A Phase 1, Randomized, Double-Blinded, Placebo-Controlled and Dose-Escalation Study to Evaluate the Safety and Immunogenicity of the Intranasal DelNS1-nCoV-RBD LAIV for COVID-19 in Healthy Adults
Abstract
1. Introduction
2. Materials and Methods
2.1. Study Design
2.2. Participants
2.3. Study Procedures
2.4. Study Objectives and End-Points
2.4.1. Safety
2.4.2. Immunogenicity
2.5. Sample Size Calculation
2.6. Statistical Analysis
3. Results
3.1. Participants
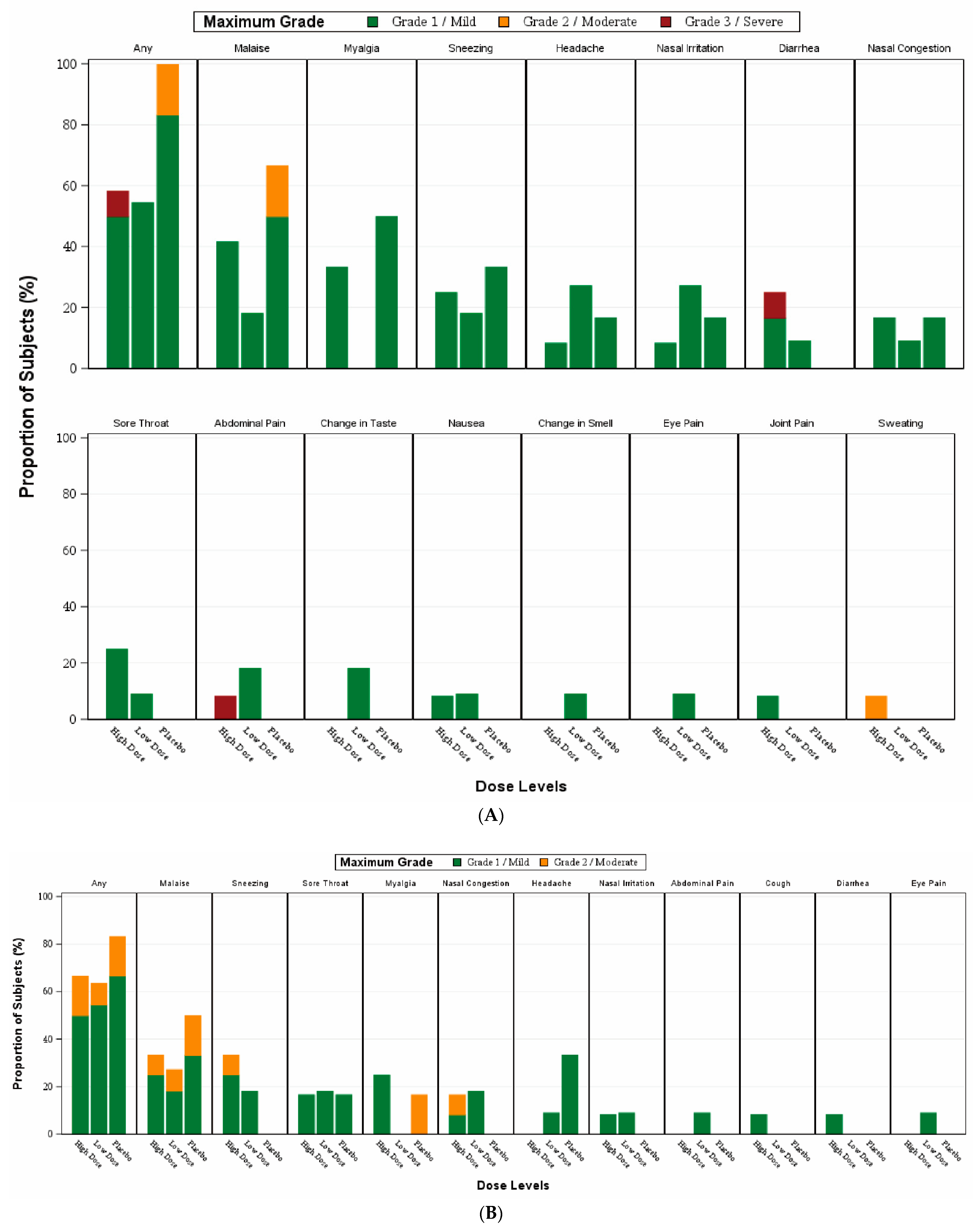
3.2. Safety Analyses
3.3. Immunogenicity Analyses
4. Discussion
5. Conclusions
Supplementary Materials
Author Contributions
Funding
Institutional Review Board Statement
Informed Consent Statement
Data Availability Statement
Acknowledgments
Conflicts of Interest
References
- WHO. Coronavirus (COVID-19) Dashboard. Available online: https://covid19.who.int (accessed on 1 May 2022).
- COVID-19 Vaccine Tracker and Landscape. Available online: https://www.who.int/news-room/questions-and-answers/item/coronavirus-disease-(covid-19)-vaccine-research-and-development (accessed on 1 May 2022).
- Stokel-Walker, C. What do we know about COVID vaccines and preventing transmission? BMJ 2022, 376, o298. [Google Scholar] [CrossRef] [PubMed]
- Eyre, D.W.; Taylor, D.; Purver, M.; Chapman, D.; Fowler, T.; Pouwels, K.B.; Walker, A.S.; Peto, T.E.A. Effect of COVID-19 Vaccination on Transmission of Alpha and Delta Variants. N. Engl. J. Med. 2022, 386, 744–756. [Google Scholar] [CrossRef]
- Bleier, B.S.; Ramanathan, M., Jr.; Lane, A.P. COVID-19 Vaccines May Not Prevent Nasal SARS-CoV-2 Infection and Asymptomatic Transmission. Otolaryngol. Head Neck Surg. 2021, 164, 305–307. [Google Scholar] [CrossRef] [PubMed]
- Tregoning, J.S.; Flight, K.E.; Higham, S.L.; Wang, Z.; Pierce, B.F. Progress of the COVID-19 vaccine effort: Viruses, vaccines and variants versus efficacy, effectiveness and escape. Nat. Rev. Immunol. 2021, 21, 626–636. [Google Scholar] [CrossRef] [PubMed]
- Tartof, S.Y.; Slezak, J.M.; Fischer, H.; Hong, V.; Ackerson, B.K.; Ranasinghe, O.N.; Frankland, T.B.; Ogun, O.A.; Zamparo, J.M.; Gray, S.; et al. Effectiveness of mRNA BNT162b2 COVID-19 vaccine up to 6 months in a large integrated health system in the USA: A retrospective cohort study. Lancet 2021, 398, 1407–1416. [Google Scholar] [CrossRef] [PubMed]
- Thomas, S.J.; Moreira, E.D., Jr.; Kitchin, N.; Absalon, J.; Gurtman, A.; Lockhart, S.; Perez, J.L.; Perez Marc, G.; Polack, F.P.; Zerbini, C.; et al. Safety and Efficacy of the BNT162b2 mRNA COVID-19 Vaccine through 6 Months. N. Engl. J. Med. 2021, 385, 1761–1773. [Google Scholar] [CrossRef]
- Wu, S.; Huang, J.; Zhang, Z.; Wu, J.; Zhang, J.; Hu, H.; Zhu, T.; Zhang, J.; Luo, L.; Fan, P.; et al. Safety, tolerability, and immunogenicity of an aerosolised adenovirus type-5 vector-based COVID-19 vaccine (Ad5-nCoV) in adults: Preliminary report of an open-label and randomised phase 1 clinical trial. Lancet Infect. Dis. 2021, 21, 1654–1664. [Google Scholar] [CrossRef]
- Wang, P.; Zheng, M.; Lau, S.Y.; Chen, P.; Mok, B.W.; Liu, S.; Liu, H.; Huang, X.; Cremin, C.J.; Song, W.; et al. Generation of DelNS1 Influenza Viruses: A Strategy for Optimizing Live Attenuated Influenza Vaccines. mBio 2019, 10, e02180-19. [Google Scholar] [CrossRef]
- Zhou, R.; Wang, P.; Wong, Y.C.; Xu, H.; Lau, S.Y.; Liu, L.; Mok, B.W.; Peng, Q.; Liu, N.; Woo, K.F.; et al. Nasal prevention of SARS-CoV-2 infection by intranasal influenza-based boost vaccination in mouse models. EBioMedicine 2022, 75, 103762. [Google Scholar] [CrossRef]
- U.S. Food and Drug Administration. Toxicity Grading Scale for Healthy Adult and Adolescent Volunteers Enrolled in Preventive Vaccine Clinical Trials. Available online: https://www.fda.gov/regulatory-information/search-fda-guidance-documents/toxicity-grading-scale-healthy-adult-and-adolescent-volunteers-enrolled-preventive-vaccine-clinical (accessed on 1 February 2022).
- Shin, H.S.; Kim, Y.; Kim, G.; Lee, J.Y.; Jeong, I.; Joh, J.S.; Kim, H.; Chang, E.; Sim, S.Y.; Park, J.S.; et al. Immune Responses to Middle East Respiratory Syndrome Coronavirus During the Acute and Convalescent Phases of Human Infection. Clin. Infect. Dis. 2019, 68, 984–992. [Google Scholar] [CrossRef]
- Grifoni, A.; Weiskopf, D.; Ramirez, S.I.; Mateus, J.; Dan, J.M.; Moderbacher, C.R.; Rawlings, S.A.; Sutherland, A.; Premkumar, L.; Jadi, R.S.; et al. Targets of T Cell Responses to SARS-CoV-2 Coronavirus in Humans with COVID-19 Disease and Unexposed Individuals. Cell 2020, 181, 1489–1501.e15. [Google Scholar] [CrossRef] [PubMed]
- Isho, B.; Abe, K.T.; Zuo, M.; Jamal, A.J.; Rathod, B.; Wang, J.H.; Li, Z.; Chao, G.; Rojas, O.L.; Bang, Y.M.; et al. Persistence of serum and saliva antibody responses to SARS-CoV-2 spike antigens in COVID-19 patients. Sci. Immunol. 2020, 5, eabe5511. [Google Scholar] [CrossRef] [PubMed]
- Esposito, S.; Montinaro, V.; Groppali, E.; Tenconi, R.; Semino, M.; Principi, N. Live attenuated intranasal influenza vaccine. Hum. Vaccin. Immunother. 2012, 8, 76–80. [Google Scholar] [CrossRef]
- Russell, M.W.; Moldoveanu, Z.; Ogra, P.L.; Mestecky, J. Mucosal Immunity in COVID-19: A Neglected but Critical Aspect of SARS-CoV-2 Infection. Front. Immunol. 2020, 11, 611337. [Google Scholar] [CrossRef] [PubMed]
- Hassan, A.O.; Kafai, N.M.; Dmitriev, I.P.; Fox, J.M.; Smith, B.K.; Harvey, I.B.; Chen, R.E.; Winkler, E.S.; Wessel, A.W.; Case, J.B.; et al. A Single-Dose Intranasal ChAd Vaccine Protects Upper and Lower Respiratory Tracts against SARS-CoV-2. Cell 2020, 183, 169–184.e13. [Google Scholar] [CrossRef]
- Cao, H.; Mai, J.; Zhou, Z.; Li, Z.; Duan, R.; Watt, J.; Chen, Z.; Bandara, R.A.; Li, M.; Ahn, S.K.; et al. Intranasal HD-Ad vaccine protects the upper and lower respiratory tracts of hACE2 mice against SARS-CoV-2. Cell Biosci. 2021, 11, 202. [Google Scholar] [CrossRef]
- Mao, T.; Israelow, B.; Pena-Hernandez, M.A.; Suberi, A.; Zhou, L.; Luyten, S.; Reschke, M.; Dong, H.; Homer, R.J.; Saltzman, W.M.; et al. Unadjuvanted intranasal spike vaccine elicits protective mucosal immunity against sarbecoviruses. Science 2022, 378, eabo2523. [Google Scholar] [CrossRef]
- Jearanaiwitayakul, T.; Seesen, M.; Chawengkirttikul, R.; Limthongkul, J.; Apichirapokey, S.; Sapsutthipas, S.; Phumiamorn, S.; Sunintaboon, P.; Ubol, S. Intranasal Administration of RBD Nanoparticles Confers Induction of Mucosal and Systemic Immunity against SARS-CoV-2. Vaccines 2021, 9, 768. [Google Scholar] [CrossRef]
- Shuai, H.; Chan, J.F.; Hu, B.; Chai, Y.; Yuen, T.T.; Yin, F.; Huang, X.; Yoon, C.; Hu, J.C.; Liu, H.; et al. Attenuated replication and pathogenicity of SARS-CoV-2 B.1.1.529 Omicron. Nature 2022, 603, 693–699. [Google Scholar] [CrossRef]
- Hui, K.P.Y.; Ho, J.C.W.; Cheung, M.C.; Ng, K.C.; Ching, R.H.H.; Lai, K.L.; Kam, T.T.; Gu, H.; Sit, K.Y.; Hsin, M.K.Y.; et al. SARS-CoV-2 Omicron variant replication in human bronchus and lung ex vivo. Nature 2022, 603, 715–720. [Google Scholar] [CrossRef]
- Perez-Alos, L.; Armenteros, J.J.A.; Madsen, J.R.; Hansen, C.B.; Jarlhelt, I.; Hamm, S.R.; Heftdal, L.D.; Pries-Heje, M.M.; Moller, D.L.; Fogh, K.; et al. Modeling of waning immunity after SARS-CoV-2 vaccination and influencing factors. Nat. Commun. 2022, 13, 1614. [Google Scholar] [CrossRef] [PubMed]
- Levin, E.G.; Lustig, Y.; Cohen, C.; Fluss, R.; Indenbaum, V.; Amit, S.; Doolman, R.; Asraf, K.; Mendelson, E.; Ziv, A.; et al. Waning Immune Humoral Response to BNT162b2 COVID-19 Vaccine over 6 Months. N. Engl. J. Med. 2021, 385, e84. [Google Scholar] [CrossRef]
- Madhavan, M.; Ritchie, A.J.; Aboagye, J.; Jenkin, D.; Provstgaad-Morys, S.; Tarbet, I.; Woods, D.; Davies, S.; Baker, M.; Platt, A.; et al. Tolerability and immunogenicity of an intranasally-administered adenovirus-vectored COVID-19 vaccine: An open-label partially-randomised ascending dose phase I trial. EBioMedicine 2022, 85, 104298. [Google Scholar] [CrossRef] [PubMed]
- Ponce-de-Leon, S.; Torres, M.; Soto-Ramirez, L.E.; Jose Calva, J.; Santillan-Doherty, P.; Carranza-Salazar, D.E.; Carreno, J.M.; Carranza, C.; Juarez, E.; Carreto-Binaghi, L.E.; et al. Safety and immunogenicity of a live recombinant Newcastle disease virus-based COVID-19 vaccine (Patria) administered via the intramuscular or intranasal route: Interim results of a non-randomized open label phase I trial in Mexico. medRxiv 2022. [Google Scholar] [CrossRef]





| High-Dose (n = 12) | Low-Dose (n = 11) | Placebo (n = 6) | |
|---|---|---|---|
| Age (median; IQR) | 25 (21, 35) | 25 (22, 34) | 38 (26, 45) |
| Male sex (%) | 8 (66.7) | 8 (72.7) | 4 (66.7) |
| BMI (kg/m2) (median; IQR) | 21.9 (20.1, 23.7) | 22.3 (21.4, 24.3) | 22.3 (19.5, 24.1) |
| High-Dose (n = 12) | Low-Dose (n = 11) | Placebo (n = 6) | p-Value + | |
|---|---|---|---|---|
| Subjects with reactogenicities | 9 (75%) {54} | 8 (72.7%) {44} | 6 (100%) {19} | 0.60 |
| 95% CI | (42.81– 94.51%) | (39.03–93.98%) | (54.07–100%) | |
| Subjects with unsolicited adverse events | 9 (75%) {15} | 6 (54.5%) {17} | 4 (66.7%) {7} | 0.62 |
| 95% CI | (42.81–94.51%) | (23.38–83.25%) | (22.28–96.67%) | |
| Subjects with adverse events of special interest (AESIs) | 0 | 0 | 0 | - |
| 95% CI | - | - | - | - |
| Subjects with serious adverse events (SAEs) | 0 | 0 | 0 | - |
| 95% CI | - | - | - | - |
| Subjects discontinued due to adverse events | 0 | 0 | 0 | - |
| 95% CI | - | - | - | - |
| High-Dose (n = 12) | Low-Dose (n = 11) | Placebo (n = 6) | p-Value 1+ | p-Value 2+ | p-Value 3+ | p-Value 4 | |
|---|---|---|---|---|---|---|---|
| Day 0 (pre-dose) | 0 (0–3.8) | 10 (0–15) | 2.5 (0–63.8) | 0.09 | 0.46 | 0.10 | 0.29 |
| Day 7 | 10 (0–42.5) | 15 (5–20) | 22.5 (8.8–43.8) | 0.23 | 0.17 | 0.03 | 0.45 |
| Day 14 | 15 (0–31.3) | 0 (0–5) | 0 (0–10) | 0.17 | 0.16 | 0.09 | 0.52 |
| Day 28 (pre-dose) | 27.5 (6.3–130) | 25 (0–30) | 72.5 (13.8–132.5) | 0.55 | 0.08 | 0.29 | 0.43 |
| Day 35 | 20 (5–48.8) | 15 (5–30) | 20 (8.75–37.5) | 0.19 | 0.38 | 0.55 | 0.80 |
| Day 42 | 12.5 (5–52.5) | 0 (0–40) | 5 (0–27.5) | 0.18 | 0.19 | 0.09 | 0.49 |
| High-Dose (n = 12) | Low-Dose (n = 11) | Placebo (n = 6) | p-Value 1+ | p-Value 2+ | p-Value 3+ | p-Value 4 | |
|---|---|---|---|---|---|---|---|
| Day 0 (pre-dose) | 0.05 (0.03–0.10) | 0.07 (0.04–0.11) | 0.08 (0.03–0.13) | 0.15 | 0.93 | 0.06 | 0.65 |
| Day 3 | 0.26 (0.16–0.66) | 0.18 (0.08–0.51) | 0.32 (0.12–0.72) | 0.83 | 0.99 | 0.84 | 0.87 |
| Day 28 (pre-dose) | 0.08 (0.03–0.24) | 0.07 (0.04–0.17) | 0.1 (0.03–0.13) | 0.11 | 0.20 | 0.36 | 0.66 |
| Day 31 | 0.24 (0.13–0.63) | 0.21 (0.08–0.50) | 0.21 (0.11–0.26) | 0.046 | 0.06 | 0.99 | 0.59 |
| Day 56 | 0.31 (0.09–0.61) | 0.31 (0.07–0.48) | 0.15 (0.06–0.53) | 0.45 | 0.96 | 0.45 | 0.69 |
| High-Dose (n = 12) | Low-Dose (n = 11) | Placebo (n = 6) | |
|---|---|---|---|
| Day 0 (pre-dose) | 0 (0–0.6) | 8.5 (0.5–18.7) | 1.5 (0–5.1) |
| Day 7 | 0 (0–1.1) | 4.0 (0–7.2) | 0.4 (0–2.9) |
| Day 14 | 0 (0–0.6) | 2.3 (0–11.4) | 0.65 (0–5.9) |
| Day 28 (pre-dose) | 0 (0–0.8) | 2.0 (0–4.4) | 0 (0–1.8) |
| Day 35 | 0.3 (0–1.3) | 3.9 (0–8.4) | 2.0 (0–3.6) |
| Day 42 | 0 (0–0.8) | 3.7 (0.2–7.3) | 2.8 (0–5.0) |
| Day 56 | 0 (0–0.8) | 2.5 (0.8–4.4) | 4.8 (0–6.8) |
| High-Dose (n = 12) | Low-Dose (n = 11) | Placebo (n = 6) | |
|---|---|---|---|
| Day 0 (pre-dose) | 5 (5–5) | 5 (5–5) | 5 (5–5) |
| Day 7 | 5 (5–5) | 5 (5–5) | 5 (5–5) |
| Day 14 | 5 (5–5) | 5 (5–5) | 5 (5–5) |
| Day 28 (pre-dose) | 5 (5–5) | 5 (5–5) | 5 (5–5) |
| Day 35 | 5 (5–5) | 5 (5–5) | 5 (5–5) |
| Day 42 | 5 (5–5) | 5 (5–5) | 5 (5–5) |
| Day 56 | 5 (5–5) | 5 (5–5) | 5 (5–5) |
| High-Dose (n = 12) | Low-Dose (n = 11) | Placebo (n = 6) | p-Value 1+ | p-Value 2+ | p-Value 3+ | p-Value 4 | |
|---|---|---|---|---|---|---|---|
| Day 0 (pre-dose) | 320 (160–640) | 320 (80–640) | 160 (80–280) | 0.13 | 0.93 | 0.06 | 0.40 |
| Day 28 (pre-dose) | 640 (320–1280) | 320 (160–640) | 240 (160–800) | 0.21 | 0.29 | 0.36 | 0.34 |
| Fold-increase | 2 (1–2) | 1 (1–2) | 1.5 (1–5.5) | 0.75 | 0.10 | 0.99 | 0.24 |
Disclaimer/Publisher’s Note: The statements, opinions and data contained in all publications are solely those of the individual author(s) and contributor(s) and not of MDPI and/or the editor(s). MDPI and/or the editor(s) disclaim responsibility for any injury to people or property resulting from any ideas, methods, instructions or products referred to in the content. |
© 2023 by the authors. Licensee MDPI, Basel, Switzerland. This article is an open access article distributed under the terms and conditions of the Creative Commons Attribution (CC BY) license (https://creativecommons.org/licenses/by/4.0/).
Share and Cite
Zhang, R.; Chan, K.-H.; Wang, P.; Zhou, R.; Yau, H.K.-C.; Wong, C.K.-W.; Au, M.W.-L.; Tam, A.R.; Ng, C.-T.; Lou, M.K.-C.; et al. A Phase 1, Randomized, Double-Blinded, Placebo-Controlled and Dose-Escalation Study to Evaluate the Safety and Immunogenicity of the Intranasal DelNS1-nCoV-RBD LAIV for COVID-19 in Healthy Adults. Vaccines 2023, 11, 723. https://doi.org/10.3390/vaccines11040723
Zhang R, Chan K-H, Wang P, Zhou R, Yau HK-C, Wong CK-W, Au MW-L, Tam AR, Ng C-T, Lou MK-C, et al. A Phase 1, Randomized, Double-Blinded, Placebo-Controlled and Dose-Escalation Study to Evaluate the Safety and Immunogenicity of the Intranasal DelNS1-nCoV-RBD LAIV for COVID-19 in Healthy Adults. Vaccines. 2023; 11(4):723. https://doi.org/10.3390/vaccines11040723
Chicago/Turabian StyleZhang, Ruiqi, Kwok-Hung Chan, Pui Wang, Runhong Zhou, Henry Kwong-Chi Yau, Creany Ka-Wai Wong, Meena Wai-Lam Au, Anthony Raymond Tam, Chi-Tao Ng, Matthew Kwok-Chung Lou, and et al. 2023. "A Phase 1, Randomized, Double-Blinded, Placebo-Controlled and Dose-Escalation Study to Evaluate the Safety and Immunogenicity of the Intranasal DelNS1-nCoV-RBD LAIV for COVID-19 in Healthy Adults" Vaccines 11, no. 4: 723. https://doi.org/10.3390/vaccines11040723
APA StyleZhang, R., Chan, K.-H., Wang, P., Zhou, R., Yau, H. K.-C., Wong, C. K.-W., Au, M. W.-L., Tam, A. R., Ng, C.-T., Lou, M. K.-C., Liu, N., Huang, H., Deng, S., Tam, R. C.-Y., Liu, Y., Long, T., Tsoi, H.-W., Ng, M. K. W., Cai, J.-P., ... Hung, I. F.-N. (2023). A Phase 1, Randomized, Double-Blinded, Placebo-Controlled and Dose-Escalation Study to Evaluate the Safety and Immunogenicity of the Intranasal DelNS1-nCoV-RBD LAIV for COVID-19 in Healthy Adults. Vaccines, 11(4), 723. https://doi.org/10.3390/vaccines11040723

