods and the recent improvements in the pulping processes. Biomass Convers. Biorefinery 2021. [Google Scholar] [CrossRef]
- Levit, M.V.; Allison, L.; Bradbury, J.; Ragauskas, A.J. Improving Physical Properties of Kraft Hardwood Pulps by Copulping with Agricultural Residues. Ind. Eng. Chem. Res. 2013, 52, 3300–3305. [Google Scholar] [CrossRef]
- Tavast, D.; Mansoor, Z.A.; Brännvall, E. Xylan from Agro Waste As a Strength Enhancing Chemical in Kraft Pulping of Softwood. Ind. Eng. Chem. Res. 2014, 53, 9738–9742. [Google Scholar] [CrossRef]
- Li, J.; Zhang, H.; Duan, C.; Liu, Y.; Ni, Y. Enhancing hemicelluloses removal from a softwood sulfite pulp. Bioresour. Technol. 2015, 192, 11–16. [Google Scholar] [CrossRef]
- Gonzalo, A.; Bimbela, F.; Sánchez, J.; Labidi, J.; Marín, F.; Arauzo, J. Evaluation of different agricultural residues as raw materials for pulp and paper production using a semichemical process. J. Clean. Prod. 2017, 156, 184–193. [Google Scholar] [CrossRef]
- Salehi, K.J.W.; Research, P. Study and determine the properties of chemi-mechanical pulping high yields from bagasse. Wood Pap. Res. 2001. [Google Scholar]
- Masrol, S.R.; Ibrahim, M.H.I.; Adnan, S. Chemi-mechanical Pulping of Durian Rinds. Procedia Manuf. 2015, 2, 171–180. [Google Scholar] [CrossRef]
- Kumar, A.; Gautam, A.; Dutt, D. Bio-pulping: An energy saving and environment-friendly approach. Phys. Sci. Rev. 2020, 5. [Google Scholar] [CrossRef]
- Yaghoubi, K.; Pazouki, M.; Shojaosadati, S.A. Variable optimization for biopulping of agricultural residues by Ceriporiopsis subvermispora. Bioresour. Technol. 2008, 99, 4321–4328. [Google Scholar] [CrossRef] [PubMed]
- Otieno, J.O.; Okumu, T.N.; Adalla, M.; Ogutu, F.; Oure, B. Agricultural Residues as an Alternative Source of Fibre for the Production of Paper in Kenya-A Review. Asian J. Chem. Sci. 2021, 10, 22–37. [Google Scholar] [CrossRef]
- Moya, R.; Berrocal, A.; Rodríguez-Zúñiga, A.; Rodriguez-Solis, M.; Villalobos-Barquero, V.; Starbird, R.; Vega-Baudrit, J. Biopulp from pineapple leaf fiber produced by colonization with two white-rot fungi: Trametes versicolor and Pleurotus ostreatus. BioResources 2016, 11, 8756–8776. [Google Scholar] [CrossRef]
- Arora, D.S. Biodelignification of wheat straw by different fungal associations. Biodegradation 1995, 6, 57–60. [Google Scholar] [CrossRef]
- Rullifank, K.F.; Roefinal, M.E.; Kostanti, M.; Sartika, L.; Evelyn. Pulp and paper industry: An overview on pulping technologies, factors, and challenges. IOP Conf. Ser. Mater. Sci. Eng. 2020, 845, 012005. [Google Scholar] [CrossRef]
- Gomide, J.L.; Fantuzzi Neto, H.; Regazzi, A.J.J.R.Á. Analysis of wood quality criteria of eucalyptus wood for kraft pulp production. Rev. Árvore 2010, 34, 339–344. [Google Scholar] [CrossRef]
- Choi, H.-K.; Kwon, J.S.-I. Multiscale modeling and control of Kappa number and porosity in a batch-type pulp digester. AIChE J. 2019, 65, e16589. [Google Scholar] [CrossRef]
- Lobato-Peralta, D.R.; Duque-Brito, E.; Villafán-Vidales, H.I.; Longoria, A.; Sebastian, P.J.; Cuentas-Gallegos, A.K.; Arancibia-Bulnes, C.A.; Okoye, P.U. A review on trends in lignin extraction and valorization of lignocellulosic biomass for energy applications. J. Clean. Prod. 2021, 293, 126123. [Google Scholar] [CrossRef]
- Santiago, A.S.; Neto, C.P. Assessment of potential approaches to improve Eucalyptus globulus kraft pulping yield. J. Chem. Technol. Biotechnol. 2007, 82, 424–430. [Google Scholar] [CrossRef]
- Fahmy, Y.; Mobarak, F.; El-Sakhawy, M.; Fadl, M. Agricultural Residues (Wastes) for Manufacture of Paper, Board, and Miscellaneous Products: Background Overview and Future Prospects. Int. J. ChemTech Res. 2017, 10, 424–448. [Google Scholar]
- Kaur, D.; Bhardwaj, N.K.; Lohchab, R.K. Effect of incorporation of ozone prior to ECF bleaching on pulp, paper and effluent quality. J. Environ. Manag. 2019, 236, 134–145. [Google Scholar] [CrossRef]
- Thomas, R.; Singh, S.P.; Subrahmanyam, S.V. A study on oxygen delignification of Melocanna baccifera (Muli bamboo) kraft pulp. BioResources 2007, 2, 430–441. [Google Scholar]
- Nie, S.; Yao, S.; Wang, S.; Qin, C. Absorbable organic halide (AOX) reduction in elemental chlorine-free (ECF) bleaching of bagasse pulp from the addition of sodium sulphide. BioResources 2016, 11, 713–723. [Google Scholar] [CrossRef]
- Stratton, S.C.; Gleadow, P.L.; Johnson, A.P. Pulp mill process closure: A review of global technology developments and mill experiences in the 1990s. Water Sci. Technol. 2004, 50, 183–194. [Google Scholar] [CrossRef] [PubMed]
- Mussatto, S.I.; Rocha, G.J.M.; Roberto, I.C. Hydrogen peroxide bleaching of cellulose pulps obtained from brewer’s spent grain. Cellulose 2008, 15, 641–649. [Google Scholar] [CrossRef]
- Zhi Fu, G.; Chan, A.; Minns, D. Preliminary Assessment of the Environmental Benefits of Enzyme Bleaching for Pulp and Paper Making (7 pp). Int. J. Life Cycle Assess. 2005, 10, 136–142. [Google Scholar] [CrossRef]
- Jiménez, L.; Martínez, C.; Pérez, I.; López, F. Biobleaching procedures for pulp from agricultural residues using Phanerochaete chrysosporium and enzymes. Process Biochem. 1997, 32, 297–304. [Google Scholar] [CrossRef]
- Bajpai, P. Biological Bleaching of Chemical Pulps. Crit. Rev. Biotechnol. 2004, 24, 1–58. [Google Scholar] [CrossRef]
- Ayyachamy, M.; Vatsala, T.M. Production and partial characterization of cellulase free xylanase by Bacillus subtilis C 01 using agriresidues and its application in biobleaching of nonwoody plant pulps. Lett. Appl. Microbiol. 2007, 45, 467–472. [Google Scholar] [CrossRef]
- Gopal, P.M.; Sivaram, N.M.; Barik, D. Chapter 7-Paper Industry Wastes and Energy Generation From Wastes. In Energy from Toxic Organic Waste for Heat and Power Generation; Barik, D., Ed.; Woodhead Publishing: Sawston, UK, 2019; pp. 83–97. [Google Scholar] [CrossRef]
- Chandel, A.K.; Gonçalves, B.C.M.; Strap, J.L.; da Silva, S.S. Biodelignification of lignocellulose substrates: An intrinsic and sustainable pretreatment strategy for clean energy production. Crit. Rev. Biotechnol. 2015, 35, 281–293. [Google Scholar] [CrossRef]
- Zhao, X.; Zhang, R.; Liu, Y.; He, M.; Su, Y.; Gao, C.; Jiang, Z. Antifouling membrane surface construction: Chemistry plays a critical role. J. Membr. Sci. 2018, 551, 145–171. [Google Scholar] [CrossRef]
- Wong, K.K.; Jawad, Z.A. A review and future prospect of polymer blend mixed matrix membrane for CO2 separation. J. Polym. Res. 2019, 26, 289. [Google Scholar] [CrossRef]
- Ladewig, B.; Al-Shaeli, M.N.Z. Fundamentals of Membrane Processes. In Fundamentals of Membrane Bioreactors: Materials, Systems and Membrane Fouling; Ladewig, B., Al-Shaeli, M.N.Z., Eds.; Springer Singapore: Singapore, 2017; pp. 13–37. [Google Scholar] [CrossRef]
- Prakash Menon, M.; Selvakumar, R.; Suresh kumar, P.; Ramakrishna, S. Extraction and modification of cellulose nanofibers derived from biomass for environmental application. RSC Adv. 2017, 7, 42750–42773. [Google Scholar] [CrossRef]
- Amusa, A.A.; Ahmad, A.L.; Adewole, J.K. Mechanism and Compatibility of Pretreated Lignocellulosic Biomass and Polymeric Mixed Matrix Membranes: A Review. Membranes 2020, 10, 370. [Google Scholar] [CrossRef] [PubMed]
- Carpenter, A.W.; de Lannoy, C.-F.; Wiesner, M.R. Cellulose Nanomaterials in Water Treatment Technologies. Environ. Sci. Technol. 2015, 49, 5277–5287. [Google Scholar] [CrossRef] [PubMed]
- Sadare, O.O.; Yoro, K.O.; Moothi, K.; Daramola, M.O. Lignocellulosic Biomass-Derived Nanocellulose Crystals as Fillers in Membranes for Water and Wastewater Treatment: A Review. Membranes 2022, 12, 320. [Google Scholar] [CrossRef] [PubMed]
- Alammar, A.; Hardian, R.; Szekely, G. Upcycling agricultural waste into membranes: From date seed biomass to oil and solvent-resistant nanofiltration. Green Chem. 2022, 24, 365–374. [Google Scholar] [CrossRef]
- Mohamed, M.A.; Salleh, W.N.W.; Jaafar, J.; Ismail, A.F.; Abd Mutalib, M.; Mohamad, A.B.; Zain, M.F.M.; Awang, N.A.; Mohd Hir, Z.A. Physicochemical characterization of cellulose nanocrystal and nanoporous self-assembled CNC membrane derived from Ceiba pentandra. Carbohydr. Polym. 2017, 157, 1892–1902. [Google Scholar] [CrossRef] [PubMed]
- Lopatina, A.; Anugwom, I.; Blot, H.; Sánchez Conde, Á.; Mänttäri, M.; Kallioinen, M. Re-use of waste cotton textile as an ultrafiltration membrane. J. Environ. Chem. Eng. 2021, 9, 105705. [Google Scholar] [CrossRef]
- Saad, S.; Dávila, I.; Morales, A.; Labidi, J.; Moussaoui, Y. Cross-Linked Carboxymethylcellulose Adsorbtion Membranes from Ziziphus lotus for the Removal of Organic Dye Pollutants. Materials 2022, 15, 8760. [Google Scholar] [CrossRef] [PubMed]
- Gopakumar, D.A.; Arumughan, V.; Pasquini, D.; Leu, S.-Y.; HPS, A.K.; Thomas, S. Chapter 3-Nanocellulose-Based Membranes for Water Purification. In Nanoscale Materials in Water Purification; Thomas, S., Pasquini, D., Leu, S.-Y., Gopakumar, D.A., Eds.; Elsevier: Amsterdam, The Netherlands, 2019; pp. 59–85. [Google Scholar] [CrossRef]
- Yao, G.; Zhu, X.; Wang, M.; Qiu, Z.; Zhang, T.; Qiu, F. Controlled Fabrication of the Biomass Cellulose–CeO2 Nanocomposite Membrane as Efficient and Recyclable Adsorbents for Fluoride Removal. Ind. Eng. Chem. Res. 2021, 60, 5914–5923. [Google Scholar] [CrossRef]
- Islam, M.A.; Ong, H.L.; Villagracia, A.R.; Halim, K.A.A.; Ganganboina, A.B.; Doong, R.-A. Biomass–derived cellulose nanofibrils membrane from rice straw as sustainable separator for high performance supercapacitor. Ind. Crops Prod. 2021, 170, 113694. [Google Scholar] [CrossRef]
- Li, X.; Shao, C.; Zhuo, B.; Yang, S.; Zhu, Z.; Su, C.; Yuan, Q. The use of nanofibrillated cellulose to fabricate a homogeneous and flexible graphene-based electric heating membrane. Int. J. Biol. Macromol. 2019, 139, 1103–1116. [Google Scholar] [CrossRef]
- Athinarayanan, J.; Alshatwi, A.A.; Subbarayan Periasamy, V. Biocompatibility analysis of Borassus flabellifer biomass-derived nanofibrillated cellulose. Carbohydr. Polym. 2020, 235, 115961. [Google Scholar] [CrossRef]
- Selyanchyn, O.; Bayer, T.; Klotz, D.; Selyanchyn, R.; Sasaki, K.; Lyth, S.M. Cellulose Nanocrystals Crosslinked with Sulfosuccinic Acid as Sustainable Proton Exchange Membranes for Electrochemical Energy Applications. Membranes 2022, 12, 658. [Google Scholar] [CrossRef]
- Mahfoudhi, N.; Boufi, S. Nanocellulose as a novel nanostructured adsorbent for environmental remediation: A review. Cellulose 2017, 24, 1171–1197. [Google Scholar] [CrossRef]
- Snyder, A.; Bo, Z.; Moon, R.; Rochet, J.-C.; Stanciu, L. Reusable photocatalytic titanium dioxide–cellulose nanofiber films. J. Colloid Interface Sci. 2013, 399, 92–98. [Google Scholar] [CrossRef]
- Stephen, M.; Catherine, N.; Brenda, M.; Andrew, K.; Leslie, P.; Corrine, G. Oxolane-2,5-dione modified electrospun cellulose nanofibers for heavy metals adsorption. J. Hazard. Mater. 2011, 192, 922–927. [Google Scholar] [CrossRef]
- Sehaqui, H.; de Larraya, U.P.; Liu, P.; Pfenninger, N.; Mathew, A.P.; Zimmermann, T.; Tingaut, P. Enhancing adsorption of heavy metal ions onto biobased nanofibers from waste pulp residues for application in wastewater treatment. Cellulose 2014, 21, 2831–2844. [Google Scholar] [CrossRef]
- Ma, H.; Hsiao, B.S.; Chu, B. Ultrafine Cellulose Nanofibers as Efficient Adsorbents for Removal of UO22+ in Water. ACS Macro Lett. 2012, 1, 213–216. [Google Scholar] [CrossRef]
- Mautner, A. Nanocellulose water treatment membranes and filters: A review. Polym. Int. 2020, 69, 741–751. [Google Scholar] [CrossRef]


| Agriculture Residue | Wall Thickness (µm) | Lumen Diameter (µm) | Fiber Width (µm) | Fiber Length (mm) | Reference |
|---|---|---|---|---|---|
| Sugarcane bagasse | 5.63 | 9.72 | 20.96 | 1.59 | [25] |
| Banana fiber | 5.20 | 29.40 | 41.60 | 2.84 | [26] |
| Barley straw | 4.07 | 6.97 | 15.26 | 0.67 | [27] |
| Canola straw | 7.43 | 11.9 | 28 | 1.21 | [28] |
| Coconut husk/coir fibers | 2.91–4.02 | 10.71–12.97 | 17.52–20.68 | 0.69–1.06 | [29] |
| Coconut husk/coir fibers | 4.41 | 13.59 | 20.09 | 0.84 | [30] |
| Coconut husk/coir fibers | 3.30 | 10.71 | 17.60 | 0.67 | [27] |
| Sunflower stalk | 5.85 | 11.12 | 22.84 | 0.96 | [31] |
| Sunflower stalk | 5.90 | 11.90 | 23.70 | 0.96 | [32] |
| Kenaf bark | 4.2 | 11.9 | 21.9 | 2.32 | [33] |
| Kenaf fiber (core) | 4.3 | 13.2 | 22.2 | 0.74 | [34] |
| Maize stalks | 2.00 | 4.40 | 8.40 | 1.52 | [35] |
| Maize stalks | 4.19 | 10.92 | 20.12 | 0.88 | [31] |
| Maize stalks | 8.82 | 13.67 | 30.19 | 1.52 | [36] |
| Maize Husk | 8.82 | 13.67 | 30.19 | 1.37 | [36] |
| Maize straw | 3.68 | 9.73 | 17.18 | 0.75 | [27] |
| Miscanthus x giganteus Stalks | 4.64 | 5.76 | 15.17 | 0.50 | [27] |
| Rapeseed straw | 1.17 | 23.02 | 12.50 | 5.26 | [37] |
| Rapeseed straw | 4.31 | 15.50 | 24.12 | 0.95 | [31] |
| Rapeseed straw | 2.25 | 8.60 | 13.10 | 1.20 | [38] |
| Rapeseed straw | 4.91 | 19.10 | 28.00 | 1.03 | [3] |
| Rapeseed up | 4.25 | 9.73 | 18.36 | 0.71 | [27] |
| Rapeseed low | 3.86 | 11.04 | 18.99 | 0.57 | [27] |
| Rice straw | 3.02 | 4.52 | 10.77 | 0.54 | [27] |
| Rice straw | 1.50 | 1.90 | 4.90 | 0.66 | [35] |
| Rice straw | 3.16 | 4.57 | 10.89 | 0.83 | [31] |
| Rice straw | 1.83 | 5.6 | 11.6 | 0.78 | [39] |
| Sugarcane | NA | NA | 19.35–20.96 | 1.22–1.59 | [40] |
| Sugarcane bagasse | 4.50 | 10.25 | 19.86 | 1.15 | [27] |
| Sugarcane bagasse | 1.60 | 5.20 | 8.40 | 1.70 | [41] |
| Sugarcane bagasse | 7.74 | 6.27 | 21.40 | 1.51 | [42] |
| Sugarcane bagasse | 5.64 | 9.72 | 20.96 | 1.59 | [40] |
| Sunflower stalk | 4.80 | 13.23 | 22.99 | 0.64 | [27] |
| Wheat straw | 4.59 | 4.02 | 13.20 | 0.74 | [43] |
| Wheat straw | 4.13 | 8.34 | 16.87 | 0.78 | [27] |
| Wheat straw | 1.60 | 6.80 | 9.90 | 0.85 | [35] |
| Agriculture Residue | Holoce-Llulose (%) | Klason Lignin (%) | Hot Water Solubility (%) | Cold Water Solubility (%) | Alcohol Benzene Solubility (%) | 1% NaOH Solubility (%) | Ash (%) | Reference |
|---|---|---|---|---|---|---|---|---|
| Barley straw | 66.01 | 19.47 | 16.25 | 11.01 | 8.71 | 56.25 | 10.97 | [44] |
| Cornstalk | 69.92 | 18.16 | 16.82 | 14.64 | 8.57 | 46.43 | 7.75 | [44] |
| Cotton stalk | 62.79 | 23.79 | 17.91 | 15.05 | 8.36 | 48.88 | 4.99 | [44] |
| Hemp | 86.08 | 6.42 | 5.85 | 5.29 | 1.59 | 20.04 | 3.62 | [44] |
| Cornstalk | 82.10 | 7.30 | 12.60 | NA | NA | 69.60 | 24.9 | [45] |
| Empty fruit bunches | 80.00 | 17.00 | 3.50 | NA | 2.30 | NA | 3.5 | [46] |
| Oil palm fronds | 83.00 | 21.00 | 4.50 | NA | 2.30 | NA | 2.5 | [46] |
| Oil palm trunks | 73.00 | 25.00 | 5.50 | NA | 1.30 | NA | 2.5 | [46] |
| Reed stalk | 78.85 | 22.79 | 9.80 | 7.61 | 3.26 | 36.81 | 4.17 | [44] |
| Rice straw | 60.70 | 12–16 | 7.30 | 9.66 | 0.60 | 57.7 | 15–20 | [44] |
| Rye straw | 76.95 | 17.25 | 15.72 | 11.95 | 7.44 | 44.35 | 4.01 | [44] |
| Sunflower stalk | 66.85 | 14.43 | 24.26 | 21.08 | 7.48 | 50.05 | 7.99 | [44] |
| Tobacco stalk | 64.29 | 15.15 | 21.56 | 17.15 | 8.06 | 50.57 | 14.44 | [44] |
| Wheat straw | 69.84 | 22.33 | 14.71 | 11.33 | 9.33 | 53.67 | 11.63 | [44] |
| Pulping Technology | Conditions (Agricultural Residues and Pulping Conditions) | Specific Features (Removal of Lignin, and Other Parameters) | Environmental Impact * |
|---|---|---|---|
| Thermo-mechanical process | Used for all agricultural residues | Softening of biomass by steam followed by fibrilization | +++ |
| The whole wood fiber manufacturing process | Agricultural residues can be used for this process by using different mechanical means after steaming | Conversion of biomass tissue into the fibrous state without chemical action | ++ |
| Semi-chemical pulping process | Wheat straw, rice straw, corn stalks, cotton stalks | High yield of pulp with significant removal of lignin and hemicellulose | +++ |
| Chemical pulping | Suitable for agricultural residues | Efficient delignification, the minimum requirement of fibrillization | ++++ |
| Sulfite process | The acid sulfite process is not suitable for pulping agricultural wastes | Using a buffered acid solution of calcium bisulfite or magnesium bisulfite. Conversion of lignin into soluble lignosulfonate acid and consequently lignosulfonates production | ++++ |
| Soda and modifications (e.g., soda-anthroquinone) | Silica is easily dissolved in an alkaline medium. Recommended for agricultural residues. | NaOH solution reacts with the free –OH groups in the lignin molecules and converts it into sodium ligninate (alcoholate) | ++ |
| Kraft process | Suitable for woody biomass. It produces stronger pulp than most other chemical and mechanical processes. | NaOH is replaced by Na2S enhancing the delignification | ++++ |
| Organosolv | Delignify bagasse, cotton stalks and wheat straw. | Using a broad range of organic solvents | ++++ |
| Bio-pulping | Use of microorganisms or enzymes in the pulping process | Enzymes from wood degrading fungi for selective degradation of lignin, low temperature and atmospheric pressure but requires long processing time | + |
Disclaimer/Publisher’s Note: The statements, opinions and data contained in all publications are solely those of the individual author(s) and contributor(s) and not of MDPI and/or the editor(s). MDPI and/or the editor(s) disclaim responsibility for any injury to people or property resulting from any ideas, methods, instructions or products referred to in the content. |
© 2023 by the authors. Licensee MDPI, Basel, Switzerland. This article is an open access article distributed under the terms and conditions of the Creative Commons Attribution (CC BY) license (https://creativecommons.org/licenses/by/4.0/).
Share and Cite
Worku, L.A.; Bachheti, A.; Bachheti, R.K.; Rodrigues Reis, C.E.; Chandel, A.K. Agricultural Residues as Raw Materials for Pulp and Paper Production: Overview and Applications on Membrane Fabrication. Membranes 2023, 13, 228. https://doi.org/10.3390/membranes13020228
Worku LA, Bachheti A, Bachheti RK, Rodrigues Reis CE, Chandel AK. Agricultural Residues as Raw Materials for Pulp and Paper Production: Overview and Applications on Membrane Fabrication. Membranes. 2023; 13(2):228. https://doi.org/10.3390/membranes13020228
Chicago/Turabian StyleWorku, Limenew Abate, Archana Bachheti, Rakesh Kumar Bachheti, Cristiano E. Rodrigues Reis, and Anuj Kumar Chandel. 2023. "Agricultural Residues as Raw Materials for Pulp and Paper Production: Overview and Applications on Membrane Fabrication" Membranes 13, no. 2: 228. https://doi.org/10.3390/membranes13020228
APA StyleWorku, L. A., Bachheti, A., Bachheti, R. K., Rodrigues Reis, C. E., & Chandel, A. K. (2023). Agricultural Residues as Raw Materials for Pulp and Paper Production: Overview and Applications on Membrane Fabrication. Membranes, 13(2), 228. https://doi.org/10.3390/membranes13020228

