Active Packaging Film Developed by Incorporating Starch Aldehyde–Quercetin Conjugate into SPI Matrix
Abstract
1. Introduction
2. Materials and Methods
2.1. Materials
2.2. Preparation of Qingke DAS-QR Conjugate
2.3. Development of the Films
2.4. Structural Properties of Films
2.5. Physical Properties of the Films
2.6. Antioxidant Properties of the Films
2.7. Antibacterial Properties of the Films
2.8. Application of Coating Films for Fresh-cut Potato Preservation
2.9. Statistical Analysis
3. Results and Discussion
3.1. Internal Morphological Properties of the Films
3.2. FTIR Analysis of the Films
3.3. XRD Analysis of the Films
3.4. Color and Light Transmittance of the Films
3.5. TGA of the Films
3.6. WCA of the Films
3.7. Mechanical Properties of the Films
3.8. Antioxidant Activities of the Films
3.9. Antibacterial Properties of the Films
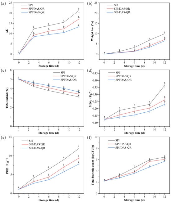
3.10. Fresh-Cut Potato Preservation Application
4. Conclusions
Author Contributions
Funding
Institutional Review Board Statement
Informed Consent Statement
Data Availability Statement
Acknowledgments
Conflicts of Interest
Abbreviations
References
- Bhargava, N.; Sharanagat, V.S.; Mor, R.S.; Kumar, K. Active and intelligent biodegradable packaging films using food and food waste-derived bioactive compounds: A review. Trends Food Sci. Technol. 2020, 105, 385–401. [Google Scholar] [CrossRef]
- Tang, P.; Zheng, T.; Yang, C.; Li, G. Enhanced physicochemical and functional properties of collagen films cross-linked with laccase oxidized phenolic acids for active edible food packaging. Food Chem. 2022, 393, 133353. [Google Scholar] [CrossRef] [PubMed]
- Yong, Y.; Wang, S.; Li, L.; Li, R.; Ahmad, H.N.; Munawar, N.; Zhu, J. A curcumin-crosslinked bilayer film of soy protein isolate and chitosan with enhanced antibacterial property for beef preservation and freshness monitoring. Int. J. Biol. Macromol. 2023, 247, 125778. [Google Scholar] [CrossRef] [PubMed]
- Zhen, N.; Wang, X.; Li, X.; Xue, J.; Zhao, Y.; Wu, M.; Zhou, D.; Liu, J.; Guo, J.; Zhang, H. Protein-based natural antibacterial materials and their applications in food preservation. Microb. Biotechnol. 2022, 15, 1324–1338. [Google Scholar] [CrossRef] [PubMed]
- Zhao, Y.; Tian, R.; Cui, M.; Zhang, Y.; Jiang, L.; Tian, B.; Sui, X. Insight into the formation mechanism of soy protein isolate films improved by dialdehyde starch with different degrees of aldehyde substitution. Food Hydrocoll. 2023, 145, 109071. [Google Scholar] [CrossRef]
- Gu, W.; Liu, X.; Li, F.; Shi, S.Q.; Xia, C.; Zhou, W.; Zhang, D.; Gong, S.; Li, J. Tough, strong, and biodegradable composite film with excellent UV barrier performance comprising soy protein isolate, hyperbranched polyester, and cardanol derivative. Green Chem. 2019, 21, 3651–3665. [Google Scholar] [CrossRef]
- Tanetrungroj, Y.; Prachayawarakorn, J. Effect of dual modification on properties of biodegradable crosslinked-oxidized starch and oxidized-crosslinked starch films. Int. J. Biol. Macromol. 2018, 120, 1240–1246. [Google Scholar] [CrossRef]
- Wang, P.; Wang, Y.; Hong, P.; Zhou, C. Di-aldehyde starch crystal: A novel bio-crosslinker for strengthening the structure and physio-chemical properties of gelatin-based films. Food Biosci. 2021, 43, 101308. [Google Scholar] [CrossRef]
- Yu, M.; Hou, Y.; Zheng, L.; Han, Y.; Wang, D. Soy protein isolate-based active films functionalized with Zanthoxylum bungeanum by-products: Effects on barrier, mechanical, antioxidant and cherry tomato preservation performance. Int. J. Biol. Macromol. 2023, 253, 127539. [Google Scholar] [CrossRef]
- Gao, H.-X.; Chen, N.; He, Q.; Shi, B.; Zeng, W.-C. Effects of structural characteristics of phenolic compounds on oxidation of glycerol trioleate: Action rule and mechanism. Food Chem. 2024, 433, 137361. [Google Scholar] [CrossRef]
- Kachur, K.; Suntres, Z. The antibacterial properties of phenolic isomers, carvacrol and thymol. Crit. Rev. Food Sci. Nutr. 2020, 60, 3042–3053. [Google Scholar] [CrossRef] [PubMed]
- Song, X.; Liu, L.; Wu, X.; Liu, Y.; Yuan, J. Chitosan-based functional films integrated with magnolol: Characterization, antioxidant and antimicrobial activity and pork preservation. Int. J. Mol. Sci. 2021, 22, 7769. [Google Scholar] [CrossRef] [PubMed]
- Tao, R.; Sedman, J.; Ismail, A. Characterization and in vitro antimicrobial study of soy protein isolate films incorporating carvacrol. Food Hydrocoll. 2022, 122, 107091. [Google Scholar] [CrossRef]
- Zhang, L.; Yu, D.; Gu, Y.; Xu, Y.; Jiang, Q.; Yang, F.; Regenstein, J.M.; Yu, D.; Xia, W. Green halochromic smart and active packaging materials based on chitosan film loading nanoparticles: Functionality, physicochemical properties and application. Food Hydrocoll. 2024, 150, 109667. [Google Scholar] [CrossRef]
- Nazeam, J.A.; Al-Shareef, W.A.; Helmy, M.W.; El-Haddad, A.E. Bioassay-guided isolation of potential bioactive constituents from pomegranate agrifood by-product. Food Chem. 2020, 326, 126993. [Google Scholar] [CrossRef] [PubMed]
- Jakubowska, E.; Gierszewska, M.; Szydłowska-Czerniak, A.; Nowaczyk, J.; Olewnik-Kruszkowska, E. Development and characterization of active packaging films based on chitosan, plasticizer, and quercetin for repassed oil storage. Food Chem. 2023, 399, 133934. [Google Scholar] [CrossRef] [PubMed]
- Rani, P.; Yadav, P.K.; Singh, A.K.; Nayak, S.; Kumar, K.D.; Kumar, R. Structural, material and antibacterial properties of quercetin incorporated soy protein isolate films and its binding behavior through molecular docking. Biopolymers 2023, 115, 23569. [Google Scholar] [CrossRef] [PubMed]
- Liu, J.; Pu, H.; Liu, S.; Kan, J.; Jin, C. Synthesis, characterization, bioactivity and potential application of phenolic acid grafted chitosan: A review. Carbohydr. Polym. 2017, 174, 999–1017. [Google Scholar] [CrossRef] [PubMed]
- Hu, F.; Sun, T.; Xie, J.; Xue, B.; Li, X.; Gan, J.; Li, L.; Bian, X.; Shao, Z. Functional properties of chitosan films with conjugated or incorporated salicylic acid. J. Mol. Struct. 2021, 1223, 129237. [Google Scholar] [CrossRef]
- Wu, C.; Fu, S.; Xiang, Y.; Yuan, C.; Hu, Y.; Chen, S.; Liu, D.; Ye, X. Effect of chitosan gallate coating on the quality maintenance of refrigerated (4 C) silver pomfret (Pampus argentus). Food Bioprocess Technol. 2016, 9, 1835–1843. [Google Scholar] [CrossRef]
- Hu, H.; Yong, H.; Yao, X.; Chen, D.; Kan, J.; Liu, J. Effect of starch aldehyde-catechin conjugates on the structural, physical and antioxidant properties of quaternary ammonium chitosan/polyvinyl alcohol films. Food Hydrocoll. 2022, 124, 107279. [Google Scholar] [CrossRef]
- Hu, H.; Yong, H.; Zong, S.; Jin, C.; Liu, J. Effect of chitosan/starch aldehyde-catechin conjugate composite coating on the quality and shelf life of fresh pork loins. J. Sci. Food Agric. 2022, 102, 5238–5249. [Google Scholar] [CrossRef] [PubMed]
- Nie, M.; Piao, C.; Wang, A.; Xi, H.; Chen, Z.; He, Y.; Wang, L.; Liu, L.; Huang, Y.; Wang, F.; et al. Physicochemical properties and in vitro digestibility of highland barley starch with different extraction methods. Carbohydr. Polym. 2023, 303, 120458. [Google Scholar] [CrossRef] [PubMed]
- Yong, H.; Bai, R.; Bi, F.; Liu, J.; Qin, Y.; Liu, J. Synthesis, characterization, antioxidant and antimicrobial activities of starch aldehyde-quercetin conjugate. Int. J. Biol. Macromol. 2020, 156, 462–470. [Google Scholar] [CrossRef] [PubMed]
- Zhang, W.; Shen, J.; Gao, P.; Jiang, Q.; Xia, W. Sustainable chitosan films containing a betaine-based deep eutectic solvent and lignin: Physicochemical, antioxidant, and antimicrobial properties. Food Hydrocoll. 2022, 129, 107656. [Google Scholar] [CrossRef]
- Rhim, J.-W. Physical and mechanical properties of water resistant sodium alginate films. LWT-Food Sci. Technol. 2004, 37, 323–330. [Google Scholar] [CrossRef]
- Aloui, H.; Deshmukh, A.R.; Khomlaem, C.; Kim, B.S. Novel composite films based on sodium alginate and gallnut extract with enhanced antioxidant, antimicrobial, barrier and mechanical properties. Food Hydrocoll. 2021, 113, 106508. [Google Scholar] [CrossRef]
- Tao, R.; Zheng, X.; Fan, B.; He, X.; Sun, J.; Sun, Y.; Wang, F. Enhancement of the physical and functional properties of chitosan films by incorporating Galla chinensis extract. Antioxidants 2024, 13, 69. [Google Scholar] [CrossRef] [PubMed]
- An, Z.; Yuan, M.; Xu, X.; Huang, Z.; Zhu, L.; Cai, Z.; Shen, Y. Active pullulan-based coatings incorporated with Auricularia auricular extracts for preserving potato fresh-cuts. Food Sci. Biotechnol. 2024, 33, 1147–1161. [Google Scholar] [CrossRef]
- Liu, X.; Xu, Y.; Liao, W.; Guo, C.; Gan, M.; Wang, Q. Preparation and characterization of chitosan/bacterial cellulose composite biodegradable films combined with curcumin and its application on preservation of strawberries. Food Packag. Shelf Life 2023, 35, 101006. [Google Scholar] [CrossRef]
- Kang, S.; Bai, Q.; Qin, Y.; Liang, Q.; Hu, Y.; Li, S.; Luan, G. Film-forming properties and mechanisms of soy protein: Insights from β-conglycinin and glycinin. Int. J. Biol. Macromol. 2023, 253, 127611. [Google Scholar] [CrossRef] [PubMed]
- Liu, Q.; Han, R.; Yu, D.; Wang, Z.; Zhuansun, X.; Li, Y. Characterization of thyme essential oil composite film based on soy protein isolate and its application in the preservation of cherry tomatoes. LWT 2024, 191, 115686. [Google Scholar] [CrossRef]
- Martín-Alfonso, J.E.; Félix, M.; Romero, A.; Guerrero, A. Development of new albumen based biocomposites formulations by injection moulding using chitosan as physicochemical modifier additive. Compos. Part B Eng. 2014, 61, 275–281. [Google Scholar] [CrossRef]
- Han, Y.; Yu, M.; Wang, L. Bio-based films prepared with soybean by-products and pine (Pinus densiflora) bark extract. J. Clean. Prod. 2018, 187, 1–8. [Google Scholar] [CrossRef]
- Hu, H.; Yao, X.; Qin, Y.; Yong, H.; Liu, J. Development of multifunctional food packaging by incorporating betalains from vegetable amaranth (Amaranthus tricolor L.) into quaternary ammonium chitosan/fish gelatin blend films. Int. J. Biol. Macromol. 2020, 159, 675–684. [Google Scholar] [CrossRef]
- Datta, D.; Samanta, S.; Halder, G. Surface functionalization of extracted nanosilica from rice husk for augmenting mechanical and optical properties of synthesized LDPE-Starch biodegradable film. Polym. Test. 2019, 77, 105878. [Google Scholar] [CrossRef]
- Yong, H.; Xu, F.; Yun, D.; Hu, H.; Liu, J. Antioxidant packaging films developed by in-situ cross-linking chitosan with dialdehyde starch-catechin conjugates. Int. J. Biol. Macromol. 2022, 222, 3203–3214. [Google Scholar] [CrossRef] [PubMed]
- Li, S.; Liu, X.; Zhang, X.; Fan, L.; Wang, F.; Zhou, J.; Zhang, H. Preparation and characterization of zein-tannic acid nanoparticles/chitosan composite films and application in the preservation of sugar oranges. Food Chem. 2024, 437, 137673. [Google Scholar] [CrossRef]
- Zhang, W.; Jiang, W. Antioxidant and antibacterial chitosan film with tea polyphenols-mediated green synthesis silver nanoparticle via a novel one-pot method. Int. J. Biol. Macromol. 2020, 155, 1252–1261. [Google Scholar] [CrossRef]
- Yang, Y.; Shi, Y.; Cao, X.; Liu, Q.; Wang, H.; Kong, B. Preparation and functional properties of poly(vinyl alcohol)/ethyl cellulose/tea polyphenol electrospun nanofibrous films for active packaging material. Food Control 2021, 130, 108331. [Google Scholar] [CrossRef]
- Mittal, A.; Singh, A.; Benjakul, S.; Prodpran, T.; Nilsuwan, K.; Huda, N.; de la Caba, K. Composite films based on chitosan and epigallocatechin gallate grafted chitosan: Characterization, antioxidant and antimicrobial activities. Food Hydrocoll. 2021, 111, 106384. [Google Scholar] [CrossRef]
- Klangmuang, P.; Sothornvit, R. Active hydroxypropyl methylcellulose-based composite coating powder to maintain the quality of fresh mango. LWT-Food Sci. Technol. 2018, 91, 541–548. [Google Scholar] [CrossRef]
- Jiang, Y.; Yin, H.; Wang, D.; Zhong, Y.; Deng, Y. Combination of chitosan coating and heat shock treatments to maintain postharvest quality and alleviate cracking of Akebia trifoliate fruit during cold storage. Food Chem. 2022, 394, 133330. [Google Scholar] [CrossRef]
- Zhang, S.; Yu, Y.; Xiao, C.; Wang, X.; Tian, Y. Effect of carbon monoxide on browning of fresh-cut lotus root slice in relation to phenolic metabolism. LWT-Food Sci. Technol. 2013, 53, 555–559. [Google Scholar] [CrossRef]













| Film | L | a | b | ΔE |
|---|---|---|---|---|
| SPI | 91.47 ± 0.53 a | 0.09 ± 0.00 c | 0.72 ± 0.04 c | 7.39 ± 0.05 c |
| SPI/DAS/QR | 84.15 ± 1.16 b | 4.72 ± 0.40 b | 37.82 ± 0.53 a | 45.44 ± 0.29 a |
| SPI/DAS-QR | 83.03 ± 0.30 b | 7.01 ± 0.81 a | 27.45 ± 0.09 b | 36.20 ± 0.32 b |
Disclaimer/Publisher’s Note: The statements, opinions and data contained in all publications are solely those of the individual author(s) and contributor(s) and not of MDPI and/or the editor(s). MDPI and/or the editor(s) disclaim responsibility for any injury to people or property resulting from any ideas, methods, instructions or products referred to in the content. |
© 2024 by the authors. Licensee MDPI, Basel, Switzerland. This article is an open access article distributed under the terms and conditions of the Creative Commons Attribution (CC BY) license (https://creativecommons.org/licenses/by/4.0/).
Share and Cite
Sun, Y.; Ju, Y.; Xie, Q.; Tao, R.; Wang, L.; Fan, B.; Wang, F. Active Packaging Film Developed by Incorporating Starch Aldehyde–Quercetin Conjugate into SPI Matrix. Antioxidants 2024, 13, 810. https://doi.org/10.3390/antiox13070810
Sun Y, Ju Y, Xie Q, Tao R, Wang L, Fan B, Wang F. Active Packaging Film Developed by Incorporating Starch Aldehyde–Quercetin Conjugate into SPI Matrix. Antioxidants. 2024; 13(7):810. https://doi.org/10.3390/antiox13070810
Chicago/Turabian StyleSun, Yufeng, Yang Ju, Qinfei Xie, Ran Tao, Lili Wang, Bei Fan, and Fengzhong Wang. 2024. "Active Packaging Film Developed by Incorporating Starch Aldehyde–Quercetin Conjugate into SPI Matrix" Antioxidants 13, no. 7: 810. https://doi.org/10.3390/antiox13070810
APA StyleSun, Y., Ju, Y., Xie, Q., Tao, R., Wang, L., Fan, B., & Wang, F. (2024). Active Packaging Film Developed by Incorporating Starch Aldehyde–Quercetin Conjugate into SPI Matrix. Antioxidants, 13(7), 810. https://doi.org/10.3390/antiox13070810

