Immune Enhancement Effects and Extraction Optimization of Polysaccharides from Peristrophe roxburghiana
Abstract
1. Introduction
2. Materials and Methods
2.1. Plant Materials, Chemicals, and Reagents
2.2. Extraction of Polysaccharides
2.3. Optimization of CPPR Extraction
2.4. Monosaccharide Composition
2.5. Physicochemical and Thermal Characterization of CPPRs
2.6. Determination of Antioxidant Activity
2.7. Effect of CPPRs on Erythrocyte Hemolysis Induced by AAPH
2.8. Cell Culture and Cytotoxicity Assay
2.9. Assay of Immune-Enhancement Activity
2.10. Statistical Analysis
3. Results and Discussion
3.1. Extraction and Optimization of CPPRs
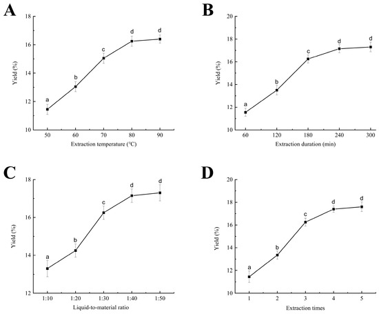
3.1.1. Signal-Factor Experimental Analysis
3.1.2. Response Surface Optimization Experiment Design and Result Analysis
3.2. Monosaccharide Composition of CPPRs
3.3. Analysis of the Physicochemical and Thermal Properties of CPPRs
3.4. Antioxidant Activities of CPPRs
3.5. Analysis of the Effect of CPPRs on Erythrocyte Hemolysis Induced by AAPH
3.6. Cell Cytotoxicity
3.7. Effect of CPPRs on Immune-Enhancement Activity in RAW264.7 Macrophages
4. Conclusions
Supplementary Materials
Author Contributions
Funding
Institutional Review Board Statement
Informed Consent Statement
Data Availability Statement
Conflicts of Interest
Abbreviation
References
- Murphy, E.J.; Fehrenbach, G.W.; Abidin, I.Z.; Buckley, C.; Montgomery, T.; Pogue, R.; Murray, P.; Major, I.; Rezoagli, E. Polysaccharides—Naturally Occurring Immune Modulators. Polymers 2023, 15, 2373. [Google Scholar] [CrossRef]
- Schepetkin, I.A.; Quinn, M.T. Botanical polysaccharides: Macrophage immunomodulation and therapeutic potential. Int. Immunopharmacol. 2006, 6, 317–333. [Google Scholar] [CrossRef]
- Wan, X.; Yin, Y.; Zhou, C.; Hou, L.; Cui, Q.; Zhang, X.; Cai, X.; Wang, Y.; Wang, L.; Tian, J. Polysaccharides derived from Chinese medicinal herbs: A promising choice of vaccine adjuvants. Carbohyd. Polym. 2022, 276, 118739. [Google Scholar] [CrossRef]
- Zhao, Y.; Yan, B.; Wang, Z.; Li, M.; Zhao, W. Natural Polysaccharides with Immunomodulatory Activities. Mini Rev. Med. Chem. 2020, 20, 96–106. [Google Scholar] [CrossRef]
- Yin, M.; Zhang, Y.; Li, H. Advances in Research on Immunoregulation of Macrophages by Plant Polysaccharides. Front. Immuol. 2019, 10, 145. [Google Scholar] [CrossRef]
- Chen, X.; Zhang, J.S.; Wang, Y.F.; Hu, Q.H.; Zhao, R.Q.; Zhong, L.; Zhan, Q.P.; Zhao, L.Y. Structure and immunostimulatory activity studies on two novel Flammulina velutipes polysaccharides: Revealing potential impacts of →6)-α-d-Glcp(1→ on the TLR-4/MyD88/NF-κB pathway. Food Funct. 2024, 15, 3507–3521. [Google Scholar] [CrossRef]
- Hao, Y.-J.; Zhang, K.-X.; Jin, M.-Y.; Piao, X.-C.; Lian, M.-L.; Jiang, J. Improving fed-batch culture efficiency of Rhodiola sachalinensis cells and optimizing flash extraction process of polysaccharides from the cultured cells by BBD–RSM. Ind. Crop. Prod. 2023, 196, 116513. [Google Scholar] [CrossRef]
- Yang, G.; Su, F.; Hu, D.; Ruan, C.; Che, P.; Zhang, Y.; Wang, J. Optimization of the Extraction Process and Antioxidant Activity of Polysaccharide Extracted from Centipeda minima. Chem. Biodivers. 2022, 20, e202200626. [Google Scholar] [CrossRef]
- Rod-in, W.; Talapphet, N.; Monmai, C.; Jang, A.Y.; You, S.; Park, W.J. Immune enhancement effects of Korean ginseng berry polysaccharides on RAW264.7 macrophages through MAPK and NF-κB signalling pathways. Food Agric. Immunol. 2021, 32, 298–309. [Google Scholar] [CrossRef]
- Zhan, Q.; Chen, Y.; Guo, Y.; Wang, Q.; Wu, H.; Zhao, L. Effects of selenylation modification on the antioxidative and immunoregulatory activities of polysaccharides from the pulp of Rose laevigata Michx fruit. Int. J. Biol. Macromol. 2022, 206, 242–254. [Google Scholar] [CrossRef] [PubMed]
- Kaur, R.; Shekhar, S.; Prasad, K. Functional beverages: Recent trends and prospects as potential meal replacers. Food Mater. Res. 2024, 4, e006. [Google Scholar] [CrossRef]
- Awodire, E.F.; Ademosun, A.O.; Ajeigbe, O.F.; Oboh, G. Functional foods and their applications in managing globally common disease-linked comorbidities. Food Mater. Res. 2023, 3, 34. [Google Scholar] [CrossRef]
- Wang, Z.; Wang, L.; Yu, X.; Wang, X.; Zheng, Y.; Hu, X.; Zhang, P.; Sun, Q.; Wang, Q.; Li, N. Effect of polysaccharide addition on food physical properties: A review. Food Chem. 2024, 431, 137099. [Google Scholar] [CrossRef]
- Kong, D.; Zhang, M.; Mujumdar, A.S.; Yu, D. New drying technologies for animal/plant origin polysaccharide-based future food processing: Research progress, application prospects and challenges. Food Biosci. 2023, 56, 103315. [Google Scholar] [CrossRef]
- Ali, M.Q.; Ahmad, N.; Azhar, M.A.; Munaim, M.S.A.; Ruslan, N.F. Fruit and vegetable by-products: Extraction of bioactive compounds and utilization in food biodegradable material and packaging. Food Mater. Res. 2025, 5, e004. [Google Scholar] [CrossRef]
- Jing, Y.; Hu, Y.; Wang, Z.; Tao, C.; Zhang, S.; Hu, B.; Li, Z. Research progress on extraction, structure, bioactivity, structure-activity relationship and product applications of polysaccharides from Mori fructus. Food Med. Homol. 2025, 2, 9420067. [Google Scholar] [CrossRef]
- Zhu, Y.; He, Z.; Bao, X.; Wang, M.; Yin, S.; Song, L.; Peng, Q. Purification, in-depth structure analysis and antioxidant stress activity of a novel pectin-type polysaccharide from Ziziphus jujuba cv. Muzaoresidue. J. Funct. Foods 2021, 80, 104439. [Google Scholar] [CrossRef]
- Zhou, R.; Teng, L.; Zhu, Y.; Zhang, C.; Yang, Y.; Chen, Y. Preparation of Amomum longiligulare polysaccharides 1- PLGA nanoparticle and its immune enhancement ability on RAW264.7 cells. Int. Immunopharmacol. 2021, 99, 108053. [Google Scholar] [CrossRef]
- Liu, X.; Yu, X.; Zhang, X.; Li, F.; Zhang, X. Preparation of polysaccharides from Osmunda japonica (Thunb) with the potential of food additives: Structural features and functional properties. J. Food Process. Preserv. 2021, 45, e15189. [Google Scholar] [CrossRef]
- Huang, D.; Li, F.; Yang, A.; Wang, J.; Xie, M.; Mao, M.; Li, J.; Zhang, X.; Qu, Q.; Xiong, R.; et al. Optimized extraction of polysaccharide from Pinus elliottii: Characterization, antioxidant, and moisture-preserving activities. Fitoterapia 2023, 168, 105557. [Google Scholar] [CrossRef]
- Cui, Y.; Li, B. Hypoglycemic effects of edible fungus polysaccharides: A mini review. Food Med. Homol. 2025, 2, 9420046. [Google Scholar] [CrossRef]
- Fan, W.; Fan, X.; Xie, Y.; Yan, X.; Tao, M.; Zhao, S.; Yu, B.; Li, R. Research progress on the anti-aging effects and mechanisms of polysaccharides from Chinese herbal medicine. Food Med. Homol. 2025, 3, 9420108. [Google Scholar] [CrossRef]
- Xu, Y.; Cao, H.; He, J. Research advances in okra polysaccharides: Green extraction technology, structural features, bioactivity, processing properties and application in foods. Food Res. Int. 2025, 202, 115686. [Google Scholar] [CrossRef]
- Keerthana, C.S.; Kumari, R.; Beura, M.; Sharan, S.; Sharma, S.K.; Ganjoo, A.; Dahuja, A.; Krishnan, V. Unveiling the glucan profile: A comparative study of Lion’s Mane and Shiitake mushrooms. Nat. Prod. Res. 2025; ahead of print. [Google Scholar] [CrossRef] [PubMed]
- Li, Y.; Liu, J.; Pei, D.; Di, D. Structural Characterization of, and Protective Effects Against, CoCl2-Induced Hypoxia Injury to a Novel Neutral Polysaccharide from Lycium barbarum L. Foods 2025, 14, 339. [Google Scholar] [CrossRef] [PubMed]
- Ding, H.; Zhu, X.; Liu, J.; Si, J.; Wu, L. Plant endophytic fungal polysaccharides and their activities: A review. Int. J. Biol. Macromol. 2025, 317, 144750. [Google Scholar] [CrossRef]
- Liang, H.; Ma, Y.; Zhao, Y.; Qayyum, N.; He, F.; Tian, J.; Sun, X.; Li, B.; Wang, Y.; Wu, M.; et al. A Review on the Extraction, Structural Analysis, and Antitumor Mechanisms of Sanghuangporus Polysaccharides. Foods 2025, 14, 707. [Google Scholar] [CrossRef]
- Zhang, S.; Chen, L.; Shang, N.; Wu, K.; Liao, W. Recent Advances in the Structure, Extraction, and Biological Activity of Sargassum fusiforme Polysaccharides. Mar. Drugs 2025, 23, 98. [Google Scholar] [CrossRef]
- Wang, T.; Zou, X.; Zhang, H.; Li, J.; Peng, X.; Ju, R.; Jia, Z.; Wen, Z.; Li, C. Ultrasound-Assisted Extraction of Polysaccharides from Mulberry Leaves Using Response Surface Methodology: Purification and Component Identification of Extract. Molecules 2025, 30, 1747. [Google Scholar] [CrossRef]
- Yang, Z.J.; Zhang, Y.H.; Yao, X.Q.; Gao, W.Y.; Jin, X.H. Anti-inflammatory Activity of Chemical Constituents Isolated from Peristrophe roxburghiana. Lat. Am. J. Pharm. 2012, 31, 1279–1284. [Google Scholar]
- Aluko, E.O.; Adejumobi, O.A.; Fasanmade, A.A. Peristrophe roxburghiana leaf extracts exhibited anti-hypertensive and antilipidemic properties in L-NAME hypertensive rats. Life Sci. 2019, 234, 116753. [Google Scholar] [CrossRef]
- Thuy, N.M.; Tien, V.Q.; Van Tai, N.; Minh, V.Q. Effect of Foaming Conditions on Foam Properties and Drying Behavior of Powder from Magenta (Peristrophe roxburghiana) Leaves Extracts. Horticulturae 2022, 8, 546. [Google Scholar] [CrossRef]
- Huang, J.; Su, M.; Wang, R.; Wu, H.; Dong, F.; Li, Y.; Yao, Y. Research on Dyeing Process of Peristrophe baphica (Spreng) Bremek to Rice. Mod. food 2021, 14, 86–89. [Google Scholar]
- Hong, Z.; Lu, K.; Huang, W.; Gong, J. The optimization of extraction method of pigment from Peristrophe roxburghina and its dyeing on glutinous rice. Food Ferment. Ind. 2021, 47, 180–187. [Google Scholar]
- Mazarei, F.; Jooyandeh, H.; Noshad, M.; Hojjati, M. Polysaccharide of caper (Capparis spinosa L.) Leaf: Extraction optimization, antioxidant potential and antimicrobial activity. Int. J. Biol. Macromol. 2017, 95, 224–231. [Google Scholar] [CrossRef]
- Yu, L.; Zhang, H.; Yang, L.; Tian, K. Optimization of purification conditions for papain in a polyethylene glycol-phosphate aqueous two-phase system using quaternary ammonium ionic liquids as adjuvants by BBD-RSM. Protein Expr. Purif. 2019, 156, 8–16. [Google Scholar] [CrossRef]
- Zhao, D.; Zhou, X.; Gaong, X.; Quan, W.; Gao, G.; Zhao, C. Optimization of ultrasound-assisted extraction of flavonoids from Emilia prenanthoidea DC. using response surface methodology and exploration of the ecological factors on total flavonoid and antioxdant activity. Food Med. Homol. 2024, 1, 9420017. [Google Scholar] [CrossRef]
- Nurmamat, E.; Xiao, H.X.; Zhang, Y.; Jiao, Z.W. Effects of Different Temperatures on the Chemical Structure and Antitumor Activities of Polysaccharides from Cordyceps militaris. Polymers 2018, 10, 430. [Google Scholar] [CrossRef] [PubMed]
- Yang, D.; Lin, F.; Huang, Y.; Ye, J.; Xiao, M. Separation, purification, structural analysis and immune-enhancing activity of sulfated polysaccharide isolated from sea cucumber viscera. Int. J. Biol. Macromol. 2020, 155, 1003–1018. [Google Scholar] [CrossRef] [PubMed]
- Kumar, V.; Agrawal, D.; Bommareddy, R.R.; Islam, M.A.; Jacob, S.; Balan, V.; Singh, V.; Thakur, V.K.; Navani, N.K.; Scrutton, N.S. Arabinose as an overlooked sugar for microbial bioproduction of chemical building blocks. Crit. Rev. Biotechnol. 2024, 44, 1103–1120. [Google Scholar] [CrossRef]
- Jankute, M.; Grover, S.; Rana, A.K.; Besra, G.S. Arabinogalactan and Lipoarabinomannan Biosynthesis: Structure, Biogenesis and Their Potential as Drug Targets. Future Microbiol. 2011, 7, 129–147. [Google Scholar] [CrossRef]
- Shimoda, R.; Okabe, K.; Kotake, T.; Matsuoka, K.; Koyama, T.; Tryfona, T.; Liang, H.-C.; Dupree, P.; Tsumuraya, Y. Enzymatic fragmentation of carbohydrate moieties of radish arabinogalactan-protein and elucidation of the structures. Biosci. Biotech. Biochem. 2014, 78, 818–831. [Google Scholar] [CrossRef][Green Version]
- Uemura, Y.; Asakuma, S.; Nakamura, T.; Arai, I.; Taki, M.; Urashima, T. Occurrence of a unique sialyl tetrasaccharide in colostrum of a bottlenose dolphin (Tursiops truncatus). BBA Gen. Subj. 2005, 1725, 290–297. [Google Scholar] [CrossRef]
- Yasukochi, T.; Fukase, K.; Suda, Y.; Takagaki, K.; Endo, M.; Kusumoto, S. Enzymatic synthesis of 4-methylumbelliferyl glycosides of trisaccharide and core tetrasaccharide, Gal(β1-3)Gal(β1-4)Xyl and GlcA(β1-3)Gal(β1-3)Gal(β1-4)Xyl, corresponding to the linkage region of proteoglycans. Bull. Chem. Soc. Jpn. 1997, 70, 2719–2725. [Google Scholar] [CrossRef]
- Hakkarainen, B.; Kenne, L.; Lahmann, M.; Oscarson, S.; Sandström, C. NMR study of hydroxy protons of di- and trimannosides, substructures of Man-9. Magn. Reson. Chem. 2007, 45, 1076–1080. [Google Scholar] [CrossRef] [PubMed]
- Royer, P.J.; Emara, M.; Yang, C.X.; Al-Ghouleh, A.; Tighe, P.; Jones, N.; Sewell, H.F.; Shakib, F.; Martinez-Pomares, L.; Ghaemmaghami, A.M. The Mannose Receptor Mediates the Uptake of Diverse Native Allergens by Dendritic Cells and Determines Allergen-Induced T Cell Polarization through Modulation of IDO Activity. J. Immunol. 2010, 185, 1522–1531. [Google Scholar] [CrossRef]
- Witkowski, A.; Carta, S.; Lu, R.; Yokoyama, S.; Rubartelli, A.; Cavigiolio, G. Oxidation of methionine residues in human apolipoprotein A-I generates a potent pro-inflammatory molecule. J. Biol. Chem. 2019, 294, 3634–3646. [Google Scholar] [CrossRef]
- Yao, Y.F.; Wang, L.F.; Chen, S.M.; Wu, R.T.; Long, F.Y.; Li, W.J. Antinociceptive and anti-inflammatory activities of ethanol-soluble acidic component from Ganoderma atrum by suppressing mannose receptor. J. Funct. Foods 2022, 89, 104915. [Google Scholar] [CrossRef]
- Romdhane, M.B.; Haddar, A.; Ghazala, I.; Jeddou, K.B.; Helbert, C.B.; Ellouz-Chaabouni, S. Optimization of polysaccharides extraction from watermelon rinds: Structure, functional and biological activities. Food Chem. 2017, 216, 355–364. [Google Scholar] [CrossRef] [PubMed]
- Peng, Y.; Ma, F.; Hu, L.; Deng, Y.; He, W.; Tang, B. Strontium based Astragalus polysaccharides promote osteoblasts differentiation and mineralization. Int. J. Biol. Macromol. 2022, 205, 761–771. [Google Scholar] [CrossRef]
- Zhao, Z.; Yuwen, W.; Duan, Z.; Zhu, C.; Fan, D. Novel Collagen Analogs with Multicopy Mucin-Type Sequences for Multifunctional Enhancement Properties Using SUMO Fusion Tags. J. Agric. Food Chem. 2024, 72, 22173–22185. [Google Scholar] [CrossRef]
- Ellerbrock, R.H.; Gerke, H.H. FTIR spectral band shifts explained by OM–cation interactions. J. Plant Nutr. Soil Sci. 2021, 184, 388–397. [Google Scholar] [CrossRef]
- Fang, C.L.; Huang, J.R.; Pu, H.Y.; Yang, Q.; Chen, Z.G.; Zhu, Z.B. Cold-water solubility, oil-adsorption and enzymolysis properties of amorphous granular starches. Food Hydrocoll. 2021, 117, 106669. [Google Scholar] [CrossRef]
- Anvari, M.; Tabarsa, M.; Cao, R.; You, S.; Joyner, H.S.; Behnam, S.; Rezaei, M. Compositional characterization and rheological properties of an anionic gum from Alyssum homolocarpum seeds. Food Hydrocoll. 2016, 52, 766–773. [Google Scholar] [CrossRef]
- Xu, Y.Q.; Liu, N.Y.; Fu, X.T.; Wang, L.X.; Yang, Y.; Ren, Y.Y.; Liu, J.Y.; Wang, L.B. Structural characteristics, biological, rheological and thermal properties of the polysaccharide and the degraded polysaccharide from raspberry fruits. Int. J. Biol. Macromol. 2019, 132, 109–118. [Google Scholar] [CrossRef] [PubMed]
- Iijima, M.; Hatakeyama, T.; Hatakeyama, H. DSC and TMA Studies of Polysaccharide Physical Hydrogels. Anal. Sci. 2021, 37, 211–219. [Google Scholar] [CrossRef]
- Ilyasov, I.R.; Beloborodov, V.L.; Selivanova, I.A.; Terekhov, R.P. ABTS/PP Decolorization Assay of Antioxidant Capacity Reaction Pathways. Int. J. Mol. Sci. 2020, 21, 1131. [Google Scholar] [CrossRef] [PubMed]
- Dumandan, N.G.; Acda, R.D.P.; Kagaoan, A.C.T.; Tumambing, C.R. Nutraceutical prospects of phenolic compounds from desugared sugarcane extract: An in vitro study of its bioaccessibility and bioactivity. Food Mater. Res. 2024, 4, e024. [Google Scholar] [CrossRef]
- Xu, J.; Tian, T.; Zhao, Y. Effect of extrusion processing on physicochemical and functional properties of water-soluble dietary fiber and water-insoluble dietary fiber of whole grain highland barley. Food Med. Homol. 2025, 2, 9420032. [Google Scholar] [CrossRef]
- Chen, J.; Li, G.; Chen, X.; Liao, L.; He, Y.; Ye, F.; Chen, G. Nutritional value and antioxidant activity of Artemisia princeps, an edible plant frequently used in folk food in the Xiangxi region. Food Med. Homol. 2025, 2, 9420043. [Google Scholar] [CrossRef]
- Ziyatdinova, G.; Budnikov, H. Analytical Capabilities of Coulometric Sensor Systems in the Antioxidants Analysis. Chemosensors 2021, 9, 91. [Google Scholar] [CrossRef]
- Gulcin, I.; Alwasel, S.H. Fe3+ Reducing Power as the Most Common Assay for Understanding the Biological Functions of Antioxidants. Processes 2023, 13, 1296. [Google Scholar] [CrossRef]
- Lushchak, V.I. Free radicals, reactive oxygen species, oxidative stress and its classification. Chem. Biol. Interact. 2014, 224, 164–175. [Google Scholar] [CrossRef]
- López-Alarcón, C.; Fuentes-Lemus, E.; Figueroa, J.D.; Dorta, E.; Schöneich, C.; Davies, M.J. Azocompounds as generators of defined radical species: Contributions and challenges for free radical research. Free Radic. Biol. Med. 2020, 160, 78–91. [Google Scholar] [CrossRef] [PubMed]
- Zhan, Q.; Wang, Q.; Liu, Q.; Guo, Y.; Gong, F.; Hao, L.; Wu, H.; Dong, Z. The antioxidant activity of protein fractions from Sacha inchi seeds after a simulated gastrointestinal digestion. LWT 2021, 145, 111356. [Google Scholar] [CrossRef]
- Zhang, Z.; Wei, T.; Hou, J.; Li, G.; Yu, S.; Xin, W. Reactive oxygen species are involved in lysophosphatidic acid-induced apoptosis in rat cerebellar granule cells. Res. Chem. Intermed. 2002, 28, 49–56. [Google Scholar] [CrossRef]
- Zhou, D.; Gang, D.; Furao, L.; Hui, W.; Qiping, Z. Purification and comparative study of bioactivities of a natural selenized polysaccharide from Ganoderma lucidum mycelia. Int. J. Biol. Macromol. 2021, 190, 101–112. [Google Scholar] [CrossRef] [PubMed]
- Yadav, A.; Singh, A.; Rawat, P.; Pal, A.; Yadav, P.; Tyagi, V.; Singh, S.K.; Sethi, A.; Singh, R.P. Investigation of corticosteroid-NSAID prodrugs for TNF-α and IL6 receptors, their characterization, single crystal XRD and DFT studies: A combined experimental and theoretical approach. J. Mol. Struct. 2024, 1296, 136851. [Google Scholar] [CrossRef]
- Zhan, Q.P.; Wang, Q.; Lin, R.G.; He, P.; Lai, F.R.; Zhang, M.M.; Wu, H. Structural characterization and immunomodulatory activity of a novel acid polysaccharide isolated from the pulp of Michx fruit. Int. J. Biol. Macromol. 2020, 145, 1080–1090. [Google Scholar] [CrossRef]
- Wang, F.; Liu, L.; Zhu, Z.; Aisa, H.A.; Xin, X. Anti-inflammatory effect and mechanism of active parts of Artemisia mongolica in LPS-induced Raw264.7 cells based on network pharmacology analysis. J. Ethnopharmacol. 2024, 321, 117509. [Google Scholar] [CrossRef]








| Levels | |||
|---|---|---|---|
| −1 | 0 | 1 | |
| Extraction temperature (°C) (A) | 75 | 80 | 85 |
| Extraction duration (min) (B) | 150 | 180 | 210 |
| Liquid/solid ratio (g/mL) (C) | 1:25 | 1:30 | 1:35 |
| Extraction times (D) | 2 | 3 | 4 |
| Runs | A: Extraction Temperature (°C) | B: Extraction Duration (min) | C: Liquid-to-Material Ratio (g/mL) | D: Extraction Times | Polysaccharide Yield (%) |
|---|---|---|---|---|---|
| 1 | 0 | 0 | 1 | −1 | 13.77 |
| 2 | 1 | 0 | 0 | −1 | 13.42 |
| 3 | 0 | 0 | 0 | 0 | 16.34 |
| 4 | 0 | 0 | 1 | 1 | 17.86 |
| 5 | 1 | 0 | 0 | 1 | 17.48 |
| 6 | 0 | 1 | 0 | 1 | 17.86 |
| 7 | −1 | 0 | 1 | 0 | 15.98 |
| 8 | 0 | 0 | 0 | 0 | 16.58 |
| 9 | 0 | 1 | −1 | 0 | 15.49 |
| 10 | −1 | 0 | −1 | 0 | 14.67 |
| 11 | 1 | 0 | −1 | 0 | 15.28 |
| 12 | 0 | 0 | 0 | 0 | 16.25 |
| 13 | 0 | 1 | 1 | 0 | 17.18 |
| 14 | 0 | 0 | 0 | 0 | 16.88 |
| 15 | 0 | −1 | −1 | 0 | 13.93 |
| 16 | 1 | 0 | 1 | 0 | 16.92 |
| 17 | −1 | 0 | 0 | −1 | 14.23 |
| 18 | 0 | 0 | −1 | −1 | 12.47 |
| 19 | 0 | 0 | 0 | 0 | 16.18 |
| 20 | −1 | 0 | 0 | 1 | 16.35 |
| 21 | 1 | 1 | 0 | 0 | 17.25 |
| 22 | −1 | −1 | 0 | 0 | 14.38 |
| 23 | 0 | 0 | −1 | 1 | 16.32 |
| 24 | 1 | −1 | 0 | 0 | 14.95 |
| 25 | 0 | −1 | 0 | 1 | 15.95 |
| 26 | 0 | −1 | 1 | 0 | 15.30 |
| 27 | 0 | −1 | 0 | −1 | 12.58 |
| 28 | −1 | 1 | 0 | 0 | 15.25 |
| 29 | 0 | 1 | 0 | −1 | 13.95 |
| Source | Sum of Squares | Sum of Squares | Mean Square | F-Value | p-Value Prob > F | Significant |
|---|---|---|---|---|---|---|
| Model | 61.95 | 14 | 4.42 | 42.33 | <0.0001 | ** |
| A: Extraction temperature | 1.64 | 1 | 1.64 | 15.72 | 0.0014 | ** |
| B: Extraction duration | 8.15 | 1 | 8.15 | 77.98 | <0.0001 | ** |
| C: Liquid-solid ratio | 6.53 | 1 | 6.53 | 62.44 | <0.0001 | ** |
| D: Extraction times | 38.16 | 1 | 38.16 | 365.09 | <0.0001 | ** |
| AB | 0.5112 | 1 | 0.5112 | 4.89 | 0.0441 | * |
| AC | 0.0272 | 1 | 0.0272 | 0.2605 | 0.6178 | —— |
| AD | 0.9409 | 1 | 0.9409 | 9.00 | 0.0095 | ** |
| BC | 0.0256 | 1 | 0.0256 | 0.2449 | 0.6284 | —— |
| BD | 0.0729 | 1 | 0.0729 | 0.6974 | 0.4177 | —— |
| CD | 0.0144 | 1 | 0.0144 | 0.1378 | 0.7161 | —— |
| A2 | 0.6663 | 1 | 0.6663 | 6.37 | 0.0243 | * |
| B2 | 2.20 | 1 | 2.20 | 21.00 | 0.0004 | ** |
| C2 | 1.28 | 1 | 1.28 | 12.25 | 0.0035 | ** |
| D2 | 4.26 | 1 | 4.26 | 40.76 | <0.0001 | ** |
| Residual | 1.46 | 14 | 0.1045 | —— | —— | —— |
| Lack of fit | 1.14 | 10 | 0.1137 | 1.33 | 0.4213 | —— |
| Pure error | 0.3267 | 4 | 0.0817 | —— | —— | —— |
| Cor. total | 63.41 | 28 | —— | —— | —— | —— |
Disclaimer/Publisher’s Note: The statements, opinions and data contained in all publications are solely those of the individual author(s) and contributor(s) and not of MDPI and/or the editor(s). MDPI and/or the editor(s) disclaim responsibility for any injury to people or property resulting from any ideas, methods, instructions or products referred to in the content. |
© 2025 by the authors. Licensee MDPI, Basel, Switzerland. This article is an open access article distributed under the terms and conditions of the Creative Commons Attribution (CC BY) license (https://creativecommons.org/licenses/by/4.0/).
Share and Cite
Chen, Y.; Zhao, Z.; Xu, Y.; Li, F.; Zhan, Q. Immune Enhancement Effects and Extraction Optimization of Polysaccharides from Peristrophe roxburghiana. Antioxidants 2025, 14, 1072. https://doi.org/10.3390/antiox14091072
Chen Y, Zhao Z, Xu Y, Li F, Zhan Q. Immune Enhancement Effects and Extraction Optimization of Polysaccharides from Peristrophe roxburghiana. Antioxidants. 2025; 14(9):1072. https://doi.org/10.3390/antiox14091072
Chicago/Turabian StyleChen, Yong, Zilong Zhao, Yanyan Xu, Fuyan Li, and Qiping Zhan. 2025. "Immune Enhancement Effects and Extraction Optimization of Polysaccharides from Peristrophe roxburghiana" Antioxidants 14, no. 9: 1072. https://doi.org/10.3390/antiox14091072
APA StyleChen, Y., Zhao, Z., Xu, Y., Li, F., & Zhan, Q. (2025). Immune Enhancement Effects and Extraction Optimization of Polysaccharides from Peristrophe roxburghiana. Antioxidants, 14(9), 1072. https://doi.org/10.3390/antiox14091072

