Emerging Trends in Green Extraction Techniques, Chemical Modifications, and Drug Delivery Systems for Resveratrol
Abstract
1. Introduction
2. Information Sources
3. Environmentally Friendly Extraction Methods for Resveratrol
| Extraction Method | RSV Yield (mg/g) | Purity/Selectivity | Advantages | Limitations | References |
|---|---|---|---|---|---|
| Ultrasound-Assisted Extraction (UAE) | 1.05–2.90 | High (selective for phenolics) |
|
| Munoz-Realpe et al. [31]; Zhou et al. [32]; Jin et al. [33] |
| Microwave-Assisted Extraction (MAE) | 1.32–2.90 | High (efficient, minimal degradation) |
|
| Siller-Sánchez et al. [29]; Munoz-Realpe et al. [31] |
| Supercritical Fluid Extraction (SFE-CO2) | 1.07 | Very high (solvent-free, minimal refining) |
|
| Zhabayeva et al. [35]; Tuhanioglu et al. [36] |
| Enzymatic Extraction | 2.90–19.53 | High (aglycone form enrichment) |
|
| Averilla et al. [37]; Ping et al. [38] |
| Ionic Liquid (IL) Extraction | 2.90 ± 0.15 | High (tunable selectivity) |
|
| Zhao et al. [39]; Dimitrijević et al. [40] |
| Deep Eutectic Solvent (DES) Extraction | 12.26–19.53 | Very high (100% conversion in optimal cases) |
|
| Sun et al. [41]; Shaohua Li et al. [42]; Wang et al. [43]; Machado et al. [44]; Petit et al. [45] |
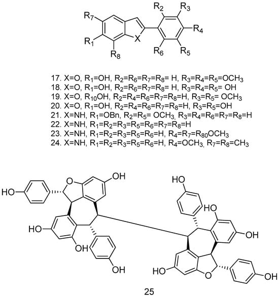
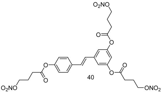
4. Resveratrol Derivatives: Synthesis and Their Biological Activities

5. Advanced Drug Delivery Strategies for Resveratrol
Author Contributions
Funding
Conflicts of Interest
References
- Meng, X.; Zhou, J.; Zhao, C.N.; Gan, R.Y.; Li, H.B. Health Benefits and Molecular Mechanisms of Resveratrol: A Narrative Review. Foods 2020, 9, 340. [Google Scholar] [CrossRef] [PubMed]
- Zhang, L.X.; Li, C.X.; Kakar, M.U.; Khan, M.S.; Wu, P.F.; Amir, R.M.; Dai, D.F.; Naveed, M.; Li, Q.Y.; Saeed, M.; et al. Resveratrol (RV): A pharmacological review and call for further research. Biomed. Pharmacother. 2021, 143, 112164. [Google Scholar] [CrossRef] [PubMed]
- Lappano, R.; Rosano, C.; Madeo, A.; Albanito, L.; Plastina, P.; Gabriele, B.; Forti, L.; Stivala, L.A.; Iacopetta, D.; Dolce, V.; et al. Structure-activity relationships of resveratrol and derivatives in breast cancer cells. Mol. Nutr. Food Res. 2009, 53, 845–858. [Google Scholar] [CrossRef] [PubMed]
- Panzella, L.; Moccia, F.; Nasti, R.; Marzorati, S.; Verotta, L.; Napolitano, A. Bioactive phenolic compounds from agri-food wastes: An update on green and sustainable extraction methodologies. Front. Nutr. 2020, 7, 60. [Google Scholar] [CrossRef]
- Akash Vikal, A.; Maurya, R.; Bhowmik, S.; Khare, S.; Raikwar, S.; Patel, P.; Das Kurmi, B. Resveratrol: A comprehensive review of its multifaceted health benefits, mechanisms of action, and potential therapeutic applications in chronic disease. Pharmacol. Res. Nat. Prod. 2024, 3, 100047. [Google Scholar] [CrossRef]
- Bozorgi, A.; Haghighi, Z.; Khazaei, M.R.; Bozorgi, M.; Khazaei, M. The anti-cancer effect of chitosan/resveratrol polymeric nanocomplex against triple-negative breast cancer; an in vitro assessment. IET Nanobiotechnol. 2023, 17, 91–102. [Google Scholar] [CrossRef]
- Gagliardi, A.; Giuliano, E.; Venkateswararao, E.; Fresta, M.; Bulotta, S.; Awasthi, V.; Cosco, D. Biodegradable polymeric nanoparticles for drug delivery to solid tumors. Front. Pharmacol. 2021, 12, 601626–6016540. [Google Scholar] [CrossRef]
- Neves, A.R.; Queiroz, J.F.; Reis, S. Brain-targeted delivery of resveratrol using solid lipid nanoparticles functionalized with apolipoprotein E. J. Nanobiotechnol. 2016, 14, 27–38. [Google Scholar] [CrossRef]
- Ahmad, J.; Ahamad, J.; Algahtani, M.S.; Garg, A.; Shahzad, N.; Ahmad, M.Z.; Imam, S.S. Nanotechnology-mediated delivery of resveratrol as promising strategy to improve therapeutic efficacy in triple negative breast cancer (TNBC): Progress and promises. Expert Opin. Drug Deliv. 2024, 21, 229–244. [Google Scholar] [CrossRef]
- Siller-Sánchez, A.; Luna-Sánchez, K.A.; Bautista-Hernández, I.; Chávez-González, M.L. Use of Grape Pomace from the Wine Industry for the Extraction of Valuable Compounds with potential use in the Food Industry. Curr. Food Sci. Tech. Rep. 2024, 2, 7–16. [Google Scholar] [CrossRef]
- Jiang, X.; Zuo, L.; Gao, S.; Yang, Q.; Li, Y.; Chen, Y.; Xie, X.; Peng, C. Green Production Pathways, Instability, and Stability of Resveratrol: A Systematic Review. J. Food Biochem. 2025, 8210896. [Google Scholar] [CrossRef]
- Saesue, K.; Thanomrak, P.; Prompan, W.; Punan, W.; Khorana, N.; Juprasert, W.; Rungsang, T.; Thong-on, P.; Srivilai, J. Development of a Ready-to-Use Oxyresveratrol-Enriched Extract from Artocarpus lakoocha Roxb. Using Greener Solvents and Deep Eutectic Solvents for a Whitening Agent. Cosmetics 2024, 11, 58. [Google Scholar] [CrossRef]
- Ispiryan, A.; Kraujutiene, I.; Viskelis, J. Retaining Resveratrol Content in Berries and Berry Products with Agricultural and Processing Techniques: Review. Processes 2024, 12, 1216. [Google Scholar] [CrossRef]
- Brunetti, L.; Leuci, R.; Colonna, M.A.; Carrieri, R.; Celentano, F.E.; Bozzo, G.; Loiodice, F.; Selvaggi, M.; Tufarelli, V.; Piemontese, L. Food Industry Byproducts as Starting Material for Innovative, Green Feed Formulation: A Sustainable Alternative for Poultry Feeding. Molecules 2022, 27, 4735. [Google Scholar] [CrossRef]
- Dikmetas, D.N.; Yenipazar, H.; Karaca, A.C. Recent advances in encapsulation of resveratrol for enhanced delivery. Food Chem. 2024, 460, 140475. [Google Scholar] [CrossRef]
- Koc, Y.T.; Dogan, S.; Karadayi, M. Potential using of resveratrol and its derivatives in medicine. Eurasian J. Med. 2024, 56, 136–141. [Google Scholar] [CrossRef]
- Tian, B.; Liu, J. Resveratrol: A review of plant sources, synthesis, stability, modifcation and food application. J. Sci. Food Agric. 2020, 100, 1392–1404. [Google Scholar] [CrossRef]
- Oliveira Júnior, F.D.; Cunha, R.L. Soy protein-based delivery systems as carriers of trans-resveratrol: Bio-accessibility using diferent in vitro digestion models. Food Res. Int. 2022, 161, 111837. [Google Scholar] [CrossRef]
- Contreras, M.d.M.; Feriani, A.; Gómez-Cruz, I.; Hfaiedh, N.; Harrath, A.H.; Romero, I.; Castro, E.; Tlili, N. Grapevine shoot extract rich in trans-resveratrol and trans-ε-viniferin: Evaluation of their potential use for cardiac health. Foods 2023, 12, 4351. [Google Scholar] [CrossRef]
- Căpruciu, R.; Gheorghiu, C.N. Methods for Synthesis and Extraction of Resveratrol from Grapevine: Challenges and Advances in Compound Identification and Analysis. Foods 2025, 14, 1091. [Google Scholar] [CrossRef]
- Turgut, S.S.; Feyissa, A.H.; Baltacıoglu, C.; Küçüköner, E.; Karacabey, E. Extraction simulation of porous media by CFD: Recovery of trans-resveratrol from grape cane by pressurised low polarity water system. Chem. Eng. Proc.-Process Intensif. 2020, 148, 107779. [Google Scholar] [CrossRef]
- Herrero, M.; Ibañez, E. Green extraction processes, biorefineries and sustainability: Recovery of high added-value products from natural sources. J. Supercrit. Fluids 2018, 134, 252–259. [Google Scholar] [CrossRef]
- Makris, D.P.; Lalas, S. Glycerol and Glycerol-Based Deep Eutectic Mixtures as Emerging Green Solvents for Polyphenol Extraction:The Evidence So Far. Molecules 2020, 25, 5842. [Google Scholar] [CrossRef] [PubMed]
- Lu, W.; Liu, S. Choline chloride–based deep eutectic solvents (Ch-DESs) as promising green solvents for phenolic compounds extraction from bioresources: State-of-the-art, prospects, and challenges. Biomass Convers. Biorefinery 2020, 12, 2949–2962. [Google Scholar] [CrossRef]
- Ferreira-Santos, P.; Zanuso, E.; Genisheva, Z.; Rocha, C.M.R.; Teixeira, J.A. Green and sustainable valorization of bioactive phenolic compounds from pinus by-products. Molecules 2020, 25, 2931. [Google Scholar] [CrossRef]
- Fernandes, A.; Cruz-Lopes, L.; Esteves, B.; Evtuguin, D.V. Microwaves and ultrasound as emerging techniques for lignocellulosic materials. Materials 2023, 16, 7351. [Google Scholar] [CrossRef]
- Bouchez, A.; Vauchel, P.; Périno, S.; Dimitrov, K. Multi-criteria optimization including environmental impacts of a microwave-assisted extraction of polyphenols and comparison with an ultrasound-assisted extraction process. Foods 2023, 12, 1750. [Google Scholar] [CrossRef]
- Lefebvre, T.; Destandau, E.; Lesellier, E. Selective extraction of bioactive compounds from plants using recent extraction techniques: A review. J. Chromatogr. A 2021, 1635, 46770. [Google Scholar] [CrossRef]
- Li, W.; Yuan, H.; Liu, Y.; Wang, B.; Xu, X.; Xu, X.; Hussain, D.; Ma, L.; Chen, D. Current analytical strategies for the determination of resveratrol in foods. Food Chem. 2024, 431, 137182. [Google Scholar] [CrossRef]
- Chemat, F.; Rombaut, N.; Sicaire, A.-G.; Meullemiestre, A.; Fabiano-Tixier, A.-S.; Abert-Vian, M. Ultrasound assisted extraction of food and natural products. Mechanisms, techniques, combinations, protocols and applications. A review. Ultrason. Sonochem. 2017, 34, 540–560. [Google Scholar] [CrossRef]
- Muñoz-Realpe, C.C.; del Mar Contreras, M.; Vidal, A.M.; Castro, E.; Romero, I. Green extraction strategies to obtain bioactive compounds from ‘Charelo’ vine shoots. Sustain. Chem. Pharm. 2025, 43, 101899. [Google Scholar] [CrossRef]
- Zhou, L.; Jiang, B.; Zhang, T.; Li, S. Ultrasound-assisted aqueous two-phase extraction of resveratrol from the enzymatic hydrolysates of Polygonum cuspidatum. Food Biosci. 2019, 31, 100442. [Google Scholar] [CrossRef]
- Jin, S.; Gao, M.; Kong, W.; Yang, B.; Kuang, H.; Yang, B.; Fu, Y.; Cheng, Y.; Li, H. Enhanced and sustainable pretreatment for bioconversion and extraction of resveratrol from peanut skin using ultrasound-assisted surfactant aqueous system with microbial consortia immobilized on cellulose. Biotech 2020, 10, 293. [Google Scholar] [CrossRef]
- Aili, Q.; Cui, D.; Li, Y.; Zhige, W.; Yongping, W.; Minfen, Y.; Dongbin, L.; Xiao, R.; Qiang, W. Composing functional food from agro-forest wastes: Selectively extracting bioactive compounds using supercritical fluid extraction. Food Chem. 2024, 455, 139848. [Google Scholar] [CrossRef]
- Zhabayeva, A.; Velyamov, M.; Nakypbekova, N.; Dolgikh, S.; Adekenov, S. Supercritical fluid extraction in resveratrol isolation technology. Eurasian Chem. Technol. J. 2021, 23, 119–124. [Google Scholar] [CrossRef]
- Tuhanioglu, A.; Kaur, S.; Laquete De Barros, G.; Ahmadzadeh, S.; Threlfall, R.; Ubeyitogullari, A. Optimizing ethanol–water cosolvent systems for green supercritical carbon dioxide extraction of muscadine grape pomace polyphenols. ACS Omega 2025, 10, 4860–4869. [Google Scholar] [CrossRef]
- Averilla, J.N.; Oh, J.; Wu, Z.; Liu, K.H.; Jang, C.H.; Kim, H.J.; Kim, J.S.; Kim, J.S. Improved extraction of resveratrol and antioxidants from grape peel using heat and enzymatic treatments. J. Sci. Food Agric. 2019, 99, 4043–4053. [Google Scholar] [CrossRef]
- Ping, Y.; Yang, Y.; Gao, H.; Liu, X.; Pan, J.; Zhang, K.; Gu, H.; Tian, H.; Yang, L. Natural surfactant used as an additive in the enzymatic-homogenate synergistic extraction of piceatannol, resveratrol, and myricetin from the myrtle (Rhodomyrtus tomentosa) fruit. Food Biosci. 2024, 62, 105224. [Google Scholar] [CrossRef]
- Zhao, H.; Wang, J.; Han, Y.; Wang, X.; Sheng, Z. Optimization of process conditions for ionic liquid-based ultrasound-enzyme-assisted extraction of resveratrol from Polygonum Cuspidatum. Ultrason. Sonochem. 2024, 108, 106973. [Google Scholar] [CrossRef]
- Dimitrijević, A.; Marić, S.; Jocić, A.; Tekić, D.; Mušović, J.; Amaral, J.S. Green extraction strategy using bio-based aqueous biphasic systems for polyphenol valorization from grape by-product. Foods 2024, 13, 954. [Google Scholar] [CrossRef]
- Sun, B.; Zheng, Y.L.; Yang, S.K.; Zhang, J.R.; Cheng, X.Y.; Ghiladi, R.; Ma, Z.; Wang, J.; Deng, W.W. One-pot method based on deep eutectic solvent for extraction and conversion of polydatin to resveratrol from Polygonum cuspidatum. Food Chem. 2021, 343, 128498. [Google Scholar] [CrossRef] [PubMed]
- Li, S.; Zhang, C.; Yang, R.; Zhang, Y.; Zheng, Y.; Huang, M.; Chen, D. Resveratrol production from Polygonum cuspidatum by one-pot green extraction and bioprocessing of polydatin. Ind. Crop. Prod. 2024, 212, 118386. [Google Scholar] [CrossRef]
- Wang, J.Y.; Yu, H.; Li, R.Y.; Wang, R.Q.; Wang, R.J.; Zhang, Z.R.; Jiang, J.Q. Green and efficient extraction of polyphenols from Aronia melanocarpa using deep eutectic solvents. Microchem. J. 2024, 207, 112228. [Google Scholar] [CrossRef]
- de O.X. Machado, T.; Portugal, I.; de A.C. Kodel, H.; Fathi, A.; Fathi, F.; Oliveira, M.B.P.P.; Dariva, C.; Souto, E.B. Pressurized liquid extraction as an innovative high-yield greener technique for phenolic compounds recovery from grape pomace. Sustain. Chem. Pharm. 2024, 40, 101635. [Google Scholar]
- Petit, E.; Rouger, C.; Griffault, E.; Ferrer, A.; Renouf, E.; Cluzet, S. Optimization of polyphenols extraction from grapevine canes using natural deep eutectic solvents. Biomass Conv. Bioref. 2024, 14, 30545–30557. [Google Scholar] [CrossRef]
- Abdel-Monem, M.; Walash, M.; Kamal El-Deen, A. In-Syringe Vortex-Assisted Liquid–Liquid Microextraction Based on Natural Deep Eutectic Solvent for Simultaneous Determination of the Two Anticancer Polyphenols Chrysin and Resveratrol. Phytochem. Anal. 2025, 36, 693–703. [Google Scholar] [CrossRef]
- Khamis, M.M.; Moselhy, S.S.; Rihan, S. Role of trans-resveratrol in ameliorating biochemical and molecular alterations in obese rats induced by a high fructose/fat diet. Sci. Rep. 2025, 15, 7879. [Google Scholar] [CrossRef]
- Wang, R.; Fan, R.; Meng, T.; Wang, L. Exploration of the inhibitory mechanisms of trans-polydatin/resveratrol on α-glucosidase by multi-spectroscopic analysis, in silico docking and molecular dynamics simulation, Spectrochim. Acta Part A Mol. Biomol. Spectrosc. 2023, 299, 122866. [Google Scholar] [CrossRef]
- La Spina, M.; Sansevero, G.; Biasutto, L.; Zoratti, M.; Peruzzo, R.; Berardi, N.; Sale, A.; Azzolini, M. Pterostilbene Improves Cognitive Performance in Aged Rats: An in Vivo Study. Cell Physiol. Biochem. 2019, 52, 232–239. [Google Scholar]
- Szczepańska, P.; Rychlicka, M.; Groborz, S.; Kruszyńska, A.; Ledesma-Amaro, R.; Rapak, A.; Gliszczyńska, A.; Lazar, Z. Studies on the Anticancer and Antioxidant Activities of Resveratrol and Long-Chain Fatty Acid Esters. Int. J. Mol. Sci. 2023, 24, 7167. [Google Scholar] [CrossRef]
- Chong, Y.; Lee, H.L.; Song, J.; Lee, Y.; Kim, B.-J.; Mok, H.; Ahn, J.-H. Biosynthesis of resveratrol derivatives and evaluation of their anti-inflammatory activity. Appl. Biol. Chem. 2021, 64, 33. [Google Scholar] [CrossRef]
- Arbo, B.D.; André-Miral, C.; Nasre-Nasser, R.G.; Schimith, L.E.; Santos, M.G.; Costa-Silva, D.; Muccillo-Baisch, A.L.; Hort, M.A. Resveratrol Derivatives as Potential Treatments for Alzheimer’s and Parkinson’s Disease. Front. Aging Neurosci. 2020, 12, 103. [Google Scholar] [CrossRef] [PubMed]
- van den Brand, A.D.; Villevoye, J.; Nijmeijer, S.M.; van den Berg, M.; van Duursen, M.B.M. Anti-tumor properties of methoxylated analogues of resveratrol in malignant MCF-7 but not in non-tumorigenic MCF-10A mammary epithelial cell lines. Toxicology 2019, 422, 35–43. [Google Scholar] [CrossRef] [PubMed]
- Grau, L.; Soucek, R.; Pujol, M.D. Resveratrol derivatives: Synthesis and their biological activities. Eur. J. Med. Chem. 2023, 246, 114962. [Google Scholar] [CrossRef]
- Fragopoulou, E.; Gkotsi, K.; Petsini, F.; Gioti, K.; Kalampaliki, A.D.; Lambrinidis, G.; Kostakis, I.K.; Tenta, R. Synthesis and biological evaluation of resveratrol methoxy derivatives. Molecules 2023, 28, 5547. [Google Scholar] [CrossRef]
- Zetterström, C.E.; Hasselgren, J.; Salin, O.; Davis, R.A.; Quinn, R.J.; Sundin, C.; Elofsson, M. The resveratrol tetramer (-)-hopeaphenol inhibits type III secretion in the gram-negative pathogens yersinia pseudotuberculosis and pseudomonas aeruginosa. PLoS ONE 2013, 8, e81969. [Google Scholar] [CrossRef]
- de Vries, K.; Strydom, M.; Steenkamp, V. A brief updated review of advances to enhance resveratrol’s bioavailability. Molecules 2021, 26, 4367. [Google Scholar] [CrossRef]
- Xin, M.; Wu, H.; Du, Y.; Liu, S.; Zhao, F.; Mou, X. Synthesis and biological evaluation of resveratrol amide derivatives as selective COX-2 inhibitors. Chem. Biol. Interact. 2023, 380, 110522. [Google Scholar] [CrossRef]
- Wang, Y.; Long, L.; Zhuo, L.; Zhang, H.; Luo, T.; Deng, J.; Wang, Y.; Li, Z.; Wang, Z.; Peng, X. Design, synthesis, and biological evaluation of 1-styrenyl isoquinoline derivatives for anti-hepatocellular carcinoma activity and effect on mitochondria. Eur. J. Med. Chem. 2023, 256, 115420. [Google Scholar] [CrossRef]
- Li, T.; Qu, Y.; Hu, X.; Liang, M.; Guo, Q.; Wang, Q. Green synthesis and structure characterization of resveratrol conjugated linoleate. Food Chem. 2023, 422, 136151. [Google Scholar] [CrossRef]
- Kmetič, I.; Murati, T.; Kovač, V.; Jurčević, I.L.; Šimić, B.; Radošević, K.; Miletić, M. Novel ferrocene-containing triacyl derivative of resveratrol improves viability parameters in ovary cells. J. Appl. Toxicol. 2023, 43, 1159–1168. [Google Scholar] [CrossRef] [PubMed]
- Ciccone, L.; Piragine, E.; Brogi, S.; Camodeca, C.; Fucci, R.; Calderone, V.; Nencetti, S.; Martelli, A.; Orlandini, E. Resveratrol-like compounds as SIRT1 activators. Int. J. Mol. Sci. 2022, 23, 15105. [Google Scholar] [CrossRef] [PubMed]
- Li, C.; Xu, X.; Wang, X.J.; Pan, Y. Imine resveratrol analogues: Molecular design, Nrf2 activation and SAR analysis. PLoS ONE 2014, 9, e101455. [Google Scholar] [CrossRef]
- Qiu, H.; Tang, Z.; Ma, W.; Yuan, J.; Li, W. Total synthesis of four natural trans-stilbene O-glucosides. Tetrahedron 2025, 171, 134417. [Google Scholar] [CrossRef]
- Yang, M.; Jin, J.; Yi, J.; Yu, X.; Yuan, C.M.; Zhou, K. Dimethylallylated stilbenoids by chemo-selective prenyltransferases and their α-glucosidase inhibitory effects. Bioorg. Chem. 2025, 157, 108261. [Google Scholar] [CrossRef]
- Hua, W.; Li, F.; Yang, P.; Lu, Z.; Liu, Y.; Zhong, B.; Shen, B. Resveratrol derivative modified Ru(II) complexes: Synthesis, characterization, in vitro and in vivo anticancer study. J. Inorg. Biochem. 2025, 267, 112873. [Google Scholar] [CrossRef]
- Li, D.; Zhang, Y.; Qiao, X.; Sun, S. Effects of substitution sites and acyl chain length on antioxidant capacity and bioaccessibility of high-active resveratrol monoesters in vitro. Food Chem. 2025, 480, 143845. [Google Scholar] [CrossRef]
- Meng, Q.; Mi, Y.; Xu, L.; Liu, Y.; Liang, D.; Wang, Y.; Wang, Y.; Liu, Y.; Chen, Y.; Hou, Y. A quinolinyl analog of resveratrol improves neuronal damage after ischemic stroke by promoting Parkin-mediated mitophagy. Chinese J. Nat. Med. 2025, 23, 214–224. [Google Scholar] [CrossRef]
- Li, J.; Chuljerm, H.; Settakorn, K.; Xu, H.; Ma, Y.; Korsieporn, W.; Paradee, N.; Srichairatanakool, S.; Koonyosying, P. A novel synthetic compound, deferiprone–resveratrol hybrid (DFP-RVT), promotes hepatoprotective effects and ameliorates iron-induced oxidative stress in iron-overloaded β-thalassemic mice. Biomed. Pharmacother. 2024, 180, 117570. [Google Scholar] [CrossRef]
- Subramanian, A.T.T.; Kumarasamy, V.; Sekar, M.; Subramaniyan, V.; Wong, L.S. Design, Synthesis, and Invitro Pharmacological Evaluation of Novel Resveratrol Surrogate Molecules against Alzheimer’s Disease. Chem. Biodivers. 2024, 21, e202401430. [Google Scholar] [CrossRef]
- Sviben, M.; Odak, I.; Barić, D.; Mlakić, M.; Horváth, O.; Fodor, L.; Roca, S.; Šagud, I.; Škorić, I. Resveratrol-Based Carbamates as Selective Butyrylcholinesterase Inhibitors: Design, Synthesis, Computational Study and Biometal Complexation Capability. Molecules 2025, 30, 316. [Google Scholar] [CrossRef] [PubMed]
- Valdés-Sánchez, L.; Moshtaghion, S.M.; Caballano-Infantes, E.; Peñalver, P.; Rodríguez-Ruiz, R.; González-Alfonso, J.L.; Plou, F.J.; Desmet, T.; Morales, J.C.; Díaz-Corrales, F.J. Synthesis and Evaluation of Glucosyl-, Acyl- and Silyl- Resveratrol Derivatives as Retinoprotective Agents: Piceid Octanoate Notably Delays Photoreceptor Degeneration in a Retinitis Pigmentosa Mouse Model. Pharmaceuticals 2024, 17, 1482. [Google Scholar] [CrossRef] [PubMed]
- Guglielmini, G.; Berardi, E.; Messina, F.; Marcotullio, M.C.; Gresele, P. Effects of 3,5,4′-tri-[4-(nitrooxy)butanoyl]oxy resveratrol, a new nitric oxide-releasing derivative of resveratrol, on platelet activation. Pharmacol. Rep. 2025, 77, 729–738. [Google Scholar] [CrossRef] [PubMed]
- Ioniţă, S.; Pătrașcu, M.; Soare, E.M.; Lincu, D.; Atkinson, I.; Rusu, A.; Pop, M.M.; Iordache, C.; Ușurelu, C.-D.; Baltac, A.S.; et al. Rapid Synthesis and Evaluation of Resveratrol-Piperazine Cocrystals by Ultrasound and Microwave Methods. Pharm. Res. 2024, 41, 1843–1853. [Google Scholar] [CrossRef]
- Dhiman, N.; Awasthi, R.; Sharma, B.; Kharkwal, H.; Kulkarni, G.T. Lipid Nanoparticles as Carriers for Bioactive Delivery. Front. Chem. 2021, 9, 580118. [Google Scholar] [CrossRef]
- Cruz, A.T.; Di Filippo, L.D.; Duarte, J.L.; Guillot, A.J.; Pérez-García, A.; Melero, A.; Chorilli, M. Solid Lipid Nanoparticles for Skin Delivery of Trans-Resveratrol: Impact of Preparation Methods on Formulation Stability. Cosmetics 2025, 12, 7. [Google Scholar] [CrossRef]
- Das, J.; Lahan, M.; Bharali, A.; Ghose, S.; Sahu, B.P.; Laloo, D.; Biswas, N. Enhancing resveratrol pharmacokinetics and cytotoxicity in ovarian cancer cells via nanostructured lipid carriers. J. Dispers. Sci. Technol. 2024, 1, 12. [Google Scholar] [CrossRef]
- Qu, J.; Zhang, Y.; Song, C.; Wang, Y. Effects of resveratrol-loaded dendrimer nanomedicine on hepatocellular carcinoma cells. Front. Immunol. 2024, 15, 1500998. [Google Scholar] [CrossRef]
- Real, D.A.; Bolaños, K.; Priotti, J.; Yutronic, N.; Kogan, M.J.; Sierpe, R.; Donoso-González, O.O. Cyclodextrin-Modified Nanomaterials for Drug Delivery: Classification and Advances in Controlled Release and Bioavailability. Pharmaceutics 2021, 13, 2131. [Google Scholar] [CrossRef]
- Sarabia-Vallejo, Á.; Caja, M.D.M.; Olives, A.I.; Martín, M.A.; Menéndez, J.C. Cyclodextrin Inclusion Complexes for Improved Drug Bioavailability and Activity: Synthetic and Analytical Aspects. Pharmaceutics 2023, 15, 2345. [Google Scholar] [CrossRef]
- Tsunoda, C.; Hasegawa, K.; Hiroshige, R.; Kasai, T.; Yokoyama, H.; Goto, S. Effect of cyclodextrin complex formation on solubility changes of each drug due to intermolecular interactions between acidic NSAIDs and basic H2 blockers. Mol. Pharm. 2023, 20, 5032–5042. [Google Scholar] [CrossRef] [PubMed]
- Ghitman, J.; Voicu, S.I. Controlled drug delivery mediated by cyclodextrin-based supramolecular self-assembled carriers: From design to clinical performances. Carbohydr. Polym. Technol. Appl. 2023, 5, 100266. [Google Scholar] [CrossRef]
- Nicolaescu, O.E.; Belu, I.; Mocanu, A.G.; Manda, V.C.; Rău, G.; Pîrvu, A.S.; Ionescu, C.; Ciulu-Costinescu, F.; Popescu, M.; Ciocîlteu, M.V. Cyclodextrins: Enhancing Drug Delivery, Solubility and Bioavailability for Modern Therapeutics. Pharmaceutics 2025, 17, 288. [Google Scholar] [CrossRef]
- Yu, X.; Liu, S.; Li, Y.; Yuan, S. Molecular Insights into the Controlled Release Process of Cyclodextrin-resveratrol Inclusion Complexes in the Stratum Corneum. Coll. Surf. B Biointerf. 2025, 1, 114725. [Google Scholar] [CrossRef]
- Radeva, L.; Yordanov, Y.; Spassova, I.; Kovacheva, D.; Tibi, I.P.E.; Zaharieva, M.M.; Kaleva, M.; Najdenski, H.; Petrov, P.D.; Tzankova, V.; et al. Incorporation of Resveratrol-Hydroxypropyl-β-Cyclodextrin Complexes into Hydrogel Formulation for Wound Treatment. Gels 2024, 10, 346. [Google Scholar] [CrossRef]
- Sanna, V.; Siddiqui, I.A.; Sechi, M.; Mukhtar, H. Resveratrol-loaded nanoparticles based on poly(epsilon-caprolactone) and poly(D,L-lactic-co-glycolic acid)-poly(ethylene glycol) blend for prostate cancer treatment. Mol. Pharm. 2013, 10, 3871–3881. [Google Scholar] [CrossRef]
- Zu, Y.; Zhang, Y.; Wang, W.; Zhao, X.; Han, X.; Wang, K.; Ge, Y. Preparation and in vitro/in vivo evaluation of resveratrol-loaded carboxymethyl chitosan nanoparticles. Drug Deliv. 2016, 23, 981–991. [Google Scholar] [CrossRef]
- Huang, M.; Liang, C.; Tan, C.; Huang, S.; Ying, R.; Wang, Y.; Wang, Z.; Zhang, Y. Liposome co-encapsulation as a strategy for the delivery of curcumin and resveratrol. Food Funct. 2019, 10, 6447–6458. [Google Scholar] [CrossRef]
- Lombardo, D.; Kiselev, M.A. Methods of liposomes preparation: Formation and control factors of versatile nanocarriers for biomedical and nanomedicine application. Pharmaceutics 2022, 14, 543. [Google Scholar] [CrossRef]
- Ali, M.; Benfante, V.; Di Raimondo, D.; Salvaggio, G.; Tuttolomondo, A.; Comelli, A. Recent developments in nanoparticle formulations for resveratrol encapsulation as an anticancer agent. Pharmaceuticals 2024, 17, 126. [Google Scholar] [CrossRef]
- Zhao, X.; Bai, J.; Yang, W. Stimuli-responsive nanocarriers for therapeutic applications in cancer. Cancer Biol. Med. 2021, 18, 319–335. [Google Scholar] [CrossRef] [PubMed]
- Tian, H.; Zhang, T.; Qin, S.; Huang, Z.; Zhou, L.; Shi, J.; Nice, E.C.; Xie, N.; Huang, C.; Shen, Z. Enhancing the therapeutic efficacy of nanoparticles for cancer treatment using versatile targeted strategies. J. Hematol. Oncol. 2022, 15, 132–160. [Google Scholar] [CrossRef] [PubMed]
- Zheng, Q.; Cheng, W.; Zhang, X.; Shao, R.; Li, Z. A pH-induced reversible assembly system with resveratrol-controllable loading and release for enhanced tumor-targeting chemotherapy. Nanoscale Res. Lett. 2019, 14, 1–10. [Google Scholar] [CrossRef] [PubMed]
- Amin, M.; Huang, W.; Seynhaeve, A.L.B.; Ten Hagen, T.L.M. Hyperthermia and temperature-sensitive nanomaterials for spatio temporal drug delivery to solid tumors. Pharmaceutics 2020, 12, 1007. [Google Scholar] [CrossRef]
- De Luca, I.; Di Cristo, F.; Conte, R.; Peluso, G.; Cerruti, P.; Calarco, A. In-Situ Thermoresponsive hydrogel containing resveratrol-loaded nanoparticles as a localized drug delivery platform for dry eye disease. Antioxidants 2023, 12, 993. [Google Scholar] [CrossRef]
- Fang, X.; Hu, J.H.; Hu, Q.Y.; Li, H.; Sun, Z.J.; Xu, Z.; Zhang, L. ROS-responsive resveratrol-loaded cyclodextrin nanomicelles reduce inflammatory osteolysis. Coll. Surf. B Biointerf. 2022, 219, 112819–112831. [Google Scholar] [CrossRef]
- Abbas, H.; Refai, H.; El Sayed, N.; Rashed, L.A.; Mousa, M.R.; Zewail, M. Superparamagnetic iron oxide loaded chitosan coated bilosomes for magnetic nose to brain targeting of resveratrol. Int. J. Pharm. 2021, 610, 121244–121259. [Google Scholar] [CrossRef]
- Liping, Y.; Jian, H.; Zhenchao, T.; Yan, Z.; Jing, Y.; Yangyang, Z.; Liting, Q. GSH-responsive poly-resveratrol based nanoparticles for effective drug delivery and reversing multidrug resistance. Drug Deliv. 2022, 29, 229–237. [Google Scholar] [CrossRef]
- Lin, J.; Chen, Y.; Huang, Y.; Liu, Z.; Zhang, Y.; Rao, Y.; Zhang, Y.; Zhou, J.; Chen, H. Biocompatible, Bacteria-Targeting Resveratrol Nanoparticles Fabricated by Mannich Molecular Condensation for Accelerating Infected Wound Healing. J. Nanobiotechnol. 2022, 20, 1. [Google Scholar]
- Jaiswal, A.; Dudhe, R.; Sharma, P.K.; Gupta, G.; Kesharwani, R.K.; Misra, A.; Gupta, S.; Asthana, S.; Trivedi, R.; Barthwal, M.K.; et al. In Vivo Evaluation of the Safety and Efficacy of a Novel Resveratrol Nanoemulsion for the Treatment of Experimental Autoimmune Encephalomyelitis. J. Neuroinflamm. 2017, 14, 1. [Google Scholar]
- Dina, M.S.; Shahriar, S.; Rahman, M.M.; Islam, M.S.; Sarkar, M.M.A.; Islam, M.D.; Haq, M.M. Resveratrol-Loaded PLGA Nanoparticles for Periodontitis Treatment: In Vitro and In Vivo Evaluation. J. Biomed. Mater. Res. Part A 2018, 106, 1674. [Google Scholar]
- Conte, R.; De Luca, I.; Valentino, A.; Cerruti, P.; Pedram, P.; Cabrera-Barjas, G.; Moeini, A.; Calarco, A. Hyaluronic acid hydrogel containing resveratrol-loaded chitosan nanoparticles as an adjuvant in atopic dermatitis treatment. J. Funct. Biomater. 2023, 14, 82. [Google Scholar] [CrossRef] [PubMed]
- Radeva, L.; Yoncheva, K. Resveratrol—A Promising Therapeutic Agent with Problematic Properties. Pharmaceutics 2025, 17, 134. [Google Scholar] [CrossRef]

















Disclaimer/Publisher’s Note: The statements, opinions and data contained in all publications are solely those of the individual author(s) and contributor(s) and not of MDPI and/or the editor(s). MDPI and/or the editor(s) disclaim responsibility for any injury to people or property resulting from any ideas, methods, instructions or products referred to in the content. |
© 2025 by the authors. Licensee MDPI, Basel, Switzerland. This article is an open access article distributed under the terms and conditions of the Creative Commons Attribution (CC BY) license (https://creativecommons.org/licenses/by/4.0/).
Share and Cite
Trombino, S.; Cassano, R.; Di Gioia, M.L.; Aiello, F. Emerging Trends in Green Extraction Techniques, Chemical Modifications, and Drug Delivery Systems for Resveratrol. Antioxidants 2025, 14, 654. https://doi.org/10.3390/antiox14060654
Trombino S, Cassano R, Di Gioia ML, Aiello F. Emerging Trends in Green Extraction Techniques, Chemical Modifications, and Drug Delivery Systems for Resveratrol. Antioxidants. 2025; 14(6):654. https://doi.org/10.3390/antiox14060654
Chicago/Turabian StyleTrombino, Sonia, Roberta Cassano, Maria Luisa Di Gioia, and Francesca Aiello. 2025. "Emerging Trends in Green Extraction Techniques, Chemical Modifications, and Drug Delivery Systems for Resveratrol" Antioxidants 14, no. 6: 654. https://doi.org/10.3390/antiox14060654
APA StyleTrombino, S., Cassano, R., Di Gioia, M. L., & Aiello, F. (2025). Emerging Trends in Green Extraction Techniques, Chemical Modifications, and Drug Delivery Systems for Resveratrol. Antioxidants, 14(6), 654. https://doi.org/10.3390/antiox14060654
