A Preliminary Investigation of Thermally Stable Schiff Base Metal Complexes for Hyperthermia: Synthesis and Biological Evaluation
Abstract
1. Introduction
2. Materials and Methods
2.1. Chemicals and Physical Measurements
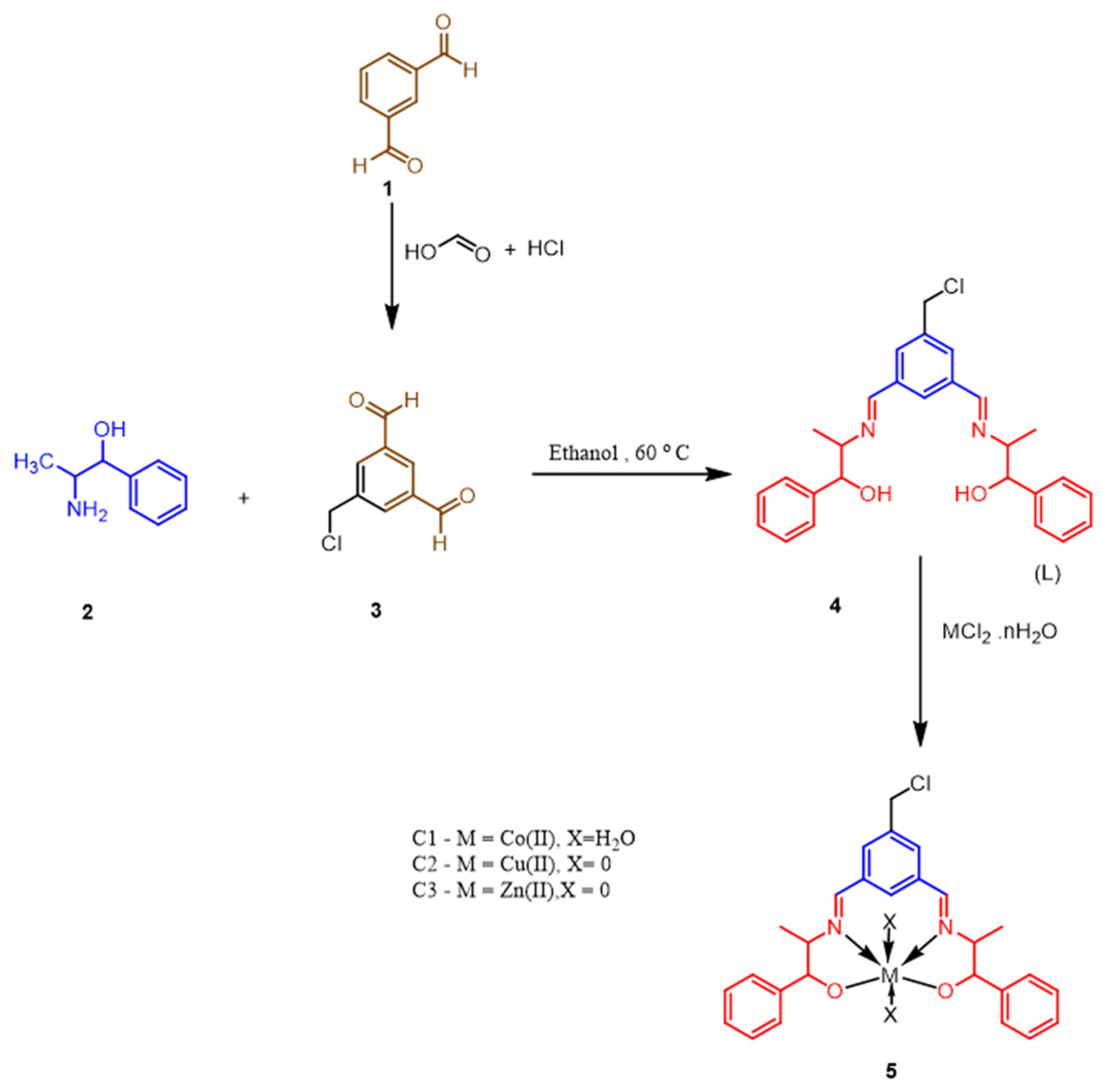
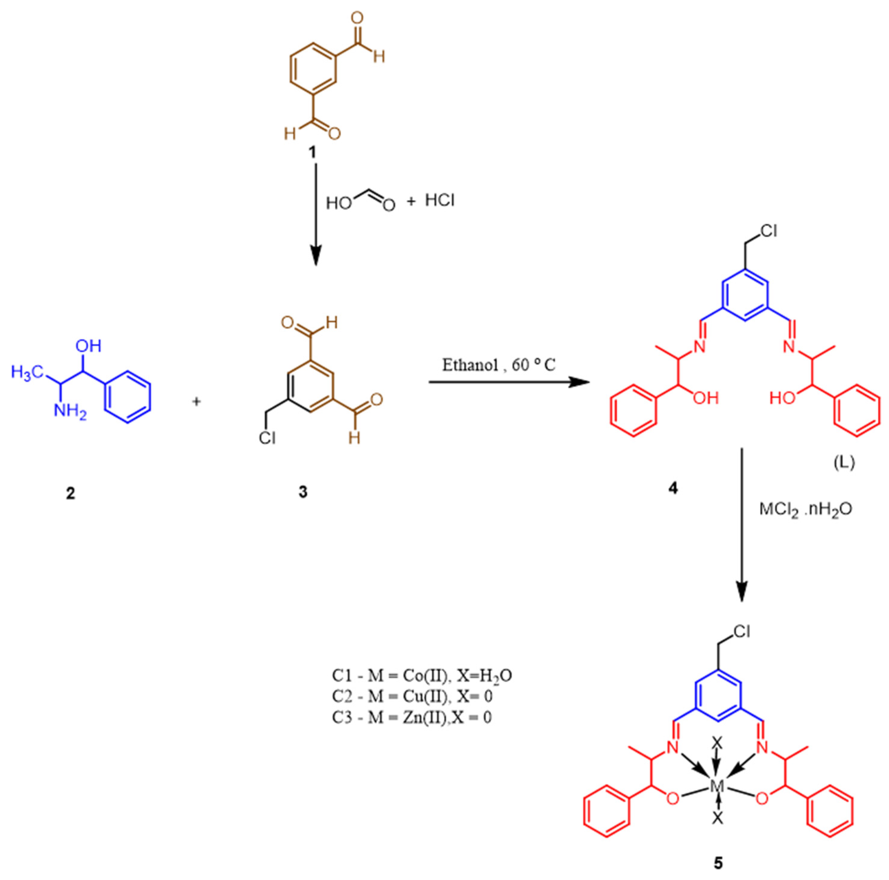
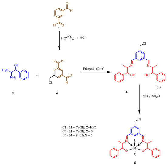
2.2. Synthesis of Co(II), Cu(II), and Zn(II) Complexes
2.3. Method Adopted forAntioxidant Assays
2.4. MTT Assay
2.5. Statistical Analysis
3. Results and Discussions
3.1. Physical Parameters
3.2. FT-IR Spectroscopic Analysis
3.3. Electronic Spectra and Magnetic Moment Analysis
3.4. Mass Spectral Analysis
3.5. H-NMR Spectroscopic Analysis
3.6. TG Analysis
3.7. Kinetics and Thermodynamic Parameters of Complexes C1–C3
3.8. EPR Spectral Analysis
3.9. Electrochemical Behaviour of Complexes
3.10. Antioxidant Studies
Thermal Stress Versus Antioxidant Efficiencies
3.11. Anti-Cancer Studies
4. Conclusions
Supplementary Materials
Author Contributions
Funding
Institutional Review Board Statement
Informed Consent Statement
Data Availability Statement
Conflicts of Interest
References
- Song, Y.G.; Liu, B.; Wang, L.F.; Li, H.; Lu, Y. Damage to the oxygen-evolving complex by superoxide anion, hydrogen peroxide and hydroxyl radical in photoinhibition of photosystem II. Photosynth. Res. 2006, 90, 67–78. [Google Scholar] [CrossRef] [PubMed]
- Sheikholeslami, S.; Khodaverdian, S.; Dorri-Giv, M.; Hosseini, S.M.; Souri, S.; Abedi-Firouzjah, R.; Zamani, H.; Dastranj, L.; Farhood, B. The radioprotective effects of alpha-lipoic acid on radiotherapy-induced toxicities: A systematic review. Int. Immunopharmacol. 2021, 96, 107741. [Google Scholar] [CrossRef] [PubMed]
- Ramani, P.; Rajendran, G.; Rajendran, A. Advances in antioxidant activity analysis for food application. In Natural Antioxidants to Enhance the Shelf-Life of Food; Academic Press: Cambridge, MA, USA, 2024; pp. 1–27. [Google Scholar]
- Manjunatha, M.; Srinivasan, V.; Buvai, S.H. Biological studies of novel 22-membered N2O2 diazadioxa macrocyclic bis-triazoles transition metal complexes: Synthesis and physicochemical studies. Mater. Today Proc. 2021, 47, 4538–4547. [Google Scholar]
- Wust, P.; Hildebrandt, B.; Sreenivasa, G.; Rau, B.; Gellermann, J.; Riess, H.; Felix, R.; Schlag, P.M. Hyperthermia in combined treatment of cancer. Lancet Oncol. 2002, 3, 487–497. [Google Scholar] [CrossRef] [PubMed]
- Gwaram, N.S.; Ali, H.M.; Abdulla, M.A.; Buckle, M.J.; Sukumaran, S.D.; Chung, L.Y.; Othman, R.; Alhadi, A.A.; Yehye, W.A.; Hadi, A.H.A.; et al. Synthesis, characterisation, X-ray crystallography, acetyl cholinesterase inhibition and antioxdidant activities of some novel ketone derivatives of gallic hydrazide-derived Schiff bases. Molecules 2012, 17, 2408–2427. [Google Scholar] [CrossRef]
- Warad, H.; Suboh, N.; Al-Zaqri, A.; Alsalme, F.A.; Alharthi, M.M.; Alijohan, M.; Zarrouk, A. Synthesis and physicochemical, DFT, thermal and DNA-binding analysis of a new pentadentate N3S2 Schiff base ligand and its [CuN3S2]2+ complexes. RSC Adv. 2020, 10, 21806–21821. [Google Scholar] [CrossRef]
- Anbar, M. Hyperthermia of the cancerous breast: Analysis of mechanism. Cancer Lett. 1994, 84, 23–29. [Google Scholar] [CrossRef]
- Field, S.B.; Bleehen, N.M. Hyperthermia in the treatment of cancer. Cancer Treat. Rev. 1979, 6, 63–94. [Google Scholar] [CrossRef] [PubMed]
- Liu, Y.; Wang, Y.; Song, S.; Zhang, H. Cancer therapeutic strategies based on metal ions. Chem. Sci. 2021, 12, 12234–12247. [Google Scholar] [CrossRef]
- Icsel, C.; Yilmaz, V.T.; Aydinlik, S.; Aygun, M. New manganese(II), iron(II), cobalt(II), nickel(II) and copper(II) saccharinate complexes of 2,6-bis(2-benzimidazolyl)pyridine as potential anticancer agents. Eur. J. Med. Chem. 2020, 202, 112535–112564. [Google Scholar] [CrossRef]
- Jafari, M.; Salehi, M.; Kunicki, M.; Arab, A.; Khaleghian, A. DFT studies and antioxidant activity of Schiff base metal complexes of 2-aminopyridine. Crystal structure of Co(II) and Zn(II) complexes. Inorganica Chim. Acta 2017, 462, 329–335. [Google Scholar] [CrossRef]
- Narayanan, V.S.; Rajendran, A.; Mudradi, S.; Dhawa, S.; Rajendran, S.; Bobba, K.N.; Rajendran, J.; Ramani, P. Development of new cobalt, copper, and zinc complexes of Schiff-base ligands as prospective chemotherapeutic agents. Polyhedron 2023, 245, 116622. [Google Scholar] [CrossRef]
- Burger, K. Coordination Chemistry: Experimental Methods; Butterworth & Co., Publisher Ltd.: London, UK, 1973. [Google Scholar]
- Fu, W.W. 3-Chloromethyl-2-hydroxybenzaldehyde. Acta Crystallogr. E Struct. Rep. Online 2012, 68, 2928. [Google Scholar] [CrossRef]
- Jeya Rajendran, A.; Prabhu, M.; Eswaramoorthi, K.; Celine Rose, I.R.; Santhanraj, D.; Sugandhi, K.; Radhika, S. Dielectric and conductivity studies of stereo-selectively synthesized d-and l-nor-ephedrine. J. Therm. Anal. Calorim. 2015, 119, 369–379. [Google Scholar] [CrossRef]
- Garg, B.S.; Kumar, D.N. Spectral studies of complexes of nickel(II) with tetradentate Schiff bases having N2O2 donor grougs. Spectrochim. Acta—A Mol. Biomol. Spectrosc. 2003, 59, 229–234. [Google Scholar] [CrossRef]
- Raman, N.; Kulandaisamy, A.; Thangaraja, C.; Manisankar, P.; Viswanthan, S.; Vedhi, C. Synthesis structural characterisation and electrochemical and antibacterial studies of Schiff base copper complexes. Transit. Met. Chem. 2004, 29, 129–135. [Google Scholar] [CrossRef]
- Hassan Ganesh, B.; Aruchamy, B.; Mudradi, S.; Mohanty, S.; Padinjarathil, H.; Carradori, S.; Ramani, P. Design, Synthesis, and Anti-Prostate Cancer Potential of 2-(4-Nitrobenzyl) Malonates In Vitro and DAL Acute Oral Toxicity Assessment In Vivo. ChemMedChem 2024, e202400371. [Google Scholar] [CrossRef] [PubMed]
- Sobha, S.; Mahalakshmi, R.; Raman, N. Studies on DNA binding behaviour of biologically active transition metal complexes of new tetradentate N2O2 donor Schiff bases: Inhibitroy activity against bacteria. Biomol. Spectrosc. 2012, 92, 175–183. [Google Scholar] [CrossRef] [PubMed]
- Abdel-Rahman, L.H.; Ismail, M.N.; Ismaek, M.; Abu-Dief, M.; Ahmed, A.H. Synthesis, characterisation DFT calculations and biological studies of Mn(II), Fe(II), Co(II) and Cd(II) complexes based on a tetradentate ONNO donor Schiff base ligand. J. Mol. Struct. 2017, 1134, 851–862. [Google Scholar] [CrossRef]
- Pahontu, E.; Ilies, D.C.; Shova, S.; Oprean, C.; Paunescu, V.; Olaru, O.R.; Radulescu, F.S.; Gaulea, A.; Rosu, T.; Draganescu, D. Synthesis, characterization, antimicrobial and antiproliferative activity evaluation of Cu(II), Co(II), Zn(II), Ni(II) and Pt(II) complexes with isoniazid-derived compound. Molecules 2017, 22, 650–666. [Google Scholar] [CrossRef]
- Under, A.E.; Billing, D.E. Calculation of the racah parameter B for nickel(II) and cobalt(II) compounds. Nature 1966, 210, 834–835. [Google Scholar] [CrossRef]
- Sathyanarayan, D.N. Electronic Absorption Spectroscopy and Related Techniques; Universitites Press: Hyderabed, India, 2001; pp. 1–532. [Google Scholar]
- Lever, A.B.P. Inorganic Electronic Spectroscopy, 2nd ed.; Elsevier: Amsterdam, The Netherlands, 1984. [Google Scholar]
- Ali, O.A. Palladium(II) and zinc(II) complexes of neutral [N2O2] donor schiff bases derived from furfualdehyde: Synthesis, characterization, fluorescence and corrosion inhibitors of ligands. Spectrochim. Acta A Mol. Biomol. Spectrosc. 2014, 132, 52–60. [Google Scholar] [CrossRef] [PubMed]
- Geeta, B.; Sharavankumar, P.; Reddy, M.; Ravikrishna, E.; Sarangapan, K.; Reddy, K.; Ravinder, C. Binuclear cobalt(II), nickel(II), copper (II) and palladium(II) complexes of a new Schiff base as ligand: Synthesis, structural characterization, and antibacterial activity. Spectrochim. Acta A Mol. Biomol. Spectrosc. 2010, 77, 911–915. [Google Scholar] [CrossRef]
- Ebrahimi-Kahirzsangi, R.; Abbasi, M.H. Evaluation of reliability of Coasts-Redfern method for kinetic analysis of non-isothermal TGA. Trans. Nonferrous Met. Soc. China 2008, 18, 217–221. [Google Scholar] [CrossRef]
- Coats, A.W.; Redfern, J.P. Kinetic parameters from thermogravimetric data. Nature 1964, 201, 68–69. [Google Scholar] [CrossRef]
- Kannan, M.P.; Easwaramooorthi, K.; Bharathi, S.; Rajendran, A.J.; Sugandhi, K. Thermal characterisation and non-isothermal kinetics of 4-flurorobenzyltriphenylphosphonium chloride crystal. J. Therm. Anal. Calorim. 2017, 130, 2283–2291. [Google Scholar] [CrossRef]
- Sivakumar, P.; Parthiban, K.S.; Sivakumar, P.; Vinoba, M.; Renganathan, S. Optimization of extraction process and kinetics of Sterculia foetida seed oil and its process augmentation for biodiesel production. Ind. Eng. Chem. Res. 2012, 51, 8992–8998. [Google Scholar] [CrossRef]
- Bouzerfa, B.; Agooun, D.; Ouennoughi, Y.; Ourari, A.; Ruiz-Rosas, R.; Morallon, E.; Mubaral, M.S. Synthesis, spectral characterization and study of thermal behaviour kinetics by thermogravimetric analysis of metal complexes derived from salicylaldehyde and alkylamine. J. Mol. Struct. 2017, 1142, 48–57. [Google Scholar] [CrossRef]
- Xu, H.; Meng, S.; Luo, G. Ionic liquids-coordinated Au catalysts for acetyleme hydrochlorination: DFT approach towards reaction mechanism and adsorption energy. Catal. Sci. Technol. 2018, 8, 1176–1182. [Google Scholar] [CrossRef]
- Ebrahimi, H.P.; Hadi, J.S.; Abdulnabi, Z.A.; Bolandnazar, Z. Spectroscopic, thermal analysis and DFT computational studies of salen-type Schiff base complexes. Spectrochim. Acta A Mol. Biomol. Spectrosc. 2014, 117, 485–492. [Google Scholar] [CrossRef] [PubMed]
- Sawhney, S.S.; Bansal, A.K. Kinetics of the non-isothermal decomposition of some metal derivatives of 8-quinolinol and its dihalo derivatives from DTG/DTA curves. Thermochim. Acta 1983, 66, 347–350. [Google Scholar] [CrossRef]
- Kavitha, N.; Lakshmi, P.A. Synthesis, characterisation and thermogravimetric anlayis of Co(II), Ni(II), Cu(II) and Zn(II) complexes supported by ONNO tetradentate Schiff base ligand derived from hydrazine benzoxazine. J. Saudi Chem. Soc. 2017, 21, S457–S466. [Google Scholar] [CrossRef]
- Nagesh, G.Y.; Raj, K.M.; Mruthyunjayaswamy, B.H.M. Synthesis, characterisation, thermal study and biological evaluation of Cu(II), Co(II), Ni(II) and Zn(II) complexes of Schiff base ligand containing thiazole moiety. J. Mol. Struct. 2015, 1079, 423–432. [Google Scholar] [CrossRef]
- Refat, M.S.; Deen, I.M.; Anwer, Z.M.; El-Ghol, S. Bivalent transition metal complexes of couomarin-3-yl thiosemicarbazone derivatives: Spectroscopic, antibacterial activity and thermogravimetric studies. J. Mol. Struct. 2009, 920, 149–162. [Google Scholar] [CrossRef]
- Hathaway, B.; Bililng, D.E. The electronic properties and stereochemistry of mono-nuclear complexes of the copper(II) ion. Coord. Chem. Rev. 1970, 5, 143–207. [Google Scholar] [CrossRef]
- Kilveson, D. Publication of daniel kivelson. J. Phys. Chem. B 1997, 101, 8631–8634. [Google Scholar]
- Stevens, K.W.H.; Pryce, M.H.L. On the magnetic properties of covalent XY6 complexes. Proc. R. Soc. Lond. Ser. A Math. Phys. Sci. 1953, 219, 542–555. [Google Scholar]
- Jeya Rajendran, A.; Dhawa, S.; Jeya Jothi, G.; Hannah Hepsibah, A. Thermal spectroscopic and in vitro antimicrobial analysis of 2, 2′-(2-((carboxymethyl)(2-(2-hydroxyethoxy)-2-oxoethyl) amino) ethylazanediyl) diacetatocobalt (II)/manganese (II) hydrate. J. Therm. Anal. Calorim. 2018, 134, 1965–1973. [Google Scholar] [CrossRef]
- Kumar, T.S.; Kumar, N.P.; Reddy, K.V.; Chandrakal, K.B.; Arunkumar, L.; Vidyasagar, C.C. Novel Schiff base cobalt(II) phthalocyanine with appliance of MWCNTs on GCE: Enhanced electrocatalytic activity behaviour of α-amino acids. RSC Adv. 2021, 11, 16736–16746. [Google Scholar]
- Mondal, S.; Chakraborty, A.; Mondal, A.; Pakhira, B.; Blake, A.J.; Sinn, E.; Chattopadhyay, S.K. Cu(II) complexes of a tridentate N, N, O-donor Schiff base of pyridoxal: Synthesis, X-ray structures, DNA–binding properties and catecholase activity. New J. Chem. 2018, 42, 9588–9597. [Google Scholar] [CrossRef]
- Fuentealba, M.; Garland, M.T.; Carrillo, D.; Manzur, C.; Hamon, J.R.; Sailard, J.Y. Theoretical and electrochemical studies on organometallic symmetrical Schiff base complexes of Zn(II), Cu(II), Ni(II) and Co(II). Dalton Trans. 2008, 1, 77–86. [Google Scholar] [CrossRef] [PubMed][Green Version]
- Ramesh, G.; Daravath, S.; Swathi, M.; Sumalatha, V.; Shankar, D.S. Investigation on Co(II), Ni(II), Cu(II) and Zn(II) compelexes derived from quadridentate salen-type Schiff base: Structural characterisation, DNA interactions, antioxidant proficiency and biological evaluation. Chem. Data Collect. 2020, 28, 100434. [Google Scholar] [CrossRef]
- Saif, M.; El-Shafiy, H.F.; Mashaly, M.M.; Eid, M.F.; Nabeel, A.I.; Fouad, R. Synthesis, characterisation and antioxidant/Cytotoxicity activity of new chromone Schiff base nano-complexes of Zn(II), Cu(II), Ni(II) and Co(II). J. Mol. Struct. 2016, 1118, 75–82. [Google Scholar] [CrossRef]
- Sankarapandian, V.; Nitharsan, K.; Parangusadoss, K.; Gangadaran, P.; Ramani, P.; Venmathi Maran, B.A.; Jogalekar, M.P. Prebiotic potential and value-added products derived from Spirulina laxissima SV001—A step towards healthy living. BioTech 2022, 11, 13. [Google Scholar] [CrossRef] [PubMed]
- Aruchamy, B.; Kuruburu, M.G.; Bovilla, V.R.; Madhunapantula, S.V.; Drago, C.; Benny, S.; Presanna, A.T.; Ramani, P. Design, Synthesis, and Anti-Breast Cancer Potential of Imidazole–Pyridine Hybrid Molecules In Vitro and Ehrlich Ascites Carcinoma Growth Inhibitory Activity Assessment In Vivo. ACS Omega 2023, 8, 40287–40298. [Google Scholar] [CrossRef] [PubMed]








| Sample | Molecular Formula | Color | Yield (%) | Melting Point (°C) | Elemental Analysis (%) | Mass Value (m/z) | |||
|---|---|---|---|---|---|---|---|---|---|
| C Cal. (Found) | H Cal. (Found) | N Cal. (Found) | M Cal. (Found) | ||||||
| L | C27H29ClN2O2 | Reddish orange | 79 | 135 | 72.2 (71.6) | 6.5 (6.2) | 6.2 (5.9) | - | 449 |
| C1 | [Co(L)(H2O)2] | Reddish brown | 86 | >250 | 59.8 (58.3) | 5.8 (5.9) | 5.2 (4.9) | 10.9 (10.3) | 543 |
| C2 | [Cu(L)] | Dark green | 89 | >250 | 63.5 (62.4) | 5.3 (5.4) | 5.5 (4.3) | 12.5 (12.7) | 513 |
| C3 | [Zn(L)] | Pale yellow | 73 | >250 | 63.3 (62.9) | 5.5 (5.7) | 5.3 (5.0) | 12.8 (12.7) | 514 |
| Samples | Intra-Ligand Transitions (cm−1) | d-d Transition (cm−1) | 10Dq | ʋ2/ʋ1 | B | β | β% | LFSE | µeff (BM) | ||
|---|---|---|---|---|---|---|---|---|---|---|---|
| Π − π* | N − π* | ʋ1 | ʋ2 | ||||||||
| L1 | 36,630 | 26,954 | - | - | - | - | - | - | - | - | - |
| C1 | 35,842 | 24,752 | 17,152 | 14,245 | 12,834 | 0.83 | 713 | 0.68 | 35 | −9711 | 4.81 |
| C2 | 36,496 | 25,510 | 16,778 | - | - | - | - | - | - | - | 1.80 |
| C3 | 36,900 | 25,974 | 21,186 | - | - | - | - | - | - | - | - |
Disclaimer/Publisher’s Note: The statements, opinions and data contained in all publications are solely those of the individual author(s) and contributor(s) and not of MDPI and/or the editor(s). MDPI and/or the editor(s) disclaim responsibility for any injury to people or property resulting from any ideas, methods, instructions or products referred to in the content. |
© 2024 by the authors. Licensee MDPI, Basel, Switzerland. This article is an open access article distributed under the terms and conditions of the Creative Commons Attribution (CC BY) license (https://creativecommons.org/licenses/by/4.0/).
Share and Cite
Sankara Narayanan, V.; Dhawa, S.; Sukumaran, A.; Ganesh, B.H.; Rajendran, J.; Bobba, K.N.; Ramani, P. A Preliminary Investigation of Thermally Stable Schiff Base Metal Complexes for Hyperthermia: Synthesis and Biological Evaluation. Antioxidants 2024, 13, 1586. https://doi.org/10.3390/antiox13121586
Sankara Narayanan V, Dhawa S, Sukumaran A, Ganesh BH, Rajendran J, Bobba KN, Ramani P. A Preliminary Investigation of Thermally Stable Schiff Base Metal Complexes for Hyperthermia: Synthesis and Biological Evaluation. Antioxidants. 2024; 13(12):1586. https://doi.org/10.3390/antiox13121586
Chicago/Turabian StyleSankara Narayanan, Vigneswari, Soven Dhawa, Amritha Sukumaran, Bharathi Hassan Ganesh, Jeya Rajendran, Kondapa Naidu Bobba, and Prasanna Ramani. 2024. "A Preliminary Investigation of Thermally Stable Schiff Base Metal Complexes for Hyperthermia: Synthesis and Biological Evaluation" Antioxidants 13, no. 12: 1586. https://doi.org/10.3390/antiox13121586
APA StyleSankara Narayanan, V., Dhawa, S., Sukumaran, A., Ganesh, B. H., Rajendran, J., Bobba, K. N., & Ramani, P. (2024). A Preliminary Investigation of Thermally Stable Schiff Base Metal Complexes for Hyperthermia: Synthesis and Biological Evaluation. Antioxidants, 13(12), 1586. https://doi.org/10.3390/antiox13121586

