Flue Gas Desulfurization (FGD) Wastewater Treatment Using Polybenzimidazole (PBI) Hollow Fiber (HF) Membranes
Abstract
1. Introduction
- a modular design,
- high water permeability,
- the ability to process water of varying quality,
- continuous operation at room temperature,
- no need for energy-intensive phase changes.
2. Experimental
2.1. PBI Membrane and Modules
2.2. Testing System and Analysis
3. Results and Discussion
3.1. Single Salt Experiments (Module 1)
3.2. FGD WW–Temperature and Pressure Effects (Module 1)
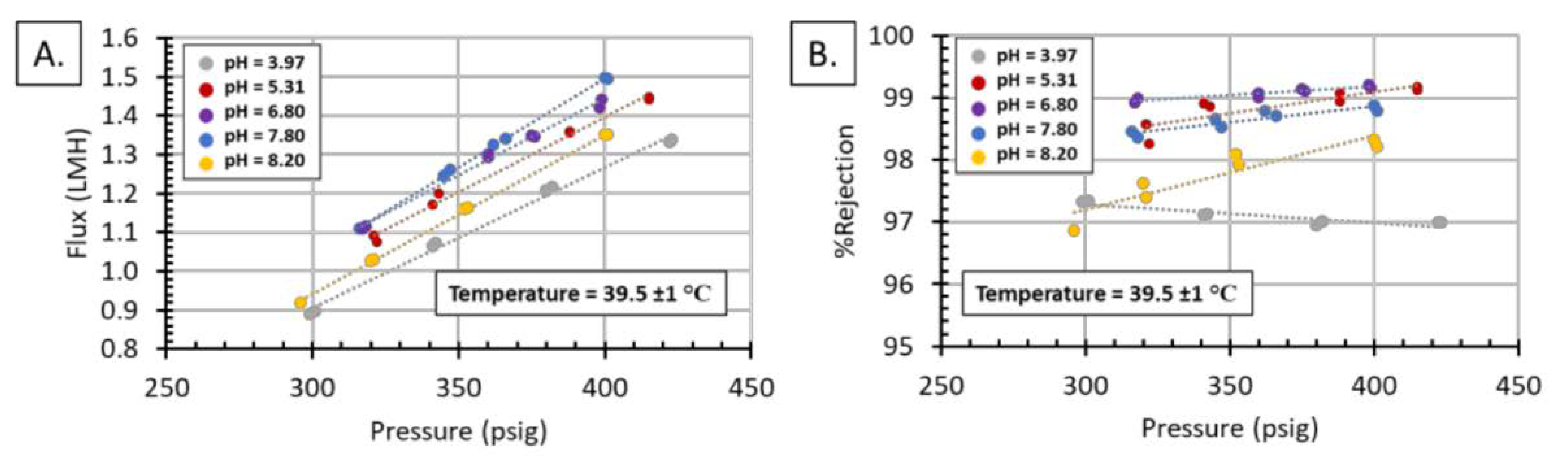
3.3. FGD WW–pH Effects (Module 2)
3.4. Activation Energy
4. Conclusions
Author Contributions
Funding
Institutional Review Board Statement
Informed Consent Statement
Data Availability Statement
Acknowledgments
Conflicts of Interest
References
- Environmental Protection Agency. Federal Water Pollution Control Act (33 U.S.C. 1251 et seq.). Available online: https://www.epa.gov/laws-regulations/summary-clean-water-act (accessed on 4 June 2021).
- U.S. Environmental Protection Agency. Summary of the Clean Water Act|Laws & Regulations|US EPA. Available online: https://www.epa.gov/laws-regulations/summary-clean-water-act (accessed on 20 June 2020).
- United States Environmental Protection Agency. EPA-821-R-15-007 Technical Development Document for the Effluent Limitations Guidelines and Standards for the Steam Electric Power Generating Point Source Category. Available online: https://nepis.epa.gov/Exe/ZyNET.exe/P100NTDT.TXT?ZyActionD=ZyDocument&Client=EPA&Index=2011+Thru+2015&Docs=&Query=&Time=&EndTime=&SearchMethod=1&TocRestrict=n&Toc=&TocEntry=&QField=&QFieldYear=&QFieldMonth=&QFieldDay=&IntQFieldOp=0&ExtQFieldOp=0&XmlQuery=&File=D%3A%5Czyfiles%5CIndexData%5C11thru15%5CTxt%5C00000018%5CP100NTDT.txt&User=ANONYMOUS&Password=anonymous&SortMethod=h%7C-&MaximumDocuments=1&FuzzyDegree=0&ImageQuality=r75g8/r75g8/x150y150g16/i425&Display=hpfr&DefSeekPage=x&SearchBack=ZyActionL&Back=ZyActionS&BackDesc=Resultspage&MaximumPages=1&ZyEntry=1&SeekPage=x&ZyPURL# (accessed on 4 June 2021).
- United States Environmental Protection Agency. EPA-452/F-03-034 Air Pollution Control Technology Fact Sheet EPA-CICA Fact Sheet Flue Gas Desulfurization. Available online: https://www3.epa.gov/ttncatc1/dir1/ffdg.pdf (accessed on 20 June 2020).
- Córdoba, P. Status of Flue Gas Desulphurisation (FGD) systems from coal-fired power plants: Overview of the physic-chemical control processes of wet limestone FGDs. Fuel 2015, 144, 274–286. [Google Scholar] [CrossRef]
- Córdoba, P. Partitioning and speciation of selenium in wet limestone flue gas desulphurisation systems: A review. Fuel 2017, 202, 184–195. [Google Scholar] [CrossRef]
- Pyshyev, S.; Prysiazhnyi, Y.; Shved, M.; Namiesnik, J.; Bratychak, M. State of the art in the field of emission reduction of sulphur dioxide produced during coal combustion. Crit. Rev. Environ. Sci. Technol. 2017, 47, 2387–2414. [Google Scholar] [CrossRef]
- Gingerich, D.B.; Grol, E.; Mauter, M.S. Fundamental challenges and engineering opportunities in flue gas desulfurization wastewater treatment at coal fired power plants. Environ. Sci. Water Res. Technol. 2018, 4, 909–925. [Google Scholar] [CrossRef]
- Zhang, L.; Lin, X.; Wang, J.; Jiang, F.; Wei, L.; Chen, G.; Hao, X. Effects of lead and mercury on sulfate-reducing bacterial activity in a biological process for flue gas desulfurization wastewater treatment. Sci. Rep. 2016, 6, 30455. [Google Scholar] [CrossRef]
- Yan, Y.; Li, Q.; Sun, X.; Ren, Z.; He, F.; Wang, Y.; Wang, L. Recycling flue gas desulphurization (FGD) gypsum for removal of Pb (II) and Cd (II) from wastewater. J. Colloid Interface Sci. 2015, 457, 86–95. [Google Scholar] [CrossRef]
- Nielsen, P.B.; Christensen, T.C.; Vendrup, M. Continuous removal of heavy metals from FGD wastewater in a fluidised bed without sludge generation. Water Sci. Technol. 1997, 36, 391–397. [Google Scholar] [CrossRef]
- Sundberg, S.E. Partitioning and Toxicity of Mercury, Selenium, and Arsenic in a Constructed Wetland for Flue Gas Desulfurization Wastewater Treatment; Clemson University: Clemson, SC, USA, 2006; ISBN 0542696908. [Google Scholar]
- EPA Environmental Protection Agency. Steam Electric Reconsideration Rule. Available online: https://www.epa.gov/sites/production/files/2020-08/documents/steam_electric_elg_2020_final_reconsideration_rule_fact_sheet.pdf (accessed on 4 June 2021).
- EPA Environmental Protection Agency. 40 CFR Part 423 Postponement of Certain Compliance Dates for the Effluent Limitations Guidelines and Standards for the Steam Electric Power Generating Point Source Category. Available online: https://www.federalregister.gov/documents/2017/09/18/2017-19821/postponement-of-certain-compliance-dates-for-the-effluent-limitations-guidelines-and-standards-for (accessed on 4 June 2021).
- Colla, V.; Branca, T.A.; Rosito, F.; Lucca, C.; Vivas, B.P.; Delmiro, V.M. Sustainable reverse osmosis application for wastewater treatment in the steel industry. J. Clean. Prod. 2016, 130, 103–115. [Google Scholar] [CrossRef]
- Al-Obaidi, M.A.; Li, J.-P.; Kara-Zaitri, C.; Mujtaba, I.M. Optimisation of reverse osmosis based wastewater treatment system for the removal of chlorophenol using genetic algorithms. Chem. Eng. J. 2017, 316, 91–100. [Google Scholar] [CrossRef]
- Wenten, I.G. Reverse osmosis applications: Prospect and challenges. Desalination 2016, 391, 112–125. [Google Scholar] [CrossRef]
- Ma, R.; Yang, B.; Xu, G.; Xu, Y. Research of Reverse Osmosis Membrane for Radioactive Wastewater Treatment. Water Pollut. Treat. 2017, 5, 86–92. [Google Scholar] [CrossRef]
- Trishitman, D.; Cassano, A.; Basile, A.; Rastogi, N.K. Reverse osmosis for industrial wastewater treatment. In Current Trends and Future Developments on (Bio-) Membranes; Elsevier: Amsterdam, The Netherlands, 2020; pp. 207–228. [Google Scholar]
- Li, Y.; Li, M.; Xiao, K.; Huang, X. Reverse osmosis membrane autopsy in coal chemical wastewater treatment: Evidences of spatially heterogeneous fouling and organic-inorganic synergistic effect. J. Clean. Prod. 2020, 246, 118964. [Google Scholar] [CrossRef]
- Wang, Y.; Wang, X.; Li, M.; Dong, J.; Sun, C.; Chen, G. Removal of pharmaceutical and personal care products (PPCPs) from municipal waste water with integrated membrane systems, MBR-RO/NF. Int. J. Environ. Res. Public Health 2018, 15, 269. [Google Scholar] [CrossRef]
- Conidi, C.; Macedonio, F.; Argurio, P.; Cassano, A.; Drioli, E. Performance of reverse osmosis membranes in the treatment of flue-gas desulfurization (FGD) wastewaters. Environments 2018, 5, 71. [Google Scholar] [CrossRef]
- Chung, T.-S. A critical review of polybenzimidazoles: Historical development and future R&D. J. Macromol. Sci. Part C Polym. Rev. 1997, 37, 277–301. [Google Scholar]
- Model, F.S.; Lee, L.A. PBI reverse osmosis membranes: An initial survey. In Reverse Osmosis Membrane Research; Springer: Berlin/Heidelberg, Germany, 1972; pp. 285–297. [Google Scholar]
- Araya, S.S.; Zhou, F.; Liso, V.; Sahlin, S.L.; Vang, J.R.; Thomas, S.; Gao, X.; Jeppesen, C.; Kær, S.K. A comprehensive review of PBI-based high temperature PEM fuel cells. Int. J. Hydrog. Energy 2016, 41, 21310–21344. [Google Scholar] [CrossRef]
- Schulte, L. Blending High Performance Polymers for Improved Stability in Integrally Skinned Asymmetric Gas Separation Membranes. PhD. Thesis, Kansas State University, Manhattan, KS, USA, 2015. [Google Scholar]
- Hosseini, S.S.; Chung, T.S. Carbon membranes from blends of PBI and polyimides for N2/CH4 and CO2/CH4 separation and hydrogen purification. J. Membr. Sci. 2009, 328, 174–185. [Google Scholar] [CrossRef]
- Liang, L.; Gan, Q.; Nancarrow, P. Composite ionic liquid and polymer membranes for gas separation at elevated temperatures. J. Membr. Sci. 2014, 450, 407–417. [Google Scholar] [CrossRef]
- Wang, K.Y.; Chung, T.-S. Fabrication of polybenzimidazole (PBI) nanofiltration hollow fiber membranes for removal of chromate. J. Membr. Sci. 2006, 281, 307–315. [Google Scholar] [CrossRef]
- Wang, K.Y.; Yang, Q.; Chung, T.-S.; Rajagopalan, R. Enhanced forward osmosis from chemically modified polybenzimidazole (PBI) nanofiltration hollow fiber membranes with a thin wall. Chem. Eng. Sci. 2009, 64, 1577–1584. [Google Scholar] [CrossRef]
- Krishnan, G.N.; Berchtold, K.A.; Jayaweera, I.; Callahan, R.; OBrien, K.; Roberts, D.-L.; Johnson, W. Fabrication and Scale-up of Polybenzimidazole (PBI) Membrane Based System for Precombustion-Based Capture of Carbon Dioxide; Los Alamos National Lab. (LANL): Los Alamos, NM, USA, 2013. [Google Scholar]
- Wang, X.; Jayaweera, P.; Alrasheed, R.A.; Aljlil, S.A.; Alyousef, Y.M.; Alsubaei, M.; AlRomaih, H.; Jayaweera, I. Preparation of polybenzimidazole hollow-fiber membranes for reverse osmosis and nanofiltration by changing the spinning air gap. Membranes 2018, 8, 113. [Google Scholar] [CrossRef]
- Jayaweera, I.; Jayaweera, P.; Bhamidi, S.; Elmore, R.; Perea, E.; Wang, X. Development of a Pre-combustion CO2 Capture Process Using High-Temperature PBI Hollow-Fiber Membranes. In Proceedings of the 14th Greenhouse Gas Control Technologies Conference, Melbourne, Australia, 21–26 October 2018; pp. 21–26. [Google Scholar]
- Zhu, L.; Swihart, M.T.; Lin, H. Tightening polybenzimidazole (PBI) nanostructure via chemical cross-linking for membrane H 2/CO 2 separation. J. Mater. Chem. A 2017, 5, 19914–19923. [Google Scholar] [CrossRef]
- Jayaweera, I.; Krishnan, G.N.; Sanjurjo, A.; Jayaweera, P.; Bhamidi, S. Process for Fabricating PBI Hollow Fiber Asymmetric Membranes for Gas Separation and Liquid Separation. U.S. Patent No. 9,321,015, 26 April 2016. [Google Scholar]
- Baker, R.W. Membrane Technology and Applications; John Wiley & Sons: Hoboken, NJ, USA, 2012; ISBN 1118359690. [Google Scholar]
- Childress, A.E.; Elimelech, M. Effect of solution chemistry on the surface charge of polymeric reverse osmosis and nanofiltration membranes. J. Membr. Sci. 1996, 119, 253–268. [Google Scholar] [CrossRef]
- Flanagan, M.; Hausman, R.; Digman, B.; Escobar, I.C.; Coleman, M.; Chung, T.-S. Surface functionalization of polybenzimidazole membranes to increase hydrophilicity and charge. In Modern Applications in Membrane Science and Technology; ACS Publications: Washington, DC, USA, 2011; pp. 303–321. ISBN 1947-5918. [Google Scholar]
- Chai, X.; Chen, G.; Po-Lock, Y.; Mi, Y. Pilot scale membrane separation of electroplating waste water by reverse osmosis. J. Membr. Sci. 1997, 123, 235–242. [Google Scholar] [CrossRef]
- Sassi, K.M.; Mujtaba, I.M. Effective design of reverse osmosis based desalination process considering wide range of salinity and seawater temperature. Desalination 2012, 306, 8–16. [Google Scholar] [CrossRef]
- Jin, X.; Jawor, A.; Kim, S.; Hoek, E.M. V Effects of feed water temperature on separation performance and organic fouling of brackish water RO membranes. Desalination 2009, 239, 346–359. [Google Scholar] [CrossRef]
- Goosen, M.F.A.; Sablani, S.S.; Al-Maskari, S.S.; Al-Belushi, R.H.; Wilf, M. Effect of feed temperature on permeate flux and mass transfer coefficient in spiral-wound reverse osmosis systems. Desalination 2002, 144, 367–372. [Google Scholar] [CrossRef]
- Nisan, S.; Commercon, B.; Dardour, S. A new method for the treatment of the reverse osmosis process, with preheating of the feedwater. Desalination 2005, 182, 483–495. [Google Scholar] [CrossRef]
- Arora, M.; Maheshwari, R.C.; Jain, S.K.; Gupta, A. Use of membrane technology for potable water production. Desalination 2004, 170, 105–112. [Google Scholar] [CrossRef]
- Qin, J.-J.; Oo, M.H.; Coniglio, B. Relationship between feed pH and permeate pH in reverse osmosis with town water as feed. Desalination 2005, 177, 267–272. [Google Scholar] [CrossRef]
- Hyung, H.; Kim, J.-H. A mechanistic study on boron rejection by sea water reverse osmosis membranes. J. Membr. Sci. 2006, 286, 269–278. [Google Scholar] [CrossRef]
- Park, H.-G.; Kwon, Y.-N. Investigation on the factors determining permeate pH in reverse osmosis membrane processes. Desalination 2018, 430, 147–158. [Google Scholar] [CrossRef]
- Sharma, R.R.; Agrawal, R.; Chellam, S. Temperature effects on sieving characteristics of thin-film composite nanofiltration membranes: Pore size distributions and transport parameters. J. Membr. Sci. 2003, 223, 69–87. [Google Scholar] [CrossRef]












| Property | Type/Value |
|---|---|
| FGD type | Wet FGD |
| Coal type | Subbituminous |
| Total TDS | ≈15,000 PPM |
| Total organic carbon | 81 PPM |
| Chloride/sulfate ratio (ppm/ppm) | ≥5 |
| Salt | Concentration (ppm) | Water Flux (LMH) | Osmotic Pressure (psi) | Rejection |
|---|---|---|---|---|
| NaCl | 1950 | 1.19 | 21.4 | >99% |
| MgCl2 | 1940 | 1.31 | 20.6 | >99% |
| CaCl2 | 1980 | 1.39 | 16.4 | >99% |
| CaSO4 | 2070 | 1.42 | 11.2 | >99% |
| Solution | Pressure (psig) | Slope (–Ea/R) | R2 | Ea (kJ/mol) | Temperature Range (°C) |
|---|---|---|---|---|---|
| NaCl | 306 | −3588.0 | 0.980 | 29.8 | 20−30 |
| MgCl2 | 306 | −3451.6 | 0.996 | 28.7 | 20−30 |
| CaCl2 | 306 | −3111.6 | 0.982 | 25.9 | 20−30 |
| CaSO4 | 306 | −3067.1 | 0.998 | 25.5 | 20−40 |
| 81,000 ppm FGD WW | 260 | −2756.0 | 0.993 | 22.9 | 25−50 |
| 81,000 ppm FGD WW | 315 | −2554.3 | 0.992 | 21.2 | 25−50 |
| 81,000 ppm FGD WW | 373 | −2403.4 | 0.957 | 20.0 | 25−50 |
Publisher’s Note: MDPI stays neutral with regard to jurisdictional claims in published maps and institutional affiliations. |
© 2021 by the authors. Licensee MDPI, Basel, Switzerland. This article is an open access article distributed under the terms and conditions of the Creative Commons Attribution (CC BY) license (https://creativecommons.org/licenses/by/4.0/).
Share and Cite
Wales, M.D.; Gebremichael, E.; Wang, X.; Perea, E.; Jayaweera, P.; Jayaweera, I. Flue Gas Desulfurization (FGD) Wastewater Treatment Using Polybenzimidazole (PBI) Hollow Fiber (HF) Membranes. Membranes 2021, 11, 430. https://doi.org/10.3390/membranes11060430
Wales MD, Gebremichael E, Wang X, Perea E, Jayaweera P, Jayaweera I. Flue Gas Desulfurization (FGD) Wastewater Treatment Using Polybenzimidazole (PBI) Hollow Fiber (HF) Membranes. Membranes. 2021; 11(6):430. https://doi.org/10.3390/membranes11060430
Chicago/Turabian StyleWales, Michael Dean, Eminet Gebremichael, Xiao Wang, Elisabeth Perea, Palitha Jayaweera, and Indira Jayaweera. 2021. "Flue Gas Desulfurization (FGD) Wastewater Treatment Using Polybenzimidazole (PBI) Hollow Fiber (HF) Membranes" Membranes 11, no. 6: 430. https://doi.org/10.3390/membranes11060430
APA StyleWales, M. D., Gebremichael, E., Wang, X., Perea, E., Jayaweera, P., & Jayaweera, I. (2021). Flue Gas Desulfurization (FGD) Wastewater Treatment Using Polybenzimidazole (PBI) Hollow Fiber (HF) Membranes. Membranes, 11(6), 430. https://doi.org/10.3390/membranes11060430
