Characterization of Azorean Plant Leaves for Sustainable Valorization and Future Advanced Applications in the Food, Cosmetic, and Pharmaceutical Industries
Abstract
1. Introduction
2. Materials and Methods
2.1. Chemicals and Reagents
2.2. Sampling
2.3. Chlorophyll and Carotenoid Content
2.4. Phenolic Extract Preparation
2.5. Determination of the Phenolic Content
2.5.1. Total Phenolic Content
2.5.2. Ortho-Diphenols Content
2.5.3. Flavonoid Content
2.6. Determination of the Antioxidant Capacity
2.6.1. FRAP Assay
2.6.2. DPPH Assay
2.6.3. ABTS•+ Assay
2.7. Determination and Quantification of Phenolic Compounds by HPLC–DAD
2.8. Statistical Analysis
3. Results
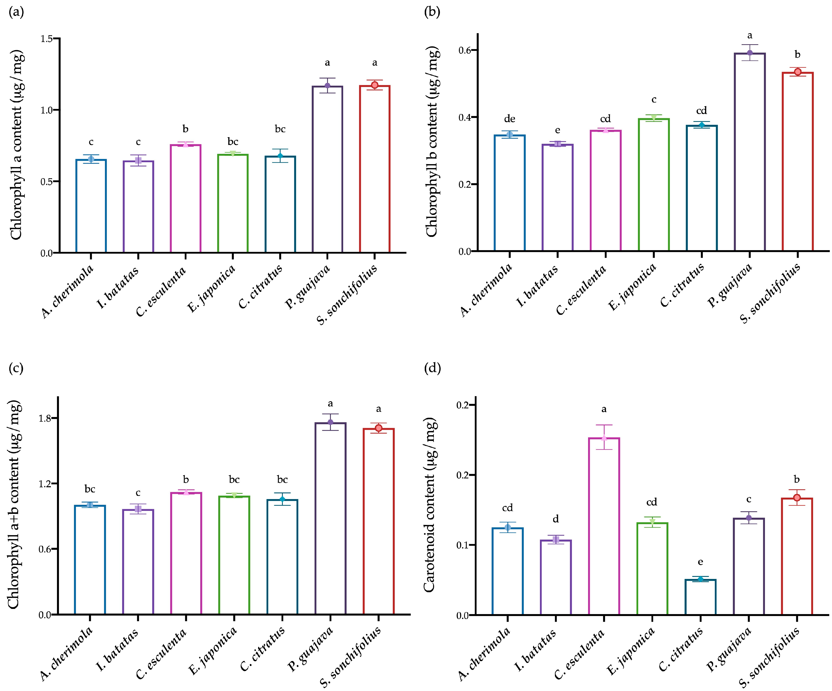
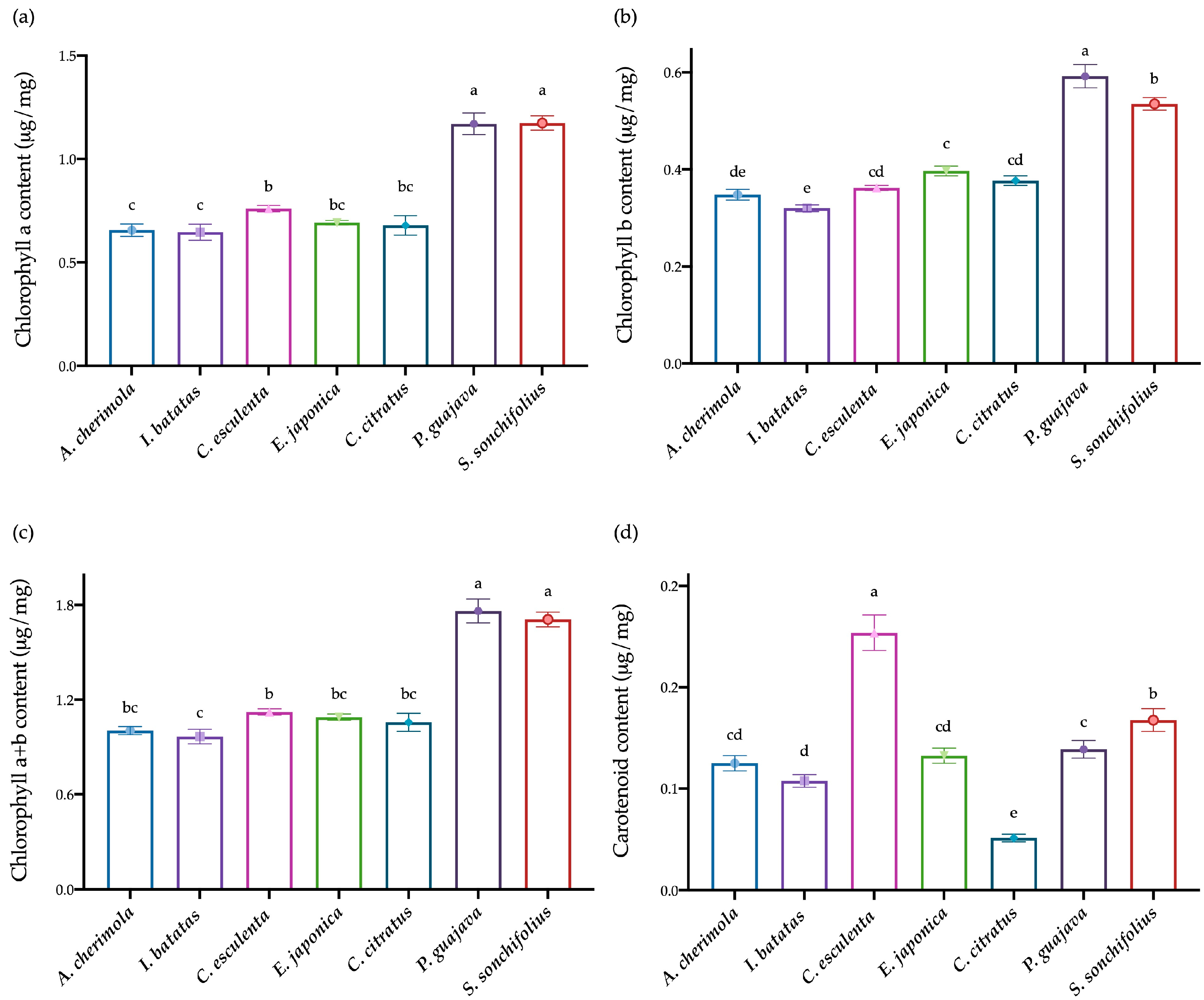
3.1. Quantitative Analysis of Chlorophylls and Carotenoids
3.2. Phenolic Content and Antioxidant Capacity
3.3. Identification and Quantification of Phenolic Compounds by HPLC–DAD
3.4. Pearson Correlation Analysis
4. Discussion
5. Conclusions
Supplementary Materials
Author Contributions
Funding
Data Availability Statement
Acknowledgments
Conflicts of Interest
References
- Borelli, T.; Hunter, D.; Powell, B.; Ulian, T.; Mattana, E.; Termote, C.; Pawera, L.; Beltrame, D.; Penafiel, D.; Tan, A.; et al. Born to Eat Wild: An Integrated Conservation Approach to Secure Wild Food Plants for Food Security and Nutrition. Plants 2020, 9, 1299. [Google Scholar] [CrossRef]
- Gonçalves, S.; Medronho, J.; Moreira, E.; Grosso, C.; Andrade, P.B.; Valentão, P.; Romano, A. Bioactive Properties of Chamaerops humilis L.: Antioxidant and Enzyme Inhibiting Activities of Extracts from Leaves, Seeds, Pulp and Peel. 3 Biotech 2018, 8, 88. [Google Scholar] [CrossRef] [PubMed]
- Hodge, C.; Taylor, C. Vitamin A Deficiency; StatPearls Publishing: St. Petersburg, FL, USA, 2023. [Google Scholar]
- Viera, I.; Chen, K.; Ríos, J.J.; Benito, I.; Pérez-Gálvez, A.; Roca, M. First-Pass Metabolism of Chlorophylls in Mice. Mol. Nutr. Food Res. 2018, 62, 1800562. [Google Scholar] [CrossRef]
- Rahman, M.M.; Rahaman, M.S.; Islam, M.R.; Rahman, F.; Mithi, F.M.; Alqahtani, T.; Almikhlafi, M.A.; Alghamdi, S.Q.; Alruwaili, A.S.; Hossain, M.S.; et al. Role of Phenolic Compounds in Human Disease: Current Knowledge and Future Prospects. Molecules 2021, 27, 233. [Google Scholar] [CrossRef] [PubMed]
- Acamovic, T.; Brooker, J.D. Biochemistry of Plant Secondary Metabolites and Their Effects in Animals. Proc. Nutr. Soc. 2005, 64, 403–412. [Google Scholar] [CrossRef]
- Edreva, A.; Velikova, V.; Tsonev, T.; Dagnon, S.; Gesheva, E. Stress-Protective Role of Secondary Metabolites: Diversity of Functions and Mechanisms. Gen. Appl. Plant Physiol. 2008, 34, 67–78. [Google Scholar]
- Speisky, H.; Shahidi, F.; de Camargo, A.C.; Fuentes, J. Revisiting the Oxidation of Flavonoids: Loss, Conservation or Enhancement of Their Antioxidant Properties. Antioxidants 2022, 11, 133. [Google Scholar] [CrossRef] [PubMed]
- Niedzwiecki, A.; Roomi, M.; Kalinovsky, T.; Rath, M. Anticancer Efficacy of Polyphenols and Their Combinations. Nutrients 2016, 8, 552. [Google Scholar] [CrossRef]
- Fernandes, R.; Costa, C.; Fernandes, R.; Barros, A.N. Inflammation in Prostate Cancer: Exploring the Promising Role of Phenolic Compounds as an Innovative Therapeutic Approach. Biomedicines 2023, 11, 3140. [Google Scholar] [CrossRef]
- Cháirez-Ramírez, M.H.; de la Cruz-López, K.G.; García-Carrancá, A. Polyphenols as Antitumor Agents Targeting Key Players in Cancer-Driving Signaling Pathways. Front. Pharmacol. 2021, 12, 710304. [Google Scholar] [CrossRef]
- Dias, C.; Domínguez-Perles, R.; Aires, A.; Teixeira, A.; Rosa, E.; Barros, A.; Saavedra, M.J. Phytochemistry and Activity against Digestive Pathogens of Grape (Vitis vinifera L.) Stem’s (Poly)Phenolic Extracts. LWT Food Sci. Technol. 2015, 61, 25–32. [Google Scholar] [CrossRef]
- Queiroz, M.; Oppolzer, D.; Gouvinhas, I.; Silva, A.M.; Barros, A.I.R.N.A.; Domínguez-Perles, R. New Grape Stems’ Isolated Phenolic Compounds Modulate Reactive Oxygen Species, Glutathione, and Lipid Peroxidation In Vitro: Combined Formulations with Vitamins C and E. Fitoterapia 2017, 120, 146–157. [Google Scholar] [CrossRef]
- Torres-Fuentes, C.; Suárez, M.; Aragonès, G.; Mulero, M.; Ávila-Román, J.; Arola-Arnal, A.; Salvadó, M.J.; Arola, L.; Bravo, F.I.; Muguerza, B. Cardioprotective Properties of Phenolic Compounds: A Role for Biological Rhythms. Mol. Nutr. Food Res. 2022, 66, 2100990. [Google Scholar] [CrossRef]
- Leal, C.; Gouvinhas, I.; Santos, R.A.; Rosa, E.; Silva, A.M.; Saavedra, M.J.; Barros, A.I.R.N.A. Potential Application of Grape (Vitis vinifera L.) Stem Extracts in the Cosmetic and Pharmaceutical Industries: Valorization of a by-Product. Ind. Crops Prod. 2020, 154, 112675. [Google Scholar] [CrossRef]
- Pérez-Gálvez, A.; Viera, I.; Roca, M. Carotenoids and Chlorophylls as Antioxidants. Antioxidants 2020, 9, 505. [Google Scholar] [CrossRef] [PubMed]
- Martins, T.; Barros, A.N.; Rosa, E.; Antunes, L. Enhancing Health Benefits through Chlorophylls and Chlorophyll-Rich Agro-Food: A Comprehensive Review. Molecules 2023, 28, 5344. [Google Scholar] [CrossRef] [PubMed]
- Khattab, R.; Goldberg, E.; Lin, L.; Thiyam, U. Quantitative Analysis and Free-Radical-Scavenging Activity of Chlorophyll, Phytic Acid, and Condensed Tannins in Canola. Food Chem. 2010, 122, 1266–1272. [Google Scholar] [CrossRef]
- Araújo, J.L.; da Silva, P.B.; Fonseca-Santos, B.; Báo, S.N.; Chorilli, M.; de Souza, P.E.N.; Muehlmann, L.A.; Azevedo, R.B. Photodynamic Therapy Directed to Melanoma Skin Cancer by Thermosensitive Hydrogel Containing Chlorophyll A. Pharmaceuticals 2023, 16, 1659. [Google Scholar] [CrossRef]
- Chang, R.; Hsu, C.-F.; Tsai, W.-B. Fabrication of Chlorophyll-Incorporated Nanogels for Potential Applications in Photothermal Cancer Therapy. ACS Omega 2018, 3, 16057–16062. [Google Scholar] [CrossRef]
- Wang, X.; Li, Y.; Shen, S.; Yang, Z.; Zhang, H.; Zhang, Y. Chlorophyll Inhibits the Digestion of Soybean Oil in Simulated Human Gastrointestinal System. Nutrients 2022, 14, 1749. [Google Scholar] [CrossRef] [PubMed]
- Hannan, M.A.; Dash, R.; Sohag, A.A.M.; Haque, M.N.; Moon, I.S. Neuroprotection Against Oxidative Stress: Phytochemicals Targeting TrkB Signaling and the Nrf2-ARE Antioxidant System. Front. Mol. Neurosci. 2020, 13, 116. [Google Scholar] [CrossRef]
- Eggersdorfer, M.; Wyss, A. Carotenoids in Human Nutrition and Health. Arch. Biochem. Biophys. 2018, 652, 18–26. [Google Scholar] [CrossRef]
- O’Connor, C.; Varshosaz, P.; Moise, A.R. Mechanisms of Feedback Regulation of Vitamin A Metabolism. Nutrients 2022, 14, 1312. [Google Scholar] [CrossRef]
- Sajovic, J.; Meglič, A.; Glavač, D.; Markelj, Š.; Hawlina, M.; Fakin, A. The Role of Vitamin A in Retinal Diseases. Int. J. Mol. Sci. 2022, 23, 1014. [Google Scholar] [CrossRef] [PubMed]
- Huang, Z.; Liu, Y.; Qi, G.; Brand, D.; Zheng, S. Role of Vitamin A in the Immune System. J. Clin. Med. 2018, 7, 258. [Google Scholar] [CrossRef] [PubMed]
- Takahashi, N.; Saito, D.; Hasegawa, S.; Yamasaki, M.; Imai, M. Vitamin A in Health Care: Suppression of Growth and Induction of Differentiation in Cancer Cells by Vitamin A and Its Derivatives and Their Mechanisms of Action. Pharmacol. Ther. 2022, 230, 107942. [Google Scholar] [CrossRef]
- Clagett-Dame, M.; Knutson, D. Vitamin A in Reproduction and Development. Nutrients 2011, 3, 385–428. [Google Scholar] [CrossRef] [PubMed]
- Terao, J. Revisiting Carotenoids as Dietary Antioxidants for Human Health and Disease Prevention. Food Funct. 2023, 14, 7799–7824. [Google Scholar] [CrossRef] [PubMed]
- Rasmus, P.; Kozłowska, E. Antioxidant and Anti-Inflammatory Effects of Carotenoids in Mood Disorders: An Overview. Antioxidants 2023, 12, 676. [Google Scholar] [CrossRef]
- Crupi, P.; Faienza, M.F.; Naeem, M.Y.; Corbo, F.; Clodoveo, M.L.; Muraglia, M. Overview of the Potential Beneficial Effects of Carotenoids on Consumer Health and Well-Being. Antioxidants 2023, 12, 1069. [Google Scholar] [CrossRef]
- Sorrenti, V.; Burò, I.; Consoli, V.; Vanella, L. Recent Advances in Health Benefits of Bioactive Compounds from Food Wastes and By-Products: Biochemical Aspects. Int. J. Mol. Sci. 2023, 24, 2019. [Google Scholar] [CrossRef]
- Lameirão, F.; Pinto, D.; Vieira, E.F.; Peixoto, A.F.; Freire, C.; Sut, S.; Dall’Acqua, S.; Costa, P.; Delerue-Matos, C.; Rodrigues, F. Green-Sustainable Recovery of Phenolic and Antioxidant Compounds from Industrial Chestnut Shells Using Ultrasound-Assisted Extraction: Optimization and Evaluation of Biological Activities In Vitro. Antioxidants 2020, 9, 267. [Google Scholar] [CrossRef]
- Coelho, M.C.M.; Gabriel, R.; Hespanhol, H.; Borges, P.A.V.; Ah-Peng, C. Bryophyte Diversity along an Elevational Gradient on Pico Island (Azores, Portugal). Diversity 2021, 13, 162. [Google Scholar] [CrossRef]
- Mannino, G.; Gentile, C.; Porcu, A.; Agliassa, C.; Caradonna, F.; Bertea, C.M. Chemical Profile and Biological Activity of Cherimoya (Annona cherimola Mill.) and Atemoya (Annona atemoya) Leaves. Molecules 2020, 25, 2612. [Google Scholar] [CrossRef]
- Martínez-Solís, J.; Calzada, F.; Barbosa, E.; Gutiérrez-Meza, J.M. Antidiabetic and Toxicological Effects of the Tea Infusion of Summer Collection from Annona cherimola Miller Leaves. Plants 2022, 11, 3224. [Google Scholar] [CrossRef]
- Jamkhande, P.G.; Ajgunde, B.R.; Jadge, D.R. Annona cherimola Mill. (Custard Apple): A Review on Its Plant Profile, Nutritional Values, Traditional Claims and Ethnomedicinal Properties. Orient. Pharm. Exp. Med. 2017, 17, 189–201. [Google Scholar] [CrossRef]
- Mbouche, M.; Sokamte, T.A.; Talaka, A.; Tatsadjieu, N.L.; Ndjouenkeu, R. Characterization of Tea Produced from the Leaves of Two Varieties of Ipomoea batatas. Res. Crops 2019, 20, 843–851. [Google Scholar] [CrossRef]
- Gabriel, B.O.; Idu, M. Antioxidant Property, Haematinic and Biosafety Effect of Ipomoea batatas Lam. Leaf Extract in Animal Model. Beni-Suef Univ. J. Basic Appl. Sci. 2021, 10, 75. [Google Scholar] [CrossRef]
- Wu, Y.; Jian, T.; Lv, H.; Ding, X.; Zuo, Y.; Ren, B.; Chen, J.; Li, W. Antitussive and Expectorant Properties of Growing and Fallen Leaves of Loquat (Eriobotrya japonica). Rev. Bras. Farmacogn. 2018, 28, 239–242. [Google Scholar] [CrossRef]
- Hussain, A.; Kausar, T.; Rehman, A.; Batool, A.; Saleem, M.; Musharraf, T.M.; An, Q.U.; Fatima, H.; Yaqub, S.; Gorsi, F.I.; et al. Evaluation of the Phytochemical and Medicinal Value of Lemongrass (Cymbopogon citratus), by Conversion into Powders and Extracts to Develop a Nutritional Bakery Product. Futur. Integr. Med. 2023, 2, 129–140. [Google Scholar] [CrossRef]
- Zhu, X.; Wang, L.; Zhao, T.; Jiang, Q. Traditional Uses, Phytochemistry, Pharmacology, and Toxicity of Eriobotrya Japonica Leaves: A Summary. J. Ethnopharmacol. 2022, 298, 115566. [Google Scholar] [CrossRef]
- Mendes Hacke, A.C.; D’Avila da Silva, F.; Lima, D.; Rebuglio Vellosa, J.C.; Teixeira Rocha, J.B.; Marques, J.A.; Pereira, R.P. Cytotoxicity of Cymbopogon citratus (DC) Stapf Fractions, Essential Oil, Citral, and Geraniol in Human Leukocytes and Erythrocytes. J. Ethnopharmacol. 2022, 291, 115147. [Google Scholar] [CrossRef] [PubMed]
- Lulekal, E.; Tesfaye, S.; Gebrechristos, S.; Dires, K.; Zenebe, T.; Zegeye, N.; Feleke, G.; Kassahun, A.; Shiferaw, Y.; Mekonnen, A. Phytochemical Analysis and Evaluation of Skin Irritation, Acute and Sub-Acute Toxicity of Cymbopogon citratus Essential Oil in Mice and Rabbits. Toxicol. Rep. 2019, 6, 1289–1294. [Google Scholar] [CrossRef] [PubMed]
- Díaz-de-Cerio, E.; Verardo, V.; Gómez-Caravaca, A.; Fernández-Gutiérrez, A.; Segura-Carretero, A. Health Effects of Psidium guajava L. Leaves: An Overview of the Last Decade. Int. J. Mol. Sci. 2017, 18, 897. [Google Scholar] [CrossRef] [PubMed]
- Sugahara, S.; Ueda, Y.; Fukuhara, K.; Kamamuta, Y.; Matsuda, Y.; Murata, T.; Kuroda, Y.; Kabata, K.; Ono, M.; Igoshi, K.; et al. Antioxidant Effects of Herbal Tea Leaves from Yacon (Smallanthus sonchifolius) on Multiple Free Radical and Reducing Power Assays, Especially on Different Superoxide Anion Radical Generation Systems. J. Food Sci. 2015, 80, C2420–C2429. [Google Scholar] [CrossRef]
- Lichtenthaler, H.K. Chlorophyll and Carotenoids Pigments of Photosynthetic Biomembranes. In Methods in Enzymology; Academic Press: Cambridge, MA, USA, 1987; Volume 148, pp. 350–382. [Google Scholar]
- Gouvinhas, I.; Santos, R.A.; Queiroz, M.; Leal, C.; Saavedra, M.J.; Domínguez-Perles, R.; Rodrigues, M.; Barros, A.I.R.N. Monitoring the Antioxidant and Antimicrobial Power of Grape (Vitis vinifera L.) Stems Phenolics over Long-Term Storage. Ind. Crops Prod. 2018, 126, 83–91. [Google Scholar] [CrossRef]
- Aires, A.; Carvalho, R. Kiwi Fruit Residues from Industry Processing: Study for a Maximum Phenolic Recovery Yield. J. Food Sci. Technol. 2020, 57, 4265–4276. [Google Scholar] [CrossRef] [PubMed]
- Gouvinhas, I.; Machado, J.; Gomes, S.; Lopes, J.; Martins-Lopes, P.; Barros, A.I.R.N.A. Phenolic Composition and Antioxidant Activity of Monovarietal and Commercial Portuguese Olive Oils. J. Am. Oil Chem. Soc. 2014, 91, 1197–1203. [Google Scholar] [CrossRef]
- Yu, M.; Gouvinhas, I.; Barros, A. Variation of the Polyphenolic Composition and Antioxidant Capacity of Freshly Prepared Pomegranate Leaf Infusions over One-Day Storage. Antioxidants 2021, 10, 1187. [Google Scholar] [CrossRef]
- Kiki, M.J. Biopigments of Microbial Origin and Their Application in the Cosmetic Industry. Cosmetics 2023, 10, 47. [Google Scholar] [CrossRef]
- Baran, M.T.; Miziak, P.; Bonio, K. Characteristics of Carotenoids and Their Use in the Cosmetics Industry. J. Educ. Health Sport 2020, 10, 192–196. [Google Scholar] [CrossRef]
- Maia, M.; Barros, A.I.R.N.A.; Nunes, F.M. A Novel, Direct, Reagent-Free Method for the Detection of Beeswax Adulteration by Single-Reflection Attenuated Total Reflectance Mid-Infrared Spectroscopy. Talanta 2013, 107, 74–80. [Google Scholar] [CrossRef] [PubMed]
- Gouvinhas, I.; Machado, N.; Carvalho, T.; de Almeida, J.M.M.M.; Barros, A.I.R.N.A. Short Wavelength Raman Spectroscopy Applied to the Discrimination and Characterization of Three Cultivars of Extra Virgin Olive Oils in Different Maturation Stages. Talanta 2015, 132, 829–835. [Google Scholar] [CrossRef] [PubMed]
- Pons, E.; Alquézar, B.; Rodríguez, A.; Martorell, P.; Genovés, S.; Ramón, D.; Rodrigo, M.J.; Zacarías, L.; Peña, L. Metabolic Engineering of Β-carotene in Orange Fruit Increases Its In Vivo Antioxidant Properties. Plant Biotechnol. J. 2014, 12, 17–27. [Google Scholar] [CrossRef]
- Lin, D.; Xiao, M.; Zhao, J.; Li, Z.; Xing, B.; Li, X.; Kong, M.; Li, L.; Zhang, Q.; Liu, Y.; et al. An Overview of Plant Phenolic Compounds and Their Importance in Human Nutrition and Management of Type 2 Diabetes. Molecules 2016, 21, 1374. [Google Scholar] [CrossRef]
- Gentile, C.; Mannino, G.; Palazzolo, E.; Gianguzzi, G.; Perrone, A.; Serio, G.; Farina, V. Pomological, Sensorial, Nutritional and Nutraceutical Profile of Seven Cultivars of Cherimoya (Annona cherimola Mill). Foods 2020, 10, 35. [Google Scholar] [CrossRef]
- Almela, L.; Fernández-López, J.A.; Roca, M.J. High-Performance Liquid Chromatographic Screening of Chlorophyll Derivatives Produced during Fruit Storage. J. Chromatogr. A 2000, 870, 483–489. [Google Scholar] [CrossRef]
- Park, S.-C.; Kim, S.H.; Park, S.; Lee, H.-U.; Lee, J.S.; Park, W.S.; Ahn, M.-J.; Kim, Y.-H.; Jeong, J.C.; Lee, H.-S.; et al. Enhanced Accumulation of Carotenoids in Sweetpotato Plants Overexpressing IbOr-Ins Gene in Purple-Fleshed Sweetpotato Cultivar. Plant Physiol. Biochem. 2015, 86, 82–90. [Google Scholar] [CrossRef]
- He, J.; Qin, L. Growth and Photosynthetic Characteristics of Sweet Potato (Ipomoea batatas) Leaves Grown under Natural Sunlight with Supplemental LED Lighting in a Tropical Greenhouse. J. Plant Physiol. 2020, 252, 153239. [Google Scholar] [CrossRef]
- Gouveia, C.S.S.; Ganança, J.F.T.; Slaski, J.J.; Lebot, V.; Pinheiro de Carvalho, M.Â.A. Abscisic Acid Phytohormone Estimation in Tubers and Shoots of Ipomoea batatas Subjected to Long Drought Stress Using Competitive Immunological Assay. Physiol. Plant. 2021, 172, 419–430. [Google Scholar] [CrossRef]
- Singh, S.; Singh, D.R.; Salim, K.M.; Srivastava, A.; Singh, L.B.; Srivastava, R.C. Estimation of Proximate Composition, Micronutrients and Phytochemical Compounds in Traditional Vegetables from Andaman and Nicobar Islands. Int. J. Food Sci. Nutr. 2011, 62, 765–773. [Google Scholar] [CrossRef]
- Kumari, P.; Mankar, A.; Karuna, K.; Homa, F.; Meiramkulova, K.; Siddiqui, M.W. Mineral Composition, Pigments, and Postharvest Quality of Guava Cultivars Commercially Grown in India. J. Agric. Food Res. 2020, 2, 100061. [Google Scholar] [CrossRef]
- Guavita-Vargas, J.; Avellaneda-Torres, L.M.; Solarte, M.E.; Melgarejo, L.M. Carotenoides, Clorofilas y Pectinas Durante La Maduración de Variedades de Guayaba (Psidium guajava L.) de Santander, Colombia. Rev. Colomb. Cienc. Hortícol. 2018, 12, 379–389. [Google Scholar] [CrossRef]
- Zengin, G.; Locatelli, M.; Stefanucci, A.; Macedonio, G.; Novellino, E.; Mirzaie, S.; Dvorácskó, S.; Carradori, S.; Brunetti, L.; Orlando, G.; et al. Chemical Characterization, Antioxidant Properties, Anti-Inflammatory Activity, and Enzyme Inhibition of Ipomoea batatas L. Leaf Extracts. Int. J. Food Prop. 2017, 20, 1907–1919. [Google Scholar] [CrossRef]
- Pawłowska, A.M.; Żurek, N.; Kapusta, I.; De Leo, M.; Braca, A. Antioxidant and Antiproliferative Activities of Phenolic Extracts of Eriobotrya japonica (Thunb.) Lindl. Fruits and Leaves. Plants 2023, 12, 3221. [Google Scholar] [CrossRef]
- Hong, Y.; Lin, S.; Jiang, Y.; Ashraf, M. Variation in Contents of Total Phenolics and Flavonoids and Antioxidant Activities in the Leaves of 11 Eriobotrya Species. Plant Foods Hum. Nutr. 2008, 63, 200–204. [Google Scholar] [CrossRef]
- Hussain, S.; Javed, W.; Tajammal, A.; Khalid, M.; Rasool, N.; Riaz, M.; Shahid, M.; Ahmad, I.; Muhammad, R.; Shah, S.A.A. Synergistic Antibacterial Screening of Cymbopogon citratus and Azadirachta indica: Phytochemical Profiling and Antioxidant and Hemolytic Activities. ACS Omega 2023, 8, 16600–16611. [Google Scholar] [CrossRef] [PubMed]
- Díaz-de-Cerio, E.; Pasini, F.; Verardo, V.; Fernández-Gutiérrez, A.; Segura-Carretero, A.; Caboni, M.F. Psidium guajava L. Leaves as Source of Proanthocyanidins: Optimization of the Extraction Method by RSM and Study of the Degree of Polymerization by NP-HPLC-FLD-ESI-MS. J. Pharm. Biomed. Anal. 2017, 133, 1–7. [Google Scholar] [CrossRef] [PubMed]
- Camarena-Tello, J.; Martínez-Flores, H.; Garnica-Romo, M.; Padilla-Ramírez, J.; Saavedra-Molina, A.; Alvarez-Cortes, O.; Bartolomé-Camacho, M.; Rodiles-López, J. Quantification of Phenolic Compounds and In Vitro Radical Scavenging Abilities with Leaf Extracts from Two Varieties of Psidium guajava L. Antioxidants 2018, 7, 34. [Google Scholar] [CrossRef] [PubMed]
- Zahin, M.; Ahmad, I.; Aqil, F. Antioxidant and Antimutagenic Potential of Psidium guajava Leaf Extracts. Drug Chem. Toxicol. 2017, 40, 146–153. [Google Scholar] [CrossRef]
- Russo, D.; Valentão, P.; Andrade, P.; Fernandez, E.; Milella, L. Evaluation of Antioxidant, Antidiabetic and Anticholinesterase Activities of Smallanthus sonchifolius Landraces and Correlation with Their Phytochemical Profiles. Int. J. Mol. Sci. 2015, 16, 17696–17718. [Google Scholar] [CrossRef] [PubMed]
- Rustiani, E.; Fitriani, A.; Wardatun, S. Analysis of Flavonids and Terpenoids in Ethanol Extract of Colocasia esculenta L. (Schoot) Stalk and Leaves. J. Trop. Pharm. Chem. 2021, 5, 359–364. [Google Scholar] [CrossRef]
- Ueda, Y.; Matsuda, Y.; Murata, T.; Hoshi, Y.; Kabata, K.; Ono, M.; Kinoshita, H.; Igoshi, K.; Yasuda, S. Increased Phenolic Content and Antioxidant Capacity of the Heated Leaves of Yacon (Smallanthus sonchifolius). Biosci. Biotechnol. Biochem. 2019, 83, 2288–2297. [Google Scholar] [CrossRef] [PubMed]
- Zapata, J.E.; Sepúlveda, C.T.; Álvarez, A.C. Kinetics of the Thermal Degradation of Phenolic Compounds from Achiote Leaves (Bixa orellana L.) and Its Effect on the Antioxidant Activity. Food Sci. Technol. 2022, 42, e30920. [Google Scholar] [CrossRef]
- Goncalves, R.F.; Silva, A.M.S.; Silva, A.M.; Valentao, P.; Ferreres, F.; Gil-Izquierdo, A.; Silva, J.B.; Santos, D.; Andrade, P.B. Influence of Taro (Colocasia esculenta L. Shott) Growth Conditions on the Phenolic Composition and Biological Properties. Food Chem. 2013, 141, 3480–3485. [Google Scholar] [CrossRef]
- Simonovska, B.; Vovk, I.; Andrenšek, S.; Valentová, K.; Ulrichová, J. Investigation of Phenolic Acids in Yacon (Smallanthus sonchifolius) Leaves and Tubers. J. Chromatogr. A 2003, 1016, 89–98. [Google Scholar] [CrossRef] [PubMed]
- Valentová, K.; Šeršeň, F.; Ulrichová, J. Radical Scavenging and Anti-Lipoperoxidative Activities of Smallanthus sonchifolius Leaf Extracts. J. Agric. Food Chem. 2005, 53, 5577–5582. [Google Scholar] [CrossRef] [PubMed]
- Díaz-de-Cerio, E.; Aguilera-Saez, L.M.; Gómez-Caravaca, A.M.; Verardo, V.; Fernández-Gutiérrez, A.; Fernández, I.; Arráez-Román, D. Characterization of Bioactive Compounds of Annona cherimola L. Leaves Using a Combined Approach Based on HPLC-ESI-TOF-MS and NMR. Anal. Bioanal. Chem. 2018, 410, 3607–3619. [Google Scholar] [CrossRef]
- Fu, Z.; Tu, Z.; Zhang, L.; Wang, H.; Wen, Q.; Huang, T. Antioxidant Activities and Polyphenols of Sweet Potato (Ipomoea batatas L.) Leaves Extracted with Solvents of Various Polarities. Food Biosci. 2016, 15, 11–18. [Google Scholar] [CrossRef]
- Costa, G.; Ferreira, J.P.; Vitorino, C.; Pina, M.E.; Sousa, J.J.; Figueiredo, I.V.; Batista, M.T. Polyphenols from Cymbopogon citratus Leaves as Topical Anti-Inflammatory Agents. J. Ethnopharmacol. 2016, 178, 222–228. [Google Scholar] [CrossRef]
- Kumar, K.; Debnath, P.; Singh, S.; Kumar, N. An Overview of Plant Phenolics and Their Involvement in Abiotic Stress Tolerance. Stresses 2023, 3, 570–585. [Google Scholar] [CrossRef]
- Shehata, M.G.; Abd El-Aziz, N.M.; Mehany, T.; Simal-Gandara, J. Taro Leaves Extract and Probiotic Lactic Acid Bacteria: A Synergistic Approach to Improve Antioxidant Capacity and Bioaccessibility in Fermented Milk Beverages. LWT 2023, 187, 115280. [Google Scholar] [CrossRef]
- Díaz-de-Cerio, E.; Gómez-Caravaca, A.M.; Verardo, V.; Fernández-Gutiérrez, A.; Segura-Carretero, A. Determination of Guava (Psidium guajava L.) Leaf Phenolic Compounds Using HPLC-DAD-QTOF-MS. J. Funct. Foods 2016, 22, 376–388. [Google Scholar] [CrossRef]
- Mahmud, A.R.; Ema, T.I.; Siddiquee, M.F.-R.; Shahriar, A.; Ahmed, H.; Mosfeq-Ul-Hasan, M.; Rahman, N.; Islam, R.; Uddin, M.R.; Mizan, M.F.R. Natural Flavonols: Actions, Mechanisms, and Potential Therapeutic Utility for Various Diseases. Beni-Suef Univ. J. Basic Appl. Sci. 2023, 12, 47. [Google Scholar] [CrossRef] [PubMed]
- Hopia, A.; Heinonen, M. Antioxidant Activity of Flavonol Aglycones and Their Glycosides in Methyl Linoleate. J. Am. Oil Chem. Soc. 1999, 76, 139–144. [Google Scholar] [CrossRef]
- Wang, L.; Tu, Y.-C.; Lian, T.-W.; Hung, J.-T.; Yen, J.-H.; Wu, M.-J. Distinctive Antioxidant and Antiinflammatory Effects of Flavonols. J. Agric. Food Chem. 2006, 54, 9798–9804. [Google Scholar] [CrossRef] [PubMed]
- Cao, Y.; Xie, L.; Ma, Y.; Ren, C.; Xing, M.; Fu, Z.; Wu, X.; Yin, X.; Xu, C.; Li, X. PpMYB15 and PpMYBF1 Transcription Factors Are Involved in Regulating Flavonol Biosynthesis in Peach Fruit. J. Agric. Food Chem. 2019, 67, 644–652. [Google Scholar] [CrossRef] [PubMed]
- Bouderias, S.; Teszlák, P.; Jakab, G.; Kőrösi, L. Age- and Season-Dependent Pattern of Flavonol Glycosides in Cabernet Sauvignon Grapevine Leaves. Sci. Rep. 2020, 10, 14241. [Google Scholar] [CrossRef]
- Rutley, N.; Miller, G.; Wang, F.; Harper, J.F.; Miller, G.; Lieberman-Lazarovich, M. Enhanced Reproductive Thermotolerance of the Tomato High Pigment 2 Mutant Is Associated With Increased Accumulation of Flavonols in Pollen. Front. Plant Sci. 2021, 12, 672368. [Google Scholar] [CrossRef]
- Naik, J.; Tyagi, S.; Rajput, R.; Kumar, P.; Pucker, B.; Bisht, N.C.; Misra, P.; Stracke, R.; Pandey, A. Flavonols Contrary Affect the Interconnected Glucosinolate and Camalexin Biosynthesis Pathway In Arabidopsis thaliana. bioRxiv 2022. [Google Scholar] [CrossRef]
- Cao, Y.; Fang, S.; Fu, X.; Shang, X.; Yang, W. Seasonal Variation in Phenolic Compounds and Antioxidant Activity in Leaves of Cyclocarya paliurus (Batal.) Iljinskaja. Forests 2019, 10, 624. [Google Scholar] [CrossRef]
- Cezarotto, V.; Giacomelli, S.; Vendruscolo, M.; Vestena, A.; Cezarotto, C.; da Cruz, R.; Maurer, L.; Ferreira, L.; Emanuelli, T.; Cruz, L. Influence of Harvest Season and Cultivar on the Variation of Phenolic Compounds Composition and Antioxidant Properties in Vaccinium ashei Leaves. Molecules 2017, 22, 1603. [Google Scholar] [CrossRef] [PubMed]
- Orak, H.H.; Karamać, M.; Amarowicz, R.; Orak, A.; Penkacik, K. Genotype-Related Differences in the Phenolic Compound Profile and Antioxidant Activity of Extracts from Olive (Olea europaea L.) Leaves. Molecules 2019, 24, 1130. [Google Scholar] [CrossRef] [PubMed]




| Plant Species | TPC (mg GA/g DW) | ODC (mg GA/g DW) | FC (mg CAT/g DW) |
|---|---|---|---|
| A. cherimola | 176.54 ± 11.50 a | 232.84 ± 1.85 a | 79.02 ± 2.18 a |
| I. batatas | 20.06 ± 1.23 de | 78.56 ± 1.76 d | 11.24 ± 1.16 cd |
| C. esculenta | 26.99 ± 2.37 de | 80.10 ± 1.32 d | 6.03 ± 0.33 de |
| E. japonica | 111.58 ± 6.08 b | 137.00 ± 1.11 c | 54.99 ± 4.84 b |
| C. citratus | 27.90 ± 2.22 d | 79.01 ± 1.08 d | 12.01 ± 0.85 c |
| P. guajava | 88.65 ± 7.76 c | 145.85 ± 1.42 b | 56.46 ± 0.39 b |
| S. sonchifolius | 11.18 ± 0.88 e | 46.44 ± 1.52 e | 3.80 ± 0.24 e |
| Plant Species | FRAP (mmol T/g) | DPPH (mmol T/g) | ABTS (mmol T/g) |
|---|---|---|---|
| A. cherimola | 1.02 ± 0.02 a | 0.43 ± 0.03 a | 0.35 ± 0.01 a |
| I. batatas | 0.07 ± 0.00 e | 0.05 ± 0.00 cd | 0.04 ± 0.00 e |
| C. esculenta | 0.05 ± 0.00 ef | 0.05 ± 0.00 cd | 0.04 ± 0.00 ef |
| E. japonica | 0.43 ± 0.01 c | 0.25 ± 0.00 b | 0.22 ± 0.01 b |
| C. citratus | 0.12 ± 0.00 d | 0.08 ± 0.00 c | 0.05 ± 0.00 d |
| P. guajava | 0.47 ± 0.01 b | 0.27 ± 0.01 b | 0.18 ± 0.01 c |
| S. sonchifolius | 0.04 ± 0.00 f | 0.04 ± 0.00 d | 0.02 ± 0.00 f |
| Rt | λ (nm) | Identified Compounds | Quantification (mg/100 g DW) | ||||||
|---|---|---|---|---|---|---|---|---|---|
| A. cherimola | I. batatas | C. esculenta | E. japonica | C. citratus | P. guajava | S. sonchifolius | |||
| Hydroxycinnamic acids | |||||||||
| 16.60 | 320 | Neochlorogenic acid | ND | ND | ND | 15.33 ± 0.34 a | ND | ND | 0.64 ± 0.01 b |
| 18.09 | 320 | p-Coumaric acid | ND | ND | ND | 2.18 ± 0.03 a | 1.79 ± 0.18 b | ND | ND |
| 18.35 | 320 | Chlorogenic acid | 3.96 ± 0.17 d | 2.63 ± 0.05 e | ND | 22.21 ± 0.60 a | 7.79 ± 0.26 c | 17.97 ± 0.76 b | 1.36 ± 0.02 f |
| 18.64 | 320 | Caffeic acid | ND | ND | ND | 2.76 ± 0.05 a | 2.44 ± 0.06 b | ND | 0.26 ± 0.01 c |
| 19.92 | 320 | Isoferulic acid | ND | 10.06 ± 0.19 a | ND | ND | 0.73 ± 0.03 b | ND | ND |
| 25.62 | 320 | 3,4-di-O-caffeoylqunic acid | ND | 4.70 ± 0.25 a | ND | ND | 1.99 ± 0.01 b | ND | ND |
| 27.25 | 320 | 3,5-di-O-caffeoylqunic acid | ND | 2.08 ± 0.09 a | ND | ND | ND | ND | ND |
| 28.38 | 320 | Ferulic acid | ND | 6.56 ± 0.06 a | ND | ND | 1.37 ± 0.07 b | ND | 0.61 ± 0.03 c |
| Total | 3.96 ± 0.17 | 26.03 ± 0.13 | ND | 42.48 ± 0.26 | 16.11 ± 0.10 | 17.97 ± 0.76 | 2.87 ± 0.20 | ||
| Flavan-3-ols | |||||||||
| 19.05 | 280 | Catechin | ND | 4.79 ± 0.08 a | ND | ND | ND | ND | ND |
| Total | ND | 4.79 ± 0.08 | ND | ND | ND | ND | ND | ||
| Flavonols | |||||||||
| 20.19 | 370 | Quercetin-3-O-rutinoside | 4.25 ± 0.15 b | 0.80 ± 0.01 d | ND | 3.87 ± 0.09 c | 4.99 ± 0.08 a | 3.82 ± 0.10 c | 0.33 ± 0.02 e |
| 20.46 | 370 | Quercetin-3-O-glucoside | 12.34 ± 0.18 a | 1.16 ± 0.04 d | 3.70 ± 0.05 c | 3.49 ± 0.10 c | 4.30 ± 0.37 b | 3.68 ± 0.18 c | 0.28 ± 0.00 e |
| 20.99 | 370 | Quercetin-3-O-rhamnoside | 8.23 ± 0.07 a | 0.98 ± 0.01 c | ND | 1.69 ± 0.02 b | ND | ND | 0.16 ± 0.01 d |
| 22.40 | 370 | Isorhamnetin | 4.70 ± 0.22 a | 3.04 ± 0.20 b | ND | ND | ND | ND | ND |
| Total | 29.52 ± 0.16 | 5.98 ± 0.07 | 3.70 ± 0.05 | 9.05 ± 0.07 | 9.29 ± 0.23 | 7.50 ± 0.14 | 0.77 ± 0.01 | ||
| Flavones | |||||||||
| 19.85 | 320 | Apigenin | ND | ND | 12.57 ± 0.31 a | ND | ND | ND | ND |
| 20.16 | 320 | Apigenin derivative isomer 1 | ND | ND | 17.18 ± 0.22 a | ND | ND | ND | ND |
| 20.67 | 320 | Apigenin derivative isomer 2 | ND | ND | 2.78 ± 0.13 a | ND | ND | ND | ND |
| 21.81 | 320 | Apigenin derivative isomer 3 | ND | ND | 8.92 ± 0.87 a | ND | ND | ND | ND |
| 21.93 | 320 | Apigenin derivative isomer 4 | ND | ND | 11.53 ± 0.31 a | ND | ND | ND | ND |
| 22.34 | 370 | Luteolin-7-O-glucoside | 25.92 ± 1.52 a | ND | ND | ND | 4.09 ± 0.05 b | 5.38 ± 0.30 b | 1.21 ± 0.01 c |
| 23.66 | 370 | Luteolin-4-O-glucoside | 2.78 ± 0.40 b | ND | ND | ND | 2.36 ± 0.25 b | 6.26 ± 1.13 a | 0.28 ± 0.01 c |
| 25.28 | 370 | Luteolin | ND | ND | 2.22 ± 0.06 b | 1.60 ± 0.07 d | 4.11 ± 0.16 a | 1.91 ± 0.00 c | 0.42 ± 0.01 e |
| Total | 28.70 ± 0.96 | ND | 55.20 ± 0.32 | 1.60 ± 0.07 | 10.56 ± 0.15 | 13.55 ± 0.48 | 1.91 ± 0.01 | ||
Disclaimer/Publisher’s Note: The statements, opinions and data contained in all publications are solely those of the individual author(s) and contributor(s) and not of MDPI and/or the editor(s). MDPI and/or the editor(s) disclaim responsibility for any injury to people or property resulting from any ideas, methods, instructions or products referred to in the content. |
© 2024 by the authors. Licensee MDPI, Basel, Switzerland. This article is an open access article distributed under the terms and conditions of the Creative Commons Attribution (CC BY) license (https://creativecommons.org/licenses/by/4.0/).
Share and Cite
Barros, J.G.L.; Fernandes, R.; Abraão, A.; Costa, R.D.; Aires, A.; Gouvinhas, I.; Granato, D.; Barros, A.N. Characterization of Azorean Plant Leaves for Sustainable Valorization and Future Advanced Applications in the Food, Cosmetic, and Pharmaceutical Industries. Antioxidants 2024, 13, 325. https://doi.org/10.3390/antiox13030325
Barros JGL, Fernandes R, Abraão A, Costa RD, Aires A, Gouvinhas I, Granato D, Barros AN. Characterization of Azorean Plant Leaves for Sustainable Valorization and Future Advanced Applications in the Food, Cosmetic, and Pharmaceutical Industries. Antioxidants. 2024; 13(3):325. https://doi.org/10.3390/antiox13030325
Chicago/Turabian StyleBarros, Jorge Gomes Lopes, Raquel Fernandes, Ana Abraão, Rui Dias Costa, Alfredo Aires, Irene Gouvinhas, Daniel Granato, and Ana Novo Barros. 2024. "Characterization of Azorean Plant Leaves for Sustainable Valorization and Future Advanced Applications in the Food, Cosmetic, and Pharmaceutical Industries" Antioxidants 13, no. 3: 325. https://doi.org/10.3390/antiox13030325
APA StyleBarros, J. G. L., Fernandes, R., Abraão, A., Costa, R. D., Aires, A., Gouvinhas, I., Granato, D., & Barros, A. N. (2024). Characterization of Azorean Plant Leaves for Sustainable Valorization and Future Advanced Applications in the Food, Cosmetic, and Pharmaceutical Industries. Antioxidants, 13(3), 325. https://doi.org/10.3390/antiox13030325

