Abstract
Background: Salmonella Typhimurium poses a substantial health risk to both humans and animals. This study evaluated the potential of using the Salmonella Typhimurium ΔsptP mutant as a live-attenuated vaccine candidate by constructing it through homologous recombination and assessing its key biological properties, including growth characteristics, immunogenicity, and protective efficacy. Methods: We generated the ΔsptP mutant through targeted gene deletion, ensuring the preservation of the bacterial strain’s growth and stability. In vitro and in vivo assays were performed to compare the invasive capabilities between the mutant and the wild-type strains. Specifically, we examined the invasion into RAW264.7 murine macrophages and mice. Furthermore, the virulence of the mutant was evaluated by determining the median lethal dose (LD50). To evaluate immunogenicity and protection, mice were immunized with 2 × 104 CFUs of the ΔsptP mutant, followed by a booster immunization, and then challenged with a virulent strain. Results: The ΔsptP mutant exhibited no significant changes in growth characteristics or genetic stability compared to the wild-type strain. However, it demonstrated a significantly diminished capacity for invasion in both murine macrophages and mice. The LD50 for the mutant was 39.92-fold higher than that of the wild-type, indicating a marked reduction in virulence. Mice immunized with the ΔsptP mutant and administered a booster immunization exhibited 87.5% protection against challenge with a virulent strain, as compared to the PBS control group. Moreover, the mutant induced IgG antibody levels comparable to those induced by the wild-type strain. Conclusions: The ΔsptP mutant of Salmonella Typhimurium exhibits markedly reduced virulence while retaining robust immunogenicity and protective efficacy. These findings suggest that the ΔsptP mutant is a promising candidate for a live-attenuated vaccine, potentially providing an effective strategy to prevent Salmonella Typhimurium infections.
1. Introduction
Salmonella Typhimurium, a Gram-negative bacterium, is widely distributed across various environments, including livestock and wild-animal populations [1]. This bacterium exhibits conditional pathogenicity and poses a substantial health risk to humans and domestic animals by being transmitted through contaminated food and water sources [2]. Infection with Salmonella Typhimurium can cause a range of intestinal diseases in both animals and humans [3], causing systemic symptoms such as gastroenteritis and septicemia, as well as tissue and organ damage [4]. Such infections not only increase livestock mortality but also reduce productivity and growth rates, resulting in significant economic losses for the agricultural sector [5].
Salmonella Typhimurium primarily spreads through the fecal–oral route, invades the host [6], and subsequently colonizes the host’s macrophages [5]. By utilizing a distinct array of unique virulence factors and typhoid toxins, the infection symptoms in the host progressively develop, and virulence proteins interact with the host cells to facilitate bacterial survival and proliferation within them [7,8,9]. The region of the Salmonella genome encoding virulence-related genes, known as the Salmonella Pathogenicity Island (SPI) [10], which plays a crucial role in Salmonella’s invasion and disease processes. Notably, SPI-1 and SPI-2 are closely linked to its pathogenic potential [11,12].
Currently, antibiotics remain a highly effective means for controlling Salmonella Typhimurium infections. However, their prolonged use has raised growing concerns regarding antibiotic residues and the development of bacterial resistance [13,14,15]. As a result, vaccination has emerged as an effective preventive strategy against Salmonella Typhimurium infection [16]. With the expanding body of research into Salmonella Typhimurium’s pathogenic mechanisms, the engineering of attenuated strains by deleting virulence genes is becoming increasingly prevalent in the development of such vaccines [17,18,19,20]. The SptP protein, a critical virulence factor of Salmonella Typhimurium [21,22], triggers the reorganization of the host cell actin cytoskeleton upon bacterial entry, thereby facilitating invasion [23,24]. SptP exerts a crucial regulatory role in the intracellular survival of Salmonella Typhimurium.
Consequently, we constructed a sptP gene mutant of Salmonella Typhimurium using the homologous recombination technique. Subsequently, we characterized the mutant strain’s biological properties, such as growth dynamics, immunogenic potential, and invasive capacity, and preliminarily assessed its protective efficacy to ascertain whether the sptP gene deletion impacts the bacterium’s virulence. It is essential to research and develop live attenuated vaccines to prevent and control Salmonella Typhimurium infection.
2. Materials and Methods
2.1. Bacterial Strains, Plasmids, and Primers
The wild-type strain of Salmonella Typhimurium ATCC14028 used in this study was maintained in our laboratory. The sptP gene mutant (ATCC14028ΔsptP) was constructed via homologous recombination using plasmids pACYC184 and pKD46, together with the primers sptP-cat-F and sptP-cat-R. Strains were cultured in Luria–Bertani (LB) broth containing 1% (wt/vol) tryptone, 0.5% (wt/vol) yeast extract, and 0.5% (wt/vol) NaCl, or on LB agar plates with an additional 1.5% (wt/vol) agar, depending on the experimental needs. When required, ampicillin (Amp, 50 µg/mL) or chloramphenicol (Cm, 25 µg/mL) was supplemented into the medium. The sequences of the primers used in this study are provided in Table 1.
Table 1.
Primers used in this study.
2.2. Construction of the sptP Mutant
The sptP gene mutant (ATCC14028ΔsptP) was constructed using the suicide vector pKD46 through homologous recombination. Briefly, the chloramphenicol resistance cassette was PCR-amplified from pACYC184 using the primers sptP-cat-F and sptP-cat-R, which incorporated 50 bp homology arms at both the 5′ and 3′ ends of the sptP locus. The purified PCR product was then introduced into competent Salmonella Typhimurium cells containing pKD46 by electroporation. Single-crossover mutants were selected on chloramphenicol-containing LB agar plates and verified by PCR using the primers sptP-out-F and sptP-out-R. Sequencing further confirmed the successful disruption of the sptP gene.
2.3. Identification of the Biological Characteristics of ATCC14028ΔsptP In Vitro
To evaluate the growth characteristics of the ATCC14028ΔsptP mutant, we performed colony morphology analysis and biochemical identification on MacConkey agar plates. The findings were then compared with those of the wild-type ATCC14028 strain. Following this, the growth kinetics and genetic stability of both strains were examined. Both the wild-type ATCC14028 and ATCC14028ΔsptP strains were cultured under conditions of 180 rpm agitation at 37 °C, with optical density (OD600) measurements recorded every 2 h over a 36 h period. Under these conditions, the ATCC14028ΔsptP strain was passaged for up to 30 generations. Samples from the 5th, 10th, 15th, 20th, 25th, and 30th passages were collected for PCR verification using the primers sptP-out-F and sptP-out-R, followed by sequencing to confirm genetic stability.
2.4. The Ability of Bacteria to Invade Cells
Mouse macrophage RAW264.7 cells were grown in DMEM (high glucose) supplemented with 10% fetal bovine serum (FBS) and antibiotics (50 µg/mL penicillin). The cells were incubated at 37 °C in a humidified atmosphere of 5% CO2 and 95% air. When the cells reached 90% confluence, ATCC14028 and ATCC14028ΔsptP strains, which were normalized by OD600, at a multiplicity of infection (MOI) of 100:1 for 1 h.
After infection, extracellular bacteria were eliminated by washing the cells three times with PBS, followed by a 1 h incubation in DMEM containing 100 µg/mL gentamicin to eliminate residual extracellular bacteria. At designated post-infection time points (0, 2, 4, 8, 12, 24, and 48 h), the infected cells were washed three times with PBS and lysed with 1% Triton X-100 (wt/vol). The lysates were serially diluted, plated on MacConkey agar, and incubated at 37 °C for 12 h, after which colony-forming units (CFUs) were enumerated.
2.5. Assessment of Bacterial Virulence
Female BALB/c mice, aged 4–5 weeks, were housed under specific pathogen-free (SPF) conditions in our laboratory. All animal experiments were conducted in accordance with protocols approved by the Animal Protection and Ethics Committee of Hainan University (Haikou, China). To evaluate the virulence of ATCC14028ΔsptP in mice, seventy mice were randomly assigned into fourteen groups, each comprising five mice. Each group was administered an intraperitoneal inoculation of ATCC14028ΔsptP at one of ten serial dilutions, ranging from 1 × 105 to 1 × 1010 CFUs, each in 200 μL of PBS. In a control experiment, ten additional mice were inoculated intraperitoneally with 200 μL of PBS. Mortality rates were recorded for each group at day 14 post-challenge. The median lethal dose (LD50) for the two strains was determined using the modified Cole method.
2.6. Histopathological Tests
Surviving mice were humanely euthanized, and their livers and spleens were excised and immediately fixed in 4% paraformaldehyde. After fixation, tissue samples were processed for paraffin embedding, sectioned, stained with hematoxylin and eosin (H&E), and subjected to histopathological evaluation under an optical microscope.
2.7. Bacterial Invasion Ability Test
Seventy female BALB/c mice (4–5 weeks old) were randomly allocated into three groups: the wild-type strain group, the ΔsptP mutant group, and the PBS control group. Each mouse was injected intraperitoneally with 2 × 104 CFUs of the respective inoculum. On days 3, 6, 9, and 12 post-infection, mice were humanely euthanized, and liver, spleen, lung, and kidney samples were aseptically harvested. Tissue samples were homogenized using a high-throughput tissue homogenizer (KZ-III-FP, Wuhan Servicebio Biotechnology Co., Ltd., Wuhan, China) in sterile PBS. Homogenate dilutions were plated on McConkey agar and incubated at 37 °C for 12–16 h to quantify CFUs.
2.8. Immunoprotective Assessment of ATCC14028ΔsptP
The immunoprotective effect of ATCC14028ΔsptP in mice was assessed through intraperitoneal injections. Eighteen female BALB/c mice (4–5 weeks old) were randomly divided into three groups (n = 6 per group): the immunized group, the non-immunized group, and the PBS control group. Mice in the immune group received an intraperitoneal injection of 2 × 104 CFUs of ATCC14028ΔsptP, while the nonimmune and blank control groups were administered 200 μL of sterile PBS each. Two weeks post-initial immunization, booster doses were administered twice at one-week intervals. Following two weeks after the booster immunization, both the immunized and nonimmunized groups received an intraperitoneal injection of wild-type ATCC14028 at 10 times the LD50 (5.01 × 106 CFUs), and the blank control group received 200 μL of PBS in a similar manner. Morbidity and survival rates were monitored for two weeks post-challenge, and liver and spleen tissues from surviving mice were collected for histopathological analysis.
2.9. Serum IgG Assay
Mice were immunized via intraperitoneal injection following the procedure and dosage outlined in the immunoprotective efficacy evaluation. Blood samples were collected from the mice via retro-orbital puncture using capillary tubes, and serum was isolated through centrifugation. Changes in IgG levels were quantified using a mouse Salmonella IgG ELISA kit (Jiangsu Meimian Industrial Co., Ltd., Jiangsu, China) with absorbance measured at 492 nm.
2.10. Data Analysis
Data analysis was conducted using GraphPad Prism 8 software (version 8.4.3). Data are presented as means ± SEM. Within each group, an independent sample T-test was applied, while an analysis of variance for repeated measures (ANOVA) was used to compare means between groups. (* p < 0.05; ** p < 0.01; *** p < 0.001).
3. Results
3.1. Construction and Biological Characteristics of Mutant ATCC14028ΔsptP
A mutant strain of Salmonella Typhimurium ATCC14028 with a disrupted sptP gene was generated through homologous recombination. PCR identification of ATCC14028ΔsptP, performed using the sptP-cat-F/sptP-cat-R primers pair, confirmed the successful insertion of the chloramphenicol resistance gene into the sptP gene fragment. The mutant and wild-type strains were differentiated via PCR using flanking primers sptP-out-F and sptP-out-R. The presence of 1145 bp and 285 bp amplicons confirmed the successful construction of ATCC14028ΔsptP (Figure 1A). Additionally, the genetic stability and identity of the mutant were confirmed by DNA sequencing (Supplementary File, Figure S1A). Growth kinetics data indicated no statistically significant disparities in the growth rates of the mutant strain compared to the wild-type strain when cultivated at 37 °C in LB medium (Figure 1B). Similarly, biochemical characterization showed no significant differences between the mutant and wild-type strains (Supplementary File, Table S1).
Figure 1.
Construction and biological characteristics of mutant ATCC14028ΔsptP. (A) PCR validation of lateral primers. M, DL5000 DNA Marker; Lane 1: negative control; Lane 2: wild-type strain ATCC14028 genomic DNA; Lane 3: ATCC14028ΔsptP genomic DNA. The PCR product for wild-type ATCC14028 measured 285 bp, while the ATCC14028ΔsptP mutant, incorporating a chloramphenicol resistance gene, extended to 1145 bp. (B) Growth curves of ATCC14028 and its mutant ATCC14028ΔsptP, cultured in LB medium at 37 °C and 180 rpm for 36 h, with optical density at 600 nm (OD600) measured bi-hourly.
3.2. Mutations in sptP Reduce Bacterial Invasion in Cells
Bacterial invasion in of RAW264.7 murine macrophages were quantified using a gentamicin protection assay. Quantitative analysis revealed that bacterial counts of ATCC14028ΔsptP in cells were significantly lower than those of the wild-type strain at all time points during the infection (Figure 2, p ≤ 0.001). These findings suggest that disruption of the sptP gene impairs the intracellular invasion capability of Salmonella Typhimurium.
Figure 2.
Invasion of ATCC14028 and ATCC14028ΔsptP in RAW264.7 mouse macrophages. Bacterial counts were measured, and the results were expressed as Log CFU/mL. Data are presented as the mean ± SEM. *** p <0.001.
3.3. ATCC14028ΔsptP Showed Reduced Virulence in Mice
To assess the virulence of ATCC14028ΔsptP in mice, both ATCC14028ΔsptP and the wild-type strain were administered intraperitoneally, and mouse survival was monitored. Analysis showed that the LD50 of ATCC14028ΔsptP was 2 × 107 CFUs, which is 40 times higher than that of the wild-type strain (5.01 × 105 CFUs). This indicates that disruption of the sptP gene significantly reduces the virulence of Salmonella Typhimurium (Table 2).
Table 2.
Median lethal dose of ATCC14028 and ATCC14028ΔsptP injected intraperitoneally in mice.
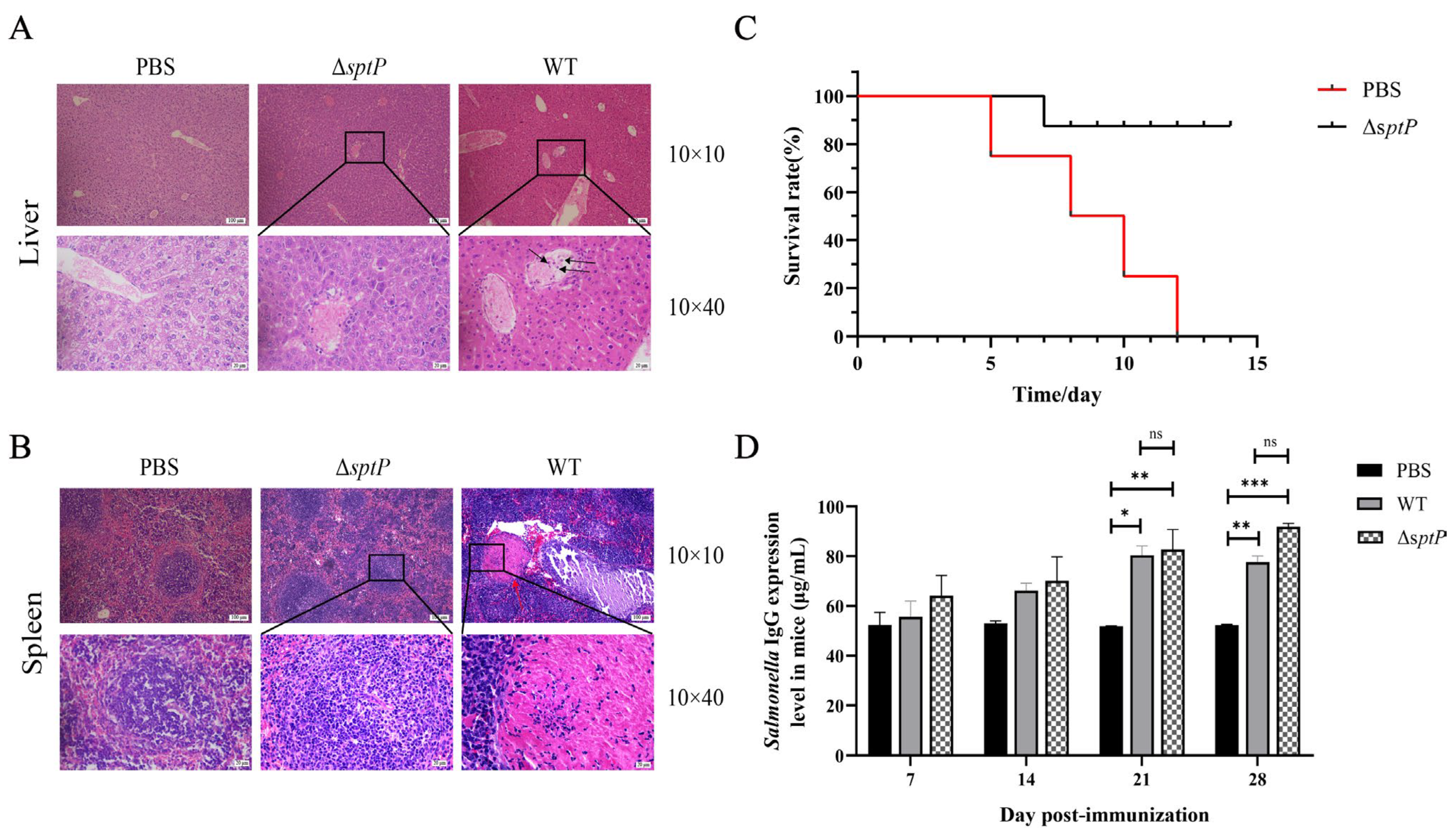
3.4. ATCC14028ΔsptP Showed Fewer Pathological Changes than Wild-Type Strains
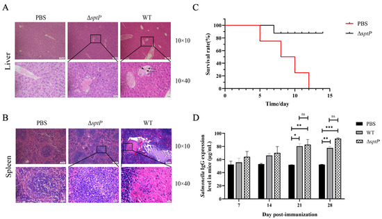
H&E staining and histological analysis of liver and spleen tissues from challenged mice revealed that, compared to the PBS control group, the wild-type group exhibited notably dilated hepatic veins with signs of congestion and hemorrhage, as well as a significant infiltration of inflammatory cells into the vessels and surrounding tissue. In the ΔsptP group, there were minimal inflammatory cells, and no other lesions observed (Figure 3A). Relative to the PBS control group, spleen nodules in the wild-type group were significantly enlarged, accompanied by extensive inflammatory cell exudation and bleeding. The ΔsptP group exhibited milder symptoms, characterized by slight enlargement of splenic nodules, minimal inflammatory cell exudation, and no additional lesions (Figure 3B). Collectively, these findings suggest that the sptP mutation in Salmonella Typhimurium results in a more attenuated disease phenotype in infected mice.
Figure 3.
Histological analysis of mice after intraperitoneal injection of ATCC14028 and ATCC14028ΔsptP. At 14 days, histopathological changes in the liver (A) and spleen (B) were detected by H&E staining. The results were observed using an optical microscope at magnifications of 100× and 400×. Note: The black and red arrows indicate inflammatory cells.
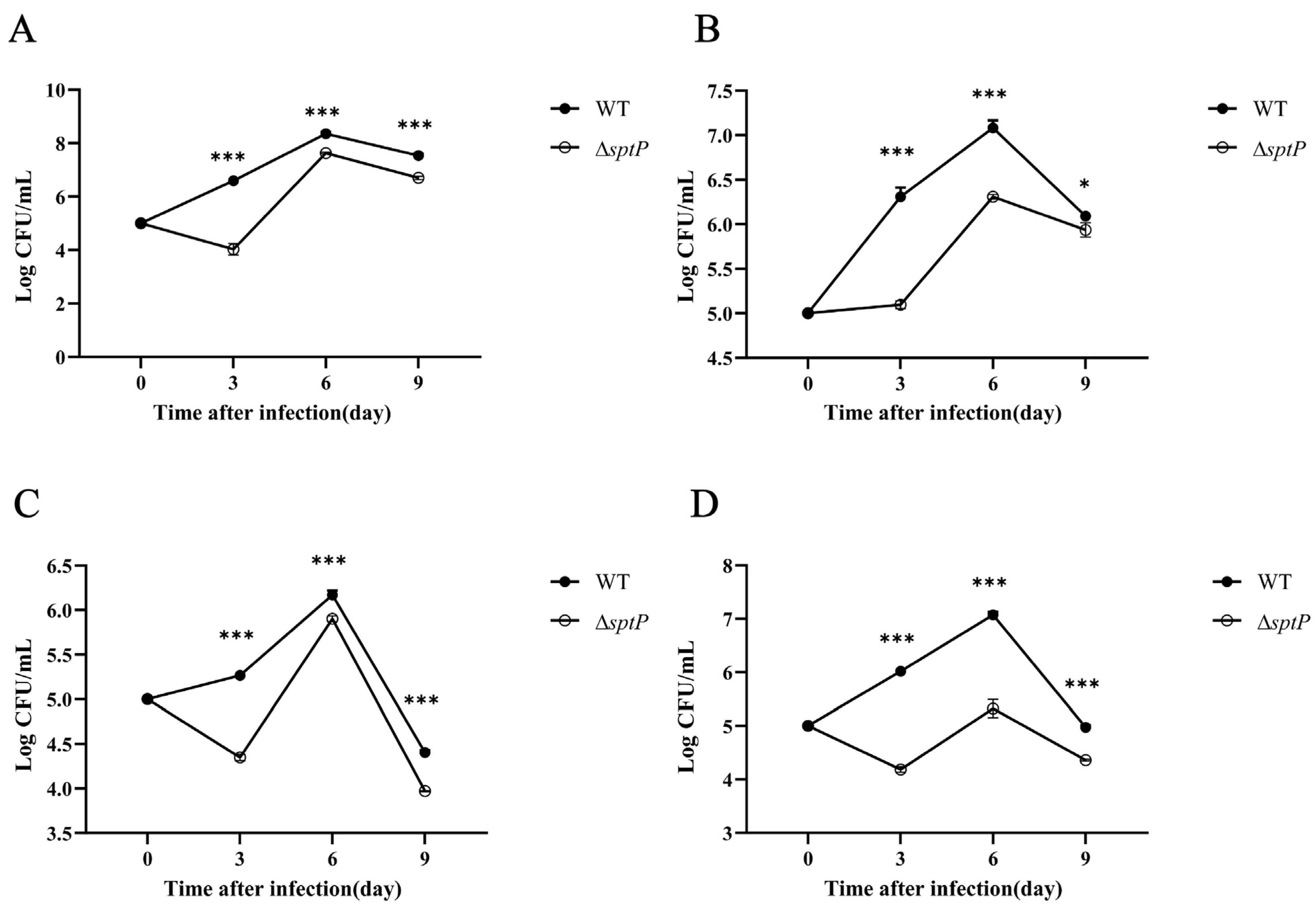
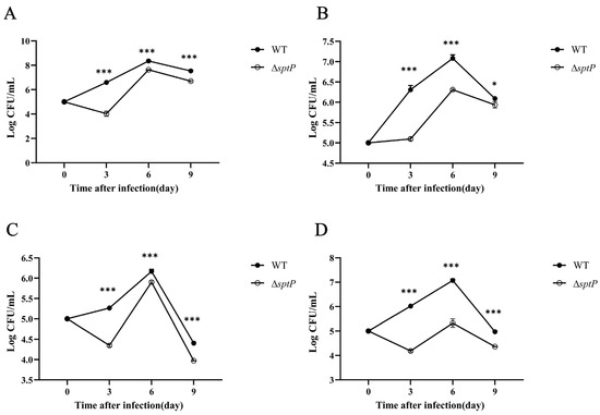
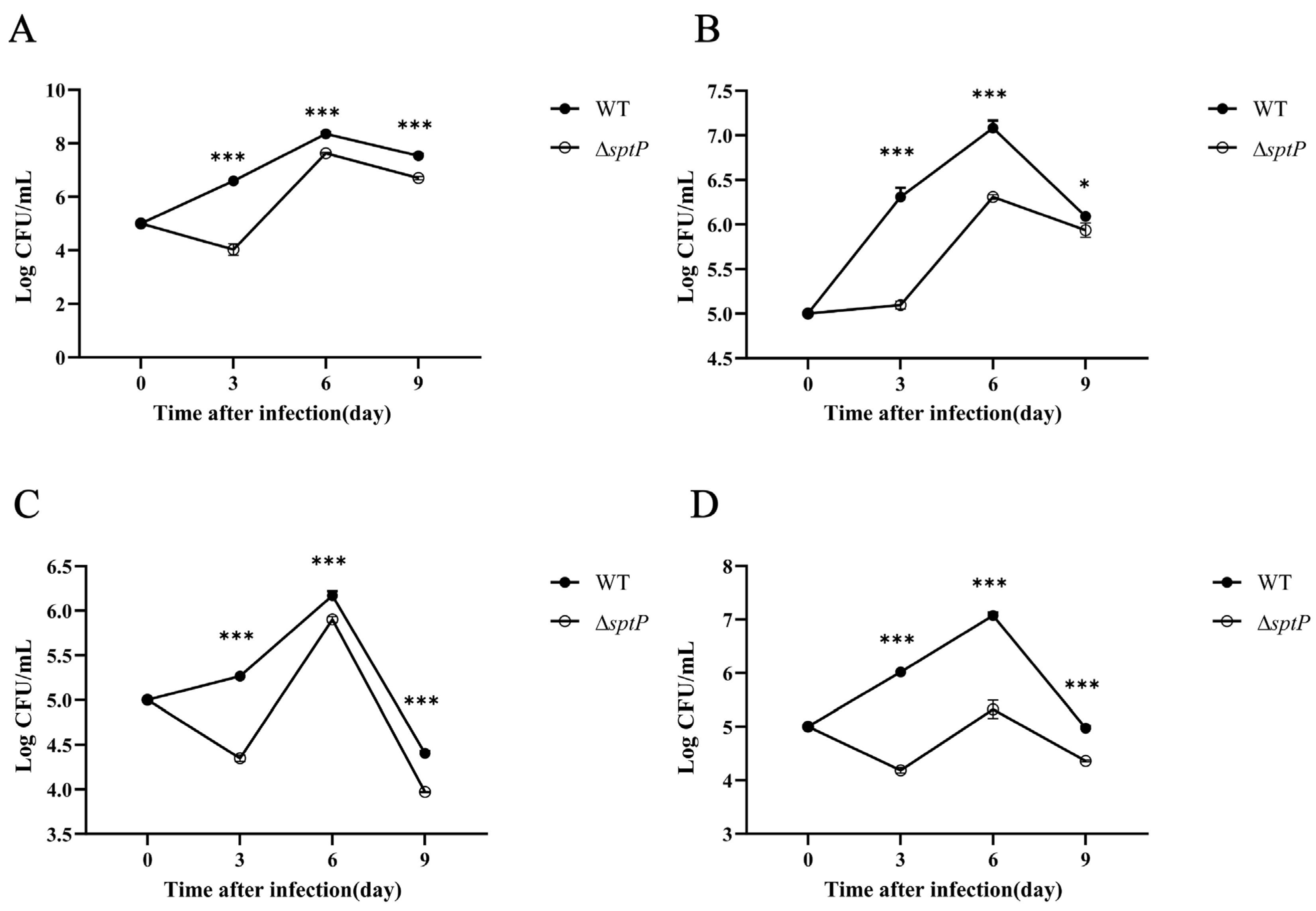
3.5. The Invasion Capacity of ATCC14028ΔsptP in Mouse Visceral Tissues Was Reduced Compared to the Wild-Type Strain
The CFUs counts in the liver, spleen, lungs, and kidneys of mice were determined following injection with ATCC14028ΔsptP and the wild-type ATCC14028 strain. In the third day post-injection, ATCC14028ΔsptP exhibited a decreasing trend in organ invasion, in contrast to the increasing trend observed in wild-type strains. The replication of ATCC14028ΔsptP peaked on day 6 post-injection and then declined. Notably, the clearance rate of ATCC14028ΔsptP within the first three days was significantly higher compared to wild-type strains, and its peak invasion level on the sixth day was lower than that observed in wild-type strains.
Interestingly, on the sixth day post-injection, the CFU counts for both the mutant and wild-type strains were more similar in liver and lung tissues compared to spleen and kidney tissues. Specifically, while the wild-type strain maintained a higher bacterial load in all organs, the difference in CFU counts between the mutant and wild-type strains was less pronounced in the liver and lungs relative to the spleen and kidneys. This suggests that the sptP gene mutation has a differential impact on bacterial survival and replication across different host tissues. These findings demonstrate that the sptP gene mutation significantly diminishes the infection and invasion capabilities of Salmonella Typhimurium in mice (Figure 4). The reduced ability of the ATCC14028ΔsptP to persist in major organs highlights the critical role of the sptP gene in facilitating systemic infection and tissue-specific colonization.
Figure 4.
The invasion capacity of ATCC14028 and ATCC14028ΔsptP in mouse organs. Bacterial invasion and persistence in the liver (A), spleen (B), lungs (C), and kidneys (D) of mice after intraperitoneal injection of ATCC14028 and ATCC14028ΔsptP at 2 × 104 CFUs. Bacterial counts were measured, and the results were expressed as Log CFU/mL. Data are presented as the mean ± SEM, where * denotes significance levels: * p < 0.05, and *** p < 0.001.
3.6. ATCC14028ΔsptP Protects Mice Against Wild-Type Salmonella Typhimurium
Following two immunizations with ATCC14028ΔsptP, the survival rates of mice after challenge with virulent strains are presented in Figure 5C. In the PBS control group, mortalities were observed on days 5, 8, 10, and 12 post-infection (DPI). Two additional deaths occurred on day 9 DPI in the PBS control group following challenge with the wild-type strain. One death was recorded on day 7 DPI in the ATCC14028ΔsptP-immunized group. These results indicate that immunization with the ΔsptP strain of Salmonella Typhimurium significantly protects against subsequent challenge with virulent strains, achieving an 87.5% protection rate. At the end of the experiment, only one mouse survived in the wild-type strain group inoculated with 1 × 106 CFUs, making the sample size too small for meaningful statistical analysis and pathological observation. Therefore, to ensure a sufficient sample size and reliable results, we chose to perform histopathological examinations on surviving mice from the 1 × 105 CFUs concentration groups for both the wild-type and mutant strains. Histopathological evaluation revealed that, compared to the PBS control group, the wild-type group exhibited dilated hepatic veins, markedly enlarged splenic nodules, and a significant presence of inflammatory cells within blood vessels. In contrast, the ATCC14028ΔsptP group showed no significant histopathological alterations (Figure 5A,B).
Figure 5.
Immunoprotective effect and antibody levels of ATCC14028ΔsptP. Histopathological changes in the liver (A) and spleen (B) after immunization with ATCC14028ΔsptP were detected via H&E staining. (C) Survival rates of mice immunized with ATCC14028ΔsptP post-challenge. (D) Testing of serum IgG expression levels in mice. Data are presented as the mean ± SEM. * p ≤ 0.05, ** p ≤ 0.01, *** p <0.001, and ns indicates no significant difference (p ≥ 0.05).
3.7. The ATCC14028ΔsptP Strain Induced an Immune Response Similar to That of the Wild-Type Strain
IgG levels in mice were measured following immunization (Figure 5D). In the first and second weeks post-initial immunization, there were no significant differences in IgG levels between the ATCC14028ΔsptP and wild-type groups compared to the PBS control group. However, after booster immunizations, IgG levels significantly increased in both the ΔsptP strain and wild-type groups, with no substantial difference between them. These findings suggested that the ΔsptP strain of Salmonella Typhimurium can elicit an immune response comparable to that induced by the wild-type strain.
4. Discussion
Salmonella Typhimurium, a prevalent intestinal pathogen, is recognized for causing a range of gastrointestinal illnesses in both animals and humans, which can result in persistent infections and subsequently lead to systemic symptoms and tissue damage [25,26,27]. Given the rising antibiotic resistance in Salmonella spp. and the lack of new antibiotics [28], attenuated Salmonella strains provide an ideal vaccine strategy for infection control and prevention. Multiple live attenuated vaccines against Salmonella have been developed, showing greater efficacy than inactivated vaccines [29]. Attenuated Salmonella Typhimurium strains can reduce or eliminate virulence by various means of knocking out virulence genes, but these strains possess inherent shortcomings, such as the potential reversion to pathogenicity due to gene repair, thus limiting the clinical use of such live attenuated vaccines [30].
In this study, we successfully engineered a mutant strain of Salmonella Typhimurium ATCC14028ΔsptP using homologous recombination. Vaccine strains require a well-defined genetic background and genetic stability, which are critical for developing effective attenuated vaccines. The ΔsptP mutant strain maintained the sptP gene mutation stably over 30 consecutive generations. Moreover, we verified that mutating the sptP gene did not significantly affect colony morphology, biochemical characteristics, or growth rate, likely due to its acquisition through horizontal gene transfer linked to SPI-1 [31]. These findings support the potential of the sptP gene as a target for live attenuated vaccine development.
We subsequently evaluated the ΔsptP mutants for safety, serum immunoglobulin levels, and protective efficacy, revealing the sptP gene’s critical role in Salmonella Typhimurium pathogenicity and providing robust evidence for the potential of ATCC14028ΔsptP as an effective live attenuated vaccine against Salmonella Typhimurium infections. Although oral vaccination can mimic the practical application of vaccines in livestock and humans, we opted for intraperitoneal injection primarily due to the following considerations: Firstly, intraperitoneal injection allows for precise control over the vaccine dose’s accuracy and consistency, crucial for initial safety and immunogenicity assessments [32,33]. Secondly, this approach avoids confounding factors from the digestive tract during the initial stages, enabling the collection of direct and unobstructed immune response data. Literature also indicates that in the initial evaluation stage of vaccines, non-oral routes are a common practice, especially for exploring the basic immunogenicity and efficacy of vaccines [33,34,35]. Although oral administration is closer to the actual application scenario of the vaccine, the current research aims to confirm the core safety and immune effect of the vaccine by intraperitoneal injection, avoiding the complex variables that may be introduced by digestive enzymes, mucosal barrier variability, and other factors in the early stage. Once the vaccine’s basic immunogenicity and safety are established, our research will transition smoothly to the oral route to simulate vaccine application accurately in the target species. This step-by-step strategy not only ensures systematic and phased research, but also follows the traditional path of vaccine research and development [36,37].
Our findings revealed that mutating the sptP gene in Salmonella Typhimurium significantly reduced bacterial viability in the mutant strain relative to the wild-type strain during infection of RAW264.7 macrophages. This reduction was particularly evident in the early stages of infection, indicating that sptP plays a crucial role in facilitating bacterial entry into host cells during the initial infection phase. Moreover, the ability of the ΔsptP mutant strain to colonize organs in mice was markedly diminished. These findings suggest that sptP effector molecules play a key role in enhancing the invasion capabilities of Salmonella Typhimurium into host cells. Essential characteristics of live attenuated vaccines include safety and non-toxicity.
In our study, after intraperitoneal administration of the ΔsptP mutant and wild-type strains to separate groups of BALB/c mice, we found that the calculated LD50 value of the ΔsptP mutant strain was found to be 39.92-fold higher than that of the wild-type strain. This indicates a significant reduction in the virulence of the ΔsptP mutant. In addition to attenuation, it is crucial for live attenuated vaccines to exhibit no adverse effects on host animals. Immunization with the ΔsptP mutant resulted in only minor histopathological changes in the inoculated mice. Concurrently, the wild-type strain induced significant infiltration of inflammatory cells into the liver and spleen, along with symptoms of congestion, demonstrating that the mutant is sufficiently safe and attenuated for use as a live vaccine.
In the context of live attenuated vaccines, immune protection is a pivotal criterion for evaluating vaccine efficacy. Consequently, live attenuated vaccines effectively elicit host-specific humoral and cellular immune responses, which are critical for preventing secondary infections by pathogens [38]. After immunization with the ΔsptP mutant strain, serum IgG levels measured on days 21 and 28 were comparable to those induced by the wild-type strain and significantly higher than those in the PBS control group. Furthermore, the ΔsptP mutant strain provides up to 87.5% immune protection against a virulent strain of Salmonella Typhimurium. Mice immunized with the ΔsptP mutant strain exhibited no significant pathological changes in the liver and spleen post-infection with the wild-type strain, unlike those in the PBS control group. Therefore, while the virulence of Salmonella Typhimurium is attenuated following the sptP gene mutation, it maintains commendable immunogenicity, enabling it to confer a robust level of both humoral and cellular immunity and protect the host.
Given the potential real-world applications of this vaccine, it is crucial to approach its associated risks cautiously. Firstly, although our studies have demonstrated that the ΔsptP mutant exhibits reduced virulence and genetic stability under laboratory conditions, these characteristics may differ in complex natural environments. Long-term monitoring of the vaccine strain is essential to ensure its safety, especially when evaluating its performance across diverse host populations. Different types of animals may exhibit varied immune responses to the same vaccine [17]. Additionally, considering the potential for live vaccine strains to spread in the environment, it is imperative to carefully assess the impact of such dissemination on ecosystems and wildlife populations [39]. Implementing appropriate measures, such as optimizing administration methods and dosages, to limit exposure to non-target species is crucial for maintaining ecological balance.
Overall, this study provides a robust theoretical foundation for the development of an attenuated live vaccine for Salmonella Typhimurium. Future work will continue to focus on enhancing the safety and efficacy of the vaccine, aiming to provide a safe and effective solution for preventing Salmonella Typhimurium infections.
5. Conclusions
In summary, we successfully engineered a mutant strain of Salmonella Typhimurium with a ΔsptP gene deletion. Experimental results showed that the invasive capability and overall virulence of Salmonella Typhimurium were significantly reduced following the sptP gene mutation. Moreover, the ΔsptP mutant elicited strong immunogenic responses and provided robust immune protection in mice, indicating its potential as an effective live attenuated vaccine against Salmonella Typhimurium. These findings lay a solid theoretical foundation for further exploring and developing live attenuated vaccines.
Supplementary Materials
The following supporting information can be downloaded at: https://www.mdpi.com/article/10.3390/vaccines13020150/s1, Figure S1. Biological characteristic test of ATCC14028ΔsptP. (A) Genetic stability of ATCC14028ΔsptP. (B) Colony morphology of ATCC14028ΔsptP (a) and ATCC14028 (b); Table S1. Biochemical properties of Salmonella Typhimurium ATCC14028 and ATCC14028ΔsptP.
Author Contributions
T.L. and M.H. conceived and designed the experiment and drafted the manuscript; N.Z. and Y.D. contributed to the realization of the experiment; T.H., H.C. and Y.S. analyzed the data and helped with the experiments; N.Z., T.H. and Y.D. wrote the manuscript. All authors have read and agreed to the published version of the manuscript.
Funding
This study was supported by the Hainan Provincial Natural Science Foundation of China (Grant No. 823RC468), Hainan university scientific research start-up fund [Grant No. KYQD(ZR)1936], and the earmarked fund for the Agriculture Research System in Hainan Province (Grant No. HNARS2022-2-G05).
Institutional Review Board Statement
All animal experiments were approved by the Animal Ethics Committee of Hainan University (Approval Code: HNUAUCC-2023-00213, approval date: 15 December 2023) and comply with all moral and ethical requirements.
Informed Consent Statement
Informed consent was obtained from all subjects involved in the study.
Data Availability Statement
The datasets used and/or analyzed during the current study are available from the corresponding author upon reasonable request.
Acknowledgments
The authors would like to thank all the colleagues who provided practical and theoretical help and the teachers who provided instrumentation and experimental guidance.
Conflicts of Interest
The authors declare no conflicts of interest.
References
- Branchu, P.; Bawn, M.; Kingsley, R.A. Genome Variation and Molecular Epidemiology of Salmonella Enterica Serovar Typhimurium Pathovariants. Infect. Immun. 2018, 86, e00079-18. [Google Scholar] [CrossRef] [PubMed]
- Fàbrega, A.; Vila, J. Salmonella Enterica Serovar Typhimurium Skills to Succeed in the Host: Virulence and Regulation. Clin. Microbiol. Rev. 2013, 26, 308–341. [Google Scholar] [CrossRef]
- Broz, P.; Ohlson, M.B.; Monack, D.M. Innate Immune Response to Salmonella typhimurium, a Model Enteric Pathogen. Gut Microbes 2012, 3, 62–70. [Google Scholar] [CrossRef] [PubMed]
- Ménard, S.; Lacroix-Lamandé, S.; Ehrhardt, K.; Yan, J.; Grassl, G.A.; Wiedemann, A. Cross-Talk Between the Intestinal Epithelium and Salmonella Typhimurium. Front. Microbiol. 2022, 13, 906238. [Google Scholar] [CrossRef] [PubMed]
- Jiang, L.; Wang, P.; Song, X.; Zhang, H.; Ma, S.; Wang, J.; Li, W.; Lv, R.; Liu, X.; Ma, S.; et al. Salmonella Typhimurium Reprograms Macrophage Metabolism via T3SS Effector SopE2 to Promote Intracellular Replication and Virulence. Nat. Commun. 2021, 12, 879. [Google Scholar] [CrossRef]
- Liu, Q.; Li, P.; Luo, H.; Curtiss, R.; Kong, Q. Attenuated Salmonella Typhimurium Expressing Salmonella Paratyphoid A O-Antigen Induces Protective Immune Responses against Two Salmonella Strains. Virulence 2019, 10, 82–96. [Google Scholar] [CrossRef]
- Beuzón, C.R.; Méresse, S.; Unsworth, K.E.; Ruíz-Albert, J.; Garvis, S.; Waterman, S.R.; Ryder, T.A.; Boucrot, E.; Holden, D.W. Salmonella Maintains the Integrity of Its Intracellular Vacuole through the Action of SifA. EMBO J. 2000, 19, 3235–3249. [Google Scholar] [CrossRef]
- Luk, C.H.; Enninga, J.; Valenzuela, C. Fit to Dwell in Many Places—The Growing Diversity of Intracellular Salmonella Niches. Front. Cell Infect. Microbiol. 2022, 12, 989451. [Google Scholar] [CrossRef]
- Bäumler, A.J.; Tsolis, R.M.; Heffron, F. Contribution of Fimbrial Operons to Attachment to and Invasion of Epithelial Cell Lines by Salmonella Typhimurium. Infect. Immun. 1996, 64, 1862–1865. [Google Scholar] [CrossRef]
- Hapfelmeier, S.; Stecher, B.; Barthel, M.; Kremer, M.; Müller, A.J.; Heikenwalder, M.; Stallmach, T.; Hensel, M.; Pfeffer, K.; Akira, S.; et al. The Salmonella Pathogenicity Island (SPI)-2 and SPI-1 Type III Secretion Systems Allow Salmonella Serovar Typhimurium to Trigger Colitis via MyD88-Dependent and MyD88-Independent Mechanisms. J. Immunol. 2005, 174, 1675–1685. [Google Scholar] [CrossRef]
- Siriken, B. Salmonella Pathogenicity Islands. Mikrobiyol. Bul. 2013, 47, 181–188. [Google Scholar] [CrossRef] [PubMed]
- Jennings, E.; Thurston, T.L.M.; Holden, D.W. Salmonella SPI-2 Type III Secretion System Effectors: Molecular Mechanisms and Physiological Consequences. Cell Host Microbe 2017, 22, 217–231. [Google Scholar] [CrossRef]
- Siceloff, A.T.; Ohta, N.; Norman, K.N.; Loneragan, G.H.; Norby, B.; Scott, H.M.; Shariat, N.W. Antimicrobial Resistance Hidden within Multiserovar Salmonella Populations. Antimicrob. Agents Chemother. 2021, 65, e00048-21. [Google Scholar] [CrossRef] [PubMed]
- Pulford, C.V.; Perez-Sepulveda, B.M.; Canals, R.; Bevington, J.A.; Bengtsson, R.J.; Wenner, N.; Rodwell, E.V.; Kumwenda, B.; Zhu, X.; Bennett, R.J.; et al. Stepwise Evolution of Salmonella Typhimurium ST313 Causing Bloodstream Infection in Africa. Nat. Microbiol. 2021, 6, 327–338. [Google Scholar] [CrossRef] [PubMed]
- Zhao, X.; Ju, Z.; Wang, G.; Yang, J.; Wang, F.; Tang, H.; Zhao, X.; Sun, S. Prevalence and Antimicrobial Resistance of Salmonella Isolated from Dead-in-Shell Chicken Embryos in Shandong, China. Front. Vet. Sci. 2021, 8, 581946. [Google Scholar] [CrossRef]
- Sears, K.T.; Galen, J.E.; Tennant, S.M. Advances in the Development of Salmonella-Based Vaccine Strategies for Protection against Salmonellosis in Humans. J. Appl. Microbiol. 2021, 131, 2640–2658. [Google Scholar] [CrossRef]
- Tennant, S.M.; Levine, M.M. Live Attenuated Vaccines for Invasive Salmonella Infections. Vaccine 2015, 33, C36–C41. [Google Scholar] [CrossRef]
- Jung, B.; Park, S.; Kim, E.; Yoon, H.; Hahn, T.-W. Salmonella Typhimurium Lacking phoBR as a Live Vaccine Candidate against Poultry Infection. Vet. Microbiol. 2022, 266, 109342. [Google Scholar] [CrossRef]
- Park, S.; Jung, B.; Kim, E.; Hong, S.-T.; Yoon, H.; Hahn, T.-W. Salmonella Typhimurium Lacking YjeK as a Candidate Live Attenuated Vaccine Against Invasive Salmonella Infection. Front. Immunol. 2020, 11, 1277. [Google Scholar] [CrossRef]
- Lin, Z.; Tang, P.; Jiao, Y.; Kang, X.; Li, Q.; Xu, X.; Sun, J.; Pan, Z.; Jiao, X. Immunogenicity and Protective Efficacy of a Salmonella Enteritidis sptP Mutant as a Live Attenuated Vaccine Candidate. BMC Vet. Res. 2017, 13, 194. [Google Scholar] [CrossRef]
- Johnson, R.; Byrne, A.; Berger, C.N.; Klemm, E.; Crepin, V.F.; Dougan, G.; Frankel, G. The Type III Secretion System Effector SptP of Salmonella Enterica Serovar Typhi. J. Bacteriol. 2017, 199, e00647-16. [Google Scholar] [CrossRef] [PubMed]
- Fu, Y.; Galán, J.E. The Salmonella typhimurium Tyrosine Phosphatase SptP Is Translocated into Host Cells and Disrupts the Actin Cytoskeleton. Mol. Microbiol. 1998, 27, 359–368. [Google Scholar] [CrossRef] [PubMed]
- Zhou, D.; Galán, J. Salmonella Entry into Host Cells: The Work in Concert of Type III Secreted Effector Proteins. Microbes Infect. 2001, 3, 1293–1298. [Google Scholar] [CrossRef] [PubMed]
- Stebbins, C.E.; Galán, J.E. Modulation of Host Signaling by a Bacterial Mimic: Structure of the Salmonella Effector SptP Bound to Rac1. Mol. Cell 2000, 6, 1449–1460. [Google Scholar] [CrossRef]
- Galán, J.E. Salmonella Typhimurium and Inflammation: A Pathogen-Centric Affair. Nat. Rev. Microbiol. 2021, 19, 716–725. [Google Scholar] [CrossRef]
- Chen, S.; Zhang, C.; Liao, C.; Li, J.; Yu, C.; Cheng, X.; Yu, Z.; Zhang, M.; Wang, Y. Deletion of Invasion Protein B in Salmonella Enterica Serovar Typhimurium Influences Bacterial Invasion and Virulence. Curr. Microbiol. 2015, 71, 687–692. [Google Scholar] [CrossRef]
- Hamed, S.; Shawky, R.M.; Emara, M.; Slauch, J.M.; Rao, C.V. HilE Is Required for Synergistic Activation of SPI-1 Gene Expression in Salmonella enterica Serovar Typhimurium. BMC Microbiol. 2021, 21, 49. [Google Scholar] [CrossRef]
- Dawan, J.; Ahn, J. Assessment of Cross-Resistance Potential to Serial Antibiotic Treatments in Antibiotic-Resistant Salmonella Typhimurium. Microb. Pathog. 2020, 148, 104478. [Google Scholar] [CrossRef]
- Pei, Y.; Parreira, V.R.; Roland, K.L.; Curtiss, R.; Prescott, J.F. Assessment of Attenuated Salmonella Vaccine Strains in Controlling Experimental Salmonella Typhimurium Infection in Chickens. Can. J. Vet. Res. 2014, 78, 23–30. [Google Scholar]
- Gebauer, J.; Tesařík, R.; Králová, N.; Havlíčková, H.; Matiašovic, J. Salmonella Typhimurium-Based Inactivated Vaccine Containing a Wide Spectrum of Bacterial Antigens Which Mimics Protein Expression Changes during Different Stages of an Infection Process. Vet. Microbiol. 2023, 282, 109756. [Google Scholar] [CrossRef]
- Arricau, N.; Hermant, D.; Waxin, H.; Popoff, M.Y. Molecular Characterization of the Salmonella Typhi StpA Protein That Is Related to Both Yersinia YopE Cytotoxin and YopH Tyrosine Phosphatase. Res. Microbiol. 1997, 148, 21–26. [Google Scholar] [CrossRef] [PubMed]
- Chandra, S.; Faisal, S.M.; Chen, J.-W.; Chen, T.-T.; McDonough, S.P.; Liu, S.; Moreira, M.A.S.; Akey, B.L.; Chang, C.-F.; Chang, Y.-F. Immune Response and Protective Efficacy of Live Attenuated Salmonella Vaccine Expressing Antigens of Mycobacterium Avium Subsp. Paratuberculosis against Challenge in Mice. Vaccine 2012, 31, 242–251. [Google Scholar] [CrossRef] [PubMed]
- Collins, F.M.; Carter, P.B. Comparative Immunogenicity of Heat-Killed and Living Oral Salmonella Vaccines. Infect. Immun. 1972, 6, 451–458. [Google Scholar] [CrossRef] [PubMed]
- Özdemir, C.; Akçelik, N.; Neslihan Özdemir, F.; Evcili, İ.; Kahraman, T.; Gürsel, İ.; Akçelik, M. The Role of bcsE Gene in the Pathogenicity of Salmonella. Pathog. Dis. 2021, 79, ftab037. [Google Scholar] [CrossRef]
- Sirard, J.; Niedergang, F.; Kraehenbuhl, J. Live Attenuated Salmonella: A Paradigm of Mucosal Vaccines. Immunol. Rev. 1999, 171, 5–26. [Google Scholar] [CrossRef]
- Lofton, H.; Anwar, N.; Rhen, M.; Andersson, D.I. Fitness of Salmonella Mutants Resistant to Antimicrobial Peptides. J. Antimicrob. Chemother. 2015, 70, 432–440. [Google Scholar] [CrossRef]
- Pasetti, M.F.; Levine, M.M.; Sztein, M.B. Animal Models Paving the Way for Clinical Trials of Attenuated Salmonella Enterica Serovar Typhi Live Oral Vaccines and Live Vectors. Vaccine 2003, 21, 401–418. [Google Scholar] [CrossRef]
- Ji, H.J.; Jang, A.-Y.; Song, J.Y.; Ahn, K.B.; Han, S.H.; Bang, S.J.; Jung, H.K.; Hur, J.; Seo, H.S. Development of Live Attenuated Salmonella Typhimurium Vaccine Strain Using Radiation Mutation Enhancement Technology (R-MET). Front. Immunol. 2022, 13, 931052. [Google Scholar] [CrossRef]
- Desin, T.S.; Köster, W.; Potter, A.A. Salmonella Vaccines in Poultry: Past, Present and Future. Expert Rev. Vaccines 2013, 12, 87–96. [Google Scholar] [CrossRef]
Disclaimer/Publisher’s Note: The statements, opinions and data contained in all publications are solely those of the individual author(s) and contributor(s) and not of MDPI and/or the editor(s). MDPI and/or the editor(s) disclaim responsibility for any injury to people or property resulting from any ideas, methods, instructions or products referred to in the content. |
© 2025 by the authors. Licensee MDPI, Basel, Switzerland. This article is an open access article distributed under the terms and conditions of the Creative Commons Attribution (CC BY) license (https://creativecommons.org/licenses/by/4.0/).




