Field Monitoring of Colostral BVDV-, BoHV-1-, and BRSV-Specific Serum Antibody Levels in Dairy Calves from Birth to Weaning Fed with Pasteurized Colostrum Pools Obtained from Vaccinated Dams
Abstract
1. Introduction
2. Methods
2.1. Monitoring Study
2.2. Socialization Groups and Vaccination Design
2.3. Analysis of Serum and Colostrum Antibody Levels and BVDV Antigen
2.4. Isolation of M. haemolytica, P. multocida, T. pyogenes, and M. bovis
2.5. Polymerase Chain Reaction (PCR) for Viruses and Bacteria
2.6. Statistical Analysis
3. Results
3.1. Monitoring of Passive Immunity in Calves
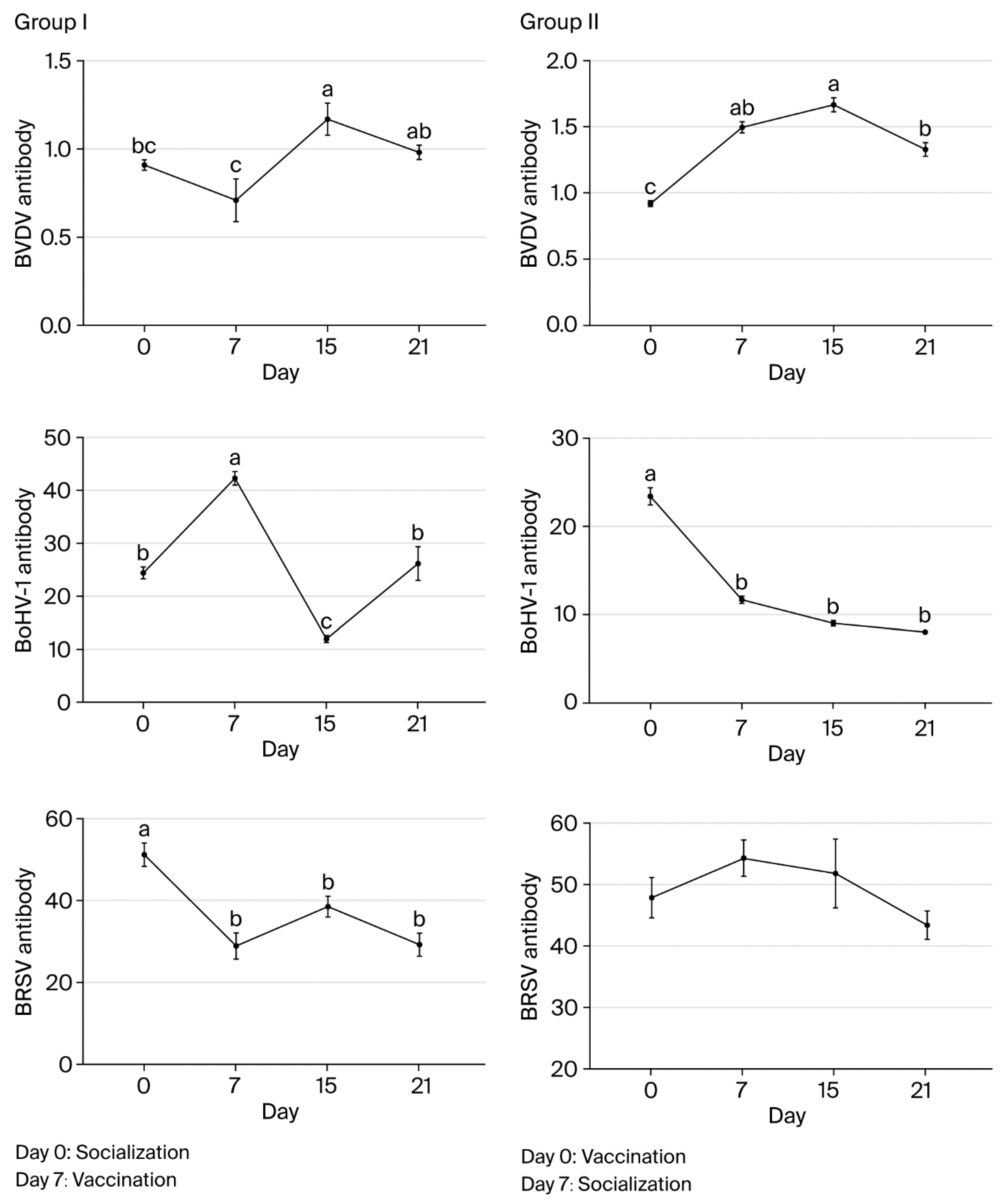
3.2. Monitoring of Humoral Immunity After Socialization and Vaccination
4. Discussion
5. Conclusions
Author Contributions
Funding
Institutional Review Board Statement
Informed Consent Statement
Data Availability Statement
Acknowledgments
Conflicts of Interest
Abbreviations
| BoHV-1 | Bovine herpesvirus-1 |
| BVDV | Bovine viral diarrhea virus |
| BPIV-3 | Bovine parainfluenza virus-3 |
| BRSV | Bovine respiratory syncytial virus |
| BCoV | Bovine coronavirus |
| ELISA | Enzyme-linked immunosorbent assay |
| H. somni | Histophilus somni |
| Ig | Immunoglobulin |
| M. bovis | Mycoplasma bovis |
| M. haemolytica | Mannheimia haemolytica |
| ND | Non determined |
| NS | Non-significant |
| p | p-value |
| P. multocida | Pasteurella multocida |
| r | Pearson correlation coefficient |
| RT-PCR | Real-time polymerase chain reaction |
| T. pyogenes | Trueperella pyogenes |
References
- Zhou, Y.; Shao, Z.; Dai, G.; Li, X.; Xiang, Y.; Jiang, S.; Zhang, Z.; Ren, Y.; Zhu, Z. Pathogenic infection characteristics and risk factors for bovine respiratory disease complex based on the detection of lung pathogens in dead cattle in northeast China. J. Dairy Sci. 2022, 106, 589–606. [Google Scholar] [CrossRef] [PubMed]
- Griffin, D.; Chengappa, M.M.; Kuszak, J.; McVey, D.S. Bacterial pathogens of the bovine respiratory disease complex. Vet. Clin. N. Am. Food Anim. Pract. 2010, 26, 381–394. [Google Scholar] [CrossRef] [PubMed]
- Ellis, J.A. Update on viral pathogenesis in BRD. Anim. Health Res. Rev. 2009, 10, 149–153. [Google Scholar] [CrossRef] [PubMed]
- Gershwin, L.J. Bovine respiratory syncytial virus infection: Immunopathogenic mechanisms. Anim. Health Res. Rev. 2007, 8, 207–213. [Google Scholar] [CrossRef]
- Molina, V.; Risalde, M.A.; Sánchez-Cordón, P.J.; Romero-Palomo, F.; Pedrera, M.; Garfia, B.; Gómez-Villamandos, J.C. Cell-mediated immune response during experimental acute infection with bovine viral diarrhoea virus: Evaluation of blood parameters. Transbound. Emerg. Dis. 2014, 61, 44–59. [Google Scholar] [CrossRef]
- Brownlie, J. The pathogenesis of bovine virus diarrhoea virus infections. Rev. Sci. Tech. 1990, 9, 43–59. [Google Scholar] [CrossRef]
- Pöpperl, P.; Stoff, M.; Beineke, A. Alveolar macrophages in viral respiratory infections: Sentinels and saboteurs of lung defense. Int. J. Mol. Sci. 2025, 26, 407. [Google Scholar] [CrossRef]
- Gomez, D.E.; Chamorro, M.F. The importance of colostrum for dairy calves. Rev. Colomb. Cienc. Pecu. 2017, 30, 241–244. [Google Scholar]
- Chamorro, M.F.; Palomares, R.A. Bovine respiratory disease vaccination against viral pathogens modified-live versus inactivated antigen vaccines, intranasal versus parenteral, what is the evidence? Vet. Clin. Food Anim. 2020, 36, 461–472. [Google Scholar] [CrossRef]
- Hammon, H.M.; Steinhoff-Wagner, J.; Flor, J.; Schönhusen, U.; Metges, C.C. Lactation Biology Symposium: Role of colostrum and colostrum components on glucose metabolism in neonatal calves. J. Anim. Sci. 2013, 91, 685–695. [Google Scholar] [CrossRef]
- Morin, D.E.; McCoy, G.C.; Hurley, W.L. Effects of quality, quantity, and timing of colostrum feeding and addition of a dried colostrum supplement on immunoglobulin G1 absorption in Holstein bull calves. J. Dairy Sci. 1997, 80, 747–753. [Google Scholar] [CrossRef]
- Petrini, S.; Iscaro, C.; Righi, C. Antibody responses to bovine alphahaerpesvirus 1 (BoHV-1) in passively immunized calves. Viruses 2019, 1, 23. [Google Scholar] [CrossRef]
- Lorenz, I. Calf health from birth to weaning-an update. Irish Vet. J. 2021, 74, 5. [Google Scholar] [CrossRef]
- Lopez, A.J.; Heinrichs, A.J. The importance of colostrum in the newborn dairy calf. J. Dairy Sci. 2022, 105, 2733–2749. [Google Scholar] [CrossRef] [PubMed]
- Güngör, Ö.; Baştan, A. Gebe ineklerde uygulanan aşıların kolostrum ve buzağıda IgG konsantrasyonu üzerine etkileri. Ankara Univ. Vet. Fak. Derg. 2004, 51, 7–11. [Google Scholar] [CrossRef]
- Weaver, D.M.; Tyler, J.W.; VanMetre, D.C.; Hostetler, D.E.; Barrington, G.M. Passive transfer of colostral immunoglobulins in calves. J. Vet. Intern. Med. 2000, 14, 569–577. [Google Scholar] [CrossRef]
- Bilge-Dağalp, S.; Yıldırım, Y.; Alkan, F. Detection of maternal antibody against BHV-1 in calves. Ankara Univ. Vet. Fak. Derg. 2001, 48, 117–122. [Google Scholar] [CrossRef]
- Matty, J.M.; Reddout, C.; Adams, J.; Major, M.; Lalman, D.; Biggs, R.; Salak-Johnson, J.L.; Beck, P.A. The effects of respiratory vaccine type and timing on antibody titers, immunoglobulins, and growth performance in pre- and post-weaned beef calves. Vet. Sci. 2023, 10, 37. [Google Scholar] [CrossRef]
- Quinn, P.J.; Markey, B.K.; Leonard, F.C.; Hartigan, P.; Fanning, S.; Fitzpatrick, E. Laboratory diagnosis of bacterial disease. In Veterinary Microbiology and Microbial Disease, 2nd ed.; Wiley-Blackwell: Oxford, UK, 2011; Chapter 10; pp. 386–395. [Google Scholar]
- Pfützner, H.; Sachse, K. Mycoplasma bovis as an agent of mastitis, pneumonia, arthritis and genital disorders in cattle. Rev. Sci. Tech. 1996, 15, 1477–1494. [Google Scholar] [CrossRef]
- Wernike, K.; Hoffmann, B.; Kalthoff, D.; König, P.; Beer, M. Development and validation of a triplex real-time PCR assay for the rapid detection and differentiation of wild-type and glycoprotein E-deleted vaccine strains of bovine herpesvirus type 1. J. Virol. Methods 2011, 174, 77–84. [Google Scholar] [CrossRef]
- Aebischer, A.; Wernike, K.; Hoffmann, B.; Beer, M. Rapid genome detection of Schmallenberg virus and bovine viral diarrhea virus by use of isothermal amplification methods and high-speed real-time reverse transcriptase PCR. J. Clin. Microbiol. 2014, 52, 1883–1892. [Google Scholar] [CrossRef] [PubMed]
- Boxus, M.; Letellier, C.; Kerkhofs, P. Real Time RT-PCR for the detection and quantitation of bovine respiratory syncytial virus. J. Virol. Methods 2005, 125, 125–130. [Google Scholar] [CrossRef]
- Decaro, N.; Elia, G.; Campolo, M.; Desario, C.; Mari, V.; Radogna, A.; Colaianni, M.L.; Cirone, F.; Tempesta, M.; Buonavoglia, C. Detection of bovine coronavirus using a TaqMan-based real-time RT-PCR assay. J. Virol. Methods 2008, 151, 167–171. [Google Scholar] [CrossRef]
- Horwood, P.F.; Mahony, T.J. Multiplex real-time RT-PCR detection of three viruses associated with the bovine respiratory disease complex. J. Virol. Methods 2011, 171, 360–363. [Google Scholar] [CrossRef] [PubMed]
- Thomas, A.C.; Bailey, M.; Lee, M.R.F.; Mead, A.; Morales-Aza, B.; Reynolds, R.; Vipond, B.; Finn, A.; Eisler, M.C. Insights into Pasteurellaceae carriage dynamics in the nasal passages of healthy beef calves. Sci. Rep. 2019, 9, 11943. [Google Scholar] [CrossRef] [PubMed]
- Silva, E.; Gaivão, M.; Leitão, S.; Jost, B.H.; Carneiro, C.; Vilela, C.L.; Lopes da Costa, L.; Mateus, L. Genomic characterization of Arcanobacterium pyogenes isolates recovered from the uterus of dairy cows with normal puerperium or clinical metritis. Vet. Microbiol. 2008, 132, 111–118. [Google Scholar] [CrossRef]
- Foddai, A.; Idini, G.; Fusco, M.; Rosa, N.; de la Fe, C.; Zinellu, S.; Corona, L.; Tola, S. Rapid differential diagnosis of Mycoplasma agalactiae and Mycoplasma bovis based on a multiplex-PCR and a PCR-RFLP. Mol. Cell Probes 2005, 19, 207–212. [Google Scholar] [CrossRef]
- Skirving, R.; Bottema, C.D.K.; Laven, R.; Hue, D.T.; Petrovski, K.R. Incidence of inadequate transfer of passive immunity in dairy heifer calves in south Australia. Animals 2022, 12, 2912. [Google Scholar] [CrossRef]
- Choden, T. Kinetics of Immune Cells and Neutralizing Antibody Titres Against Viral Pathogens of Bovine Respiratory Disease. Master’s Thesis, University of Calgary, Calgary, AB, Canada, 2024. Available online: https://ucalgary.scholaris.ca/server/api/core/bitstreams/a2c23a4f-c87d-4d2e-8002-462315f76856/content (accessed on 5 May 2025).
- Chase, C.C.; Hurley, D.J.; Reber, A.J. Neonatal immune development in the calf and its impact on vaccine response. Vet. Clin. N. Am. Food Anim. Pract. 2008, 24, 87–104. [Google Scholar] [CrossRef]
- Hassig, M.; Stadler, T.; Lutz, H. Transition from maternal to endogenous antibodies in newborn calves. Vet. Rec. 2007, 160, 234–235. [Google Scholar] [CrossRef]
- Masiuk, D.M.; Kokariev, A.V.; Vasilenko, T.O.; Krutii, K.O. The formation of colostral immunity and its duration in calves during the first month of life. Ukr. J. Vet. Agr. Sci. 2019, 2, 3–6. [Google Scholar] [CrossRef]
- Şahna, K.C.; Bilge Dağalp, S. Maternal antibody levels in calves born from naturally infected cattle with BHV1. Vet. Hek. Mikrobiyol. Derg. 2002, 2, 6–12. [Google Scholar]
- Hill, K.L.; Hunsaker, B.D.; Townsend, H.G.; van Drunen Littel-van den Hurk, S.; Griebel, P.J. Mucosal immune response in newborn Holstein calves that had maternally derived antibodies and were vaccinated with an intranasal multivalent modified-live virus vaccine. J. Am. Vet. Med. Assoc. 2012, 240, 1231–1240. [Google Scholar] [CrossRef] [PubMed]
- Aydın, O.; Yılmaz, A.; Turan, N.; Richt, J.A.; Yılmaz, H. Molecular characterisation and antibody response to bovine respiratory syncytial virus in vaccinated and infected cattle in Turkey. Pathogens 2024, 13, 304. [Google Scholar] [CrossRef] [PubMed]
- Burns, V. Stress and antibody response to vaccination: Implications of animal studies for human clinical research. Expert Rev. Vaccines 2004, 3, 141–149. [Google Scholar] [CrossRef]
- Coussons-Read, M.E.; Maslonek, K.A.; Fecho, K.; Perez, L.; Lysle, D.T. Evidence for the involvement of macrophage-derived nitric oxide in the modulation of immune status by a conditioned aversive stimulus. J. Neuroimmunol. 1994, 50, 51–58. [Google Scholar] [CrossRef]
- Kaeberle, M.; Sealock, R.; Honeyman, M. Antibody Responses of Young Calves to Inactivated Viral Vaccines. A.S. Leaflet R1462. Available online: https://www.extension.iastate.edu/Pages/ansci/beefreports/asl-1462.pdf (accessed on 6 May 2025).
- Grooms, D.L.; Coe, P. Neutralizing antibody responses in preconditioned calves following vaccination for respiratory viruses. Vet. Ther. 2002, 3, 119–127. [Google Scholar]


| Viruses | Primers and Probes (FAM/TAMRA) 5′-3′ Sequence | Reference |
|---|---|---|
| BoHV-1 | F:TGTGGACCTAAACCTCACGGT R:GTAGTCGAGCAGACCCGTGTC P:FAM-AGGACCGCGAGTTCTTGCCGC-BHQ1 | [21] |
| BVDV | Pesti3 F:CCTGAGTACAGGRTAGTCGTCA Pesti 4 R:GGCCTCTGCAGCACCCTATCA P:FAM-TGCYAYGTGGACGAGGGCATGC-BHQ-1 | [22] |
| BRSV | F:AAGGGTCAAACATCTGCTTAACTAG R:TCTGCCTGWGGGAAAAAAG P:FAM-AGAGCCTGCATTRTCACAATACCACCCA- BHQ1 | [23] |
| BCoV | F:CTGGAAGTTGGTGGAGTT R:ATTATCGGCCTAACATACATC P:FAM-CCTTCATATCTATACACATCAAGTTGTT-BHQ1 | [24] |
| BPIV-3 | F:TGTCTTCCACTAGATAGAGGGATAAAATT R:GCAATGATAACAATGCCATGGA P:FAM-ACAGCAATTGGATCAATAA-BHQ1 | [25] |
| Bacteria | Target Genes | Gene Region 5′-3′ Sequence | Product Size (bp) | Reference |
|---|---|---|---|---|
| M. haemolytica | sodA | AGCAGCGACTACTCGTGTTGGTTCAG | [26] | |
| sodA | AAGACTAAAATCGGATAGCCTGAAACGCCTG | |||
| sodA | FAM-TTCAACCGCTAACCAGGACAACCCAC-BHQ1 | |||
| P. multocida | 16S rRNA | CGCAGGCAATGAATTCTCTTC | ||
| 16S rRNA | GGCGCTCTTCAGCTGTTTTT | |||
| 16S rRNA | FAM-ACTGCACCAACAAATGCTTGCTGAGTTAGC-BHQ1 | |||
| T. pyogenes | nanH | CGCTAGTGCTGTAGCGTTGTTAAGT CCGAGGAGTTTTGACTGACTTTG | 781 | [27] |
| nanP | TTGAGCGTACGCAGCTCTTC CCACGAAATCGGCCTTATTG | 150 | ||
| cbpA | GCAGGGTTGGTGAAAGAGTTTACT GCTTGATATAACCTTCAGAATTTGCA | 124 | ||
| plo | TCATCAACAATCCCACGAAGAG TTGCCTCCAGTTGACGCTTT | 150 | ||
| M. bovis | mb-mp1F | TATTGGATCAACTGCTGGAT | [28] | |
| mb-mp1R | AGATGCTCCACTTATCTTAG | 470 |
| BVDV | BoHV-1 | BRSV | ||
|---|---|---|---|---|
| Colostrum | r | 0.046 | −0.141 | 0.131 |
| p | NS | NS | NS | |
| Antibody % | 2nd | 7th | 15th | 25th | 35th | 45th | 55th | 65th |
|---|---|---|---|---|---|---|---|---|
| BVDV | 93.22 | 100.00 | 99.73 | 94.49 | 73.83 | 72.42 | 63.15 | 61.61 |
| BoHV-1 | 78.97 | 100.00 | 90.25 | 82.29 | 73.74 | 62.27 | 34.89 | 30.86 |
| BRSV | 75.14 | 100.00 | 90.91 | 84.85 | 72.93 | 66.19 | 55.77 | 46.63 |
| Days | BoHV-1 Antibody (S/P) | BVDV Antibody (S/P) | BRSV Antibody (V) |
|---|---|---|---|
| 2nd | 9.347 ± 0.495 de | 1.389 ± 0.024 b | 79.897 ± 1.748 c |
| 7th | 7.381 ± 0.205 e | 1.490 ± 0.023 a | 106.334 ± 2.231 a |
| 15th | 8.178 ± 0.268 de | 1.486 ± 0.024 a | 96.669 ± 2.048 b |
| 25th | 8.969 ± 0.252 de | 1.408 ± 0.022 ab | 90.225 ± 1.790 b |
| 35th | 10.009 ± 0.379 cd | 1.100 ± 0.019 c | 77.550 ± 1.364 cd |
| 45th | 11.853 ± 0.431 c | 1.079 ± 0.015 c | 70.391 ± 1.182 d |
| 55th | 21.153 ± 0.676 b | 0.941 ± 0.019 d | 59.300 ± 1.679 e |
| 65th | 23.916 ± 0.738 a | 0.918 ± 0.016 d | 49.581 ± 2.165 f |
| p < 0.001 | |||
| Sample (S) | Socialization Groups | Sampling Days | Clinic | ||||||||
|---|---|---|---|---|---|---|---|---|---|---|---|
| Group I | Group II | ||||||||||
| 7 | 15 | 21 | 7 | 15 | 21 | 35 | 45 | 55 | 65 | ||
| S.1 | ND * | P. multocida | Pneumonia | ||||||||
| S.2 | P. multocida | Pneumonia | |||||||||
| S.3 | ND | P. multocida | Pneumonia | ||||||||
| S.4 | BCoV | Healthy | |||||||||
| S.5 | ND | P. multocida | P. multocida | Pneumonia | |||||||
| S.6 | P. multocida | P. multocida | Pneumonia | ||||||||
| S.7 | ND | M. haemolytica | M. haemolytica | Pneumonia | |||||||
| S.8 | P. multocida | P. multocida | Pneumonia | ||||||||
| S.9 | M. haemolytica | Pneumonia | |||||||||
| S.10 | ND | Pneumonia | |||||||||
| S.11 | ND | Pneumonia | |||||||||
| S.12 | ND | Pneumonia | |||||||||
| S.13 | ND | Pneumonia | |||||||||
| S.14 | ND | Pneumonia | |||||||||
| S.15 | ND | Pneumonia | |||||||||
| Antibody | Group | Day 0 | Day 7 | Day 15 | Day 21 |
|---|---|---|---|---|---|
| BVDV | I | 0.91 ± 0.03 | 0.71 ± 0.12 | 1.17 ± 0.09 | 0.98 ± 0.04 |
| II | 0.92 ± 0.02 | 1.50 ± 0.04 | 1.67 ± 0.05 | 1.33 ± 0.05 | |
| BoHV-1 | I | 24.42 ± 1.12 | 42.31 ± 1.27 | 11.98 ± 0.67 | 26.17 ± 3.19 |
| II | 23.41 ± 0.98 | 11.70 ± 0.39 | 9.04 ± 0.32 | 8.06 ± 0.28 | |
| BRSV | I | 51.27 ± 2.90 | 28.93 ± 3.17 | 38.51 ± 2.57 | 29.24 ± 2.71 |
| II | 47.89 ± 3.25 | 54.34 ± 3.00 | 51.86 ± 5.63 | 43.41 ± 2.32 |
Disclaimer/Publisher’s Note: The statements, opinions and data contained in all publications are solely those of the individual author(s) and contributor(s) and not of MDPI and/or the editor(s). MDPI and/or the editor(s) disclaim responsibility for any injury to people or property resulting from any ideas, methods, instructions or products referred to in the content. |
© 2025 by the authors. Licensee MDPI, Basel, Switzerland. This article is an open access article distributed under the terms and conditions of the Creative Commons Attribution (CC BY) license (https://creativecommons.org/licenses/by/4.0/).
Share and Cite
Ataseven, V.S.; Kaya, U.; Doğan, M.; Şengül, S.; Turan, S.; Türkarslan Akbaba, F.; Kocaer, İ.İ. Field Monitoring of Colostral BVDV-, BoHV-1-, and BRSV-Specific Serum Antibody Levels in Dairy Calves from Birth to Weaning Fed with Pasteurized Colostrum Pools Obtained from Vaccinated Dams. Vaccines 2025, 13, 709. https://doi.org/10.3390/vaccines13070709
Ataseven VS, Kaya U, Doğan M, Şengül S, Turan S, Türkarslan Akbaba F, Kocaer İİ. Field Monitoring of Colostral BVDV-, BoHV-1-, and BRSV-Specific Serum Antibody Levels in Dairy Calves from Birth to Weaning Fed with Pasteurized Colostrum Pools Obtained from Vaccinated Dams. Vaccines. 2025; 13(7):709. https://doi.org/10.3390/vaccines13070709
Chicago/Turabian StyleAtaseven, Veysel Soydal, Ufuk Kaya, Müge Doğan, Sultan Şengül, Seda Turan, Fatma Türkarslan Akbaba, and İsmail İlker Kocaer. 2025. "Field Monitoring of Colostral BVDV-, BoHV-1-, and BRSV-Specific Serum Antibody Levels in Dairy Calves from Birth to Weaning Fed with Pasteurized Colostrum Pools Obtained from Vaccinated Dams" Vaccines 13, no. 7: 709. https://doi.org/10.3390/vaccines13070709
APA StyleAtaseven, V. S., Kaya, U., Doğan, M., Şengül, S., Turan, S., Türkarslan Akbaba, F., & Kocaer, İ. İ. (2025). Field Monitoring of Colostral BVDV-, BoHV-1-, and BRSV-Specific Serum Antibody Levels in Dairy Calves from Birth to Weaning Fed with Pasteurized Colostrum Pools Obtained from Vaccinated Dams. Vaccines, 13(7), 709. https://doi.org/10.3390/vaccines13070709

